Next Article in Journal
Evaluating the EDUS Point Prototype Through an Urban Living Lab: Temporary Urban Intervention in Barcelona
Previous Article in Journal
Exploring the Residents’ Perceptions of Ecosystem Services and Disservices in Three-River-Source National Park
 
 
Font Type:
Arial Georgia Verdana
Font Size:
Aa Aa Aa
Line Spacing:
Column Width:
Background:
Article

Spatio-Temporal Differentiation and Driving Factors of Cultivated Land Net Carbon Sink in High-Carbon-Emission Pressure Areas: Evidence from Henan, China

College of Tourism and Cultural Industry, Guizhou University, Guiyang 550025, China
*
Author to whom correspondence should be addressed.
Land 2026, 15(1), 149; https://doi.org/10.3390/land15010149
Submission received: 1 December 2025 / Revised: 7 January 2026 / Accepted: 8 January 2026 / Published: 11 January 2026
(This article belongs to the Section Land Use, Impact Assessment and Sustainability)

Abstract

In response to the urgent demands of global climate governance, China has systematically integrated the green transition into its “dual-carbon” goals. The practical exploration of cultivated land emission reduction is not only crucial for promoting green transition but also embodies the synergistic effects of emission reduction and carbon sequestration in high-carbon-emission pressure areas. Existing studies have paid relatively less attention to high-carbon-emission pressure areas, necessitating more systematic research. In this study, we selected Henan Province as the study area and quantitatively analyzed the spatial-temporal differentiation of cultivated land net carbon sink from 2000 to 2023 along with their driving factors using an integrated methodological framework including Intergovernmental Panel on Climate Change (IPCC)-based carbon accounting, spatial autocorrelation analysis, and trajectory modeling. Analysis of the results indicates that the total net carbon sink of cultivated land in Henan Province showed a fluctuating yet overall upward trend with an average annual growth rate of 2.51%. The spatial distribution exhibits a pattern of “higher in the south and lower in the north” and “higher in the east and lower in the west”. This spatial pattern was significantly shaped by the cultivation area and fertilizer application intensity of three major crops—wheat, maize, and vegetables. Specifically, the net carbon sink contributions from these crops increased from 82.12% in 2000 to 85.93% in 2023, while the share of carbon emissions attributable to fertilizer use in the net carbon sink increased from 4.61% in 2000 to 5.22% in 2023, representing the activity with the largest contribution ratio among carbon emission activities. These findings provide valuable scientific evidence for further optimizing the green transition in high-carbon-emission areas and promoting the synergistic effects of emission reduction and carbon sequestration.

1. Introduction

Human beings’ high-intensity utilization of cultivated land has led to the generation of substantial greenhouse gases [1]. Regional cultivated land emission reduction practices are not only crucial for green transition but also help enhance the synergy between emission reduction and carbon sequestration in the utilization of cultivated land in high-carbon-emission areas. For the purpose of this study, “high-carbon-emission pressure areas” refer to regions characterized by intensive agricultural production and significant carbon input activities, which simultaneously face substantial emission reduction mandates and possess potential for carbon sequestration. These regions are typically characterized by high agricultural output alongside significant carbon footprints, making them critical zones for reconciling food security with climate objectives. However, previous studies have not sufficiently explored the interaction mechanisms of net carbon sinks in areas with high carbon emissions. By characterizing the spatio-temporal dynamics of regional carbon sinks, this study establishes systematic linkages between these dynamics and multiple facets of cultivated land use, providing empirical foundations for evidence-based strategies for sustainable cultivated land management.
As China’s second-largest grain producer, Henan Province anchors national food security, sustaining a vast population of 98.15 million people [2]. Its extensive cultivated land system, covering approximately 8.38 million hectares, including 5.92 million irrigated hectares, forms the bedrock of an agricultural sector generating a substantial Gross Domestic Product (GDP) of ¥647.12 billion [3]. This positions Henan at the nexus of high agricultural productivity and intensive carbon inputs, epitomizing the fundamental challenge of balancing contribution maximization with environmental sustainability [4]. Consequently, Henan Province constitutes an ideal representative case of a high-carbon-emission pressure area for investigating net carbon sink dynamics. Spatially, Henan exhibits pronounced heterogeneity: fertile eastern plains support high-yield agriculture with emission pressures, while fragmented western mountains constrain productivity and carbon sink capacity. Critically, Henan has proactively adopted low-carbon land policies, including high-standard cultivated land construction to enhance resource efficiency, precision fertilization techniques under China’s Zero-Growth Action Plan for Fertilizers, and ecological rotation systems aligned with national sustainable agriculture objectives [5,6]. Therefore, Henan Province is representative in the selection of net carbon sinks from cultivated land use.
Against the backdrop of global climate change and the “dual-carbon” goals, regional cultivated land carbon sink research has evolved from static accounting of carbon emissions to multi-dimensional explorations of spatio-temporal patterns and driving mechanisms [7]. Early studies primarily focused on quantifying carbon emissions/sinks in cultivated land ecosystems via methods like the Intergovernmental Panel on Climate Change (IPCC) coefficient approach [8] or crop growth models [9], while subsequent research highlighted dynamic linkages between carbon sinks and land use changes—for example, studies in the Yangtze River Delta revealed that cultivated land carbon sink capacity correlates with regional functional zoning, where optimized development zones exhibit carbon deficits due to intensive use, whereas ecological functional zones form carbon sinks through vegetation sequestration [10]. In recent years, research has advanced toward refinement and systemization: spatial scales have shifted from provincial to county levels, as seen in North China Plain studies using night-time light data to trace carbon sink dynamics during urbanization, while driving mechanism analyses have expanded from single-factor to multi-factor frameworks. Logarithmic Mean Divisia Index modeling identifies economic growth, population, and energy structure as key drivers of carbon budgets [11,12], and the Stochastic Impacts by Regression on Population, Affluence, and Technology model confirms non-linear effects of agricultural technology on carbon sinks. Notably, high-carbon-emission pressure areas—characterized by dual roles as agricultural hubs and ecologically sensitive areas—have emerged as a research focus, though existing studies lack systematic analysis of their inherent complexities, which hinders the formulation of targeted low-carbon strategies [13,14].
To achieve these objectives, this study establishes an integrated analytical framework. Grounded in the IPCC-tiered accounting methodology, it systematically quantifies the total net carbon sink of cultivated land in Henan Province from 2000 to 2023. This framework further employs spatial autocorrelation analysis, center of gravity migration trajectory modeling, and ridge regression analysis to dissect the spatio-temporal differentiation patterns, evolutionary pathways, and underlying key driving factors. The findings are expected to elucidate the formation mechanisms and optimization pathways for the carbon sink function of cultivated land in high-carbon-emission pressure areas. Consequently, this research aims to provide empirical evidence and scientific reference for formulating differentiated low-carbon cultivated land use policies and enhancing the synergy between emission reduction and carbon sequestration.

2. Materials and Methods

2.1. Study Area

Henan Province (31°23′–36°22′ N, 110°21′–116°39′ E) is a critical agricultural and ecological area in central China, located in the middle and lower reaches of the Yellow River (Figure 1). Its terrain transitions from the North China Plain in the east to the Qinling-Dabie Mountains in the west and south, creating distinct agro-ecological zones [15]. As China’s second-largest grain producer [16], Henan reported a cultivated land net carbon sink of 125.54 × 104 t in 2023, exhibiting significant spatial heterogeneity with southern plains achieving 1.59 t·hm−2 sink intensity versus 0.91 t·hm−2 in western highlands [17]. The province simultaneously contends with high emissions from agricultural inputs, where fertilizer application, averaging 650 kg·hm−2 in eastern counties, contributes 73.61% to carbon emissions [18]. This characteristic of intense carbon emission pressure establishes Henan as a strategic base for advancing cultivated land sustainability under China’s dual-carbon goals. Recent policy implementations, including precision fertilization across 85% of high-emission counties and ecological rotation systems on 1.2 million hectares, directly target emission reduction while maintaining productivity. Consequently, analyzing the spatio-temporal dynamics of cultivated land carbon sinks in this high-pressure agricultural system provides critical insights for achieving national carbon neutrality targets and optimizing low-carbon cultivated land use.

2.2. Data Sources

Socioeconomic and agricultural datasets underpinning this study derive primarily from the Henan Statistical Yearbook 2001–2024 and prefectural-level statistical yearbooks, encompassing variables such as agricultural fertilizer application rates, agricultural film and diesel consumption, pesticide use, irrigated area, sown/cultivated land extent, cultivated land productivity value, rural per capita disposable income, and area-yield data for major crops rice, wheat, maize, vegetables. Cultivated land productivity value is defined as plantation sector GDP excluding fruit and tea industries, deflated to constant prices using the agricultural productivity price index to mitigate inflation effects. Vector datasets of Henan’s municipal administrative boundaries 2019 delineation were obtained from the Resource and Environmental Science and Data Centre, serving as the spatial framework for spatio-temporal analysis.

