Abstract
The Gobi Wall is a 321 km-long structure made of earth, stone, and wood, located in the Gobi highland desert of Mongolia. It is the least understood section of the medieval wall system that extends from China into Mongolia. This study aims to determine its builders, purpose, and chronology. Additionally, we seek to better understand the ecological implications of constructing such an extensive system of walls, trenches, garrisons, and fortresses in the remote and harsh environment of the Gobi Desert. Our field expedition combined remote sensing, pedestrian surveys, and targeted excavations at key sites. The results indicate that the garrison walls and main long wall were primarily constructed using rammed earth, with wood and stone reinforcements. Excavations of garrisons uncovered evidence of long-term occupation, including artifacts spanning from 2nd c. BCE to 19th c. CE. According to our findings, the main construction and usage phase of the wall and its associated structures occurred throughout the Xi Xia dynasty (1038–1227 CE), a period characterized by advanced frontier defense systems and significant geopolitical shifts. This study challenges the perception of such structures as being purely defensive, revealing the Gobi Wall’s multifunctional role as an imperial tool for demarcating boundaries, managing populations and resources, and consolidating territorial control. Furthermore, our spatial and ecological analysis demonstrates that the distribution of local resources, such as water and wood, was critical in determining the route of the wall and the placement of associated garrisons and forts. Other geographic factors, including the location of mountain passes and the spread of sand dunes, were strategically utilized to enhance the effectiveness of the wall system. The results of this study reshape our understanding of medieval Inner Asian imperial infrastructure and its lasting impact on geopolitical landscapes. By integrating historical and archeological evidence with geographical analysis of the locations of garrisons and fortifications, we underscore the Xi Xia kingdom’s strategic emphasis on regulating trade, securing transportation routes, and monitoring frontier movement.
1. Introduction
The Medieval (10th to 13th century CE) Wall System (MWS) stretches approximately 4000 km across extensive regions in northern China and Mongolia, as well as shorter sections in Russia (Figure 1). It represents one of the most extensive yet enigmatic architectural features in East Asia. In recent years The Wall Project, funded by the European Research Council, as well as other projects, has extensively studied and published on different sections of this wall line. Such research demonstrated that this extensive system of earthen walls was built by different empires from c. the 10th to the 13th centuries CE [,,,,,]. Among the different sections of the MWS, the wall section located in the southern Mongolia’s Gobi Desert is the least explored and still poorly understood. This study focuses on a 321 km-long segment of this wall line, located in Ömnögovi province of Mongolia, that we refer to as the Gobi Wall (Figure 2).

Figure 1.
Map of the spatial distribution of different sections of the Medieval Wall System.

Figure 2.
Map of the Gobi Wall system in Ömnögovi province, Mongolia, illustrating the wall’s alignment and the distribution of garrison positions and mountain fortifications. Contemporary sum (district) administrative boundaries are marked.
The medieval period in East Asia represents the zenith of dynastic rule by nomadic and semi-nomadic peoples. Following the collapse of the Tang dynasty (618–907) and the subsequent rise of the Song dynasty (960–1279) in the Yellow and Yangzi River basins, the Khitan established the Liao dynasty (907–1125), which controlled extensive territories across North China, Inner Mongolia, and Mongolia. In regions that now comprise western China, Inner Mongolia, and southern Mongolia, the Tangut founded the Western Xia (Xi Xia) dynasty (1038–1227). In the early 12th century, the Jurchen people of Manchuria overthrew their Khitan overlords and established the Jin dynasty (1115–1234), ultimately conquering the Yellow River basin from the Chinese Song. The Mongols emerged as a dominant force in the early 13th century, destroying the Xi Xia in 1227 and the Jin in 1234, before extending their conquests across China and establishing a vast transcontinental empire. Extensive wall systems and demarcations were constructed by the Liao [], Jin [], and Xi Xia. This paper focuses on the Xi Xia wall system.
The main goals of this research are to better understand the construction techniques used in building the walls, garrisons, and fortifications; to date their construction and periods of use; and to determine the purposes for which they were built. We also aim to situate this particular section within its broader environmental context and in relation to medieval Inner Asian political and economic dynamics. The study addresses several key research questions: When were the wall-line and associated structures constructed and used? Were there different phases of renovation or expansion of the wall system? What was the historical context for its construction and renovation? What construction techniques were employed, and how does the construction and design of the Gobi Wall compare to other sections of the MWS? What was the nature of activity along and across the wall, and how did the associated structures function within this system? How did different geographic and ecological parameters affect the design and functioning of the wall system? By addressing these questions, this study aims to contribute to our understanding of medieval Inner Asian political frontier management, long-distance trade networks, and the complex interplay between nomadic and sedentary societies in this critical borderland region.
2. Previous Research
Previous investigations of the MWS include large-scale surveys of wall sections located in China [,], but few excavations have accompanied these surveys. In Mongolia most intensive survey and excavations focused on the North-Wall as marked on Figure 1 [,,,,], with some attention paid to the section we call the Mongolian-Arc [,]. These investigations have challenged traditional interpretations of such structures as purely defensive installations, suggesting more complex roles in monitoring the movement of people and herds and regulating trade. The Gobi Wall, however, presents unique challenges and opportunities for research due to its remote location and distinctive environmental context.
Early observations of the Gobi Wall date back to European travelers in the 18th century, with more systematic studies initiated in the mid-20th century [,]. Mongolian archeologist Kh. Perlee [] (pp. 270–280) conducted pioneering fieldwork in the 1950s examining several structures along the wall in Nomgon sum. These foundational investigations, undertaken in logistically challenging conditions with limited technological resources, established the initial methodological framework and chronological hypotheses that continue to inform contemporary scholarship. Subsequent research by Baasan [] provided extensive research of all wall sections in Mongolia, with a description of the Gobi Wall based on sections documented in Soviet topographic maps. More recently, the Gobi Wall in Mongolia was surveyed by a Japanese team [], and by a Russian–Mongolian team headed by Kovalev and Erdenebaatar [,]. Both teams attributed the wall to the Xi Xia dynasty 1038–1227 CE (also known as Western Xia) which was founded by the Tangut people (Figure 3). The evidence supporting this periodization is the best available to date; however, we aim to enhance chronological resolution and further refine these previous conclusions.

Figure 3.
Map depicting the Gobi Wall, marked in red, as part of the Xi Xia boundary, in year 1142 CE. Map after Tan [] (p. 72).
The section we call the Gobi Wall extends eastwards into China, Inner Mongolia province. Some Chinese researchers working on this part, including the editors of the atlas of the cultural heritage (Inner Mongolia volume), attributed this line and associated structures to the Han period (206 BCE–220 CE) [] (pp. 268–269). Others, such as Li [] and Xing [] (pp. 78, 81), reconstructed a more complex scenario whereby the wall was initially constructed during the Han period but may have been reused by later dynasties such as the Jin, and Xi Xia as well. These ongoing debates, as well as the poor understanding of pertinent questions about the function for which the wall and associated structures were built, the identity and lifeways of the people who were stationed along this wall line, and the techniques used in its construction, underscore the need for a comprehensive, multidisciplinary approach to study the Gobi Wall.
3. Methodology
The research methodology employed for this investigation of the Gobi Wall integrated multiple analytical approaches to document and interpret this archeological landscape. The methodological framework comprised four principal components: (1) geospatial analysis and remote sensing, (2) systematic archeological survey, (3) targeted excavations, and (4) laboratory analyses of recovered materials.
3.1. Geospatial Analysis and Remote Sensing
Analytical protocols delineated by Storozum [] were implemented as the foundational framework for our geospatial investigation. Historical cartographic sources—including the Historical Atlas of China edited by Tan [] and Soviet-era topographic maps—were systematically examined to establish baseline geographical data. In parallel, high-resolution satellite imagery from multiple platforms (Google, Bing, ACME, ESRI, Planet, Umbra, Airbus) was analyzed to delineate the entire 321 km Gobi Wall segment within contemporary Mongolia, enabling the identification of associated wall structures. The complete geospatial dataset was subsequently processed using ArcGIS Pro by ESRI, version 3.4 (released November 2024). For elevation analysis, we employed the “標高 (Japanese terrain)” digital elevation model by ESRI JP Content (updated 28 March 2023), further refining our spatial understanding of the study area.
We georeferenced and digitized twenty Soviet topographic maps at a 1:100,000 scale (Figure 4) to extract features relevant to the frontier system. These 20 maps include detailed symbology []. They were surveyed between 1943 and 1945 and printed in the 1970s and offer a valuable yet underutilized geospatial resource for archeological research in East Asia [,,]. Their production predates major anthropogenic alterations such as modern industrial development and climate change, thereby offering a mid-20th-century environmental baseline that is particularly useful for contextualizing long-term landscape dynamics.

