Sign in to use this feature.

Years

Between: -

Subjects

remove_circle_outline
remove_circle_outline
remove_circle_outline
remove_circle_outline
remove_circle_outline
remove_circle_outline
remove_circle_outline
remove_circle_outline
remove_circle_outline

Journals

remove_circle_outline
remove_circle_outline
remove_circle_outline
remove_circle_outline
remove_circle_outline
remove_circle_outline
remove_circle_outline
remove_circle_outline
remove_circle_outline
remove_circle_outline
remove_circle_outline
remove_circle_outline
remove_circle_outline

Article Types

Countries / Regions

remove_circle_outline
remove_circle_outline
remove_circle_outline
remove_circle_outline
remove_circle_outline
remove_circle_outline
remove_circle_outline

Search Results (2,068)

Search Parameters:
Keywords = VGG16

Order results
Result details
Results per page
Select all
Export citation of selected articles as:
21 pages, 1661 KB  
Article
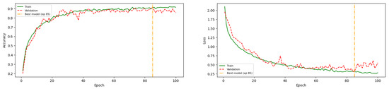
Hyperparameter Optimization of Convolutional Neural Networks for Robust Tumor Image Classification
by Syed Muddusir Hussain, Jawwad Sami Ur Rahman, Faraz Akram, Muhammad Adeel Asghar and Raja Majid Mehmood
Diagnostics 2026, 16(8), 1215; https://doi.org/10.3390/diagnostics16081215 (registering DOI) - 18 Apr 2026
Abstract
Background/Objectives: The human brain is responsible for controlling various physiological functions, and hence, the presence of tumors in the brain is a major concern in the medical field. The correct identification and categorization of tumors in the brain using Magnetic Resonance Imaging (MRI) [...] Read more.
Background/Objectives: The human brain is responsible for controlling various physiological functions, and hence, the presence of tumors in the brain is a major concern in the medical field. The correct identification and categorization of tumors in the brain using Magnetic Resonance Imaging (MRI) is a major requirement for the diagnosis and treatment of a tumor. The proposed research will focus on designing a CNN model that is optimized for tumor image classification. Methods: This research proposes an optimized CNN model featuring strategically placed dropout layers and hyperparameter optimization. This study uses a dataset of 640 MRI scans (320 tumor and 320 non-tumor) collected from a private hospital in Saudi Arabia. The proposed method utilizes a learning rate of 0.001 in combination with the Adam optimizer to ensure stable and efficient convergence. Its performance was benchmarked against established architectures, including VGG-19, Inception V3, ResNet-10, and ResNet-50, with evaluation based on classification accuracy and computational cost. Results: The experimental results show that the optimized CNN proposed in this work performs much better than the deeper architectures. The network reached a maximum training accuracy of 97.77% and a final test accuracy of 95.35% with a small test loss of 0.2223. The test accuracy of the optimized VGG-19 and Inception V3 networks was much lower, with a training time per epoch that was several orders of magnitude higher. The validation stability of the proposed network was high (92.25% to 95.35%) during the final stages of training. Conclusions: The conclusion drawn from this study is that hyperparameter optimization and strategic regularization are more advantageous for tumor classification using MRI images than the mere depth of the model. The accuracy of 95.35% with low computational complexity makes this lightweight CNN model a feasible solution for real-time applications. Full article
(This article belongs to the Section Machine Learning and Artificial Intelligence in Diagnostics)
Show Figures