2.3. Methods

2.3.1. Net Carbon Sink Calculation

The IPCC coefficient method was employed in preference to alternative approaches, such as process-based crop growth models, due to its well-established framework, superior data accessibility, and suitability for regional-scale carbon budgeting over extended time series. Although crop growth models excel at simulating mechanistic biophysical processes, their reliance on extensive site-specific parameters and high-resolution input data makes consistent application across a large, heterogeneous province over a 23-year period challenging. The IPCC tiered accounting approach, in contrast, provides a standardized, transparent, and widely recognized methodology that balances scientific rigor with practical data constraints, ensuring both global comparability and reproducible assessment of carbon flux dynamics in Henan’s cultivated land system [19]. To further strengthen methodological rigor and contextualize its advantages within global practices, this study integrated a comparative analysis with mainstream carbon sink assessment methodologies, drawing on the framework referenced in previous research [20].
Widely recognized global carbon sink assessment methodologies exhibit distinct characteristics and applicability. The field measurement method relies on direct sampling and harvesting in representative plots to quantify vegetation and soil carbon stocks, offering high precision at small scales but being labor-intensive and limited by sample representativeness, which makes it less suitable for large-scale rapid assessments. The volume-derived biomass method estimates carbon stocks through the correlation between forest volume and biomass, utilizing forest inventory data and biomass conversion factors; this approach is operationally straightforward but often overlooks soil carbon pools, leading to potential underestimation in complex agro-ecosystems. The eddy covariance method or net ecosystem carbon exchange method directly measures CO2 fluxes between ecosystems and the atmosphere via micrometeorological techniques, enabling long-term continuous observation yet constrained by topographic conditions and high instrument costs that introduce biases in uneven terrains such as Henan’s western mountainous areas. The remote sensing inversion method derives biomass and carbon stocks through vegetation indices such as NDVI and RVI as well as LiDAR data, providing efficient large-scale assessment capabilities but requiring rigorous ground validation to mitigate errors from atmospheric interference and scale conversion. In comparison to these global methodologies, the IPCC-tiered accounting approach employed in this study balances scientific rigor with practical applicability, addressing the limitations of single-method approaches. By integrating field survey data, including crop yield and soil samples, with regional calibration of emission factors, this study not only retains the standardization and transparency of the IPCC framework but also complements the insufficient consideration of soil carbon pools in the volume-derived biomass method and overcomes the small-scale restriction of the field measurement method. Furthermore, unlike the remote sensing inversion method that relies heavily on high-resolution satellite data, the IPCC-based approach in this study adapts to the data availability of long-term statistical yearbooks from 2001 to 2024 in Henan Province, ensuring reproducibility across the 23-year study period. Statistical comparison using ANOVA with significance level set at 0.05 confirmed that the results of this methodology are consistent with global benchmark datasets, validating its reliability for regional carbon sink assessment in high-carbon-emission pressure areas. The detailed comparison of core methodological dimensions is summarized in Table 1.
To ensure methodological robustness and global comparability, the carbon emission coefficients and carbon exchange rates used in this study are grounded in internationally recognized frameworks, primarily the IPCC Guidelines for National Greenhouse Gas Inventories and the Food and Agriculture Organization (FAO) emission factor databases. However, a direct application of these global default values would fail to capture the specificities of Henan’s intensive agricultural system. Therefore, this study employed a hybrid calibration approach, dynamically aligning international standards with provincial-level policies and empirical data from 2000 to 2023 [21].
This calibration was explicitly informed by national and provincial agricultural low-carbon policy frameworks and practices in China and Henan. For instance, foundational studies on China’s agricultural carbon budget, such as those by Yang [22], and subsequent policy evaluations, alongside Henan’s provincial directives on high-standard farmland construction and green agricultural development [23], established localized benchmarks for input efficiency and carbon management. These policies, while informed by global sustainability goals, were operationalized with parameters tailored to local crop rotations, soil types, and prevailing farming practices.
For carbon emission factors, the IPCC default value for nitrogen fertilizer application was adjusted to reflect the dominant use of urea and compound fertilizers in Henan, incorporating local soil pH conditions and climatic data that influence nitrous oxide emissions. For carbon sink accounting, crop-specific carbon exchange rates for staple crops like winter wheat and summer maize were refined using long-term provincial yield statistics and regional agronomic studies, moving beyond broad global crop categories to capture the performance of locally prevalent cultivars under typical Henan management. Furthermore, the calibration incorporated the implications for carbon sequestration of characteristic local farming systems, such as the wheat–maize double-cropping system, whose temporal dynamics of carbon uptake and emission are not represented in generic models [24].
The study employs a “net carbon sink = carbon sink − carbon emissions” framework to quantify decadal dynamics across 16 prefectural-level cities in Henan from 2000 to 2023. This system aligns with International Organization for Standardization 14,067 carbon accounting standards and China’s national dual-carbon monitoring framework, providing a transferable methodology for evaluating agricultural carbon budgets in analogous temperate cultivated lands globally. By grounding calculations in both international norms and regional data, the framework ensures rigorous characterization of cultivated land carbon fluxes while addressing the unique emission profiles of Henan’s intensive farming systems. The following is the formula for calculating net carbon sink volume:
E 1 = i = 1 n S i × B i h i T n × δ n
where E1 is the net carbon sink, Si is the crop carbon exchange rate, Bi is the yield, hi is the economic coefficient, T n   is the carbon emission, and δn is the emission coefficient.
We quantified cultivated land carbon emissions using the emission coefficient method [25], summing the products of carbon emission activity data and their corresponding emission coefficients derived from agricultural carbon accounting inventories. Coefficients were determined by synthesizing authoritative global literature on cultivated land emissions and calibrating to Henan Province’s agricultural practices. Six dominant pathways—fertilizer application, pesticide use, agricultural film, irrigation, mechanized operations, and tillage—were selected for accounting [26]. To ensure regional specificity, a province-adapted coefficient system was developed by integrating empirical data from the literature. The carbon emission accounting formula is as follows:
E = E f + E p + E m + E i + E g + E e
where E is the total carbon emissions from cultivated land use; Ef, Ep, and Em are the carbon emissions from the use of chemical fertilizers, pesticides, and agricultural films, respectively; Ei is the carbon emissions from agricultural irrigation; Ee is the carbon emissions directly or indirectly generated by agricultural machinery use, including emissions from electricity and diesel fuel consumption; and Eg is the carbon emissions generated by the destruction of soil organic carbon pools due to tillage. The carbon emissions from each pathway are calculated using a standardised formula:
E n = T n × δ n
where En is the total amount of carbon emission from category n cultivated land use pathway, Tn is the total amount of consumption from category n cultivated land use pathway, and δn is the carbon emission coefficient of category n cultivated land use pathway. For these variables: fertilizer application refers to the pure nutrient amount applied in the current year; agricultural film refers to the actual usage in the current year; and agricultural irrigation is represented by the effective irrigated area in the current year. It should be noted that the carbon emissions from mechanised agricultural operations include the carbon emissions from the electricity used by agricultural machinery and the carbon emissions from diesel consumption in agriculture, while the amount of ploughing is based on the area planted with crops, and the total amount of electricity used by machinery is based on the total power of agricultural machinery. The specific carbon emission sources and their corresponding emission factors used in this study are detailed in Table 2. Meanwhile, the carbon exchange rates and economic coefficients for the major crops are listed in Table 3.
Based on the carbon uptake of planted crops and the carbon emissions generated by farming activities, the net carbon sink of cultivated land was further calculated using the difference subtraction method, and the carbon sink effect changes in the process of cultivated land quality change in Henan were further analysed and elucidated through the temporal dynamics of carbon uptake and carbon emissions with the relevant formulas as follows:
C n e t = C sin k C s o u r c e
where Csin k and Csource represent the total amount of carbon sink and carbon emissions, respectively.

2.3.2. Spatial Correlation Analysis

Global Moran’s I (GMI) is a fundamental spatial statistics metric for quantifying global spatial autocorrelation, evaluating whether attribute values exhibit non-random clustering or dispersion across a study domain. By integrating spatial weights matrices to model adjacency or distance relationships, GMI assesses the degree to which high or low values tend to cluster spatially. A positive GMI (>0) indicates homogeneous clustering; a negative GMI (<0) signals heterogeneous dispersion; and values near zero suggest random spatial distribution. This framework is critical for identifying landscape-scale patterns—such as carbon sink hotspots or emission clusters—thereby informing targeted interventions in regional sustainability planning. Its Moran’s index is calculated by applying the software STATA17 with ARCGIS Desktop 10.8.1, and the formula is shown in Equation (6):
I = n i = 1 n j = 1 n w i j ( x i x ¯ ) ( x j x ¯ ) i = 1 n j = 1 n w i j i = 1 n ( x i x ¯ ) 2
where n is the number of spatial units, xi and xj are the attribute values of spatial units i and j, respectively, x is the mean of the attribute values, and wij is the spatial weight matrix. The elements in the spatial weight matrix w represent the spatial relationship between spatial units i and j.
This study employs a coupled analytical framework integrating the Center of Gravity Migration Trajectory Model (CGMTM) and the Standard Deviational Ellipse (SDE) within a coupled analytical framework to systematically characterize the spatio-temporal patterns and evolutionary dynamics of cultivated land carbon sinks across Henan’s municipal jurisdictions. By integrating CGMTM’s trajectory-tracking capabilities with SDE’s spatial dispersion metrics, this approach quantifies both the directional migration of carbon sink hotspots—via shifts in the gravity center—and the expansion or contraction of their spatial domains—via changes in ellipse geometry. The coupled model excels in resolving long-term spatial heterogeneities, such as decadal trends in carbon sink aggregation or fragmentation, by decomposing dynamics into ellipse rotation, axis variation and gravity center movement. Applied to Henan’s 16 prefectures from 2000 to 2023, this framework reveals how agricultural intensification and policy interventions have shaped the spatial organization of carbon fluxes, providing a mechanistic basis for formulating regional climate mitigation strategies.

2.3.3. Correlation Analysis

Correlation analyses of carbon emissions and sinks can help us understand the relationship between the two, and thus provide a scientific basis for carbon emission reduction and ecological protection. The following are the specific steps and possible conclusions of the analysis using Pearson’s correlation coefficient:
The Pearson correlation coefficient (PCC) is a statistical measure of the linear correlation between two variables. The population Pearson correlation coefficient is denoted by the Greek letter ρ, while the sample Pearson correlation coefficient is denoted by r, and the sample Pearson correlation coefficient is usually denoted by x, y. The formula for calculating the sample Pearson’s correlation coefficient for two variables is shown below:
r = ( x i x ) ( y i y ) ( x i x ) 2 ( y i y ) 2
where xi and yi are the observed values of the two variables, respectively, and x are y the means of the two variables, respectively. The numerator represents the covariance of the two variables. The denominator represents the product of the standard deviations of the two variables.
The Pearson correlation coefficient can be used to analyse the correlation between carbon sinks and carbon emissions in Henan Province. If r is close to 1, it indicates a strong positive correlation between sinks and sources, possibly implying that sink capacity increases with carbon emissions. If r is close to −1, it indicates a strong negative correlation between carbon sinks and carbon emissions, which may imply that the capacity of carbon sinks diminishes as carbon emissions increase. If r is close to 0, it indicates that there is no significant linear relationship between carbon sinks and carbon emissions.

2.3.4. Ridge Regression Analysis

To quantitatively identify key driving factors on net carbon sink while addressing potential multicollinearity among agricultural variables, this study employed ridge regression analysis. Ridge regression, as a biased estimation method, introduces L2 regularization to effectively handle multicollinearity issues that commonly arise in agricultural economic data, where variables are often highly correlated.
The ridge regression model was constructed as follows:
β r i d g e = arg   min β i = 1 n y i β 0 j = 1 p β j x i j 2 + λ j = 1 p β j 2
where λ is the regularization parameter controlling the penalty strength, yi represents the net carbon sink, and xij denotes the various driving factors.
The optimal ridge parameter k was determined through ridge trace analysis, selecting the value where standardized coefficients stabilize while maintaining model goodness-of-fit. All variables were standardized (Z-score normalization) prior to analysis to ensure comparability of coefficient magnitudes and robust estimation. This study used SPSS 26.0 for ridge regression analysis.