Figure 4.
Distribution of 20 Soviet topographic map sheets covering the study area. Sheet numbers follow the standard Soviet nomenclature system (K-48-XX). The overlay depicts the wall line and the Mongolian Chinese border for general orientation.
While we recognize that the Soviet topographic maps do not capture environmental conditions from the medieval period with precision, their applicability is supported by paleoenvironmental studies demonstrating relative ecological continuity in this region. Pollen records from northern Asia, including the Gobi Desert, indicate the dominance of arid-adapted shrub and grassland vegetation across the late Holocene, with no significant increase in arboreal species over the past millennia []. Similarly, aeolian landforms in the Gobi Desert exhibit comparatively low mobility and dust flux [] (p. 10). Dune systems in the region show long-term spatial persistence despite episodic reactivation. Optically Stimulated Luminescence (OSL) dating from the Gobi Khongoryn Els dune field confirms Late Holocene remobilization events while retaining broad spatial consistency [] (p. 112). These findings indicate that dune outlines recorded in the Soviet-era maps can serve as meaningful proxies for understanding past environmental constraints.
Additional support for the precision of the Soviet-era maps comes from our field observations during the 2024 pedestrian survey, where the only wood species depicted on maps—poplar trees and saxaul shrubs—were also dominant in the landscape and recovered from wood samples dated to the medieval period.
All these indicators demonstrate the value of using Soviet-era maps as interpretive tools for analyzing medieval landscape configurations. However, we emphasize the importance of treating these maps as proxies, to be used with appropriate methodological caution and contextualized through paleoenvironmental and field-based data. The resulting dataset, derived from digitizing the Soviet maps, includes wall lines, well locations (n = 439), well depth and volumetric measurements (n = 61), individual poplar trees (n = 279), saxaul shrub polygons (n = 158, covering 711 km2), and sand dune polygons (n = 45, covering 1500 km2).
3.2. Systematic Archeological Field Survey
Based on remote sensing results, a comprehensive survey strategy was formulated for ground truthing and documenting all types of features potentially associated with the wall system. Aerial documentation employed drone photography using DJI Mavic 3T (includes an optional thermal camera) to capture wall sections and associated structures from multiple perspectives and elevations. This approach generated high-resolution orthophotography mosaics that facilitated detailed morphological analysis of architectural features.
A systematic pedestrian survey was conducted following standard archeological protocols [], with the objective of identifying visible archeological material such as potsherds, lithics, and metal objects. Survey areas were defined in advance by marking polygons on satellite imagery of structures, encompassing each targeted structure and extending 30 m beyond its outer perimeter. Surveyors were spaced at 3 m intervals and walked in straight transects at a controlled pace set by the team leader. All surface finds were flagged and recorded, ensuring comprehensive retrieval rather than selective sampling. This visual inspection was immediately followed by a metal detector survey over the same area to enhance artifact recovery, map metal distributions, and identify potential activity zones based on artifact clustering. Soil augering was conducted in triplicate at locations of high artifact density to evaluate subsurface stratigraphy and determine promising areas for targeted excavation.
3.3. Targeted Excavations
Excavations focused on two selected garrisons (G05 and G10) and specific wall sections. Rather than exposing large areas or entire structures, excavation strategy prioritized the recovery of datable materials, investigation of construction methods, and collection of environmental and activity-related samples. This targeted approach maximized data acquisition while minimizing site disturbance. Small-scale excavations were conducted with fine stratigraphic control and with all contexts and features documented three-dimensionally. All excavated soil was processed through 5 mm mesh sieves to ensure recovery of small artifacts. The spatial position of stratigraphic layers, features, and individual artifacts was documented using Real-Time Kinematic (RTK) equipment, generating precise spatial data that was integrated into the site and excavation area maps.
3.4. Laboratory Analyses
Radiocarbon (14C) analysis was conducted on twelve wood and charcoal samples collected from five distinct locations representing six feature typologies. These analyses were conducted at the W.M. Keck Carbon Cycle Accelerator Mass Spectrometry (KCCAMS) Facility, University of California, Irvine, following established protocols [].
Wood samples were submitted to the Laboratory of Archaeobotanical and Ancient Environments at Tel Aviv University for species identification. Microscopic examination along three observational planes (transverse, tangential, and radial) was conducted using a stereoscopic Carl Zeiss SteREO Discovery.V20 microscope (Oberkochen, Germany), at magnifications up to 360×. Macerations of wood samples were examined using a Nikon Eclipse e100 light microscope, (Tokyo, Japan), at magnifications up to 40×, enabling detailed analysis of cellular structures for taxonomic identification.
Artifacts recovered through survey and excavation, particularly ceramics and metal objects, were subjected to typological analysis and comparative study. Numismatic specimens were identified and dated based on established reference collections [,] with special attention given to Xi Xia coinage [,].
4. Archeological Research of the Gobi Wall System
During the preparatory phase for fieldwork and analysis of extant resources, including cartographic materials, atlases, and remote sensing data, four distinct types of anthropogenic features were identified (Table 1) within the research area: 1. Wall-sections; 2. Large rectangular enclosures (garrisons). 3. Small hill-top fortifications overlooking mountain passes and mountain passes (Figure 2).

Table 1.
Spatial distribution of features along the Gobi Wall, noting the research type.
4.1. Wall Construction and Typology
During fieldwork operations, the wall line was traversed from G03 to G12, including F41, F42, (Figure 2) with examinations conducted at various points to document wall preservation and construction techniques as they were naturally exposed. In some locations, we conducted a more thorough observation and at one section, north of garrison G05, we excavated two trenches through the wall. The construction of the Gobi Wall exhibits sophisticated engineering adapted to the local geography and available resources. The wall is currently preserved at varying heights ranging from almost ground level to 2.6 m (Figure 5A), and its width (including deterioration debris) measures between 2.5 and 3 m. Three main building materials were used, depending on their geographical availability along the wall line: earth, stone and wood. In certain instances, unworked stone material was utilized for the exterior (northern) façade of the wall, while wooden elements constituted the interior (southern) façade, with compacted earth forming the structural core. In numerous locations, the sole discernible feature comprises slightly elevated earthen material and a linear arrangement of stones (Figure 5B). The original incorporation of wood elements in these wall sections remains indeterminate. The wall is much better preserved in the western part of the section we surveyed. The highest preserved section we identified, at coordinates 42.19775 N, 103.13390 E, is 2.60 m high and its construction made extensive use of wooden branches (Figure 5A). Small stones scattered north of it could indicate the use of stone to face the outer side, but without excavations, this was not clear.

Figure 5.
Wall sections. (A) Wall section between G03 and G04 the highest wall section. (B) Deteriorated wall section near G07 (Height up to 0.5 m) revealing the stones used.
A wall section composed entirely of dark unworked stone was identified in proximity to garrison G03, at a location where the defensive structure traverses a prominent peak (Figure 6). This section, constructed primarily from local black basalt stones, represents a deliberate choice in routing, as topographic analysis indicates alternative pathways were available through adjacent plains (Figure 6B). The decision to construct over challenging terrain suggests this section served broader strategic purposes, likely as a visual deterrent and display of defensive engineering capability.

Figure 6.
Black stone wall section. (A) Aerial drone photograph showing the preserved stone wall section traversing the hillside. (B) Topographic map illustrating the wall’s strategic placement across the Kherem Öndör peak, with differentiated earthen (red line) and stone wall (black) segments.
Excavations conducted along the wall alignment adjacent to G05 yielded substantive insights regarding the structural composition and constructional methodologies implemented at this particular locality. Figure 7 illustrates two test pits excavated in this area. Test pit a-a′ (Figure 7C) represents a cleaned section where a small stream had cut through the wall, while test pit b-b′ (Figure 7B) was positioned on top of the wall. At this location, the wall was preserved to approximately 2 m in height, with stone elements and wooden branches visible on the surface.

