Spatial Distribution and Management of Trace Elements in Arid Agricultural Systems: A Geostatistical Assessment of the Jordan Valley
Abstract
1. Introduction
2. Materials and Methods
2.1. Description and Climate of Study Area
2.2. Collection of Soil Samples and Chemical Characterization
2.3. Statistical Methods
2.4. Semivariogram Analysis
3. Results and Discussion
3.1. Trace Elements Contents in Soils
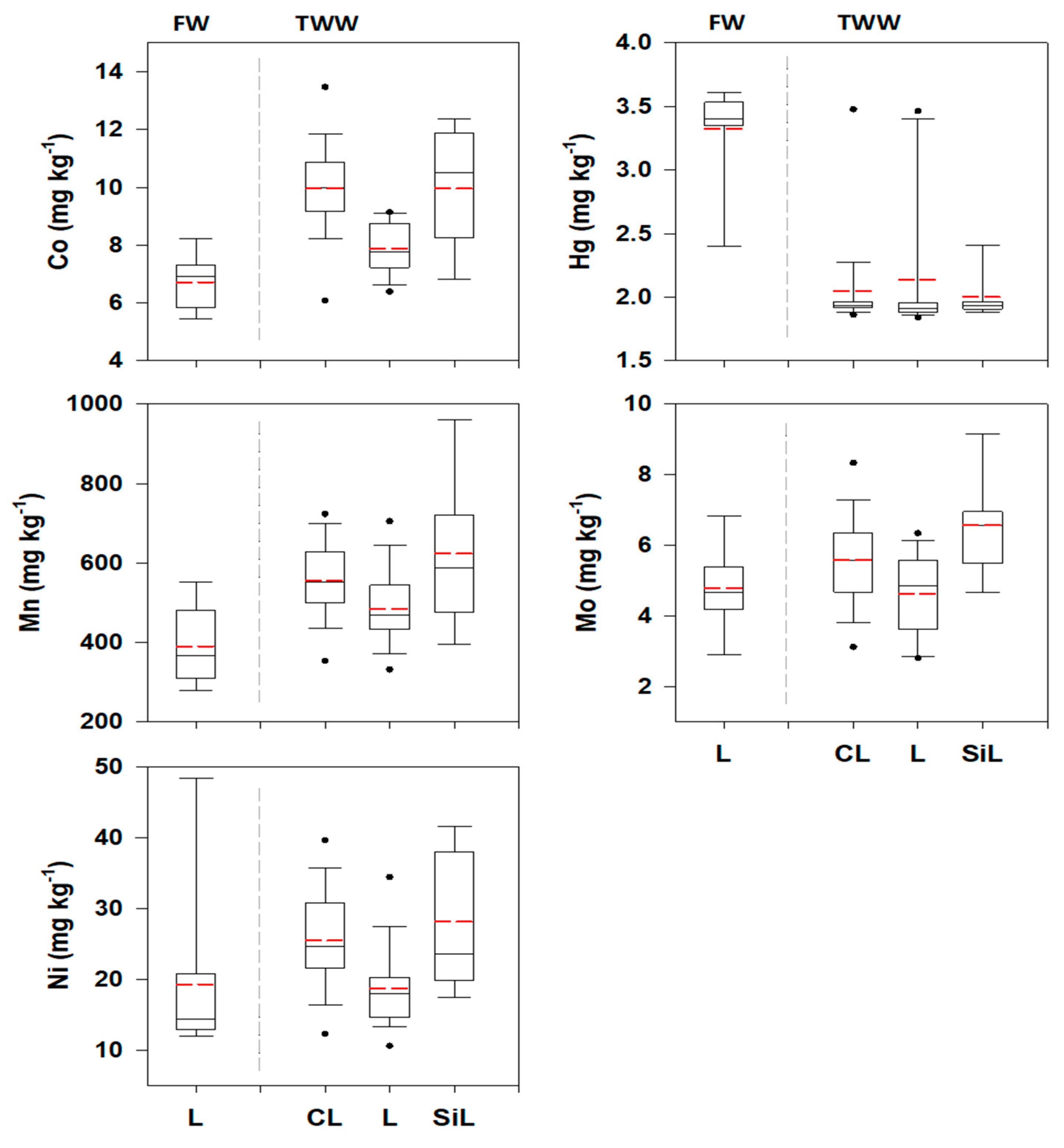
3.2. Trace Elements in Main Soil Textural Classes
3.3. Spatial Mapping of Trace Elements
3.4. Correlation Coefficient Analysis
3.5. Spatial Structure of Trace Elements
3.6. Principal Component Analysis
3.7. Cluster Analysis
3.8. Implications for Land Management Under Water Scarcity
4. Summary and Conclusions
Supplementary Materials
Author Contributions
Funding
Institutional Review Board Statement
Informed Consent Statement
Data Availability Statement
Acknowledgments
Conflicts of Interest
Abbreviations
| EC | electrical conductivity |
| EBK | empirical Bayesian kriging |
| FAO | Food and Agriculture Organization |
| ICP-AES | inductively coupled plasma atomic emission spectrometry |
| JV | Jordan Valley |
| KMO | Kaiser–Meyer–Olkin |
| OK | ordinary kriging |
| Org C | organic carbon |
| PCA | principal component analysis |
| SPSS | Statistical Package for Social Sciences |
| TN | total nitrogen |
| TP | total phosphorus |
| TWW | treated wastewater |
| WHO | World Health Organization |
References
- Antoniadis, V.; Levizou, E.; Shaheen, S.M.; Ok, Y.S.; Sebastian, A.; Baum, C.; Prasad, M.N.V.; Wenzel, W.W.; Rinklebe, J. Trace Elements in the Soil-Plant Interface: Phytoavailability, Translocation, and Phytoremediation—A Review. Earth Sci. Rev. 2017, 171, 621–645. [Google Scholar] [CrossRef]
- Chittora, D. Harmful Impact of Synthetic Fertilizers on Growing Agriculture and Environment. Glob. J. Pharm. Pharm. Sci. 2023, 11, 555804. [Google Scholar] [CrossRef]
- Alloway, B.J. Heavy Metals and Metalloids as Micronutrients for Plants and Animals. In Heavy Metals in Soils; Springer: Berlin/Heidelberg, Germany, 2013; pp. 195–209. [Google Scholar]
- Mendieta-Mendoza, A.; Renteria-Villalobos, M.; Randall, H.; Ruíz-Gómez, S.; Ríos-López, M. Chemical Degradation of Agricultural Soil under Arid Conditions by the Accumulation of Potentially Toxic Elements and Salts. Geoderma Reg. 2023, 35, e00736. [Google Scholar] [CrossRef]
- Gharaibeh, M.A.; Marschner, B.; Heinze, S.; Moos, N. Spatial Distribution of Metals in Soils under Agriculture in the Jordan Valley. Geoderma Reg. 2020, 20, e00245. [Google Scholar] [CrossRef]
- FAO. The State of the World’s Land and Water Resources for Food and Agriculture—Systems at Breaking Point (SOLAW 2021); FAO: Rome, Italy, 2021. [Google Scholar]