Figure 1

24 pages, 10732 KB  
Article
A Novel Convolutional Neural Network for Explainable Diabetic Retinopathy Detection and Grade Identification
by Simona Correra, Valeria Sorgente, Mario Cesarelli, Fabio Martinelli, Antonella Santone and Francesco Mercaldo
Sensors 2026, 26(8), 2510; https://doi.org/10.3390/s26082510 (registering DOI) - 18 Apr 2026
Abstract
Diabetic retinopathy represents one of the leading causes of blindness worldwide, making early diagnosis essential for effective clinical intervention. We propose an explainable method aimed at automatically identifying the severity levels of diabetic retinopathy in retinal images using deep learning. The proposed method [...] Read more.
Diabetic retinopathy represents one of the leading causes of blindness worldwide, making early diagnosis essential for effective clinical intervention. We propose an explainable method aimed at automatically identifying the severity levels of diabetic retinopathy in retinal images using deep learning. The proposed method considers several convolutional neural network architectures, i.e., VGG16, StandardCNN, ResNet, CustomCNN, EfficientNet, MobileNet, and a novel architecture, i.e., FGNet, specifically designed and developed by the authors for diabetic retinopathy detection. The proposed network achieves an accuracy of 0.75 when trained for 10 epochs and 0.71 for 20 epochs. Explainability behind model prediction is further supported through Gradient-weighted Class Activation Mapping, providing visual insight into the learned decision-making process and potentially supporting early clinical assessment. Full article
35 pages, 5529 KB  
Article
Occasion-Based Clothing Classification Using Vision Transformer and Traditional Machine Learning Models
by Hanaa Alzahrani, Maram Almotairi and Arwa Basbrain
Computers 2026, 15(4), 249; https://doi.org/10.3390/computers15040249 - 17 Apr 2026
Abstract
Clothing classification by occasion is an important area in computer vision and artificial intelligence (AI). This task is particularly challenging because of the subtle visual similarities among clothing categories such as formal, party, and casual attire. Variations in color, fabric, patterns, and lighting [...] Read more.
Clothing classification by occasion is an important area in computer vision and artificial intelligence (AI). This task is particularly challenging because of the subtle visual similarities among clothing categories such as formal, party, and casual attire. Variations in color, fabric, patterns, and lighting further increase the complexity of this task. To address this challenge, we used the Fashionpedia dataset to create a balanced subset of 15,000 images. Specifically, we adopted two different methods for labeling these images: automated classification, which relies on category identifications (IDs) and components, and manual labeling performed by human annotators. We then implemented our preprocessing pipeline, which includes several steps: resizing, image normalization, background removal using segmentation masks, and class balancing. We benchmarked traditional models, including artificial neural networks (ANNs), support vector machines (SVMs), and k-nearest neighbors (KNNs), which use a histogram of oriented gradient (HOG) features, as well as deep learning models such as convolutional neural networks (CNNs), the Visual Geometry Group 16 (VGG16) model utilizing transfer learning, and the vision transformer (ViT) model, all evaluated using identical data splits and preprocessing procedures. The traditional models achieved moderate accuracy, ranging from 54% to 66%. In contrast, the ViT model achieved an accuracy of 81.78% with automated classification and 98.09% with manual labeling. This indicates that a higher label accuracy, along with the preprocessing steps used, significantly enhances the performance. Together, these factors improve the effectiveness of ViT in context-aware apparel classification and establish a reliable baseline for future research. Full article
(This article belongs to the Special Issue Machine Learning: Innovation, Implementation, and Impact)
Show Figures