Figure 7.
Wall excavation adjacent to G05. (A) Satellite imagery of the wall with superimposed contour lines, indicating the locations of cross-sectional excavations a-a′ and b-b′. (B) Cross-section b-b′, top view of excavation demonstrating the integration of stone and wood elements in the wall construction. (C) Cross-section a-a′ showing the stone exterior face, wood interior face, and stratigraphic layers of the wall.
The complete cross-sectional exposure revealed a structural core comprising compacted brown/reddish sediment interspersed with gray strata containing fragmented stone inclusions. The northern (exterior) face of the wall was reinforced with unworked stone. Between this stone facing and the compacted core, sandy material was utilized as fill. On the interior side, the earthen core was supported by a layer of wooden branches (Figure 7B). This multifaceted construction methodology, incorporating diverse materials and distinct construction phases, indicates deliberate engineering considerations to ensure structural integrity.
In the area of b-b′ (Figure 7B), a 2 × 2.5 m test pit was established and excavated to a depth of 60 cm to expose the structure of the wall’s upper portions. The exterior stone facing was clearly visible on the northern side of this square. The remaining width of the wall to the south consisted entirely of wooden branches with earth filling the interstices. This extensive utilization of wood appears to provide support for the entire upper section of the wall, a feature also observed in excavations of the enclosing walls at garrison G05.
The integrated use of multiple construction materials within individual wall segments represents a sophisticated engineering approach that maximized structural integrity while optimizing resource utilization. The typical configuration documented near garrison G05 featured an earthen core, stone facing on the northern (external) wall face, and wooden reinforcement on the southern (internal) face. This tripartite construction method enhanced both structural stability and defensive capabilities, with the stone exterior providing protection against erosion and assault, while the wooden reinforcement prevented slumping and collapse of the earthen core.
4.2. Garrison Structure
Prior to field investigations, rectangular architectural complexes were identified through remote sensing methodologies and preliminarily classified as garrison structures. During the field research, we visited 10 of those locations (G03–G12). Among those, at G09 we did not identify enclosure walls. At the other nine locations, we surveyed and took drone photos. The perimeter walls enclosing all identified garrison structures exhibit rectangular configurations, accompanied by external ditches. The four corners are wider and higher than the rest of the wall, suggesting the existence of corner towers. Morphological depressions observed in the eastern or southeastern perimeter walls of several garrison structures indicate the probable location of gates. The garrisons varied in size between 4745 m2 to a maximum of 14,560 m2. Previous scholars have argued that garrisons’ corners are oriented to the cardinal directions [], but our analysis shows that their orientation varied between north −45 to North +45 (Figure 8). It is more likely that the exact orientation of each garrison was determined by their association with the nearby wall section as well as with the specific topographic conditions at the site of their construction.

Figure 8.
The orientations and sizes of garrisons. (A) Radial plot depicting garrisons’ orientations. Red line lengths represent sizes of garrisons, while azimuths indicate orientation from the southernmost corner to its opposite. (B) Outline comparisons of garrison structures, size and orientation, colors are random for clarity. (C) Example of garrison G01, illustrating the method for determining orientation.
Among the garrisons which we did not survey, G14 stands out because of its location far from the wall line (Figure 2). It is possible that this garrison had a different function or perhaps it is of an earlier date.
The preservation conditions of garrison walls exhibited substantial variability across the survey area. Some, especially those located in the eastern part, are highly eroded, while others are preserved up to 2.5m high. Analogous to the wall lines discussed above, the construction of garrison enclosures demonstrates heterogeneity in both material and architecture. Both earthen walls and the combination of earth stone and wood construction were observed.
The predominant construction methodology employed was rammed earth (Chinese hangtu), a technique documented in China since the Neolithic period []. The importance of this method in the construction of city walls and fortification during the Medieval time period is corroborated by the Yingzao Fashi ‘State Building Standards’ compiled in 1100 CE by the Directorate of Buildings and Construction of the Song dynasty. This source describes the use of an implement with a wooden handle and a stone head (shi hang tou 石夯头) (Figure 9) to pound the thin earth layers []. The importance of the rammed earth technique was made clear by the stone head uncovered in our excavations at area C in garrison G10 (Figure 9C). This limestone artifact measures 9 cm in height with a diameter of 13 cm, featuring a rounded side and a central cavity several centimeters deep on the opposite broken face. An elongated piece of wood found close to it was, perhaps, part of the tool’s wooden pole. Similar artifacts, though shaped in a slightly different fashion, were discovered in our excavations along the Northern Line (Figure 9B) and the Mongolian Arc [].

Figure 9.
Stone-headed tool used for rammed earth wall construction. (A) Historical representation of construction of rammed earth wall using stone-headed tamping implement, adapted from Needham [] (p. 39). (B) Stone head recovered from cluster 23 at the Northern Wall line. (C) Stone head recovered from garrison G10, area C, top and side views. Red circles highlight the stone head component of each tool.
Observations and excavations at multiple garrison sites revealed substantial evidence for the utilization of wood materials in perimeter wall construction. This was clear from our survey at G06 (Figure 10) where surface evidence suggests that the garrison’s walls were made of an outer and inner wood structure (identified as Saxaul) and an internal earthen core, probably of rammed earth.

Figure 10.
The wall surrounding garrison G06. (A) enclosure wall depicting wood use on both sides. (B) exposed section of the interior part of the enclosure wall, depicting extensive use of wood.
Wooden stake elements (identified as Poplar), measuring approximately 20–30 cm in length (Figure 11), were identified along the perimeter of the G03 garrison enclosure at approximately mid-elevation within the wall structure, positioned at regular 3 m intervals. Each stake exhibits a sharpened terminus that was inserted into the wall and a mechanically fragmented superior end, consistent with damage resulting from percussive force. The function of those stakes is unclear, but it is suggested that they marked plans to expand or strengthen the garrison’s walls.

Figure 11.
Archeological specimens of wooden stakes recovered from garrison G03, exhibiting consistent morphological characteristics.
Small-scale excavations were conducted at two garrisons: G05 and G10 (Figure 12). The goal of our excavations was mainly to recover samples for dating and analysis as well as to gain some insights on the structure of the garrisons’ walls and on the occupation inside them. Among other things, these excavations confirmed our survey observations regarding the different construction techniques used at different garrisons. At G10, our excavation of the northeastern corner tower at area (B) revealed the use of the rammed earth construction method. A few wooden beams found in the excavations may have been part of the upper structure built above.

Figure 12.
Excavation units. (A) Excavation units at garrison G05: (A) corner tower base (B) elevated area (C) two units excavated on and through the long wall. (B) Excavation units at garrison G10: (A, C, D) areas with concentrations of artifacts (B) Corner tower base.
At G05, excavations of the southeastern tower at area (A), revealed extensive use of wood in the construction (Figure 13). The branches used here were thicker (4 to 15 cm in diameter) than those excavated in the long wall near this garrison at excavation area (C). They were tightly aligned one next to the other, generally in an east–west orientation, and were embedded in red/brown and green sediments. These sediments are different from the sediments currently seen on the surface of the site, suggesting that they were specifically selected for the construction of the garrison’s walls. A small test pit excavated inside the wall of G05 at area (B), did not reveal evidence for structures or activity. At G10, excavations of area (C) uncovered a garbage pit (or midden) with a relatively dense concentration of animal bones and charcoal. In area (D), excavated on a slightly elevated ground east of area (C), occupational remains were uncovered, including at least two hearths, one of them equipped with three standing stones possibly to support the placement of cooking pots (Figure 14).

Figure 13.
Excavation at G05 at area (A). Large branches exposed at the elevated garrison corner. (Photo: M. Ullman, team archaeologist).

Figure 14.
A hearth with three standing stones, and charcoal in between them at G10, area (D) (Photo: M. Ullman, team archaeologist).
Structural evidence of permanent habitation architecture was not identified, potentially indicating that garrison occupants utilized impermanent dwellings such as Gers (nomadic tents also known as Yurts). However, the limited spatial extent of the excavation areas precludes definitive conclusions regarding the type of dwelling used at this and other garrisons. Our excavations of structures along the Northern wall line and the Mongolian Arc wall line did find evidence for permanent habitation structures made of wood and stones [,] thus suggesting the possibility that similar structures may have existed at garrisons of the Gobi Wall as well.
Excavations and surface collections at various garrisons yielded ceramic assemblages of differing densities (Figure 15). The recovered materials are predominantly high-fired ceramic fragments, typically in light-colored or greyware forms. Several examples feature black-glazed surfaces, a hallmark of Tangut (Xi Xia) material culture []. Notably, Artifacts 4, 5, 10, and 11 in Figure 15 exhibit stylistic traits characteristic of Xi Xia-period ceramics, most likely produced at the Lingwu Kiln located within the Xi Xia territory about 500 km south of the Gobi Wall or the Hui Lane Kiln which is also located within the Xi Xia territory [,,].