- Liu, H.; Zhang, Y.; Yang, J.; Wang, H.; Li, Y.; Shi, Y.; Li, D.; Holm, P.E.; Ou, Q.; Hu, W. Quantitative Source Apportionment, Risk Assessment and Distribution of Heavy Metals in Agricultural Soils from Southern Shandong Peninsula of China. Sci. Total Environ. 2021, 767, 144879. [Google Scholar] [CrossRef]
- Ersoy, A.; Yünsel, T.Y. The Assessment of Soil Contamination by Heavy Metals Using Geostatistical Sequential Gaussian Simulation Method. Hum. Ecol. Risk Assess. 2018, 24, 2142–2161. [Google Scholar] [CrossRef]
- Bednářová, Z.; Kalina, J.; Hájek, O.; Sáňka, M.; Komprdová, K. Spatial Distribution and Risk Assessment of Metals in Agricultural Soils. Geoderma 2016, 284, 113–121. [Google Scholar] [CrossRef]
- Yuanan, H.; He, K.; Sun, Z.; Chen, G.; Cheng, H. Quantitative Source Apportionment of Heavy Metal(Loid)s in the Agricultural Soils of an Industrializing Region and Associated Model Uncertainty. J. Hazard. Mater. 2020, 391, 122244. [Google Scholar] [CrossRef]
- Horta, A.; Azevedo, L.; Neves, J.; Soares, A.; Pozza, L. Integrating Portable X-Ray Fluorescence (PXRF) Measurement Uncertainty for Accurate Soil Contamination Mapping. Geoderma 2021, 382, 114712. [Google Scholar] [CrossRef]
- Cicchella, D.; Giaccio, L.; Dinelli, E.; Albanese, S.; Lima, A.; Zuzolo, D.; Valera, P.; De Vivo, B. GEMAS: Spatial Distribution of Chemical Elements in Agricultural and Grazing Land Soil of Italy. J. Geochem. Explor. 2015, 154, 129–142. [Google Scholar] [CrossRef]
- Rodríguez Martín, J.A.; Ramos-Miras, J.J.; Boluda, R.; Gil, C. Spatial Relations of Heavy Metals in Arable and Greenhouse Soils of a Mediterranean Environment Region (Spain). Geoderma 2013, 200–201, 180–188. [Google Scholar] [CrossRef]
- Darwish, M.A.G.; Pöllmann, H. Trace Elements Assessment in Agricultural and Desert Soils of Aswan Area, South Egypt: Geochemical Characteristics and Environmental Impacts. J. Afr. Earth Sci. 2015, 112, 358–373. [Google Scholar] [CrossRef]
- Savignan, L.; Lee, A.; Coynel, A.; Jalabert, S.; Faucher, S.; Lespes, G.; Chéry, P. Spatial Distribution of Trace Elements in the Soils of South-Western France and Identification of Natural and Anthropogenic Sources. Catena 2021, 205, 105446. [Google Scholar] [CrossRef]
- Lucke, B.; Ziadat, F.; Taimeh, A. The Soils of Jordan. In Atlas of Jordan; Presses de l’Ifpo: Amman, Jordan, 2013; pp. 72–76. [Google Scholar]
- Gharaibeh, M.A.; Albalasmeh, A.A.; El Hanandeh, A. Estimation of Saturated Paste Electrical Conductivity Using Three Modelling Approaches: Traditional Dilution Extracts; Saturation Percentage and Artificial Neural Networks. Catena 2021, 200, 105141. [Google Scholar] [CrossRef]
- Chander, K.; Hartmann, G.; Joergensen, R.G.; Khan, K.S.; Lamersdorf, N. Comparison of Methods for Measuring Heavy Metals and Total Phosphorus in Soils Contaminated by Different Sources. Arch. Agron. Soil. Sci. 2008, 54, 413–422. [Google Scholar] [CrossRef]