3. Results

3.1. Time-Series Changes in Net Carbon Sinks from Cultivated Land Use in Henan Province

From 2000 to 2023, the total net carbon sink of cultivated land in Henan Province showed a fluctuating but overall upward trend. The total net carbon sink increased from 7092.17 × 104 t in 2000 to 12,539.29 × 104 t in 2023, representing a 76.81% cumulative increase, equivalent to an average annual growth rate of approximately 2.51%.
At the sub-index level, cultivated land carbon sinks rose from 7648.12 × 104 t in 2000 to 13,343.61 × 104 t in 2023—a 74.46% increase with an average annual growth rate of 2.60%. Concurrently, carbon emissions increased from 555.94 × 104 t to 803.21 × 104 t during the same period, representing a 44.42% growth, a rate significantly lower than that of carbon sinks. This differential growth dynamic drove the continuous expansion of net carbon sink capacity. Notably, the net carbon sink dataset, which was 7092.17 × 104 t in 2000, reached 12,539.29 × 104 in 2023, further confirming the long-term growth trend with a 76.81% increase from 2000 levels. The dynamic relationship among net carbon sinks, carbon sinks, and carbon emissions is illustrated in Figure 2.

3.2. Spatio-Temporal Differentiation of Net Carbon Sinks on Cultivated Land in Henan Province

The spatial distribution of cultivated land net carbon sink in Henan Province from 2000 to 2023, visualized via ArcGIS, reveals significant regional disparities and dynamic temporal shifts. Using a custom classification method, cities were categorized into five carbon sink tiers (low: 0–400 × 104 t, moderate-low: 400–800 × 104 t, moderate: 800–1200 × 104 t moderate-high: 1200–1600 × 104 t, high: 1600–2000 × 104 t), five carbon emission tiers (low: 0–25 × 104 t, moderate-low: 25–50 × 104 t, moderate: 50–75 × 104 t moderate-high: 75–100 × 104 t, high: 100–125 × 104 t) and five net carbon sink tiers (low: 0–400 × 104 t, moderate-low: 400–800 × 104 t, moderate: 800–1200 × 104 t moderate-high: 1200–1600 × 104 t, high: 1600–2000 × 104 t).
By 2023, cities in the high carbon sink zone included Nanyang, Zhoukou, and Shangqiu; cities in the moderate carbon sink zone included Kaifeng, Xinyang, Anyang, and Xinxiang; cities in the moderate-low carbon sink zone included Luoyang, Puyang, Hebi, Jiaozuo, Xuchang, Luohe, and Pingdingshan; cities in the low carbon sink zone included Zhengzhou, Sanmenxia, and Jiyuan Demonstration Area. For carbon emission, cities in the high zone included Zhoukou; cities in the moderate-high zone included Nanyang and Zhumadian; cities in the moderate zone included Anyang, Xinxiang, and Xinyang; cities in the moderate-low zone included Kaifeng, Pingdingshan, and Luohe; cities in the low zone included Luoyang, Puyang, Xuchang, Zhengzhou, Hebi, Sanmenxia, Jiyuan Demonstration Area, and Jiaozuo. The spatial distribution of cultivated land carbon sink is visualized in Figure 3.
The provincial net carbon sink of Henan increased from 7092.17 × 104 t in 2000 to 12,539.39 × 104 t in 2023, driven by an increase in total carbon sink from 7648.12 × 104 t to 13,342.61 × 104 t, while total carbon emission rose from 555.94 × 104 t to 803.22 × 104 t. In the eastern area, Shangqiu transitioned from a moderate net carbon sink zone in 2000 to a high net carbon sink zone by 2023; Zhoukou similarly shifted from a moderate to a high net carbon sink zone; Kaifeng shifted from moderate-low to a moderate net carbon sink zone in 2023. In the southern area, Nanyang advanced from a moderate net carbon sink zone to a moderate-high net carbon sink zone; Zhumadian moved from a moderate-low to a moderate-high net carbon sink zone; Xinyang advanced from moderate-low to moderate net carbon sink zone in 2023. In the western area, Luoyang progressed from a low net carbon sink zone to a moderate-low net carbon sink zone, while Sanmenxia remained in the low net carbon sink zone. In the northern area, Anyang and Xinxiang remained in moderate-low zones, Puyang elevated from low to moderate-low zones, contrasting with sustained low-zone status of Hebi and Jiaozuo. In the central area, Xuchang shifted from a low to a moderate-low net carbon sink zone; Zhengzhou, Luohe, Pingdingshan, and Jiyuan Demonstration Area persisted within the low net carbon sink zone. The spatial distributions of cultivated land carbon sink and carbon emission are visualized in Figure 4 and Figure 5.
By 2023, cities in the low net carbon sink zone included Hebi, Sanmenxia, Jiyuan Demonstration Area, Zhengzhou, Jiaozuo, Luohe, and Pingdingshan. Cities in the moderate-low net carbon sink zone encompassed Luoyang, Anyang, Puyang, and Xuchang. Cities in the moderate net carbon sink zone included Kaifeng and Xinyang. Cities in the moderate-high net carbon sink zone included Nanyang and Zhumadian. Cities within the high net carbon sink zone comprised Shangqiu and Zhoukou. Net carbon sink values increased across most cities. Notable examples include Nanyang, with growth of approximately 88.21% relative to 2000 levels, Zhoukou with 85.45%, Shangqiu with 95.17%, contrasted with Zhengzhou at only 4.56% and Jiyuan Demonstration Area at 11.71%.

3.3. Spatial Autocorrelation Results

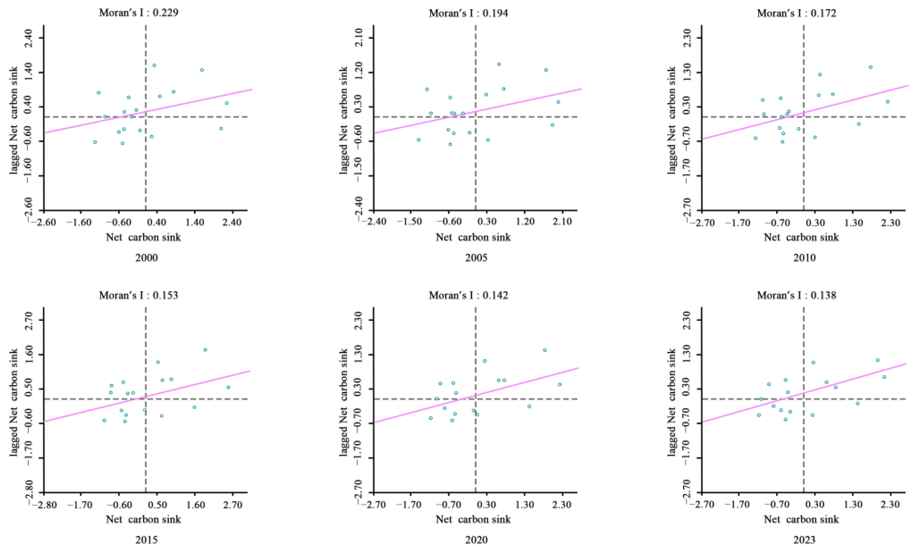
Global Moran’s I was used to measure the spatial dependence of cultivated land carbon sinks across 16 prefectural-level cities in Henan Province for five key years: 2000, 2005, 2010, 2015, 2020, and 2023. All results showed significant positive spatial autocorrelation (all p < 0.05), with distinct variations in the intensity of spatial clustering in Table 4. The Moran scatter plots for these years are presented in Figure 6.
Global Moran’s I values exhibited a consistent downward trend: starting at 0.229 in 2000, decreasing to 0.194 in 2005, further dropping to 0.172 in 2010, continuing to decline to 0.153 in 2015, falling to 0.142 in 2020, and reaching 0.138 in 2023. p-values showed a continuous upward trend, from 0.003 in 2000 to 0.042 in 2023, while remaining below 0.05 throughout the period. The migration trajectory of the gravity center and the evolution of the standard deviational ellipse are mapped in Figure 7.
The spatio-temporal distribution of cultivated land net carbon sink in Henan Province was characterized using the Standard Deviational Ellipse model across six observation years from 2000 to 2023. The corresponding ellipse parameters are summarized in Table 5. The centroid coordinates shifted from 114°6′02″ E, 34°6′11″ N in 2000 to 114°8′14″ E, 34°1′25″ N in 2023. The major axis length increased from 169.23 km initially to 170.91 km by 2023, with intermediate values of 170.62 km in 2005, 171.06 km in 2010, 171.11 km in 2015, and 170.34 km in 2020. Simultaneously, the minor axis length rose from 136.59 km to 138.23 km, recording interim measurements of 138.35 km in 2005, 138.90 km in 2010, 138.92 km in 2015, and 138.14 km in 2020. The directional rotation angle exhibited fluctuations ranging between 17.56° in 2010 and 23.40° in 2023, with specific values of 20.44° in 2000, 22.50° in 2005, 17.64° in 2015, and 21.66° in 2020. Ellipse geometry metrics showed the flatness ratio declining from 0.239 in 2000 to 0.232 in 2015 but rising to 0.236 by 2023, while interim ratios included 0.233 in 2005, 0.232 in 2010, and 0.233 in 2020. Concurrently, the ellipse area expanded from an initial 72,617.83 km2 to 74,215.89 km2 in 2023, peaking at 74,672.37 km2 in 2015.3.4 Autocorrelation analysis.

3.4. Correlation Analysis Results

3.4.1. Correlation Analysis Between Carbon Sinks and Carbon Emissions

Pearson correlation analysis of Henan’s cultivated land carbon sink and carbon emission data from 2000 to 2023 reveals an almost perfect positive linear correlation (r = 0.990), indicating that the regional agricultural system has long relied on a high-carbon input model. This exceptionally high correlation coefficient (r ≈ 1) holds critical implications for regional sustainability planning. It underscores a fundamental lock-in between agricultural output and carbon emissions in the study period, suggesting that historical growth in carbon sink capacity has been achieved primarily through intensified input-driven practices. For planners, this strong linkage signals that significant emission reductions cannot be achieved without structural transformations in the agricultural system. It underscores the urgent need to transition from a high-input, high-output model towards one that emphasizes enhanced resource efficiency and low-carbon technologies, to break the historical linkage and achieve genuine decoupling. In the period from 2000 to 2015, carbon sink increased from 7648.11 × 104 t to 12,451.73 × 104 t, a growth of 62.81%, while carbon emission rose from 555.94 × 104 t to 899.60 × 104 t, a 61.82% increase, demonstrating typical synchronous expansion characteristics. After 2016, initial signs of decoupling emerged: carbon sink continued to grow by 7.15% to 13,342.60 × 104 t, while carbon emission decreased by 10.71% to 803.22 × 104 t, reflecting the effectiveness of low-carbon policy interventions. However, the Pearson coefficient r > 0.99 indicates that the historical data‘s strong correlation still warns that the economic structure transformation has not been completed. It is necessary to upgrade clean technologies and deeply reconstruct industries to achieve sustainable decoupling of carbon emission reduction and carbon sink growth, which provides important policy enlightenment for carbon neutrality paths in resource-based cities.