Figure 15.
Selected shards found, face and back image: 1 at G03, 2 and 3 at G04, 4 and 5 at G05, 6 and 7 at G06, 8 and 9 at G07, 10 at G08, 11–16 at G10.
Metallurgical artifacts were recovered through systematic pedestrian surveys and notably, through metal detection survey protocols implemented at garrisons G05 and G10 (Figure 16). The assemblage includes different types of artifacts, including coins, projectile points, architectural fasteners, fragmentary wheel hubs for carts, and utilitarian implements. Particularly dense concentrations of metal artifacts were uncovered by our metal detector survey of G10.

Figure 16.
Spatial distribution of metal objects found, with photos of selected items. (A) At garrison G05. (B) At garrison G10.
4.3. Mountain Pass Fortifications and Strategic Points
Three elevated fortifications, initially documented by Kovalev and Erdenebaatar [], were incorporated into the remote sensing survey protocol and labeled F41-F43. Among them, we surveyed two fortifications—F41 and F42. The two are small oval-shaped structures located on high ground near a mountain pass. F41, situated north of the wall near Kherem Öndör peak 1310 m ASL (Figure 17). This site has internal dimensions of 13 × 4.5 m, and is entirely built of stones. On the inside the walls are preserved to c. 2 m high but they are much higher on the outside. The view from the site is more than 180° to the Northwest and South and they seemed to function as observational posts over the entrance to the mountain pass. No artifacts were found inside or around F41 and no materials for dating were recovered.

Figure 17.
Drone photo of the mountain pass and fortification F41.
F42, positioned south of the wall at 1311 m ASL is situated on the western side of a dry river that cut through the mountain ridge at a position that controls the surrounding landscape (Figure 18C). Internally it measures 14 × 7 m, unlike F41 the internal and external faces of the walls are visible on the drone image. The wall is some 2 m wide and stands about 3m high at the highest places. Unlike the walls of F41, relatively large wooden beams were integrated inside the unworked stone construction of the walls of F42 (Figure 18B). Here, as well, no artifacts were found but samples of wood were obtained for dating.

Figure 18.
Mountain pass fortifications. (A) Wood integrated into the stone construction of fortification F42. (B) Drone image of fortification F42 overlooking the entrance to the mountain pass. (C) Drone image of fortification F42 from above.
An additional mountain pass traversing the frontier perimeter was identified through survey methodologies and Geographic Information System (GIS) analyses. This topographical feature is situated in proximity to the location initially designated as G09; however, structural remnants of a garrison installation were not detected at this site (Figure 19). The geographical positioning of this location demonstrates significant strategic value, being situated at a mountain pass where multiple traversable pathways converge before subsequently diverging outward. Soviet maps indicate a demarcated trail extending southwestward from the G09 position toward the subsequent mountain pass at fortification F42. Based on topographical and strategic analyses, the G09 location appears to represent a point of defensive vulnerability along the fortification perimeter.

Figure 19.
Annotated Soviet topographic map (section from sheet K-48-53) depicting topographical and anthropogenic features at the G09 mountain pass.
5. Chronology
While ceramics found at some of the garrisons suggested that they were used during the Xi Xia period (Figure 15), coins provide additional concrete information.
5.1. Coins
Coins are an important source for dating sites because they often have a narrow chronological range of minting dates. However, the range of their circulation and use time is sometimes very long, so we should not treat them as absolute chronological markers. Our expedition recovered nine coins at three garrisons: four at G05, three at G06, and two at G10 (Figure 20).

Figure 20.
Archeological assemblage of nine recovered coins, obverse and reverse: (1) Song dynasty Tiansheng (1023–1032) coin with a reconstruction image; (2) Xi Xia Tiansheng (1149–1169) coin with a reconstruction image; (3, 4 and 5) Qing dynasty coins from the Kangxi (4) and Qianlong eras (3 and 5); (6 and 7) Han dynasty Wuzhu coins; (8 and 9) unidentified iron coins, probably Manchu coins.
Interestingly, the chronological range of the assemblage spans approximately two millennia, from the Han dynasty to the Qing dynasty. This is a good indication of the complex history of this region, but it cannot, by itself, help us identify the time of construction and use of the Gobi Wall system. Our identification and dating of the coins are based on collections of Chinese coins [,]. Additional sources were used for Xi Xia coins, which are of special interest [,].
The earliest numismatic evidence is two Han dynasty wuzhu (五銖) coins, both found at G05 (Figure 20—6 and 7). These are common Han period coins, which were first minted in 118 BCE but continued to be minted and used during the Eastern Han period (25–220 CE) and even as late as 621 CE. However, based on the style of the two coins, particularly because of the four extended lines from the square on the reverse side, we estimate that they were minted during the time of Emperor Lingdi (R. 157–189 CE) of the Eastern Han dynasty. However, the discovery of Han coins in other, clearly dated Xi Xia sites, suggests that such coins could have been in circulation for a much longer time and may have been used by the Tangut [] (pp. 88–109).
The three Qing period coins were all found at G06. Those include one Kangxi Tongbao (康熙通寶) (Figure 20—4), dated to the time of the Kangxi Emperor (1654–1722). The Chinese character he (河) and Manchu word ho (ᡥᠣ), inscribed on the revers, show that it was minted in Kaifeng, Henan. Another two coins discovered in the same garrison are Qianlong Tongbao coins (乾隆通宝) (Figure 20—3 and 5) dated to the time of the Qianlong Emperor (1711–1799). On the reverse of the first coin (no. 3), the mint mark is crusted and hard to read; our tentative reading of the Manchu words (in Mongol script) is boo jin, (ᠪᠣᠣ ᠵᡳᠨ). If this mint mark is correct, then the coin was minted in Taiyuan, Shanxi. The mint mark on the second coin (no. 5) reads boo giyan (ᠪᠣᠣ ᡤᡳᠶᠠᠨ), suggesting that it was minted in Guizhou, southern China. The presence of Qing period coins in this region is by itself not surprising because it was part of the Qing territory. This by itself is not evidence that the Qing constructed or used any of the garrisons.
A Northern Song dynasty Tiansheng (天聖) coin was found in G10 (Figure 20—1). It is dated to the Tiansheng period (1023–1032) but such coins were used long after the fall of the Northern Song Dynasty including by the Xi Xia dynasty. In fact, Song coins were the main currency circulating in Xi Xia, even more numerous than coins minted by the Xi Xia state [] (pp. 88–109), [] (p. 58). Direct evidence for Xi Xia activity is a Xi Xia minted Tiansheng (天盛) coin dated to 1149–1169 CE (Figure 20—2) which we uncovered in G05. During the first century of the Xi Xia dynasty, the polity barely minted coins, hence the extensive use of Northern Song coins. Coins such as the ones we found, which were minted during the second half of the 12th century, are the most common Xi Xia coins (minted both in bronze and iron).
5.2. Radiocarbon Dating Results
The attribution of the Gobi Wall to the Xi Xia state, initially posited by Kovalev and Erdenebaatar [,], was predicated upon radiocarbon analysis conducted at the Institute for the History of Material Culture (IHMC RAS) in St. Petersburg during 2007–2009. Wood samples collected during a 2005 survey established a preliminary chronological framework spanning the 11th to 14th centuries CE. Although Kovalev and Erdenebaatar interpreted selected results as evidence that the wall line and associated features were constructed by the Xi Xia dynasty, the variability of the radiocarbon dates necessitates further verification. To refine the chronological assessment of the Gobi wall line, twelve samples were collected from diverse archeological contexts—the wall line itself, garrison walls, anthropogenic strata within garrisons, and a hilltop fortification—comprising five discrete locations (G03, G05, G06, G10, F42). This methodological approach was implemented to establish a more thorough and systematic sampling across multiple structural features and depositional contexts. A botanical assessment of the wood samples identified almost all woods as black saxaul with the one exception of the wooden stakes collected from the G03 fortification wall which are identified as poplar (see below for details). As of yet, we have no definitive analysis for the charcoal samples although carbonized saxaul is likely.
AMS analyses were conducted on wood (n = 7) and charcoal (n = 5) and full results are provided in Table 2. Comparing across sigma-2 probability ranges, the majority of dates fall between the mid-11th and early 13th century CE, although there are two dates clearly earlier than the rest (UCIAMS-1354 and 1357). Both early dates are on saxaul wood and may exhibit an old wood effect; however, upon reflection, it is probable that all wood and charcoal samples collected do not correspond exactly to the period of human use and deposition that we intend to date. Black saxaul has an average lifespan of 45–50 years [,], poplar can live up to 100+ years [], and even older relict pieces of wood could have been obtained from the local ground surface. As such, these samples are likely characterized by ‘inbuilt age’ as discussed by Dee and Bronk Ramsey [] and can be evaluated using an exponential probability distribution as implemented by the Exponential Outlier method in OxCal Bayesian modeling software []. Underlying this approach is the assumption that a majority of radiocarbon results on old wood and charcoal samples will date near to the period of human use, while a smaller number will be moderately older than the target period, and fewer still may be much older than the time of human use and deposition [] (pp. 83–85).