- Mclean, E.O. Soil PH and Lime Requirement. In Methods of Soil Analysis; Agronomy Monographs; Wiley: Hoboken, NJ, USA, 1982; pp. 199–224. ISBN 9780891189770. [Google Scholar]
- Rhoades, J.D. Soluble Salts. In Methods of Soil Analysis. Part 2. Chemical and Microbiological Properties; Agronomy Monograph SV-9.2; American Society of Agronomy, Soil Science Society of America: Madison, WI, USA, 2015; pp. 167–179. ISBN 978-0-89118-204-7. [Google Scholar]
- Nelson, D.W.; Sommers, L.E. Total Carbon, Organic Carbon, and Organic Matter. BT—Methods of Soil Analysis. Part 3. Chemical Methods. In Methods of Soil Analysis. Part 3. Chemical Methods; Wiley: Hoboken, NJ, USA, 1996; pp. 961–1010. ISBN 0-89118-825-8. [Google Scholar]
- Bremner, J.; Mulvaney, C. Nitrogen-Total. In Methods of Soil Analysis. Part 2; Page, A.L., Ed.; Agronomy Monographs; American Society of Agronomy, Soil Science Society of America: Madison, WI, USA, 2015; pp. 595–624. [Google Scholar]
- Morgan, G.A.; Barrett, K.C.; Leech, N.L.; Gloeckner, G.W. IBM SPSS for Introductory Statistics: Use and Interpretation; Routledge: New York, NY, USA, 2019. [Google Scholar]
- Oliver, A.M.; Webster, R. Basic Steps in Geostatistics: The Variogram and Kriging; 2211-808X; Springer: Cham, Switzerland, 2015; Volume 1, ISBN 9783319158648. [Google Scholar]
- Grekousis, G. Spatial Analysis Methods and Practice, 1st ed.; Cambridge University Press: New York, NY, USA, 2020; ISBN 9781108614528. [Google Scholar]
- Goovaerts, P. Geostatistics in Soil Science: State-of-the-Art and Perspectives. Geoderma 1999, 89, 1–45. [Google Scholar] [CrossRef]
- Kabata-Pendias, A. Trace Elements in Soils and Plants; CRC Press: Boca Raton, FL, USA, 2010; ISBN 9781420093681. [Google Scholar]
- Kabata-Pendias, A.; Mukherjee, A.B. Trace Elements from Soil to Human; Springer: Berlin/Heidelberg, Germany, 2007; ISBN 3540327134. [Google Scholar]
- Kristamtini; Widyayanti, S.; Widodo, S.; Pustika, A.B.; Purwaningsih, H.; Hanifa, A.P.; Muazam, A.; Sutardi; Badia Ginting, R.C.; Mulia, S.; et al. Potentially Toxic Elements’ (PTEs) Spatial Distribution in Agricultural Soils and Their Impact on Ecological and Health Risks. Case Stud. Chem. Environ. Eng. 2024, 10, 100936. [Google Scholar] [CrossRef]
- Marrugo-Negrete, J.; Pinedo-Hernández, J.; Díez, S. Assessment of Heavy Metal Pollution, Spatial Distribution and Origin in Agricultural Soils along the Sinú River Basin, Colombia. Environ. Res. 2017, 154, 380–388. [Google Scholar] [CrossRef]
- Fan, M.; Margenot, A.J.; Zhang, H.; Lal, R.; Wu, J.; Wu, P.; Chen, F.; Gao, C. Distribution and Source Identification of Potentially Toxic Elements in Agricultural Soils through High-Resolution Sampling. Environ. Pollut. 2020, 263, 114527. [Google Scholar] [CrossRef]