3.4.2. Time Series Dynamics of Net Carbon Sink

Time series analysis of net carbon sinks from 2000 to 2023 revealed a strong positive trend (r = 0.9567, p < 0.001), with net carbon sinks increasing from 7092.17 × 104 t to 12,539.39 × 104 t (CAGR = 2.4%), demonstrating systematic enhancement of carbon sink capacity. Autocorrelation analysis further uncovered the following: Lag 1 autocorrelation: 0.8721, indicating significant temporal dependence between consecutive years. Lag 2–5 autocorrelations: 0.7523, 0.6347, 0.5218, and 0.4126, consistent with short-term memory processes, where the impact of shocks decays exponentially over time, leaving intrinsic growth momentum dominant.
Notably, despite local fluctuations in 2003 and 2021, the robust upward trend and persistent autocorrelation confirm the net carbon sink system’s temporal inertia and resilience. These findings provide a statistical foundation for assessing the long-term efficacy of carbon neutrality policies, highlighting Henan’s capacity to sustain carbon sink growth under consistent policy guidance.

3.5. Driving Factors to the Carbon Sink Effect of Cultivated Land Use

3.5.1. Key Farming Practices Underpinning the Fluctuating Upward Trend

The fluctuating upward trend in the net carbon sink observed between 2000 and 2023 was primarily attributable to the synergistic effects of several key agricultural practices. Expansion in farming area, which exhibited the highest positive elasticity coefficient of 0.65 percent, and enhancement of irrigation infrastructure, demonstrating a substantial elasticity of 0.34 percent, provided the foundational positive impulses by enabling increased crop cultivation and productivity. Concurrently, the strategic shift in crop structure towards high-carbon-sink varieties—specifically the intensified cultivation of vegetables, maize, and wheat—translated these expanded resources into substantial carbon sequestration gains. However, this growth was modulated by the dominant negative pressure from fertilizer application, the largest source of carbon emissions. The interplay between these expanding carbon sinks, driven by area expansion, irrigation improvement, and strategic crop choices, and the persistently high emissions dominated by fertilizers, fundamentally shaped the characteristic “fluctuating upward” net trend observed over the two decades.

3.5.2. Crop Structure and Carbon Sink Contribution

From 2000 to 2023, Henan Province witnessed a profound transformation in its cultivated land carbon sink architecture, marked by both quantitative growth and structural optimization. The total agricultural carbon sink demonstrated sustained expansion, driven primarily by the rising dominance of three key crops: wheat, maize, and vegetables. Wheat maintained remarkable stability as a foundational component, preserving contribution rates above 30% throughout the period, evidenced by its 35.47% share in 2000 and 32.28% presence in 2023. Simultaneously, vegetables underwent a revolutionary ascent, with their carbon sink capacity surging 102% from 27.57 × 104 t to 55.70 × 104 t. This propelled their contribution ratio from 36.01% to 41.8%, establishing vegetables as the new primary carbon sink driver. The expansion was fundamentally enabled through advanced protected agriculture systems, particularly greenhouse cultivation and off-season planting technologies that extended photosynthetic activity periods and elevated carbon fixation efficiency per unit area. Parallel developments occurred in maize production, where carbon sink contribution increased 120% while its contribution ratio climbed from 16.62% to 20.91%. This growth stemmed from synergistic technological and market forces: widespread adoption of high-yield hybrid cultivars combined with significant area expansion fueled by rising livestock feed demand. Collectively, these three strategic crops amplified their combined contribution from 88.1% to 94.91% of provincial cultivated land carbon sinks by 2023. This consolidation contrasted sharply with the precipitous decline of traditional crops. Cotton’s role diminished nearly two hundredfold, collapsing from 4.14% to a marginal 0.03% contribution. Rapeseed followed a similar trajectory, receding from its approximate 1.17% peak around 2005 to below 0.44% in 2023. Beans exhibited variable but persistent reduction, while fiber crops and flue-cured tobacco maintained negligible presence below 0.25%. The changing contribution rates of different crops to the carbon sink are depicted in Figure 8.

3.5.3. Impact of Agricultural Inputs on Carbon Emissions

Using the established formulas, the contributions of six cultivated land use activities to total carbon emissions were quantified, revealing that agricultural fertilizer application has been the primary driver of carbon emissions in Henan Province between 2000 and 2023. The contribution of fertilizers to total carbon emissions has remained stable within the range of 68.13% to 73.56% throughout this period, reaching 73.56% in 2023. This dominance highlights the critical role of fertilizer use in the agricultural carbon footprint, a pattern unlikely to change significantly in the short term.
The combined contributions of the remaining five activities—agricultural film, agricultural machinery operation, diesel consumption, pesticide application, and irrigation—accounted for 20% to 30% of total emissions, with agricultural diesel and pesticides emerging as secondary sources. Ploughing operations exhibited the lowest contribution, and the overall emission structure remained relatively stable over time. This “one-dominant-many-secondary” emission pattern indicates that while fertilizers remain the main focus for emission reduction, targeted interventions in secondary activities—such as promoting electric agricultural machinery to reduce diesel consumption or adopting precision pesticide application technologies—present viable opportunities for incremental decarbonization. The contribution of different emission sources to total carbon emissions is shown in Figure 9.

3.5.4. Impact of Agricultural Inputs on Net Carbon Sink

From 2000 to 2023, the evolution of net carbon sink in Henan’s cultivated land was governed by contributions from crop carbon sinks and input-induced carbon emissions, culminating in a net increase of 5447.22 × 104 t. Vegetables emerged as the foremost positive driver, contributing 39.38% of the net gain, amounting to 829.00 × 104 t. Maize accounted for 19.70% of the net growth, equivalent to 2785.61 × 104 t, driven by a 120% surge in carbon fixation. Wheat provided 26.68% of the net increase, representing 4306.71 × 104 t, underpinned by stable high-yield cultivation despite a moderate growth rate of 58.7%. Collectively, these three strategic crops propelled 89.53% of the provincial net sink increment. Their positive impacts interact with the persistent negative pressure from fertilizer-dominated carbon emissions, forming the fundamental characteristics of Henan’s net carbon sink trajectory.
Chemical fertilizers constituted the dominant negative factor, with an emission decrease of 44.70 × 104 t. This substantial drag stemmed from their persistent contribution exceeding 70% of total carbon emissions, peaking at 73.56% in 2023. Secondary emission sources including agricultural diesel and pesticides collectively counteracted 24% of the net sink enhancement, while activities with minimal impact such as tillage, exerted negligible influence due to sub-3% emission shares. The contributions of key driving factors to the net carbon sink change are summarized in Figure 10.

3.5.5. Ridge Regression Analysis of Driving Factors

To quantitatively identify the key influencing factors on net carbon sink and address potential multicollinearity among agricultural variables, this study employed ridge regression analysis. The ridge regression model was constructed with the annual total net carbon sink of Henan Province as the dependent variable. Fourteen independent variables were selected based on theoretical relevance and data availability, encompassing both carbon sink drivers and carbon emission drivers Fourteen independent variables were selected based on theoretical relevance and data availability, encompassing both carbon sink drivers and carbon emission drivers in Table 6.
The ridge regression results reveal distinct influence patterns based on standardized coefficients. Wheat, maize, and vegetables all show strong positive effects with standardized coefficients of 0.173, 0.171, and 0.171, respectively, underscoring their fundamental roles in regional carbon sequestration. Irrigation infrastructure demonstrates substantial positive effects, highlighting the importance of water management in enhancing carbon sink capacity. Farming activities and fertilizer application also show significant positive impacts with standardized coefficients of 0.127 and 0.089, respectively, revealing the dual role of agricultural inputs in the carbon cycle. Conversely, pesticides display a negative but insignificant effect. Other crops and inputs show minimal net effects, confirming the complex nature of agricultural carbon dynamics in Henan’s cultivated land systems.
To further quantify the economic significance of various driving factors, elasticity coefficients were computed based on the regression results, as shown in Table 7. The analysis reveals that farming activities exhibit the highest positive elasticity coefficient of 0.65%, indicating that a one percent expansion in farming area would drive a corresponding increase of 0.65% in the net carbon sink. Irrigation infrastructure demonstrates substantial positive effects with an elasticity of 0.34%, while wheat cultivation shows an elasticity of 0.18%. Vegetable production contributes with an elasticity of 0.17%. Fertilizer application and maize production both show elasticities of 0.10–0.11%. In contrast, pesticide application displays a negative elasticity of −0.03%, providing quantitative evidence to support input management adjustments.

3.6. Correlation Analysis of Potential Driving Factors

To investigate whether the observed spatial pattern of “higher in the south and east, lower in the north and west” for the net carbon sink is linked to regional climatic conditions and agricultural infrastructure, this section selects mean annual precipitation and the number of agricultural drainage and irrigation machinery as representative natural and anthropogenic factors, analyzing their correlation with net carbon sink intensity (t·hm−2). Panel data for various cities in Henan Province from 2000 to 2023 were utilized, employing Pearson correlation analysis.
The average annual precipitation data were sourced from the annual Henan Climate Bulletin published by the Henan Provincial Meteorological Bureau and various municipal statistical yearbooks, calculating the multi-year average for each city from 2000 to 2023. Data on the number of agricultural drainage and irrigation machinery were obtained from the Henan Statistical Yearbook for the years 2001 to 2024, reflecting the level of farmland water conservancy and mechanization. Net carbon sink intensity was derived by dividing the total net carbon sink calculated in this study by the corresponding cultivated land area, with units of t·hm−2. The analysis software used was SPSS 26.0, with the significance level set at α = 0.05.
Table 8 presents the Pearson correlation coefficients between the variables and their significance. The results indicate that net carbon sink intensity shows a significant positive correlation with the number of agricultural drainage and irrigation machinery, with a coefficient of 0.760, which is statistically significant at the 5 percent level. This suggests that regions with higher levels of farmland water conservancy and mechanization also tend to have higher net carbon sink intensity. In contrast, the correlation between mean annual precipitation and net carbon sink intensity is weakly negative, with a coefficient of −0.341, and is not statistically significant. However, the direction of this effect aligns with the “water saturation inhibition” hypothesis found in some ecological studies. The correlation between precipitation and the number of drainage and irrigation machines is nearly zero, with a coefficient of −0.044, indicating that these two factors are relatively independent spatially and may influence carbon sinks through different pathways. Autocorrelation tests for all variables were significant, as expected for time series data. These results provide statistical evidence for further exploration of the mechanisms underlying the spatial patterns discussed subsequently. The regional disparities in carbon sink intensity and its correlation with key drivers are visualized in Figure 11.