Table 2.
AMS 14C analysis of samples excavated from the South Gobi wall line and garrisons (OxCal 4.4, IntCal20 software [,].
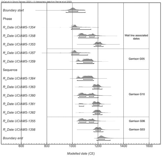
To evaluate the start and end dates, as well as the span of use for the Gobi wall line, we modeled each of our twelve dates using the Exponential Outlier method in OxCal 4.4 (see Supplementary Materials for code and details). We obtained posterior results as shown in Figure 21 with modeled 68% and 95% Credible Intervals (CI) for each individual date as well as for start and end sequence boundaries. Given the historical period in question, the narrower 68% CI ranges will be discussed, although complete modeling results can be found in the Supplementary Materials. Based on available dates and our modeling approach, the start date for the construction of the wall line and associated garrison settlements falls between 971 and 1043 CE (68% CI) and the end date falls between 1206 and 1252 CE (68% CI). The span of occupation and use along the South Gobi wall line is 181 to 270 years long (68% CI, Figure 22). Given that the historical date for the rise in the Xi Xia dynasty is 1038 CE and the Mongol destruction of the Xia state occurred in 1227 CE, these radiocarbon dates and our Bayesian modeling lend support to the hypothesis that the Gobi wall was a Xi Xia frontier construction. It is important to note that the Tangut state existed prior to its constitution as a Chinese style dynasty, although the height of its territorial expansion primarily occurred during the early to mid-11th century CE. Therefore, an intensive Xi Xia occupation of the Gobi region at this time would be in keeping with our understanding of the historical record.

Figure 21.
Bayesian modeled radiocarbon dates and boundaries using the Exponential Outlier method [,,].

Figure 22.
Timespan estimates for the Gobi wall line and associated structures [].
6. Analysis and Discussion
6.1. Topographical and Ecological Analysis
Our geographic and environmental analysis suggest that the route of the Gobi Wall was determined by a combination of political, topographic, and ecological constraints, in addition to the functional requirements for which it was constructed. One important geographic element that the wall builders had to take into consideration was the morphology of the Altai Mountain terminal ridge. The shape and location of this ridge directly influences the characteristic shape of the wall line. Elevation analysis reveals that the highest point occurs between garrisons G08 and G10, with gradual slopes descending toward the piedmont on either side (Figure 23). This topographical configuration suggests strategic utilization of natural elevation advantages, maximizing defensive capabilities while minimizing construction requirements.

Figure 23.
Topographic elevation profile along the Gobi Wall system, indicating the location of garrisons.
Analysis indicates that wall architects deliberately avoided areas with substantial dune coverage, while strategically aligning numerous segments—particularly in the eastern sector—just south of these sandy formations (Figure 24). Such positioning not only facilitated construction on firmer terrain but may also have enhanced defensive efficacy by integrating dune fields as natural barriers. Establishing the wall system primarily south of the mapped dune belts likely increased the difficulty of approach from the north. This configuration suggests that the design optimized both environmental adaptation and defensive performance. However, the analysis is constrained by the dynamic nature of dunes; Late Holocene remobilization episodes in southern Mongolia are well documented [], and localized dune movement could have occurred after the initial construction of the wall. While major dune systems often exhibit spatial persistence over centuries []. Our use of Soviet-era topographic maps as proxies assumes relative stability in dune extent over the past millennium. Future studies incorporating satellite image time series (e.g., Corona, Landsat) or wind regime modeling may offer further insight into the temporal variability of dune positions in relation to the ancient frontier system. Still, the apparent alignment of the wall with the southern fringe of major dune systems reflects a resource-efficient strategy that capitalized on existing geomorphic barriers [].

Figure 24.
Position of sand dunes marked on Soviet maps, vis-à-vis the wall line.
Other ecological factors that potentially influenced the wall route and garrison placement include availability of construction materials, predominantly wood and stone, and access to critical resources, particularly water, which represents the most crucial element in arid desert environments. To evaluate water availability along the Gobi Wall and near its associated garrisons, Soviet-era topographic maps were analyzed, focusing on well distribution, depth, and discharge rates. A total of 439 wells were digitized across the region, with volumetric and depth data available for 60 wells documented on 20 map sheets containing visible wall remains. These wells typically range in depth from 1 to 4 m (Mean = 2.0 m ± 0.6 m) and their discharge rates span from 50 to 500 L/h (Mean = 169 ± 100 L/h).
For spatial analysis, a defined “wall buffer zone” was established, spanning 8 km both north and south of the wall’s route (8 km is about 2 h walk from the wall to a well). This buffer zone creates a 640 km2 buffer zone within each map sheet containing 1600 km2. A clear spatial pattern emerges from this analysis: wells are densely concentrated within and south of the corridor, while their presence north of the wall is markedly sparse. This pattern is exemplified on map sheet K48-053 (Figure 25), which shows a pronounced disparity in well distribution.

Figure 25.
Spatial and quantitative analysis of well distribution along the Gobi Wall buffer zone using Soviet map sheet K48-053. (A) Location of K48-053 within the Gobi Wall area. (B) Statistical distribution of well locations. (C) Annotated map with well positions and associated data.
Although the documented wells do not necessarily date back to the medieval period, their locations highlight zones where shallow aquifers are accessible, thus revealing hydrological features likely present during the wall’s construction. Both topographical prominence and the existence of seasonal waterways mark the presence of reliable water availability. The alignment of the wall with this aquifer system suggests a deliberate strategy: selecting a route that ensures reliable water access for defensive forces while simultaneously limiting access for potential adversaries approaching from the drier northern side. Additional analysis of 11 wells positioned near garrisons along the full length of the wall—each with complete depth and discharge data—reinforces this pattern (Figure 26). Most of these wells are about 2 m deep and yield between 200 and 400 L/h, supporting the conclusion that the wall was intentionally routed through areas with high groundwater availability.

Figure 26.
Analysis of 11 selected wells near Gobi Wall garrisons. (A) Spatial distribution of wells (W1–W11). (B) Well depths (meters). (C) Water discharge rates (L/h).
These findings point to consistent patterns of groundwater accessibility along the wall. The underlying hydrological system consists of a shallow streambed aquifer formed in permeable Quaternary alluvium, with water tables ranging from 0.5 to 7 m below ground. Groundwater is primarily of the Na(HCO₃) type, indicating relatively young, recently recharged water. This recharge occurs mainly through the topographical prominence of the region, where geomorphological features effectively capture and channel the limited precipitation into the groundwater system [,,]. Despite minimal rainfall in the Gobi region, these distinctive landforms facilitate reliable infiltration through the sandy substrate into the underlying water table. Field investigations have demonstrated that sufficient groundwater reserves are maintained throughout the year, thereby enabling garrison personnel to sustain a continuous presence in the wall region.
Two distinct woody species were identified in archeological samples, Haloxylon ammodendron (Saxaul) and Populus euphratica (Poplar) [] (p. 126). Analysis of the wall-line route in relation to Poplar (Populus euphratica) tree distribution (Figure 27) reveals that the wall is positioned mainly at the northern periphery of local poplar tree populations. The deliberate positioning of the wall-line in relation to the poplar suggests a calculated assessment of subsurface hydrological conditions, as regions supporting Populus euphratica growth inherently indicate the presence of accessible groundwater resources. Poplar exhibits specific hydrological requirements that provide valuable archeological insights. As an obligate phreatophyte, this species relies on permanent groundwater access, typically requiring water table depths between 2 and 3 m for optimal growth []. The presence of poplar wood in the defensive structures provides important environmental context for understanding site selection and resource utilization.