Figure 1

32 pages, 2194 KB  
Article
GMRVGG: A Bearing Fault Diagnosis Method Based on Tri-Modal Image Feature Fusion
by Ao Li, Yuantao Li, Xiaoli Wang and Jiancheng Yin
Sensors 2026, 26(8), 2426; https://doi.org/10.3390/s26082426 - 15 Apr 2026
Viewed by 106
Abstract
Bearings serve as vital components in rotating machinery. Fault diagnosis of bearings constitutes an essential area within mechanical health monitoring. However, most existing methods rely solely on single-modal data or employ a single signal-to-image conversion technique, leading to insufficient information dimensionality and inadequate [...] Read more.
Bearings serve as vital components in rotating machinery. Fault diagnosis of bearings constitutes an essential area within mechanical health monitoring. However, most existing methods rely solely on single-modal data or employ a single signal-to-image conversion technique, leading to insufficient information dimensionality and inadequate feature representation, which ultimately limits diagnostic accuracy. To address these challenges, this paper proposes a bearing fault diagnosis method (GADF-MTF-RP-VGG16, GMRVGG) based on tri-modal image feature fusion. Specifically, three image conversion techniques—Gramian Angular Difference Field (GADF), Markov Transition Field (MTF), and Recurrence Plot (RP)—are utilized to first convert 1D vibration signals into 2D images. Subsequently, shallow to deep features are extracted and fused through the VGG16 backbone network. Finally, fault diagnosis is achieved by integrating a fully connected classifier layer. The proposed methodology was comprehensively validated on both the Case Western Reserve University (CWRU) and the University of Ottawa datasets, which were augmented with severe 6 dB Gaussian white noise and 6 dB pink noise to simulate complex industrial environments. Under these harsh conditions, the proposed method achieved superior overall accuracies (up to 96.9% on the CWRU dataset and consistently 95.8% on the Ottawa dataset), significantly surpassing conventional single-modal approaches. This effectively addresses the limitations of insufficient feature dimensionality and inadequate representation, establishing a highly reliable and robust solution for intelligent bearing fault diagnosis. Full article
24 pages, 13348 KB  
Article
Morphological Convolutional Neural Network for Efficient Facial Expression Recognition
by Robert, Sarifuddin Madenda, Suryadi Harmanto, Michel Paindavoine and Dina Indarti
J. Imaging 2026, 12(4), 171; https://doi.org/10.3390/jimaging12040171 - 15 Apr 2026
Viewed by 169
Abstract
This study proposes a morphological convolutional neural network (MCNN) architecture that integrates morphological operations with CNN layers for facial expression recognition (FER). Conventional CNN-based FER models primarily rely on appearance features and may be sensitive to illumination and demographic variations. This work investigates [...] Read more.
This study proposes a morphological convolutional neural network (MCNN) architecture that integrates morphological operations with CNN layers for facial expression recognition (FER). Conventional CNN-based FER models primarily rely on appearance features and may be sensitive to illumination and demographic variations. This work investigates whether morphological structural representations provide complementary information to convolutional features. A multi-source and multi-ethnic FER dataset was constructed by combining CK+, JAFFE, KDEF, TFEID, and a newly collected Indonesian Facial Expression dataset, resulting in 3684 images from 326 subjects across seven expression classes. Subject-independent data splitting with 10-fold cross-validation was applied to ensure reliable evaluation. Experimental results show that the proposed MCNN1 model achieves an average accuracy of 88.16%, while the best MCNN2 variant achieves 88.7%, demonstrating competitive performance compared to MobileNetV2 (88.27%), VGG19 (87.58%), and the morphological baseline MNN (50.73%). The proposed model also demonstrates improved computational efficiency, achieving lower inference latency (21%) and reduced GPU memory usage (64%) compared to baseline models. These results indicate that integrating morphological representations into convolutional architectures provides a modest but consistent improvement in FER performance while enhancing generalization and efficiency under heterogeneous data conditions. Full article
(This article belongs to the Section AI in Imaging)
Show Figures

Figure 1

12 pages, 796 KB  
Proceeding Paper
Design of a Lightweight Video-Based Ear Biometric System on Raspberry Pi 5 Using You Only Look Once Version 12 and EfficientNet-4
by Kristian Emmanuel Padilla, Michael Robin Saculsan and John Paul Cruz
Eng. Proc. 2026, 134(1), 50; https://doi.org/10.3390/engproc2026134050 - 14 Apr 2026
Viewed by 211
Abstract
Recent advances in ear biometrics have yielded increasingly accurate detection and recognition methods, driven by the ear’s uniqueness and permanence as a non-invasive biometric modality. Nonetheless, several limitations persist, including computationally demanding models, inconsistent evaluation metrics, and portable systems restricted by manual capture [...] Read more.
Recent advances in ear biometrics have yielded increasingly accurate detection and recognition methods, driven by the ear’s uniqueness and permanence as a non-invasive biometric modality. Nonetheless, several limitations persist, including computationally demanding models, inconsistent evaluation metrics, and portable systems restricted by manual capture and limited datasets. To address these challenges, we developed a lightweight, video-based ear biometric system implemented on the Raspberry Pi 5. The system integrates You Only Look Once Version 12 (YOLOv12) for ear detection, EfficientNet-4 for feature extraction, and k-Nearest Neighbors (k-NNs) for recognition. Its robust hardware platform combines Raspberry Pi 5 with the Raspberry Pi AI Camera and AI HAT+. To train, fine-tune, and optimize YOLOv12 and EfficientNet-4, we used the Visual Geometry Group (VGG)Face-Ear dataset for training and the Unconstrained Ear Recognition Challenge 2019 dataset for validation, with k-NN employed for classification. The system is evaluated for classification accuracy and system-level performance. 13 participants, comprising 10 enrolled and three unenrolled subjects, participated in testing the system. The enrolled participants registered in the system were correctly identified, whereas unenrolled participants were excluded and rejected. The system achieved 92.31% accuracy, 95.45% precision, 96.97% recall, and an F1-score of 0.95, confirming the feasibility of deploying advanced ear biometric methods on embedded, resource-constrained devices. Full article
Show Figures