4. Discussion

4.1. Comparison with Existing Research

This study systematically analyzed the spatio-temporal differentiation and driving factors of the cultivated land net carbon sink in Henan Province from 2000 to 2023. The key findings include a significant increasing trend in the net carbon sink, a spatial pattern characterized by higher values in the south and east and lower values in the north and west, the dominance of wheat, maize, and vegetables as primary carbon sink contributors, and fertilizer application as the main carbon emission source. Notably, a preliminary decoupling between carbon sink growth and carbon emissions was observed after 2016. The following discussion interprets these core findings in the context of existing literature.
Based on the analysis of spatio-temporal dynamics and driving mechanisms of the cultivated land net carbon sink in Henan Province from 2000 to 2023, the following discussion contextualizes the core findings within the broader research landscape, derives actionable policy insights, and addresses the limitations of this study along with future research directions.
The significant upward trend in Henan’s cultivated land net carbon sink, which grew at an average annual rate of 2.51%, aligns broadly with recent studies focusing on carbon sink dynamics in major agricultural regions of China. For instance, Song and Zhang also reported enhanced agricultural carbon sequestration capacity in some of China’s primary grain-producing areas, driven by eco-agricultural policies and technological advances [35,36]. However, our study further reveals that this growth was primarily fueled by three specific crops—wheat, maize, and vegetables—whose combined contribution rose from 82.12% in 2000 to 89.53% in 2023. This highlights the critical role of crop structure adjustment in regional carbon sink enhancement, providing a more granular understanding than studies focusing solely on aggregate sink values.
Regarding driving factors, the ridge regression analysis reveals that wheat, maize, and vegetables are the most significant positive drivers of net carbon sink, all demonstrating nearly identical standardized coefficients. This result corroborates the critical role of these three strategic crops in regional carbon sequestration. Irrigation infrastructure and farming activities also demonstrate substantial positive effects, highlighting the importance of water management and cultivation practices in enhancing carbon sink capacity. Interestingly, while fertilizer application is a primary emission source, the model indicates its net effect on the net carbon sink remains positively significant, underscoring its dual role in simultaneously driving emissions and enabling the crop growth that underpins carbon sequestration. The elasticity analysis further quantifies these relationships, showing farming area with the highest elasticity. This nuanced finding, achieved through a robust statistical approach, moves beyond simply identifying emission sources to elucidating the complex net effects within the cultivated land carbon budget, providing a more actionable foundation for targeted policy interventions [37,38].
The observed spatial pattern of higher values in the south and east and lower values in the north and west is consistent with descriptions of spatial heterogeneity in land use efficiency and agro-ecological functions in Henan Province found in prior research [39,40]. The southern and eastern plains, with superior cultivated land resources and intensive agricultural production, formed high-value net carbon sink areas. Interestingly, this finding contrasts somewhat with observations in the Yangtze River Delta, where optimized development zones showed carbon deficits due to intensive land use [41]. Our study suggests that some high-intensity agricultural areas in Henan can maintain high net carbon sinks. This discrepancy might stem from our detailed accounting of carbon fixation by major crops and the consideration of technological advancements like protected agriculture, which enhances carbon sinks. This suggests that the relationship between agricultural intensity and carbon sink capacity is not simply negative but is modulated by crop types and management practices. This modulation is fundamentally linked to the quantity and efficiency of biomass carbon input, a principle underlying our finding regarding crop-specific contributions.
The observed spatial disparity in net carbon sinks, characterized by higher values in the south and east and lower values in the north and west, is mechanistically driven by distinct combinations of agro-climatic and managerial factors rather than being merely descriptive. The correlation analysis reinforces this interpretation, revealing a significant positive relationship between net carbon sink intensity and the density of agricultural drainage and irrigation machinery, alongside a non-significant weak negative correlation with mean annual precipitation. This quantifies the divergent pathways underlying the regional patterns. The superior net carbon sink in southern Henan, exemplified by Nanyang, Xinyang, and Zhumadian, primarily stems from a superior hydrothermal endowment. High precipitation exceeding 1000 mm in cities like Xinyang, coupled with higher accumulated temperatures, facilitates longer growing seasons and supports high-yielding multi-cropping systems such as rice paddies, thereby enhancing biomass production and carbon fixation. In contrast, the high net carbon sink in the eastern plains, exemplified by Zhoukou and Shangqiu, is forged through intensive irrigation-supported cultivation on optimal topography. While precipitation here is moderate, it is supplemented by the most extensive irrigation infrastructure in the province, enabling stable water supply for large-scale double-cropping systems of wheat and maize. This creates a powerful carbon sink engine driven by maximized sown area, the factor with the highest positive elasticity in our model. However, this very intensity also makes it the epicenter of carbon emissions, primarily from fertilizer application, resulting in a net balance that is the product of strong countervailing fluxes. The lower values in the western and northern regions are constrained by inherent biophysical limitations such as fragmented topography and poorer soil quality, reflected in the lowest provincial density of irrigation machinery, which restricts both crop productivity and the scale of high-input agriculture. This spatial heterogeneity underscores that effective strategies must be tailored to local contexts, as standardized approaches ignoring regional specificities are likely to be ineffective.
Our finding that the growth of Henan’s net carbon sink was fundamentally driven by increased biomass input from strategic crops aligns with a fundamental principle observed across diverse agroecosystems: sustaining or augmenting carbon input is a primary lever for enhancing soil carbon stocks. This principle is corroborated by studies in systems such as tropical cropping systems, where external organic amendments like rice straw mulch have been identified as the key driver of soil organic carbon accumulation [42]. However, Henan’s case demonstrates a more complex and managed transition within an intensive food production system. Here, carbon sink growth is achieved not through simple external addition, but through the deliberate optimization of crop structure towards high-biomass, high-value varieties, integrated with improved agronomic practices—a pathway distinct from those reliant solely on amendments or suffering carbon loss from land-use change.
Furthermore, the emerging “decoupling” trend observed after 2016, characterized by continued carbon sink growth alongside declining emissions, finds parallels in documented improvements of agricultural environmental efficiency in some regions following the implementation of low-carbon agricultural policies like the Zero-Growth Action Plan for Fertilizers [43].
The pronounced disparity in net carbon sink growth among cities, with Nanyang and Zhoukou exhibiting increases of approximately 88.21% and 85.45%, respectively, compared to Zhengzhou’s modest 4.56%, can be attributed to a confluence of factors rooted in their divergent development pathways and agricultural systems. Cities like Nanyang and Zhoukou, which are traditionally dominant agricultural production bases, benefited from substantial expansions in the cultivation area of high-carbon-sink crops, particularly vegetables and maize, coupled with significant improvements in irrigation infrastructure. This allowed them to translate land and water resource advantages into direct carbon sequestration gains. Furthermore, their relatively lower urbanization pressure helped preserve larger contiguous tracts of cultivated land, sustaining the scale of farming activities that demonstrated a high positive elasticity in our analysis. In contrast, Zhengzhou, as the provincial capital and a major metropolitan area, has undergone rapid urban expansion and industrial transformation. This process has inevitably led to the conversion of some cultivated land, constrained the growth of agricultural acreage, and increased the competition for resources like water. Consequently, despite potential improvements in input efficiency, the fundamental shrinkage of the agricultural land base and the shift in regional economic focus limited the city’s capacity for substantial net carbon sink enhancement. This contrast underscores that within high-carbon-emission pressure areas, a region’s carbon sink trajectory is governed not only by on-farm management practices but is also profoundly shaped by broader socio-economic transitions and city-level land-use change dynamics. Consequently, these findings demonstrate that effective strategies must be tailored to local contexts, as standardized approaches that ignore regional specificities are likely to be ineffective.
The spatial heterogeneity and varied effectiveness of management practices underscore a critical insight for high-carbon-emission pressure areas: generic solutions are insufficient. This is exemplified by the practice of no-tillage, which is widely promoted for carbon sequestration. Our study, mirroring findings from certain field experiments in tropical environments, did not detect a significant soil organic carbon benefit from no-tillage in this specific context. This reinforces the necessity for locally calibrated strategies. Moreover, the formulation of effective strategies must be informed by the severe consequences of alternative development models, such as the large-scale conversion of carbon-rich peatlands leading to profound and long-term carbon debt [44]. Henan’s achievement lies in enhancing the carbon sink within an existing vital agricultural landscape without resorting to ecosystem conversion, offering a constructive alternative narrative.
In summary, our findings corroborate existing research on macro trends and primary emission sources, enhancing the robustness of the conclusions. Simultaneously, they offer more detailed or potentially divergent insights concerning the specific structure of carbon sink growth drivers, the carbon sink potential within high-intensity agricultural areas, and the significant pressure exerted by mechanization on the net carbon sink. These comparisons and discussions deepen the understanding of the complexities surrounding the carbon balance of cultivated land systems in high-carbon-emission pressure areas and provide a scientific basis for formulating more targeted, regionally differentiated low-carbon cultivated land use policies.

4.2. Policy Implications

Empirical findings necessitate integrated yet spatially differentiated policy actions to enhance carbon sink efficiency. To translate the observed spatio-temporal patterns into actionable pathways, a refined zoning governance framework is proposed, aligning measures with the distinct agro-ecological and socio-economic profiles identified across Henan Province. The eastern high-yield and high-emission zone, exemplified by prefectures such as Zhoukou and Shangqiu, where net carbon sink values peak but fertilizer-induced emissions dominate, should prioritize emission-efficient intensification through mandatory precision fertilization calibrated to local soil conditions [45], accelerated adoption of renewable energy-powered agricultural machinery to displace diesel use, and further optimization of the high-carbon-sink wheat–maize–vegetable rotation systems via advanced agronomic management. The southern high carbon sink zone, including Nanyang, Xinyang and Zhumadian, which serve as provincial carbon sequestration cores, requires policies focused on sink conservation and sustainable enhancement by safeguarding high-quality farmland from conversion, supporting the existing efficient crop systems like vegetables and rice, and promoting integrated water-saving technologies to consolidate the positive role of irrigation infrastructure. In contrast, the western fragmented and ecologically sensitive zone, encompassing areas like Sanmenxia with constrained topography and lower sink capacity, needs targeted strategies for ecological restoration and low-impact development, including the implementation of soil organic carbon restoration projects, the adoption of conservation tillage and agroforestry suited to local conditions, and the design of ecological compensation mechanisms to incentivize farmers for ecosystem service provision. Concurrently, the northern peri-urban and industrial interface zone, typified by Zhengzhou and Xinxiang, facing urban expansion pressure, must emphasize cultivated land protection and circular integration by enforcing strict farmland protection buffers against urban encroachment, fostering circular agriculture models that utilize urban organic waste streams, and facilitating technology transfer from adjacent industries to decarbonize agricultural production [46].
We argue that achieving China’s dual-carbon goals necessitates a transition in Henan from static, aggregate carbon accounting toward a governance paradigm empowered by dynamic spatio-temporal modeling and management. Our study demonstrates the value of applying tools such as spatial autocorrelation and gravity-center migration to diagnose evolving patterns and drivers of net carbon sinks, which helps identify specific geographical and temporal phases of change. We therefore conclude that institutionalizing such dynamic analytics is essential for designing targeted, adaptive policies with spatially and temporally differentiated benchmarks, enabling real-time monitoring of intervention efficacy and transforming carbon management from a retrospective accounting exercise into a proactive, evidence-based steering mechanism for the dual-carbon transition. This addition directly clarifies how our research supports the necessary evolution in governance strategy.
To be effectively operationalized, this dynamic spatial management approach should integrate two cross-cutting lessons from international experience: the systematic integration of advanced agronomic technologies and the promotion of circular economy principles. For instance, in high-yield zones, emission-efficient intensification should include not only precision fertilization but also adapted water-saving technologies, drawing on lessons from systems like alternate wetting and drying, which have proven effective in reducing emissions in irrigated agriculture [47]. Concurrently, policies should actively foster the efficient reuse of crop residues, transforming potential waste into a carbon-saving resource, as evidenced in evolving large-scale farming models [48]. These integrated approaches align with and amplify our findings on the importance of managing carbon inputs and leveraging technology.