Figure 27.
Poplar individual trees marked on Soviet maps, with a field photo of a Poplar tree near garrison G12.
The distribution of Saxaul shrubs demonstrates a strong correlation with construction material utilization. Garrisons G05, G06, and G07 are situated in areas where Saxaul shrubs currently exhibit the highest density (Figure 28). These locations precisely correspond to where the most substantial evidence has been collected regarding the use of wooden branches in the construction of both the wall line and the enclosing walls of the garrisons. This correlation suggests deliberate resource proximity planning, minimizing transportation logistics while ensuring material availability for construction and maintenance operations.

Figure 28.
Saxaul shrubs polygons marked on Soviet maps, with field photo of Saxaul from garrison G06 (Photo D. Wolin, team archaeologist).
6.2. Functional Analysis of the Defensive System
The Gobi Wall system is a combination of several different kinds of structures all meticulously integrated with features of the local landscape. To better understand the way the wall system functioned we focused our analysis on the western section of the wall line where many of those structural elements come together in a relatively small area (Figure 29 and Figure 30). The interconnected defensive infrastructure in this area includes fortification F41, which guards a mountain pass north of the wall-line; the stone wall traversing Kherem Öndör peak, garrison G03; and fortifications F42, positioned to defend a southern mountain pass. The collective presence of these defensive structures provides evidence that this location constituted a strategically significant point along the defensive perimeter. The route delineated on the map, connecting F41 and F42, served as a critical corridor for human mobility, diplomatic exchanges and commercial activities during periods of peace. However, this same area simultaneously presented a potential infiltration route for hostile military forces seeking to penetrate Xi Xia territorial boundaries.

Figure 29.
Drone documentation of garrison G03, illustrating spatial relationships with Kherem Öndör Mountain and fortification F41 within the integrated defensive network.