Figure 1

20 pages, 4643 KB  
Article
Deep Learning-Assisted Early Detection of Skin Cancer from Dermoscopic Images in Underserved Clinical Settings
by Anchal Kumari, Punam Rattan, Anand Kumar Shukla, Sita Rani, Aman Kataria, Hong Min and Taeho Kim
Bioengineering 2026, 13(4), 456; https://doi.org/10.3390/bioengineering13040456 - 13 Apr 2026
Viewed by 299
Abstract
Skin cancer is caused by aberrant cells that proliferate uncontrollably after unrepaired DNA damage results in mutations in the epidermis. The majority of skin cancer is caused by high UV exposure from the sun, tanning beds, or sunlamps. Due to sociocultural hurdles, limited [...] Read more.
Skin cancer is caused by aberrant cells that proliferate uncontrollably after unrepaired DNA damage results in mutations in the epidermis. The majority of skin cancer is caused by high UV exposure from the sun, tanning beds, or sunlamps. Due to sociocultural hurdles, limited access to specialized dermatological care, and low public knowledge, many nations, including India, have higher mortality rates and late-stage presentations. The unequal distribution of specialized dermatological treatments, particularly in rural and underdeveloped areas, makes detection and treatment more difficult. For skin cancer, one of the most prevalent malignancies with a high death rate, early detection is crucial. This study gathered 1200 dermoscopic images from two clinics in Himachal Pradesh in order to solve these problems. In order to automatically classify dermoscopic clinical images into melanoma and non-melanoma skin cancer categories, this study compares VGG16 with ResNet-50. Preprocessing, lesion segmentation, and classification are all part of the suggested approach. A collection of 1200 dermoscopic images with clinical annotations was used to improve the models. ResNet-50 outperformed VGG16 in tests, with 93% accuracy and 96% AUC-ROC as opposed to 89% and 94%, respectively. These results emphasize how crucial model selection and preprocessing are to diagnostic performance. Ensemble methods, multi-class classification, explainability integration, and clinical validation will be investigated in order to facilitate the implementation of AI-assisted dermatological diagnostic tools. Full article
Show Figures

Figure 1

22 pages, 2255 KB  
Article
Distributed Stochastic Multi-GPU Hyperparameter Optimization for Transfer Learning-Based Vehicle Detection Under Degraded Visual Conditions
by Zhi-Ren Tsai and Jeffrey J. P. Tsai
Algorithms 2026, 19(4), 296; https://doi.org/10.3390/a19040296 - 10 Apr 2026
Viewed by 134
Abstract
Robust vehicle detection in real-world traffic surveillance remains challenging due to degraded imagery caused by motion blur, adverse weather, and low illumination, which significantly increases detector sensitivity to hyperparameter configurations. This study proposes a “Frugal AI” distributed multi-GPU framework that optimizes hyperparameters via [...] Read more.
Robust vehicle detection in real-world traffic surveillance remains challenging due to degraded imagery caused by motion blur, adverse weather, and low illumination, which significantly increases detector sensitivity to hyperparameter configurations. This study proposes a “Frugal AI” distributed multi-GPU framework that optimizes hyperparameters via a stochastic simplex-based search coupled with five-fold cross-validation. Utilizing three low-cost NVIDIA GTX 1050 Ti GPUs, the framework performs parallel candidate exploration with an asynchronous model-level exchange mechanism to escape local optima without the overhead of gradient synchronization. Seven CNN backbones—VGG16, VGG19, GoogLeNet, MobileNetV2, ResNet18, ResNet50, and ResNet101—were evaluated within YOLOv2 and Faster R-CNN detectors. To address memory constraints (4 GB VRAM), YOLOv2 was selected for extensive benchmarking. Performance was measured using a harmonic precision–recall-based cost metric to strictly penalize imbalanced outcomes. Experimental results demonstrate that under identical wall-clock time budgets, the proposed framework achieves an average 1.38% reduction in aggregated cost across all models, with the highly sensitive VGG19 backbone showing a 4.00% improvement. Benchmarking against Bayesian optimization, genetic algorithms, and random search confirms that our method achieves superior optimization quality with statistical significance (p < 0.05). Under a rigorous IoU = 0.75 threshold, the optimized models consistently yielded F1-scores 0.8444 ± 0.0346. Ablation studies further validate that the collaborative model exchange is essential for accelerating convergence in rugged loss landscapes. This research offers a practical, scalable, and cost-efficient solution for deploying robust AI surveillance in resource-constrained smart city infrastructure. Full article
(This article belongs to the Special Issue Advances in Deep Learning-Based Data Analysis)
Show Figures