- Sun, C.; Liu, J.; Wang, Y.; Sun, L.; Yu, H. Multivariate and Geostatistical Analyses of the Spatial Distribution and Sources of Heavy Metals in Agricultural Soil in Dehui, Northeast China. Chemosphere 2013, 92, 517–523. [Google Scholar] [CrossRef]
- Cai, L.; Xu, Z.; Bao, P.; He, M.; Dou, L.; Chen, L.; Zhou, Y.; Zhu, Y.G. Multivariate and Geostatistical Analyses of the Spatial Distribution and Source of Arsenic and Heavy Metals in the Agricultural Soils in Shunde, Southeast China. J. Geochem. Explor. 2015, 148, 189–195. [Google Scholar] [CrossRef]
- Xu, X.; Xu, Z.; Liang, L.; Han, J.; Wu, G.; Lu, Q.; Liu, L.; Li, P.; Han, Q.; Wang, L.; et al. Risk Hotspots and Influencing Factors Identification of Heavy Metal(Loid)s in Agricultural Soils Using Spatial Bivariate Analysis and Random Forest. Sci. Total Environ. 2024, 954, 176359. [Google Scholar] [CrossRef]
- Wu, Z.; Hou, Q.; Yang, Z.; Yu, T.; Li, D.; Lin, K.; Ma, X. Identification of Factors Driving the Spatial Distribution of Molybdenum (Mo) in Topsoil in the Longitudinal Range-Gorge Region of Southwestern China Using the Geodetector Model. Ecotoxicol. Environ. Saf. 2024, 271, 115846. [Google Scholar] [CrossRef]
- Smith, D.B.; Solano, F.; Woodruff, L.G.; Cannon, W.F.; Ellefsen, K.J. Geochemical and Mineralogical Maps, with Interpretation, for Soils of the Conterminous United States. USGS Sci. Investig. Rep. 2019, 2017–5118. [Google Scholar] [CrossRef]
- Reimann, C.; Fabian, K.; Birke, M.; Filzmoser, P.; Demetriades, A.; Négrel, P.; Oorts, K.; Matschullat, J.; de Caritat, P.; Albanese, S.; et al. GEMAS: Establishing Geochemical Background and Threshold for 53 Chemical Elements in European Agricultural Soil. Appl. Geochem. 2018, 88, 302–318. [Google Scholar] [CrossRef]
- Baran, A.; Wieczorek, J.; Mazurek, R.; Urbański, K.; Klimkowicz-Pawlas, A. Potential Ecological Risk Assessment and Predicting Zinc Accumulation in Soils. Environ. Geochem. Health 2018, 40, 435–450. [Google Scholar] [CrossRef]
- Cambardella, C.A.; Moorman, T.B.; Novak, J.M.; Parkin, T.B.; Karlen, D.L.; Turco, R.F.; Konopka, A.E. Field-Scale Variability of Soil Properties in Central Iowa Soils. Soil Sci. Soc. Am. J. 1994, 58, 1501–1511. [Google Scholar] [CrossRef]
- Rodríguez Martín, J.A.; Arias, M.L.; Grau Corbí, J.M. Heavy Metals Contents in Agricultural Topsoils in the Ebro Basin (Spain). Application of the Multivariate Geoestatistical Methods to Study Spatial Variations. Environ. Pollut. 2006, 144, 1001–1012. [Google Scholar] [CrossRef]
- Algül, F.; Beyhan, M. Concentrations and Sources of Heavy Metals in Shallow Sediments in Lake Bafa, Turkey. Sci. Rep. 2020, 10, 11782. [Google Scholar] [CrossRef]