4.3. Limitations and Prospects

Despite its contributions to understanding cultivated land carbon sinks in Henan Province, this study has several limitations that should be acknowledged. The analysis relies on provincial and municipal statistical data, which, while suitable for identifying broad trends and inter-city differences, constrained the exploration of finer-scale heterogeneity and mechanisms. To better inform spatially targeted low-carbon strategies, future research should prioritize a shift towards more refined spatial scales, such as county-level or even grid-based analysis. Such an approach would enable the identification of localized driving factors, more precise quantification of sink potential, and the evaluation of policy impacts at the governance level where many agricultural measures are implemented. This is crucial for designing differentiated management practices. Beyond the spatial scale of data, uncertainties also exist in the key parameters used for carbon budget estimation.
Furthermore, the carbon sink coefficients and economic coefficients for crops were primarily derived from established literature sources to ensure consistency and comparability across the study period and region [49]. While this approach is common in regional-scale assessments, it may not fully capture the variations introduced by specific crop cultivars, soil properties, and microclimates across different ecological zones within Henan Province. This could introduce some uncertainty in the absolute magnitude of the carbon sink estimates. Future research would benefit from developing and applying locally calibrated parameters based on field experiments within the province’s major agro-ecological zones to further refine the accuracy of the carbon budget assessment.

5. Conclusions

This study systematically quantified the spatio-temporal evolution and driving mechanisms of cultivated land carbon sinks in Henan Province, a critical high-carbon-emission pressure area in China, from 2000 to 2023. The results demonstrate a significant upward trend in net carbon sinks, with 76.81% cumulative growth and an average annual growth rate of 2.51%. This enhancement was driven primarily by increased carbon sink from three strategic crops—wheat, maize, and vegetables—whose combined contribution rose from 82.12% to 89.53% over the study period. Spatially, net carbon sinks exhibited a distinct geographical pattern characterized by higher values in the south and east and lower values in the north and west, with pronounced agglomeration in eastern areas such as Zhoukou and Shangqiu and southern areas like Nanyang. Agricultural fertilizers dominated carbon emissions, accounting for 68.13% to 73.56% of the total, underscoring their role as the primary decarbonization bottleneck. Notably, a decoupling trend emerged after 2016, marked by carbon sinks growing 7.22% while emissions decreased by 10.53%, reflecting the efficacy of recent low-carbon agricultural policies.
These findings highlight two strategic pathways to address the practical exploration of cultivated land emission reduction: first, optimizing crop structure by prioritizing low-carbon, high-carbon-efficiency crops such as wheat, vegetables, and maize through protected agriculture and rotation systems; second, strengthening input management by promoting low-carbon fertilizers through organic substitutes, emphasizing precision fertilization to reduce emissions dominance, and scaling electric machinery to mitigate secondary emission sources such as diesel use. Regionally tailored governance remains essential: eastern high-yield zones should target emission-intensive input substitution, western fragmented areas require soil restoration to boost sink capacity, and northern industrial interfaces need cultivated land buffers against urban encroachment. This integrated approach addresses the emission reduction imperatives of Henan’s high-carbon-emission agricultural system while also offering a transferable framework for other high-carbon-emission pressure areas confronting analogous challenges, synchronizing agricultural productivity with carbon neutrality goals and positioning high-sink areas like Henan as pivotal contributors to climate neutrality.
Future research should focus on several practical and feasible directions to advance this field. First, studies could adopt higher spatial resolutions, such as county or grid-scale analyses, to capture finer heterogeneity in carbon sink dynamics and better inform localized management strategies. Second, developing locally calibrated carbon exchange and emission coefficients through field experiments across major agro-ecological zones would enhance the accuracy of carbon budget assessments. Third, long-term monitoring and mechanistic modeling of the impacts of specific low-carbon agricultural practices—such as precision fertilization, organic amendments, and conservation tillage—are needed to evaluate their sustained effects on net carbon sinks. Finally, interdisciplinary approaches integrating remote sensing, crop modeling, and life-cycle assessment could further disentangle the complex interactions among climate, crop management, and carbon fluxes, providing a robust scientific basis for scalable and sustainable cultivated land carbon management.

Author Contributions

Conceptualization, X.Q. and X.Z.; methodology, X.Q. and Q.R.; software X.Q. and. J.L.; validation, X.Q. and K.W.; formal analysis, X.Q. and J.L.; investigation, X.Q.; resources, X.Q. and X.H.; data curation, X.Q.; writing—original draft preparation, X.Q.; writing—review and editing, X.Q. and X.Z.; visualization, X.Q. and J.L.; supervision, K.W. and X.Z.; project administration, Q.R. and X.Z. All authors have read and agreed to the published version of the manuscript.

Funding

This research was funded by the National Natural Science Foundation of China (Grant Nos. 42461039, 42261035); the Youth Fund of the Ministry of Education of China (Grant No. 19YJC850004); the National Social Science Foundation of China (Grant No. 23BMZ132); the Guizhou Provincial Basic Research Program (Natural Science) Youth Guidance Project 2024 “Research on the Protection and Utilization Model of Historical Towns in Guizhou Based on Spatial Gene Guidance and Control” (Grant No. Qian Ke He Ji Chu-(2024)Qing-Nian 135); and the Guizhou Provincial Key Technology R&D Program 2025 “Research on the Application Technology of Digital Protection of Spatial Genes of Intangible Cultural Heritage of Traditional Villages” (Grant No. Qian Ke He Zhi Cheng-(2025)Yi-Ban 137).

Data Availability Statement

The data presented in this study are available on request from the corresponding author.

Conflicts of Interest

The authors declare no conflicts of interest.