Figure 30.
Schematic map depicting the strategic positioning of fortified elements along a critical wall crossing.
Garrison G03 (Figure 29) was a pivotal element within a systematically integrated defensive network, functioning in strategic conjunction with fortifications F41 and F42, both of which guard two critical mountain passes along a route traversing the wall. This configuration establishes a defensive perimeter that maximizes territorial control while optimizing resource allocation. The complementary positioning of these elements demonstrates sophisticated military engineering principles, wherein each installation’s defensive capabilities are enhanced through spatial relationships with the others, evidencing complex strategic planning designed to control movement through topographically defined transit corridors.
The Gobi Wall system represents a multifunctional frontier infrastructure that transcends purely military applications. Analysis of its spatial organization, architectural features, and associated artifacts reveals a complex system designed for territorial demarcation, resource management, movement control, and administrative projection of imperial authority. The wall’s alignment along the northern margin of shallow aquifers, as demonstrated through well distribution analysis, indicates a strategic design that prioritized sustainable occupation rather than absolute defensive positioning. The wells documented on Soviet maps suggest a deliberate selection of terrain that could support long-term garrison occupation as documented in similar frontiers [].
The arrangement of garrisons along the wall line reveals a systematic approach to spatial organization. This systematic distributional pattern optimized territorial control while acknowledging logistical constraints, creating an interconnected network of administrative nodes capable of monitoring movement across the frontier zone. The internal spatial organization of garrison sites, particularly the evidence of habitation and military activities at G10, suggests these installations functioned as permanent settlements rather than temporary military outposts.
The material assemblage recovered from garrison sites provides insight into their functional role. The diversity of artifacts, including utilitarian ceramics as well as more expensive wares, and imperial coinage, indicates multifaceted activities encompassing military, administrative, and economic functions. The recovery of Northern Song and Xi Xia coins at garrisons G05 and G10 suggests integration with broader economic networks and administrative systems. This material evidence aligns with historical documentation in the Tiansheng legal code, which describes frontier installations as nodes in an imperial administrative network responsible for regulating trade, collecting customs duties, and monitoring population movements [] (pp. 211–216).
The strategic positioning of mountain fortifications F41 and F42 at critical passage points provides evidence for a sophisticated border management system. These small fortifications, situated to monitor key mountain passes, facilitated controlled movement across the frontier rather than hermetic sealing of the border. This archeological evidence corresponds with historical documentation indicating that Xi Xia frontier policy regulated rather than prohibited cross-border movement, maintaining designated crossing points for diplomatic and commercial traffic while restricting unauthorized passage [] (pp. 117–123).
6.3. Historical Context and Implications
The spatiotemporal distribution of archeological features across the Gobi Wall system reveals significant patterns in construction, occupation, and defensive strategies throughout the Xi Xia period. Bayesian analysis of radiocarbon dating from garrison sites suggests the frontier system originated in the early to mid-11th century CE during the expansion under emperor Yuanhao (r. 1038–1048) and his immediate successors, who sought to secure newly claimed territories against competing polities. While our sample cannot determine if the entire wall system was constructed during this early phase, evidence indicates most elements existed by the mid-12th century—a period of intensified conflicts between Xi Xia and neighboring Jin and Song dynasties [] (p. 50).
Particularly notable are the continuous charcoal deposits at garrison G10 (Figure 21 and Table 2), which provide compelling evidence for uninterrupted occupation throughout the Xi Xia period. This settlement stability, despite harsh desert conditions, challenges prevailing assumptions that nomadic populations in this region were highly mobile, lacked permanent structures, and did not invest in fixed territorial markers or infrastructure []. Instead, the evidence suggests substantial investment in territorial control. For example, stakes recovered from garrison G03 may indicate repair activities, pointing to ongoing maintenance of fortifications. These finds may represent anticipatory measures preceding documented invasion threats, including the confrontations with Mongols in the early 13th century [].
The discovery of a Xi Xia-minted Tiansheng coin dated to 1149–1169 CE at garrison G05 provides direct numismatic evidence of occupation during the dynasty’s final years. This finding aligns chronologically with the Revised and Newly Endorsed Law Code of Tiansheng Era, (hereafter LC), compiled in 1169 CE, which detailed frontier administrative protocols during a period of administrative consolidation coinciding with physical fortification efforts [] (p. 197).
The substantial construction investment indicates significant logistical capabilities and resource mobilization—consistent with the documented administrative capacity of the Xi Xia state [] (pp. 19–106). Garrison enclosures exhibit standardized design with consistent rectangular configurations featuring corner bastions and single entrance gates. This standardization suggests adherence to imperial military architectural protocols, while the integration of local materials demonstrates adaptation to regional resource constraints. The architectural evidence aligns with written sources describing standardization of frontier fortifications under Xi Xia administrative regulations [] (pp. 194–197).
Who could cross the wall line, either from or to the territory under the Xi Xia, represents a crucial aspect in our understanding of this wall system. The frontier walls served as territorial demarcation beyond their military functions. The LC prohibited Xi Xia subjects from living or working beyond designated limits, while forbidding subjects of neighboring states from crossing into Xi Xia territory for settlement, herding, or hunting [] (pp. 210–211). The Tiansheng legal code placed frontier elements under the jurisdiction of supervisory military administrations (監軍司), directly accountable to the Xi Xia court [] (p. 197), [] (p. 70). The code distinguished between authorized and unauthorized border crossings, channeling legitimate traffic—diplomatic missions, commercial caravans, and authorized migrants—through designated checkpoints staffed by inspection officials [] (pp. 117–123). The archeological identification of mountain pass fortifications provides the physical infrastructure for implementing these policies.
The border-crossing regulations differentiated between two categories: potential threats (spies, raiders, enemy forces) and those attempting to smuggle prohibited goods or escape Xi Xia territory [] (pp. 199–206, 209, 212–222, 274–281, 283–287). Notably, the system maintained selective permeability—defectors from enemy states and political refugees were granted asylum [] (pp. 268–270), [] (p. 122), [] (pp. 73, 76, 98), [] (pp. 131–132). This indicates the frontier management system functioned as an active tool of statecraft and diplomacy calibrated to advance specific geopolitical objectives rather than merely as a passive barrier.
The LC further prohibited soldiers from relocating their posts, even to avoid enemies or seek better resources [] (p. 196), highlighting the strategic importance of maintaining specific defensive positions like fortification F42. Historical documentation characterizes these garrisons as nodes in an imperial network regulating trade, collecting customs duties, and monitoring population movements [] (pp. 211–216).
The frontier garrisons were staffed by male, female, and auxiliary soldiers, supplemented by corvée laborers from diverse origins, including convicted criminals [] (pp. 114–116, 194–197, 393–397, 611). The LC delineated commanders’ responsibilities and prescribed penalties for violations such as post abandonment [] (pp. 194–199).
The fortifications operated as an integrated defense system, with guards detecting threats and dispatching messengers to alert neighboring watches and higher-level installations [] (pp. 212–216), [] (p. 23).
Despite its sophistication and resource investment, the Gobi Wall appears not to have presented a significant barrier against Genghis Khan’s Mongol invasion in 1226. The Secret History of the Mongols [] does not mention these fortifications in its description of the campaign against Xi Xia, suggesting they were not considered a major obstacle. This aligns with interpretations of other medieval wall systems in Mongolia and China, whose primary purpose was not to halt large invading armies but rather to control border areas, pacify small-scale conflicts, and regulate the movement of people and commodities between states [,].
7. Conclusions
This investigation of the Gobi Wall system offers substantial new insight into medieval frontier management strategies and architectural practices in Inner Asia. By integrating remote sensing, field surveys, targeted excavations, and historical documentation, we have developed a nuanced interpretation of this complex and multifunctional infrastructure.
Chronological evidence—especially the radiocarbon dating of wooden structural elements and numismatic finds—supports the attribution of the wall’s primary construction and utilization to the Xi Xia period (1038–1227 CE). This dating is further corroborated by the architectural configurations observed at the garrison sites, which align with formal construction patterns documented in Xi Xia administrative texts. Excavation data from key garrisons indicate long-term occupation, reinforced by the recovery of iron tools and state-grade construction implements, including a stone tamping tool from G10. These finds illuminate the practical application of rammed-earth building techniques and suggest continued state support for frontier maintenance and control.
The wall’s alignment reveals deliberate environmental adaptation. Its positioning near shallow aquifers—evidenced through well distributions and poplar tree growth—reflects strategic planning to ensure sustained year-round occupation. This careful integration of environmental knowledge facilitated not only garrison sustainability but also effective monitoring and control of trans-frontier movement. Furthermore, the extensive use of local trees and shrubs in construction appears unique to this wall line and is not documented in other wall systems in Mongolia. Given the ecological sensitivity of the region, this feature raises important questions about medieval land-use practices and environmental impact, which remain key subjects for future research.
This research supports a broader reconceptualization of medieval frontiers—not merely as static defensive barriers, but as dynamic administrative infrastructures. The Gobi Wall exemplifies a mode of Xi Xia statecraft that used architectural investments to manage re-sources, population movement, and territorial boundaries. This understanding aligns with theoretical models framing frontiers as zones of control and interaction, rather than rigid dividing lines [], and invites broader comparative analysis across Eurasian contexts.
8. Future Research Directions
Further research should expand the methodological toolkit used in this study. While the current investigation relied on satellite imagery, drone photography, and pedestrian surveys, incorporating high-resolution (sub meter) multispectral remote sensing combined with SAR and LiDAR would allow detection of subtle topographic features, such as eroded wall traces, depressions, and platforms that are often undetectable through conventional means [].