- Zhang, X.; Wei, S.; Sun, Q.; Wadood, S.A.; Guo, B. Source Identification and Spatial Distribution of Arsenic and Heavy Metals in Agricultural Soil around Hunan Industrial Estate by Positive Matrix Factorization Model, Principle Components Analysis and Geo Statistical Analysis. Ecotoxicol. Environ. Saf. 2018, 159, 354–362. [Google Scholar] [CrossRef]
- Zhang, J.; Zhou, F.; Chen, C.; Sun, X.; Shi, Y.; Zhao, H.; Chen, F. Spatial Distribution and Correlation Characteristics of Heavy Metals in the Seawater, Suspended Particulate Matter and Sediments in Zhanjiang Bay, China. PLoS ONE 2018, 13, e0201414. [Google Scholar] [CrossRef] [PubMed]
- Douaik, A.; van Meirvenne, M.; Toth, T. Statistical Methods for the Analysis of Soil Spatial and Temporal Variability. In Principles, Application and Assessment in Soil Science; IntechOpen: Rijeka, Croatia, 2011. [Google Scholar]
- Verma, R.R.; Srivastava, T.K.; Singh, P.; Manjunath, B.L.; Kumar, A. Spatial Mapping of Soil Properties in Konkan Region of India Experiencing Anthropogenic Onslaught. PLoS ONE 2021, 16, e0247177. [Google Scholar] [CrossRef]
- Bhunia, G.S.; Shit, P.K.; Chattopadhyay, R. Assessment of Spatial Variability of Soil Properties Using Geostatistical Approach of Lateritic Soil (West Bengal, India). Ann. Agrar. Sci. 2018, 16, 436–443. [Google Scholar] [CrossRef]
- Xu, L.; Zhao, Y.; Wang, M.; Jiang, Y. Spatial Variability of Eight Hazardous Heavy Metals in Agricultural Topsoils: A Case Study from Xuzhou Area, Jiangsu, China. Environ. Pollut. Bioavailab. 2021, 33, 326–333. [Google Scholar] [CrossRef]
- Huo, X.N.; Zhang, W.W.; Sun, D.F.; Li, H.; Zhou, L.D.; Li, B.G. Spatial Pattern Analysis of Heavy Metals in Beijing Agricultural Soils Based on Spatial Autocorrelation Statistics. Int. J. Environ. Res. Public Health 2011, 8, 2074–2089. [Google Scholar] [CrossRef]
- Behrens, T.; Viscarra Rossel, R.A.; Kerry, R.; MacMillan, R.; Schmidt, K.; Lee, J.; Scholten, T.; Zhu, A.X. The Relevant Range of Scales for Multi-Scale Contextual Spatial Modelling. Sci. Rep. 2019, 9, 14800. [Google Scholar] [CrossRef]
- Zhang, B.; Yang, Y. Spatiotemporal Modeling and Prediction of Soil Heavy Metals Based on Spatiotemporal Cokriging. Sci. Rep. 2017, 7, 16750. [Google Scholar] [CrossRef] [PubMed]
- Zakeri, F.; Mariethoz, G. A Review of Geostatistical Simulation Models Applied to Satellite Remote Sensing: Methods and Applications. Remote Sens. Environ. 2021, 259, 112381. [Google Scholar] [CrossRef]
- Özkan, B.; Dengiz, O.; Turan, İ.D. Site Suitability Analysis for Potential Agricultural Land with Spatial Fuzzy Multi-Criteria Decision Analysis in Regional Scale under Semi-Arid Terrestrial Ecosystem. Sci. Rep. 2020, 10, 22074. [Google Scholar] [CrossRef]