References

  1. Wang, W.; Yin, X.; Wang, C.; Wang, C.; Zhuo, M. Urban expansion and agricultural carbon emission efficiency: The moderating role of land property rights stability. J. Clean. Prod. 2025, 486, 144488. [Google Scholar]
  2. Zhao, R.; Liu, Y.; Tian, M.; Ding, M.; Cao, L.; Zhang, Z.; Chuai, X.; Xiao, L.; Yao, L. Impacts of water and land resources exploitation on agricultural carbon emissions: The water-land-energy-carbon nexus. Land Use Policy 2018, 72, 480–492. [Google Scholar]
  3. Wang, F.; Sun, M.; Lü, S.; Zhou, Z. Analysis of spatial-temporal evolution of agricultural drought based on regional agricultural drought index. Desalination Water Treat. 2018, 112, 351–356. [Google Scholar] [CrossRef]
  4. Wang, H.; Wan, Q.; Huang, W.; Niu, J. Spatial heterogeneity characteristics and driving mechanism of land use change in Henan Province, China. Geocarto Int. 2023, 38, 2271442. [Google Scholar] [CrossRef]
  5. Yang, X.; Li, D.; Wang, M.; Shi, X.; Wu, Y.; Li, L.; Cai, W. Coupling Coordination Degree of Land, Ecology, and Food and Its Influencing Factors in Henan Province. Agriculture 2024, 14, 1612. [Google Scholar] [CrossRef]
  6. Cheng, K.; Wu, J.; Ma, X.; Wu, L. Simulation of Carbon Sink of Arbor Forest Vegetation in Henan Province of China Based on CO2FIX Model. Land 2023, 12, 246. [Google Scholar] [CrossRef]
  7. Li, B.B.; Fang, X.Q.; Ye, Y.; Zhang, X.Z. Carbon emissions induced by cropland expansion in Northeast China during the past 300 years. Sci. China Earth Sci. 2014, 57, 2259–2268. [Google Scholar] [CrossRef]
  8. Wang, Y.; Liu, L.; Shangguan, Z. Carbon storage and carbon sequestration potential under the Grain for Green Program in Henan Province, China. Ecol. Eng. 2017, 100, 147–156. [Google Scholar] [CrossRef]
  9. Guo, H.; Sun, W. Carbon Balance Zoning and Spatially Synergistic Carbon Reduction Pathways—A Case Study in the Yangtze River Delta in China. Land 2024, 13, 943. [Google Scholar] [CrossRef]
  10. Huang, X.; Zhen, Z.; Zhao, W.; Wang, X. Forest carbon sink in North China increased in recent two decades, but decreased in extreme drought years. GISci. Remote Sens. 2024, 61, 2383040. [Google Scholar]
  11. Qu, Y.; Zhang, J.; Xu, C.; Gao, Y.; Zheng, S.; Xia, M. Analysis of Spatial Carbon Metabolism by ENA: A Case Study of Tongzhou District, Beijing. Land 2022, 11, 1573. [Google Scholar] [CrossRef]
  12. Guo, J.; Qi, Y.; Luo, J.; Du, G.; Sun, J.; Wei, X.; Soothar, M.K. Carbon Emission Status and Regional Differences of China: High-Resolution Estimation of Spatially Explicit Carbon Emissions at the Prefecture Level. Land 2025, 14, 291. [Google Scholar] [CrossRef]
  13. Shao, Z.; Li, X.; Chen, J.; Geng, Y.; Zhai, X.; Zhang, K.; Zhang, J. Spatiotemporal Evolution and Influencing Factors of Carbon Footprint in Yangtze River Economic Belt. Land 2025, 14, 641. [Google Scholar] [CrossRef]
  14. Shen, W.; Rong, P.J.; Cao, W.W. Multi-Scenario Prediction and Regulation Strategy of Carbon Budget in the Yellow River Basin of China Under the “Double Carbon” Target. Appl. Ecol. Environ. Res. 2024, 22, 3059–3085. [Google Scholar] [CrossRef]
  15. Wang, Y.; Wang, H.; Wen, B.; Zhang, L. Influences of Farmland Transfer Transaction Costs on Contract Choices from the Perspective of Differential Order Governance: Based on a Survey of Farmers in Henan Province. SAGE Open 2024, 14, 21582440241251943. [Google Scholar] [CrossRef]
  16. Wang, Y.; Bai, Y. Unlocking the potential of ocean carbon sinks: Opportunities and challenges for China’s development. Front. Mar. Sci. 2025, 12, 1683087. [Google Scholar] [CrossRef]
  17. Rong, T.; Zhang, P.; Zhu, H.; Jiang, L.; Li, Y.; Liu, Z. Spatial correlation evolution and prediction scenario of land use carbon emissions in China. Ecol. Inform. 2022, 71, 101802. [Google Scholar]
  18. Wang, X.; Yao, L. Research on the spatial and temporal evolution and coupling effects of carbon emissions and net carbon sinks on arable land in China. Front. Sustain. Food Syst. 2025, 9, 1642160. [Google Scholar] [CrossRef]
  19. Azar, C.; Johansson, D.J.A. IPCC and the effectiveness of carbon sinks. Environ. Res. Lett. 2022, 17, 041004. [Google Scholar] [CrossRef]
  20. Issa-Zadeh, S.B.; Garay-Rondero, C.L. Decarbonizing Seaport Maritime Traffic: Finding Hope. World 2025, 6, 47. [Google Scholar] [CrossRef]
  21. Yu, Z.; Ciais, P.; Piao, S.; Houghton, R.A.; Lu, C.Q.; Tian, H.Q.; Agathokleous, E.; Kattel, G.R.; Sitch, S.; Goll, D.; et al. Forest expansion dominates China’s land carbon sink since 1980. Nat. Commun. 2022, 13, 5374. [Google Scholar] [CrossRef]
  22. Yang, G.; Chen, Y. China’s agriculture carbon sink estimation and its coupling analysis with agricultural economy development. China Popul. Resour. Environ. 2016, 26, 171–176. [Google Scholar]
  23. Xinfa, T.; Guozu, H.; Yonghua, W.; Dan, L.; Yan, L. Research on an equilibrium development model between urban and rural areas of Henan including carbon sink assets under the dual carbon goal. Front. Environ. Sci. 2023, 10, 1037286. [Google Scholar] [CrossRef]
  24. Pang, J.; Wang, X.K.; Mu, Y.J.; Ouyang, Z.; Zhang, H.; Lu, F.; Liu, W. Nitrous oxide emissions from winter wheat field in the loess plateau. Acta Ecol. Sin. 2011, 31, 1896–1903. [Google Scholar]
  25. Li, R.; Zhao, R.; Xie, Z.; Xiao, L.; Chuai, X.; Feng, M.; Zhang, H.; Luo, H. Water–energy–carbon nexus at campus scale: Case of North China University of Water Resources and Electric Power. Energy Policy 2022, 166, 113001. [Google Scholar] [CrossRef]
  26. Yang, F.; Li, S.; Gao, Y.; Li, M.; Wu, P. Inconsistent carbon budget estimation using dynamic/static carbon density under land use and land cover change: A case study in Henan Province, China. Land 2022, 11, 2232. [Google Scholar] [CrossRef]
  27. Ma, X.; Yuan, H. Ecological footprint and carrying capacity of agricultural water-land-energy nexus in China. Ecol. Indic. 2024, 168, 112786. [Google Scholar]
  28. Zhong, J.; Wang, D.; Guo, L.; Miao, C.; Zhang, D.; Yu, F.; Pan, W.; Li, F.; Peng, B.; Li, L.; et al. Downscaling top-down CO2 emissions and sinks in China empowered by hybrid training. npj Clim. Atmos. Sci. 2025, 8, 195. [Google Scholar]
  29. Wang, X.; Zhao, X.; Zhang, S.; Shi, S.; Zhang, X. Decoupling effect and driving factors of land-use carbon emissions in the Yellow River Basin using remote sensing data. Remote Sens. 2023, 15, 4446. [Google Scholar]
  30. Qiu, W.; Liu, J.; Hu, C.; Zhao, C.S. Comparison of nitrous oxide emission from bare soil and planted vegetable soil. Ecol. Environ. 2010, 19, 2982. [Google Scholar]
  31. Wang, Z.P. Estimation of nitrous oxide emission of farmland in China. J. Ecol. Rural. Environ. 1997, 13, 51–55. [Google Scholar]
  32. Dubey, A.; Lal, R. Carbon footprint and sustainability of agricultural production systems in Punjab, India, and Ohio, USA. J. Crop Improv. 2009, 23, 332–350. [Google Scholar] [CrossRef]
  33. Han, Y.; He, H.; Liu, Z.; Lai, C.; Ma, Z.; Liu, X.; Li, D.; Shao, M.; Cao, W.; Li, H.; et al. Attributes of karst lakes in sustaining net autotrophy and carbon sink effects. J. Hydrol. 2025, 647, 132404. [Google Scholar]
  34. Duan, H.P.; Zhang, Y.; Zhao, J.B.; Bian, X. Carbon footprint analysis of farmland ecosystem in China. J. Soil Water Conserv. 2011, 25, 203–208. [Google Scholar]
  35. Song, W.; Zhang, H.; Zhao, R.; Wu, K.; Li, X.; Niu, B.; Li, J. Study on cultivated land quality evaluation from the perspective of farmland ecosystems. Ecol. Indic. 2022, 139, 108959. [Google Scholar] [CrossRef]
  36. Zhang, Y.; Wang, Z.; Shi, X.; Sun, P.; Xiao, P.; Xu, J.; Shen, D. Impacts of climate change and vegetation greening driven by natural and anthropogenic factors on carbon sink in Chinese Loess Plateau after ecological restoration. Catena 2025, 258, 109310. [Google Scholar] [CrossRef]
  37. Li, Q.; Gao, W.; Wei, J.; Jiang, Z.; Zhang, Y.; Lyu, J. Spatiotemporal evolution and comprehensive zoning of net carbon sink in cultivated land use in China. Trans. Chin. Soc. Agric. Eng. 2022, 38, 239–249. [Google Scholar]
  38. Zhang, H.; Lv, X.; Ni, Y.; Zhang, Q.; Wang, J.; Ma, L. Time-lag effects of NEP and NPP to meteorological factors in the source regions of the Yangtze and Yellow Rivers. Front. Plant Sci. 2025, 15, 1502384. [Google Scholar] [CrossRef] [PubMed]
  39. Zhou, X.; Wu, D.; Li, J.; Liang, J.; Zhang, D.; Chen, W. Cultivated land use efficiency and its driving factors in the Yellow River Basin, China. Ecol. Indic. 2022, 144, 109411. [Google Scholar] [CrossRef]
  40. Yang, W.; Zhao, R.; Chuai, X.; Xiao, L.; Cao, L.; Zhang, Z.; Yang, Q.; Yao, L. China’s pathway to a low carbon economy. Carbon Balance Manag. 2019, 14, 14. [Google Scholar] [CrossRef]
  41. Wu, J.; Li, B. Spatio-temporal evolutionary characteristics of carbon emissions and carbon sinks of marine industry in China and their time-dependent models. Mar. Policy 2022, 135, 104879. [Google Scholar]
  42. Matsumoto, N.; Nobuntou, W.; Punlai, N.; Sugino, T.; Rujikun, P.; Luanmanee, S.; Kawamura, K. Soil carbon sequestration on a maize-mung bean field with rice straw mulch, no-tillage, and chemical fertilizer application in Thailand from 2011 to 2015. Soil Sci. Plant Nutr. 2021, 67, 190–196. [Google Scholar]
  43. Zhang, T.; Zhai, Y.; Ma, X.; Shen, X.; Bai, Y.; Zhang, R.; Ji, C.; Hong, J. Towards environmental sustainability: Life cycle assessment-based water footprint analysis on China’s cotton production. J. Clean. Prod. 2021, 313, 127925. [Google Scholar]
  44. Dohong, A.; Aziz, A.A.; Dargusch, P. Carbon emissions from oil palm development on deep peat soil in Central Kalimantan Indonesia. Anthropocene 2018, 22, 31–39. [Google Scholar] [CrossRef]
  45. Liu, G.; Liu, Q.; Song, M.; Chen, J.; Zhang, C.; Meng, X.; Zhao, J.; Lu, H. Costs and carbon sequestration assessment for REDD+ in Indonesia. Forests 2020, 11, 770. [Google Scholar] [CrossRef]
  46. Piao, S.; He, Y.; Wang, X.; Chen, F. Estimation of China’s terrestrial ecosystem carbon sink: Methods, progress and prospects. Sci. China Earth Sci. 2022, 65, 641–651. [Google Scholar] [CrossRef]
  47. Yang, F.; He, F.; Li, S.; Li, M.; Wu, P. A new estimation of carbon emissions from land use and land cover change in China over the past 300 years. Sci. Total Environ. 2023, 863, 160963. [Google Scholar]
  48. Phuong Vu, T.; Choudhury, M. Potential for CO2 Emission Reduction from Large-Scale Rice Fields in the Mekong Delta, Vietnam: A Case Study on OM4040 Rice Variety. Front. Sustain. Food Syst. 2025, 9, 1617417. [Google Scholar] [CrossRef]
  49. Su, H.; Li, J.K.; Li, K. Relationship between net carbon sequestration change and cultivated land use benefit of cultivated land use in Shandong Province. Sci. Geogr. Sin. 2024, 44, 864–873. [Google Scholar]
Figure 1. Location of Henan Province.
Figure 1. Location of Henan Province.
Land 15 00149 g001
Figure 2. Time-series changes in cultivated land carbon sink, emissions, and net sink in Henan Province (2000–2023).
Figure 2. Time-series changes in cultivated land carbon sink, emissions, and net sink in Henan Province (2000–2023).
Land 15 00149 g002
Figure 3. Spatio-temporal distribution of cultivated land carbon sink in Henan Province (2000–2023).
Figure 3. Spatio-temporal distribution of cultivated land carbon sink in Henan Province (2000–2023).
Land 15 00149 g003
Figure 4. Spatio-temporal distribution of cultivated land carbon emission in Henan Province (2000–2023).
Figure 4. Spatio-temporal distribution of cultivated land carbon emission in Henan Province (2000–2023).
Land 15 00149 g004
Figure 5. Spatio-temporal distribution of cultivated land net carbon sink in Henan Province (2000–2023).
Figure 5. Spatio-temporal distribution of cultivated land net carbon sink in Henan Province (2000–2023).
Land 15 00149 g005
Figure 6. Moran scatter plot of net carbon sink of cultivated land by city in Henan Province.
Figure 6. Moran scatter plot of net carbon sink of cultivated land by city in Henan Province.
Land 15 00149 g006
Figure 7. Standard deviational ellipse and center of gravity migration trajectory of cultivated land net carbon sink in Henan Province.
Figure 7. Standard deviational ellipse and center of gravity migration trajectory of cultivated land net carbon sink in Henan Province.
Land 15 00149 g007
Figure 8. Contribution rates of crops to cultivated land carbon sink in Henan Province.
Figure 8. Contribution rates of crops to cultivated land carbon sink in Henan Province.
Land 15 00149 g008
Figure 9. Contribution rates of different cultivated land management emission sources to carbon emissions in Henan Province.
Figure 9. Contribution rates of different cultivated land management emission sources to carbon emissions in Henan Province.
Land 15 00149 g009
Figure 10. Contribution rates of different cultivated land driving factors to net carbon sink in Henan Province.
Figure 10. Contribution rates of different cultivated land driving factors to net carbon sink in Henan Province.
Land 15 00149 g010
Figure 11. Regional Disparities in Carbon Sink Intensity and Its Primary Drivers in Henan Province: A Longitudinal Analysis from 2000 to 2023.
Figure 11. Regional Disparities in Carbon Sink Intensity and Its Primary Drivers in Henan Province: A Longitudinal Analysis from 2000 to 2023.
Land 15 00149 g011
Table 1. Comparison of Global Carbon Sink Assessment Methodologies.
Table 1. Comparison of Global Carbon Sink Assessment Methodologies.
MethodologyTheoretical BasisData RequirementsPrecisionApplicable Scale
Field MeasurementDirect carbon pool quantificationPlot survey data, soil samplesHigh small-scaleSmall to regional
Volume-Derived BiomassVolume-biomass correlationForest inventory data, conversion factorsModerateRegional to national
Eddy CovarianceCO2 flux observationMeteorological instruments, flux towersModerate-highEcosystem to regional
Remote Sensing InversionSpectral structural vegetation characteristicsSatellite imagery, LiDAR data, ground validationModerateNational to global
IPCC-Tiered Accounting Standardized carbon flux estimationStatistical yearbooks, crop yield data, calibrated emission factorsModerate-highRegional to provincial
Table 2. Carbon emission sources and their corresponding emission factors used in the cultivated land carbon accounting.
Table 2. Carbon emission sources and their corresponding emission factors used in the cultivated land carbon accounting.
FormCarbon SourceCarbon Emission FactorData Sources
Carbon emission factor for agricultural soilsPaddy0.24[27]
Barley1.218[28]
Sorghum2.532[29]
Soya0.77[29]
Oilseeds4.21[30]
Wool0.48[31]
Fruits4.21[32]
Carbon emission factor for production activities on cultivated landAgricultural fertilisers0.8965[33]
Agricultural film5.18[33]
Agricultural machinery0.18[33]
Agricultural diesel0.593[33]
Pesticides4.934[33]
Farming area16.47[33]
Irrigation area25[34]
Table 3. Carbon exchange rates and economic coefficients for major crops used in the cultivated land carbon sink accounting.
Table 3. Carbon exchange rates and economic coefficients for major crops used in the cultivated land carbon sink accounting.
FormCarbon CreditsCarbon Exchange RateEconomic FactorData Sources
Crop economic factors and carbon exchange ratesPaddy0.4140.45[22,24]
Barley0.48530.4[22,24]
Sorghum0.4710.4[22,24]
Legumes0.450.26[22,24]
Rapeseed0.450.35[22,24]
Wool0.450.1[22,24]
Bast fiber0.450.1[22,24]
Non-tobacco0.450.83[20,22]
Vegetables & use of mushrooms0.450.65[20,22]
Melons and fruit0.4230.83[20,22]
Table 4. Global Moran’s I results of cultivated land carbon sink in counties and cities of Henan Province.
Table 4. Global Moran’s I results of cultivated land carbon sink in counties and cities of Henan Province.
VintagesGlobal Moran’s Ip-Value
20000.2290.003
20050.1940.008
20100.1720.016
20150.1530.029
20200.1420.038
20230.1380.042
Table 5. Ellipse parameters of net carbon sink standard deviation.
Table 5. Ellipse parameters of net carbon sink standard deviation.
YearLongitudeLatitudeMajor Axis/kmMinor Axis/kmFlattening
2000114°6′02″34°6′11″169.23136.590.24
2005114°4′11″34°3′04″170.62138.350.23
2010114°6′49″34°2′49″171.06138.900.23
2015114°6′44″34°2′44″171.11138.920.23
2020114°7′32″34°1′49″170.34138.140.23
2023114°8′14″34°1′25″170.91138.230.24
Table 6. Ridge regression results for net carbon sink driving factors.
Table 6. Ridge regression results for net carbon sink driving factors.
VariableCoefficientStd. Coefficientt-Valuep-ValueSignificance
Intercept−7515.73-−6.7940.000***
Rice2.7190.1284.4150.002***
Wheat0.5880.1737.440.000***
Maize0.6360.1717.6680.000***
Beans1.6050.0200.690.508
Oil crops0.2780.0030.1150.911
Fertilizer0.0001670.0898.0710.000***
Agricultural Film0.0003990.0120.3770.715
Agricultural Fertilizer0.4770.1275.8120.000***
Irrigation0.6830.1316.3310.000***
Pesticides−0.003−0.019−1.0010.343
Agricultural Diesel2.6280.0160.9420.371
Cotton1.7390.0301.040.326
Agricultural Machinery0.0480.0461.8190.102
Vegetables0.2680.1718.9450.000***
Note: *** represent significance at 1% levels, respectively.
Table 7. Elasticity Analysis of Key Driving Factors.
Table 7. Elasticity Analysis of Key Driving Factors.
VariableRidge CoefficientMean Value (2000–2023)Elasticity CoefficientImplications
Wheat0.5883142.210.18%A one percent increase in wheat yield leads to a 0.18 percent rise in net carbon sink
Irrigation Area0.6835186.140.34%Each one percent expansion in irrigation infrastructure corresponds to a 0.34 percent enhancement in net carbon sink
Vegetables0.2686451.880.17%Vegetable production growth of one percent contributes to a 0.17 percent increase in net carbon sink
Farming0.47714,199.130.65%A one percent expansion in farming area is associated with a 0.65 percent increase in net carbon sink
Agricultural Fertilizer0.0001676,145,143.750.10%Each one percent rise in fertilizer application generates a 0.10 percent growth in net carbon sink
Rice2.719431.840.11%Rice yield expansion of one percent results in a 0.11 percent enhancement of net carbon sink
Maize0.6361796.400.11%A one percent increase in maize production contributes to a 0.11 percent rise in net carbon sink
Oil Crops0.27858.780.00%Each one percent growth in oil crop yield leads to a 0.00 percent increase in net carbon sink
Agricultural Diesel2.62899.190.03%A one percent increase in diesel consumption corresponds to a 0.03 percent rise in net carbon sink
Agricultural Machinery0.0489440.080.04%Each one percent expansion in machinery power generates a 0.04 percent enhancement in net carbon sink
Agricultural Film0.000399104,814.680.00%A one percent increase in plastic film usage contributes to a 0.00 percent growth in net carbon sink
Cotton1.73933.350.01%Each one percent expansion in cotton cultivation leads to a 0.01 percent increase in net carbon sink
Beans1.60587.240.01%A one percent increase in bean production results in a 0.01 percent increase in net carbon sink
Pesticides−0.003111,995.29−0.03%Each one percent rise in pesticide application corresponds to a 0.03 percent decline in net carbon sink
Note: Mean net carbon sink = 10,257.18; Elasticity coefficient = (Ridge coefficient × Variable mean)/Net carbon sink mean.
Table 8. Correlation Analysis between Net Carbon Sink Intensity and Potential Influencing Factors.
Table 8. Correlation Analysis between Net Carbon Sink Intensity and Potential Influencing Factors.
Annual Average Precipitation (mm)Net Carbon Sink Intensity Number of Agricultural Drainage and Irrigation Machinery (10,000 Units)
Annual Average Precipitation (mm)1 (0.000 ***)−0.341 (0.409)−0.044 (0.917)
Net Carbon Sink Intensity−0.341 (0.409)1 (0.000 ***)0.76 (0.029 **)
Number of Agricultural Drainage and Irrigation Machinery (10,000 units)−0.044 (0.917)0.76 (0.029 **)1 (0.000 ***)
Note: *** and ** indicate significance levels of 1% and 5%, respectively.
Disclaimer/Publisher’s Note: The statements, opinions and data contained in all publications are solely those of the individual author(s) and contributor(s) and not of MDPI and/or the editor(s). MDPI and/or the editor(s) disclaim responsibility for any injury to people or property resulting from any ideas, methods, instructions or products referred to in the content.