Figure 1

15 pages, 2849 KB  
Article
Empowering Rural Livestock Health: AI-Powered Early Detection of Cattle Diseases
by Dammavalam Srinivasa Rao, P. Chandra Sekhar Reddy, Annam Revathi, Vangipuram Sravan Kiran, Nuvvusetty Rajasekhar, Nadella Sandhya, Pulipati Venkateswara Rao, Adla Sai Karthik and Puvvala Jogeeswara Venkata Naga Sai
AI 2026, 7(4), 137; https://doi.org/10.3390/ai7040137 - 9 Apr 2026
Viewed by 446
Abstract
This paper presents a novel approach for the early detection of cattle diseases. We present a uniquely integrated image classification-based project for real-time cattle disease diagnosis that combines image classification models to identify diseases accurately; a seamless, user-friendly dashboard for real-time monitoring with [...] Read more.
This paper presents a novel approach for the early detection of cattle diseases. We present a uniquely integrated image classification-based project for real-time cattle disease diagnosis that combines image classification models to identify diseases accurately; a seamless, user-friendly dashboard for real-time monitoring with data visualization and instant predictions; and a mobile application that acts as a data source. The mobile application enables real-time collection of farmer and cattle-related data, including age, number of cattle, vaccination cycles, cattle images, and location metadata. Our AI-based cattle health monitoring project enables the early, efficient, scalable, and timely detection of Lumpy Skin Disease (LSD) and Foot and Mouth Disease (FMD) in cattle with high accuracy. A dataset of approximately 1600 LSD/non-LSD images and 840 FMD images was used to train multiple classification networks such as EfficientNetB0, ResNet50, VGG16, EfficientNetV2B0, and EfficientNetV2S, along with a soft-voting ensemble at inference. The proposed framework achieved a maximum testing accuracy of 98.36% for LSD classification and 99.84% for FMD classification under internal validation. These results indicate strong disease recognition capability, with ensemble-based prediction improving robustness, particularly for FMD classification. The proposed system enables practical, early, efficient, and scalable applications of AI research to improve livestock health monitoring and support the early prevention of widespread disease outbreaks. Full article
Show Figures

Graphical abstract

25 pages, 15195 KB  
Article
An Interpretable Deep Learning Approach for Brain Tumor Classification Using a Bangladeshi Brain MRI Dataset
by Md. Saymon Hosen Polash, Md. Tamim Hasan Saykat, Md. Ehsanul Haque, Md. Maniruzzaman, Mahe Zabin and Jia Uddin
BioMedInformatics 2026, 6(2), 19; https://doi.org/10.3390/biomedinformatics6020019 - 7 Apr 2026
Viewed by 902
Abstract
Magnetic resonance imaging (MRI) is a critical clinical tool that requires precise and reliable interpretation for effective brain tumor diagnosis and timely treatment planning. Deep learning methods have advanced automated tumor classification greatly in the last few years, but many of the current [...] Read more.
Magnetic resonance imaging (MRI) is a critical clinical tool that requires precise and reliable interpretation for effective brain tumor diagnosis and timely treatment planning. Deep learning methods have advanced automated tumor classification greatly in the last few years, but many of the current methods are still challenged by a lack of interpretability, a lack of testing on region-focused data, and a lack of model robustness testing. Such limitations reduce clinical trust and limit the practice of automated diagnostic systems. To address these challenges, this study proposes an interpretable deep learning model for classifying brain tumors using the PMRAM dataset, which is a Bangladeshi brain MRI collection containing four categories: glioma, meningioma, pituitary tumor, and normal brain.. The proposed pipeline combines image preprocessing and feature enhancement methods, and then it trains a series of squeeze-and-excitation (SE)-enhanced convolutional neural networks such as VGG19, DenseNet201, MobileNetV3-Large, InceptionV3, and EfficientNetB3. The SE-enhanced EfficientNetB3 performed best, with 98.70% accuracy, 98.77% precision, 98.70% recall, and 98.70% F1-score. Cross-validation also demonstrated stable performance, with a mean accuracy of 96.89%. The model also exhibited efficient inference with low GPU memory consumption, enabling predictions in about 2–4 s per MRI image. Grad-CAM++ and saliency maps were used to improve the transparency of the results, and it was found that the network was concentrated on the clinically significant parts of the tumor, which affected the model predictions. Further robustness analysis and cross-dataset testing are additional evidence of the generalization possibility of the model. An online application was also implemented to allow real-time prediction and visual explanation of brain tumors. Overall, the proposed framework offers a precise, interpretable, and promising solution to automated brain tumor classification using MRI images. Full article
Show Figures