- Gumiere, S.J.; Lafond, J.A.; Hallema, D.W.; Périard, Y.; Caron, J.; Gallichand, J. Mapping Soil Hydraulic Conductivity and Matric Potential for Water Management of Cranberry: Characterisation and Spatial Interpolation Methods. Biosyst. Eng. 2014, 128, 29–40. [Google Scholar] [CrossRef]
- Shi, G. Kriging. In Data Mining and Knowledge Discovery for Geoscientists; Elsevier: Amsterdam, The Netherlands, 2014; pp. 238–274. [Google Scholar]
- Tziachris, P.; Metaxa, E.; Papadopoulos, F.; Papadopoulou, M. Spatial Modelling and Prediction Assessment of Soil Iron Using Kriging Interpolation with PH as Auxiliary Information. ISPRS Int. J. Geoinf. 2017, 6, 283. [Google Scholar] [CrossRef]
- Manjarrez-Domínguez, C.B.; Prieto-Amparán, J.A.; Valles-Aragón, M.C.; Delgado-Caballero, M.D.R.; Alarcón-Herrera, M.T.; Nevarez-Rodríguez, M.C.; Vázquez-Quintero, G.; Berzoza-Gaytan, C.A. Arsenic Distribution Assessment in a Residential Area Polluted with Mining Residues. Int. J. Environ. Res. Public Health 2019, 16, 375. [Google Scholar] [CrossRef]
- Gupta, A.; Kamble, T.; Machiwal, D. Comparison of Ordinary and Bayesian Kriging Techniques in Depicting Rainfall Variability in Arid and Semi-Arid Regions of North-West India. Environ. Earth Sci. 2017, 76, 512. [Google Scholar] [CrossRef]
- Hothorn, T.; Everitt, B.S. A Handbook of Statistical Analyses Using R; CRC Press: Boca Raton, FL, USA, 2014. [Google Scholar]
- Shangguan, Y.; Cheng, B.; Zhao, L.; Hou, H.; Ma, J.; Sun, Z.; Xu, Y.; Zhao, R.; Zhang, Y.; Hua, X.; et al. Distribution Assessment and Source Identification Using Multivariate Statistical Analyses and Artificial Neutral Networks for Trace Elements in Agricultural Soils in Xinzhou of Shanxi Province, China. Pedosphere 2018, 28, 542–554. [Google Scholar] [CrossRef]
- Han, Y.M.; Cao, J.J.; Wu, F.; Zhang, B.C.; Zhan, C.L.; Wei, C.; Zhao, Z.Z. Geochemistry and Environmental Assessment of Major and Trace Elements in the Surface Sediments of the Wei River, China. J. Environ. Monit. 2012, 14, 2762–2771. [Google Scholar] [CrossRef] [PubMed]
- Shukla, K.; Kumar, B.; Agrawal, R.; Priyanka, K.; Venkatesh, M. Anshumali Assessment of Cr, Ni and Pb Pollution in Rural Agricultural Soils of Tonalite–Trondjhemite Series in Central India. Bull. Environ. Contam. Toxicol. 2017, 98, 856–866. [Google Scholar] [CrossRef]
- Ghrefat, H.A.; Yusuf, N.; Jamarh, A.; Nazzal, J. Fractionation and Risk Assessment of Heavy Metals in Soil Samples Collected along Zerqa River, Jordan. Environ. Earth Sci. 2012, 66, 199–208. [Google Scholar] [CrossRef]
- Yu, R.; Yuan, X.; Zhao, Y.; Hu, G.; Tu, X. Heavy Metal Pollution in Intertidal Sediments from Quanzhou Bay, China. J. Environ. Sci. 2008, 20, 664–669. [Google Scholar] [CrossRef]
- Banat, K.M.; Howari, F.M.; To’mah, M.M. Chemical Fractionation and Heavy Metal Distribution in Agricultural Soils, North of Jordan Valley. Soil Sediment Contam. 2007, 16, 89–107. [Google Scholar] [CrossRef]