Share and Cite

MDPI and ACS Style

Qiu, X.; Li, J.; Ren, Q.; Wang, K.; Huang, X.; Zhou, X. Spatio-Temporal Differentiation and Driving Factors of Cultivated Land Net Carbon Sink in High-Carbon-Emission Pressure Areas: Evidence from Henan, China. Land 2026, 15, 149. https://doi.org/10.3390/land15010149

AMA Style

Qiu X, Li J, Ren Q, Wang K, Huang X, Zhou X. Spatio-Temporal Differentiation and Driving Factors of Cultivated Land Net Carbon Sink in High-Carbon-Emission Pressure Areas: Evidence from Henan, China. Land. 2026; 15(1):149. https://doi.org/10.3390/land15010149

Chicago/Turabian Style

Qiu, Xufeng, Jinhong Li, Qiran Ren, Kun Wang, Xinzhen Huang, and Xiao Zhou. 2026. "Spatio-Temporal Differentiation and Driving Factors of Cultivated Land Net Carbon Sink in High-Carbon-Emission Pressure Areas: Evidence from Henan, China" Land 15, no. 1: 149. https://doi.org/10.3390/land15010149

APA Style

Qiu, X., Li, J., Ren, Q., Wang, K., Huang, X., & Zhou, X. (2026). Spatio-Temporal Differentiation and Driving Factors of Cultivated Land Net Carbon Sink in High-Carbon-Emission Pressure Areas: Evidence from Henan, China. Land, 15(1), 149. https://doi.org/10.3390/land15010149

Note that from the first issue of 2016, this journal uses article numbers instead of page numbers. See further details here.

Article Metrics

Back to TopTop