Figure 1

15 pages, 2437 KB  
Article
A Hybrid Self-ONN and Vision Mamba Architecture for Robust Radio Interference Recognition in GNSS Applications
by Nursultan Meirambekuly, Margulan Ibraimov, Bakyt Khaniyev, Beibit Karibayev, Alisher Skabylov, Nursultan Uzbekov, Sungat Koishybay, Timur Dautov, Ainur Khaniyeva and Bagdat Kozhakhmetova
Electronics 2026, 15(7), 1498; https://doi.org/10.3390/electronics15071498 - 3 Apr 2026
Viewed by 327
Abstract
Radio-frequency interference (RFI) poses a critical challenge for modern high-precision Global Navigation Satellite System (GNSS) applications, as both intentional and unintentional interference can significantly degrade positioning accuracy and reliability. With increasingly sophisticated interference sources, robust and computationally efficient automatic recognition methods are required [...] Read more.
Radio-frequency interference (RFI) poses a critical challenge for modern high-precision Global Navigation Satellite System (GNSS) applications, as both intentional and unintentional interference can significantly degrade positioning accuracy and reliability. With increasingly sophisticated interference sources, robust and computationally efficient automatic recognition methods are required for next-generation GNSS receivers. Although deep learning approaches show strong potential for interference detection, their high computational cost often limits deployment in resource-constrained navigation hardware. This paper proposes a hybrid deep learning architecture for radio interference recognition in high-precision GNSSs. The framework employs a dual-branch design integrating complementary signal representations. A Self-Organizing Operational Neural Network (Self-ONN) extracts nonlinear temporal features from raw one-dimensional signals, while a Vision Mamba state-space model processes two-dimensional time-frequency spectrograms obtained via Short-Time Fourier Transform (STFT). The fused features enable accurate classification of diverse interference types with high computational efficiency. Experiments on a synthetic dataset demonstrate that the proposed model achieves 99.83% accuracy and F1-score, outperforming ResNet18, VGG16, and Vision Transformer while reducing computational complexity by up to 42% and improving inference speed by up to 35%, supporting its applicability for intelligent interference monitoring in GNSS receivers. Full article
Show Figures

Figure 1

23 pages, 2936 KB  
Article
Lightweight Transient-Source Detection Method for Edge Computing
by Jiahao Zhang, Yutian Fu, Feng Dong and Lingfeng Huang
Universe 2026, 12(4), 101; https://doi.org/10.3390/universe12040101 - 1 Apr 2026
Viewed by 266
Abstract
Transient-source detection without relying on difference images still faces challenges in achieving high accuracy, especially under practical space-based astronomical survey conditions where the data volume is enormous, on-orbit transmission bandwidth is limited, and real-time response is required for rapid follow-up observations. To address [...] Read more.
Transient-source detection without relying on difference images still faces challenges in achieving high accuracy, especially under practical space-based astronomical survey conditions where the data volume is enormous, on-orbit transmission bandwidth is limited, and real-time response is required for rapid follow-up observations. To address these issues, this paper proposes a lightweight detection network that integrates multi-scale feature fusion with contextual feature extraction, enabling efficient real-time processing on resource-constrained edge devices. The proposed model enhances robustness to point-spread-function variations across observation conditions and to complex background environments, while simultaneously improving detection accuracy. To evaluate performance comprehensively, lightweight VGG and lightweight ResNet architectures and other baseline models—commonly used as baselines for transient-source detection—are adopted for comparison. Experimental results show that under the condition that the models have approximately the same number of parameters, the proposed network achieves the best accuracy, obtaining nearly 1% improvement compared with the best-performing baseline model. Based on this design, an ultra-lightweight version with only 7k parameters is further developed by incorporating a compact multi-scale module, improving accuracy by 1% over the version without the multi-scale structure. Moreover, through heterogeneous knowledge distillation and adaptive iterative training, the accuracy of the ultra-lightweight model is further increased from 93.3% to 94.0%. Finally, the model is deployed and validated on an AI hardware acceleration platform. The results demonstrate that the proposed method substantially improves inference throughput while maintaining high accuracy, providing a practical solution for real-time, low-latency, on-device transient-source detection under large data volume and limited transmission conditions. Specifically, the proposed models are trained offline on a high-performance GPU and subsequently deployed on the Fudan Microelectronics 7100 AI board to evaluate their real-world inference efficiency on resource-constrained edge devices. Full article
(This article belongs to the Special Issue Applications of Artificial Intelligence in Modern Astronomy)
Show Figures