- Franco-Uría, A.; López-Mateo, C.; Roca, E.; Fernández-Marcos, M.L. Source Identification of Heavy Metals in Pastureland by Multivariate Analysis in NW Spain. J. Hazard. Mater. 2009, 165, 1008–1015. [Google Scholar] [CrossRef]
- Bux, R.K.; Batool, M.; Shah, S.M.; Solangi, A.R.; Shaikh, A.A.; Haider, S.I.; Shah, Z.-u.-H. Mapping the Spatial Distribution of Soil Heavy Metals Pollution by Principal Component Analysis and Cluster Analyses. Water Air Soil Pollut. 2023, 234, 330. [Google Scholar] [CrossRef]
- Al-Kharabsheh, N.M.; Al-Zboon, K.K. Wastewater Treatment and Reuse in Jordan, 10 Years of Development. Desalination Water Treat 2021, 238, 15–27. [Google Scholar] [CrossRef]
- Wu, Z.; Zhang, S.; Shan, B.; Zhang, F.; Chen, X. Optimizing Crop Spatial Structure to Improve Water Use Efficiency and Ecological Sustainability in Inland River Basin. Agronomy 2024, 14, 1645. [Google Scholar] [CrossRef]
- Mishra, S.; Kumar, R.; Kumar, M. Use of Treated Sewage or Wastewater as an Irrigation Water for Agricultural Purposes- Environmental, Health, and Economic Impacts. Total Environ. Res. Themes 2023, 6, 100051. [Google Scholar] [CrossRef]








| Element | Nugget | Par Sill | Sill | Nugget-to-Sill Ratio | R2 | Range | Model |
|---|---|---|---|---|---|---|---|
| Co | 0.005841 | 0.015188 | 0.021029 | 0.278 | 0.52 | 59,727 | Spherical |
| Mn | 0.009133 | 0.011193 | 0.020326 | 0.449 | 0.67 | 19,526 | Spherical |
| Mo | 0.011496 | 0.016039 | 0.027535 | 0.418 | 0.66 | 19,486 | Spherical |
| Ni | 0.021468 | 0.009403 | 0.030871 | 0.695 | 0.75 | 23,633 | Spherical |
| Hg | 0.000322 | 0.000672 | 0.000994 | 0.324 | 0.06 | 1305.4 | Spherical |
| Co | Mn | Mo | Ni | Hg | ||||||
|---|---|---|---|---|---|---|---|---|---|---|
| OK | EBK | OK | EBK | OK | EBK | OK | EBK | OK | EBK | |
| ME | −0.00090 | −0.00027 | −0.00115 | −0.00064 | −0.00180 | −0.00142 | −0.00253 | −0.00208 | −0.00108 | −0.00174 |
| RMSE | 0.07955 | 0.07463 | 0.10706 | 0.10157 | 0.12019 | 0.11321 | 0.15424 | 0.14205 | 0.03884 | 0.04178 |
| MSE | 0.00764 | 0.00192 | −0.00553 | 0.00169 | −0.01037 | −0.00435 | −0.01468 | −0.00090 | −0.02944 | −0.01517 |
| RMSSE | 0.95200 | 0.97254 | 0.99866 | 0.97081 | 0.99073 | 0.98058 | 0.98642 | 1.0582 | 1.16246 | 0.98664 |
| Avg. SE | 0.08391 | 0.07772 | 0.10720 | 0.10443 | 0.12137 | 0.11482 | 0.15594 | 0.13399 | 0.03311 | 0.03931 |
| All | TWW | FW | ||||||||
|---|---|---|---|---|---|---|---|---|---|---|
| Parameter | PC1 | PC2 | PC3 | PC1 | PC2 | PC3 | PC4 | PC1 | PC2 | PC3 |
| Co | 0.883 | 0.156 | −0.326 | 0.927 | 0.044 | −0.148 | −0.163 | 0.69 | 0.618 | −0.121 |
| Mn | 0.768 | 0.335 | −0.245 | 0.796 | 0.233 | 0.004 | −0.23 | 0.832 | 0.368 | −0.154 |