Figure 1

25 pages, 8022 KB  
Article
Computer Vision in Spiritual Seeing: Recognition of Christian Saints in Orthodox Iconography
by Ilias I. Sidiropoulos, Kyriakos D. Apostolidis, Eleni Vrochidou and George A. Papakostas
Information 2026, 17(4), 340; https://doi.org/10.3390/info17040340 - 1 Apr 2026
Viewed by 682
Abstract
Christian Orthodox iconography is a fundamental element of the religious cultural heritage of many countries. Iconoclasm, vandalism, and the passage of time ruined the appearance of icons, making it difficult to recognize the depicted saints. This work aims to test the performance of [...] Read more.
Christian Orthodox iconography is a fundamental element of the religious cultural heritage of many countries. Iconoclasm, vandalism, and the passage of time ruined the appearance of icons, making it difficult to recognize the depicted saints. This work aims to test the performance of 13 state-of-the-art deep learning models for the task of Christian Orthodox saints’ recognition from images of preserved wooden hand-painted icons, which has never before been reported in the literature. Additionally, this work introduces the first public image dataset (ICONSAINT—ICONographic SAINT Recognition Dataset) of saint icons for classification tasks, including 2730 annotated images of 546 icons of 123 classes. All models were tested in three experimental setups, involving a balanced part of the dataset of six classes, an imbalanced part of the dataset of 12 classes and a medium-imbalanced part of the dataset of eight classes, reporting accuracy of up to 89% with VGG19 for the balanced data, of up to 78% for MobileNet with the imbalanced data, and of up to 87% with DenseNet201 for the medium-imbalanced data. Moreover, Class Activation Maps (CAMs) were considered to highlight the regions of the input image that mostly influenced the decision of the models towards adding valuable explainability to the results through visual explanations. Full article
Show Figures

Figure 1

19 pages, 4575 KB  
Article
DenseNet-BiFPN-ECA Fusion Network: An Enhanced Transfer Learning Approach for Tomato Leaf Disease Recognition
by Lina Liang, Jingnan Chen, Ying Tian, Hongyan Wang, Yiting Cai, Fenglin Zhong, Senpeng Wang, Maomao Hou and Junyang Lu
Horticulturae 2026, 12(4), 423; https://doi.org/10.3390/horticulturae12040423 - 31 Mar 2026
Viewed by 381
Abstract
Early and accurate identification of tomato leaf diseases constitutes a key safeguard for mitigating economic losses in tomato production. Conventional tomato leaf disease detection methodologies are constrained by inherent limitations, such as low operational efficiency, inadequate detection precision, and limited adaptability to environmental [...] Read more.
Early and accurate identification of tomato leaf diseases constitutes a key safeguard for mitigating economic losses in tomato production. Conventional tomato leaf disease detection methodologies are constrained by inherent limitations, such as low operational efficiency, inadequate detection precision, and limited adaptability to environmental fluctuations. In contrast, the integration of deep learning techniques has yielded improvements in this research domain. Consequently, the development of deep learning-based approaches for the rapid and precise detection of tomato leaf diseases holds considerable theoretical significance and practical application value. To improve the detection accuracy of tomato leaf diseases, this study proposes a transfer learning-based DenseNet disease recognition model named DenseNet-BiFPN-ECA Fusion Network. The bidirectional feature pyramid network (BiFPN) is introduced at the terminal of DenseNet121 to achieve multi-scale feature fusion, while the efficient channel attention (ECA) mechanism is applied to enhance the discriminative capacity of fused features. Classification is ultimately completed via a global average pooling layer and a fully connected layer. The experimental results demonstrate that the improved model achieves an accuracy of 90.63% on the small-sample tomato leaf dataset collected from complex greenhouse environments, representing an improvement of 20.32 percentage points over the original DenseNet121 model. On the large-scale open-source Plant Village dataset, the model attains an accuracy of 98.47%, significantly outperforming the baseline models. Furthermore, a comparative analysis shows that the highest accuracy achieved by DenseNet, ResNet101, and VGG16 models on the same dataset is only 83.59% (within ±0.5%). This result validates the effectiveness of DenseNet-BiFPN-ECA Fusion Network in disease recognition tasks. The model provides a reliable technical reference for the intelligent diagnosis of tomato leaf diseases. Full article
(This article belongs to the Special Issue Computer Vision and Machine Learning in Horticulture Plants)
Show Figures

Figure 1

26 pages, 4917 KB  
Article
A Comprehensive Clinical Decision Support System for the Early Diagnosis of Axial Spondyloarthritis: Multi-Sequence MRI, Clinical Risk Integration, and Explainable Segmentation
by Fatih Tarakci, Ilker Ali Ozkan, Musa Dogan, Halil Ozer, Dilek Tezcan and Sema Yilmaz
Diagnostics 2026, 16(7), 1037; https://doi.org/10.3390/diagnostics16071037 - 30 Mar 2026
Viewed by 455
Abstract
Background/Objectives: This study aims to develop a comprehensive Clinical Decision Support System (CDSS) that integrates multi-sequence sacroiliac joint (SIJ) MRIs with rheumatological, clinical, and laboratory findings into the decision-making process for the early diagnosis of axial spondyloarthritis (axSpA), incorporating segmentation-supported explainability. Methods: Multi-sequence [...] Read more.
Background/Objectives: This study aims to develop a comprehensive Clinical Decision Support System (CDSS) that integrates multi-sequence sacroiliac joint (SIJ) MRIs with rheumatological, clinical, and laboratory findings into the decision-making process for the early diagnosis of axial spondyloarthritis (axSpA), incorporating segmentation-supported explainability. Methods: Multi-sequence SIJ MRI data (T1-WI, T2-WI, STIR, and PD-WI) were analysed from 367 participants (n = 193 axSpA; n = 174 non-axSpA controls). Sequence-based classification was performed using VGG16, ResNet50, DenseNet121, and InceptionV3 models; additionally, a lightweight and parameter-efficient SacroNet architecture was developed. Slice-level probability scores were converted to patient-level scores using the Dynamic Top-K Averaging method. Image-based scores were combined with a logistic regression-based clinical risk score using weighted linear integration (0.60 image/0.40 clinical) and a conservative threshold (τ = 0.70). Grad-CAM was applied for visual interpretability. Furthermore, to support the diagnostic outcomes with precise spatial data, active inflammation in STIR and T2-WI sequences was segmented. For this purpose, the MDC-UNet model was employed and compared with baseline U-Net derivatives. Results: Sequence-specific analysis showed VGG16 performing best on T1-WI (AUC = 0.920; Accuracy = 0.878) and DenseNet121 on STIR (AUC = 0.793; Accuracy = 0.771). The SacroNet architecture provided competitive classification performance at the patient level despite its low number of parameters (~110 K). Furthermore, MDC-UNet successfully segmented active inflammation, yielding Dice scores of 0.752 (HD95: 19.25) for STIR and 0.682 (HD95: 26.21) for T2-WI. Conclusions: The findings demonstrate that patient-level decision integration based on multi-sequence MRI, when used in conjunction with clinical risk scoring and segmentation-assisted interpretability, can provide a feasible and interpretable DSS framework for the early diagnosis of axSpA. Full article
(This article belongs to the Section Machine Learning and Artificial Intelligence in Diagnostics)
Show Figures

Figure 1

Back to TopTop