| Mo | 0.803 | 0.276 | 0.275 | 0.78 | 0.144 | 0.445 | −0.083 | 0.394 | 0.778 | 0.208 |
| Ni | 0.85 | 0.02 | −0.126 | 0.893 | 0.005 | −0.037 | −0.087 | 0.01 | 0.686 | −0.072 |
| Clay | 0.677 | −0.122 | −0.423 | 0.732 | 0.009 | −0.519 | 0.131 | −0.119 | 0.078 | −0.883 |
| Org C | 0.036 | 0.815 | 0.131 | 0.021 | 0.774 | 0.202 | 0.008 | 0.807 | 0.042 | 0.443 |
| TN | 0.194 | 0.767 | −0.097 | 0.191 | 0.846 | −0.096 | 0.164 | 0.752 | 0.101 | −0.052 |
| TP | 0.221 | 0.681 | −0.42 | 0.158 | 0.661 | −0.073 | −0.463 | 0.796 | 0.15 | −0.344 |
| EC_SPE | 0.026 | 0.068 | 0.886 | 0.018 | 0.043 | 0.937 | 0.115 | −0.305 | 0.468 | 0.55 |
| Hg | −0.226 | −0.287 | 0.638 | −0.099 | 0.043 | 0.062 | 0.915 | −0.369 | −0.093 | 0.464 |
| Sand | −0.86 | −0.235 | −0.083 | −0.879 | −0.209 | −0.096 | −0.126 | −0.469 | −0.687 | 0.162 |
| Explained variance (%) | 37.03 | 18.97 | 16.71 | 38.9 | 17.1 | 13.1 | 11.1 | 33.1 | 21.2 | 15.7 |
| Cumulative | 37.03 | 56 | 72.71 | 38.9 | 56 | 69.1 | 80.2 | 33.1 | 54.3 | 70 |
| Eigen value | 4.1 | 2.1 | 1.8 | 4.3 | 1.9 | 1.4 | 1.2 | 3.6 | 2.3 | 1.7 |
Disclaimer/Publisher’s Note: The statements, opinions and data contained in all publications are solely those of the individual author(s) and contributor(s) and not of MDPI and/or the editor(s). MDPI and/or the editor(s) disclaim responsibility for any injury to people or property resulting from any ideas, methods, instructions or products referred to in the content. |
© 2025 by the authors. Licensee MDPI, Basel, Switzerland. This article is an open access article distributed under the terms and conditions of the Creative Commons Attribution (CC BY) license (https://creativecommons.org/licenses/by/4.0/).
Share and Cite
Gharaibeh, M.A.; Marschner, B.; Moos, N.; Monokrousos, N. Spatial Distribution and Management of Trace Elements in Arid Agricultural Systems: A Geostatistical Assessment of the Jordan Valley. Land 2025, 14, 1325. https://doi.org/10.3390/land14071325
Gharaibeh MA, Marschner B, Moos N, Monokrousos N. Spatial Distribution and Management of Trace Elements in Arid Agricultural Systems: A Geostatistical Assessment of the Jordan Valley. Land. 2025; 14(7):1325. https://doi.org/10.3390/land14071325
Chicago/Turabian StyleGharaibeh, Mamoun A., Bernd Marschner, Nicolai Moos, and Nikolaos Monokrousos. 2025. "Spatial Distribution and Management of Trace Elements in Arid Agricultural Systems: A Geostatistical Assessment of the Jordan Valley" Land 14, no. 7: 1325. https://doi.org/10.3390/land14071325
APA StyleGharaibeh, M. A., Marschner, B., Moos, N., & Monokrousos, N. (2025). Spatial Distribution and Management of Trace Elements in Arid Agricultural Systems: A Geostatistical Assessment of the Jordan Valley. Land, 14(7), 1325. https://doi.org/10.3390/land14071325