In addition, the architectural and spatial organization of the Gobi Wall appears to follow a shared structural logic observed in other medieval frontier systems in Mongolia. These include the Mongolian Arc constructed by the Jin dynasty [] and the Northern Wall attributed to the Liao dynasty []. All three exhibit a common pattern of long wall segments interspersed with regularly spaced garrisons and supported by natural obstacles. Future comparative analysis should explore whether these configurations reflect a wider East Asian tradition of imperial frontier infrastructure, possibly grounded in a shared conceptual model. Extending this lens to include examples such as the Roman Limes may offer broader insights into how linear architectures served multifunctional, ideological, and territorial roles in diverse imperial contexts. In future research, it would be beneficial to extend the comparison to other frontier zones worldwide. For instance, the volume edited by Escalona and Reynolds [] explores how scale and scale change shaped landscapes and social organization in medieval Europe, offering a valuable framework for understanding how empires restructured frontier regions across different historical contexts.
Finally, the analytical framework developed in this study—including its emphasis on interdisciplinary integration and environmental analysis—offers a model for investigating other historical frontier systems within and beyond Inner Asia. Comparative studies that incorporate both technical methods and theoretical perspectives will be essential to understanding how empires across time and space transformed marginal zones into managed landscapes.
Supplementary Materials
The following supporting information can be downloaded at: https://www.mdpi.com/article/10.3390/land14051087/s1, Figure S1. Distribution of modeled dates upon the Intcal20 calibration curve (Note that UCIAMS-1360 and 1355 are entirely overlapping); Table S1. Output from Oxcal model.
Author Contributions
Research Conceptualization, G.S.-L., D.G., C.A. and W.H.; Writing—original draft, D.G. and G.S.-L.; Review and amendment of original draft, W.H., I.W., M.U., J.C., M.C. and Z.Z.; Maps and figures, D.G.; GIS analysis, I.W., D.G. and G.A.; Analysis of the radiocarbon dates, W.H.; Data acquisition, M.C., M.U., D.H., I.L. and G.A.; Historical Resources, Numismatics, J.C., G.A., C.A. and Z.Z.; Supervision, C.A., G.S.-L. and W.H.; Project administration, W.H., G.S.-L., C.A. and G.A.; Funding acquisition, G.S.-L. All authors have read and agreed to the published version of the manuscript.
Funding
This research was funded by the European Research Council (ERC) under the European Union’s Horizon 2020 research and innovation program (“The Wall” project, grant agreement No. 882894).
Data Availability Statement
The data presented in this study will be made available upon completion of the ERC funded project and can be obtained from the corresponding author upon request.
Acknowledgments
The authors sincerely acknowledge Tal Rogovski for his expertise in acquiring and post-processing all (unless otherwise stated) drone and camera photographs presented in this manuscript. His technical proficiency and meticulous execution were essential to the photographic documentation. All photos (unless otherwise stated) were taken by Tal Rogovski. All figures (unless otherwise stated) were created by Dan Golan. Participants in the 2024 Gobi Wall expedition: Gideon Shelach-Lavi, Chunag Amartuvshin, William Honeychurch, Dan Golan, Tal Rogovski, Jingchao Chen, Angaragdulguun Gantumur, Gideon Avni, Ido Wachtel, Mika Ullman, Nachem Doron, Yotam Toib, Itay Lubel, Dor Heimberg, Daniela Wolin, Byambatseren Batdalai, Munkhbaatar Munkh-Urchral.
Conflicts of Interest
The authors declare no conflicts of interest.
References
- Fung, Y.T.; Gantumur, A.; Wachtel, I.; Chunag, A.; Zhang, Z.; Fenigstein, O.; Golan, D.; Shelach-Lavi, G. Unraveling the Mongolian Arc: A field survey and spatial investigation of a previously unexplored wall system in eastern Mongolia. J. Field Archaeol. 2024, 49, 225–242. [Google Scholar] [CrossRef]
- Kradin, N.N.; Prokopets, S. The Great Wall of Khitan: North Eastern Wall of Chinggis Khan. Nauka—Vostochnaya Literatura. 2019. Available online: https://www.academia.edu/43375401/The_Great_Wall_of_Khitan_North_Eastern_Wall_of_Chinggis_Khan_Великая_киданьская_стена_Северo_вoстoчный_вал_Чингис_хана (accessed on 14 May 2025).
- Shelach-Lavi, G.; Honeychurch, W.; Chunag, A. Does extra-large equal extra-ordinary? The ‘Wall of Chinggis Khan’ from a multidimensional perspective. Humanit. Soc. Sci. Commun. 2020, 7, 22. [Google Scholar] [CrossRef]
- Shelach-Lavi, G.; Wachtel, I.; Golan, D.; Batzorig, O.; Amartuvshin, C.; Ellenblum, R.; Honeychurch, W. Medieval long-wall construction on the Mongolian Steppe during the eleventh to thirteenth centuries AD. Antiquity 2020, 94, 724–741. [Google Scholar] [CrossRef]
- Shelach-Lavi, G.; Amartuvshin, C.; Heimberg, D.; Wolin, D.; Angaragdulguun, G.; Rogovski, T.; Chen, J.; Fenigstein, O.; Steiner, T.; Honeychurch, W. Life along the medieval frontier: Archaeological investigations of the southeastern long wall of Mongolia. Antiquity, 2025; in press. [Google Scholar]
- Storozum, M.; Golan, D.; Wachtel, I.; Zhang, Z.; Lotze, J.S.; Shelach-Lavi, G. Mapping the medieval wall system of China and Mongolia: A multi-method approach. Land 2021, 10, 997. [Google Scholar] [CrossRef]
- Danda’er. The Typological Research of the Fortified Towns on the Sides of Jin Jiehao. Master’s Thesis, Inner Mongolia Normal University, Hohhot, China, 2013. [Google Scholar]
- Xie, D.; Zhang, Y.; Li, Y. Defense System and Military Settlements of the Jin Great Wall; China Architecture & Building Press: Beijing, China, 2020. [Google Scholar]
- Hanks, B.K.; Shelach-Lavi, G.; Bermann, M.; Eklund, E.; Greaves, A.; Amartuvshin, C.; Tserendash, N.; Goldsmith, Y.; Burentogtokh, J.; Erdenebat, U. Examining medieval long-wall frontier systems (11th–12th centuries AD) through archaeological geophysics in the eastern Mongolian steppe region. J. Archaeol. Sci. Rep. 2024, 60, 104860. [Google Scholar] [CrossRef]
- Amartuvshin, C.; Shelach-Lavi, G.; Honeychurch, W.; Byambatseren, B.; Shamir, O.; Munkhtur, U.; Wolin, D.; Wang, S.; Shamir, N. An elite grave of the pre-Mongol period, from Dornod Province, Mongolia. Archaeol. Res. Asia 2024, 39, 100537. [Google Scholar] [CrossRef]
- Kovalev, A.A.; Erdenebaatar, D. The northern border of the Tangut state, XiXia: According to the archaeological evidence and written sources. Archaeol. J. Kanazawa Univ. 2021, 80, 49–77. [Google Scholar]
- Kovalev, A.A.; Erdenebaatar, D. Reconsideration about Great wall of Xi Xia and Shouxiangcheng fortress of the Western Han in Ömnögov’ aimag, Mongolia. Inn. Mong. Cult. Relics Archaeol. 2008, 2008, 101–110. [Google Scholar]
- Perlee, K. Archaeological Exploration Done on the Gobi Steppe in Ömnögovi and Övör Khangai Aimag (1962). In Erdem Shinzhilgeenii Ögüüllüüd; Perlee, K., Ed.; Mongolian Academy of Sciences: Ulaanbaatar, Mongolia, 2001; Volume 1, pp. 270–280. [Google Scholar]
- Baasan, T. What Are the Chinggis Walls? Admon: Ulaanbaatar, Mongolia, 2006. [Google Scholar]
- Moriya, K.; Shiraishi, N.; Odsuren, D.; Buyanhishig, T.; Batbold, G.; Souma, H. Survey Report of the Great Wall and Castle Ruins in South Gobi Province, Mongolia. In Proceedings of the International Conference on the Archaeology of Ancient Settlements and Cities in Northern Asia; Zhang, Y., Chen, L., Eds.; Science Press: Beijing, China, 2014; pp. 75–80. [Google Scholar]
- Tan, Q. The Historical Atlas of China; Cartographic Publishing House: Beijing, China, 1982; Volume 6. [Google Scholar]
- National Cultural Heritage Administration. The Atlas of the Cultural Heritage of Inner Mongolia; Xi’an Ditu Chubanshe: Xi’an, China, 2003.
- Li, Y. The long walls of the Northern frontier of China. Neimenggu Wenwu Kaogu 2001, 2001, 1–51. [Google Scholar]
- Xing, Y. “Remote observation” of the fortress ruins along the southern line of the Han Great Wall in Inner Mongolia. Perspect. Anc. Mod. Hist. 2020, 34, 78–118. [Google Scholar]
- Department of the Army. Soviet topographic map symbols (Technical Manual 30-548). U.S. Government Printing Office. 1958. Available online: https://s3.eu-west-2.amazonaws.com/redatlas/TM30-548_1958.pdf (accessed on 14 May 2025).
- Aylmer, C. Soviet military maps of China. Cartogr. J. 2022, 59, 376–388. [Google Scholar] [CrossRef]
- Cruickshank, J.L. The evolution of Soviet topographic maps as revealed by their published supporting documentation. Cartogr. J. 2021, 59, 280–299. [Google Scholar] [CrossRef]
- Rondelli, B.; Stride, S.; García-Granero, J.J. Soviet military maps and archaeological survey in the Samarkand region. J. Cult. Herit. 2013, 14, 270–276. [Google Scholar] [CrossRef]
- Cao, X.; Tian, F.; Li, F.; Gaillard, M.J.; Rudaya, N.; Xu, Q.; Herzschuh, U. Pollen-based quantitative land-cover reconstruction for northern Asia covering the last 40 ka cal BP. Clim. Past 2019, 15, 1503–1536. [Google Scholar] [CrossRef]
- Li, H.; Yang, X.; Scuderi, L.A.; Hu, F.; Liang, P.; Jiang, Q.; Buylaert, J.P.; Wang, X.; Du, J.; Kang, S.; et al. East Gobi megalake systems reveal East Asian Monsoon dynamics over the last interglacial-glacial cycle. Nat. Commun. 2023, 14, 2103. [Google Scholar] [CrossRef]
- Hülle, D.; Hilgers, A.; Radtke, U.; Stolz, C.; Hempelmann, N.; Grunert, J.; Felauer, T.; Lehmkuhl, F. OSL dating of sediments from the Gobi Desert, Southern Mongolia. Quat. Geochronol. 2010, 5, 107–113. [Google Scholar] [CrossRef]
- Banning, E.B. Archaeological Survey (Manuals in Archaeological Method, Theory and Technique); Springer: Berlin/Heidelberg, Germany, 2002. [Google Scholar] [CrossRef]
- Southon, J.; Santos, G.M.; Druffel-Rodriguez, K.; Druffel, E.R.M.; Trumbore, S.; Xu, X.; Griffin, S.; Ali, S.; Mazon, M. The Keck Carbon Cycle AMS Laboratory, University of California, Irvine: Initial operation and a background surprise. Radiocarbon 2004, 46, 41–49. [Google Scholar] [CrossRef]
- Thierry, F. Ancient Chinese Coins: From Origins to the End of the Empire; Les Belles Lettres: Paris, France, 2017; ISBN 978-2-251-44686-8. [Google Scholar]
- Yu, W. The Complete Collection of Chinese Ancient Coins; Southwestern University of Finance and Economics Press: Chengdu, China, 1997. [Google Scholar]
- Niu, D.; Niu, Z. Discoveries and research of Xi Xia coins. Tangut Res. 2013, 2013, 88–109. [Google Scholar]
- Wang, X. Archaeological Research on the Coins of the Western Xia Dynasty. Master’s Thesis, Inner Mongolia Normal University, HohHot, China, 2023. [Google Scholar]
- Shelach-Lavi, G. The Archaeology of Early China: From Prehistory to the Han Dynasty; Cambridge University Press: Cambridge, UK, 2015. [Google Scholar] [CrossRef]
- Guo, Q. Yingzao Fashi: Twelfth-century Chinese building manual. Archit. Hist. 1998, 41, 1–13. [Google Scholar] [CrossRef]
- Needham, J. Science and Civilisation in China: Volume 4, Physics and Physical Technology, Part 3, Civil Engineering and Nautics; Cambridge University Press: Cambridge, UK, 1971. [Google Scholar]
- Zou, X.; Wang, R. Design of Xi Xia flat pot and change of nomadic culture. J. Ceram. 2024, 45, 1276–1284. [Google Scholar] [CrossRef]
- Institute of Archaeology, Chinese Academy of Social Sciences. Excavation Report of the Lingwu Kiln in Ningxia; Zhongguo Da Baike Quanshu Chubanshe: Beijing, China, 1995. [Google Scholar]
- Ma, W. Lingwu Kiln in Ningxia; Palace Museum Press: Beijing, China, 1988. [Google Scholar]
- Ningxia Archaeological Institute. Excavation of the Hui Lane Kiln in Lingwu City, Ningxia. Archaeology 2002, 8, 59–68. [Google Scholar]
- Shamsutdinova, E.; Shamsutdinov, Z. Biological features and forage performance of black saxaul (Haloxylon Aphyllum (Minkw) Iljin) in the Central Asian Desert. BIO Web Conf. 2022, 43, 01023. [Google Scholar] [CrossRef]
- Fan, B.; Zhang, A.; Yang, Y.; Ma, Q.; Li, X.; Zhao, C. Long-term effects of xerophytic shrub Haloxylon ammodendron plantations on soil properties and vegetation dynamics in Northwest China. PLOS ONE 2016, 11, e0168000. [Google Scholar] [CrossRef]
- Thomas, F.; Jeschke, M.; Zhang, X.; Lang, P. Stand structure and productivity of Populus euphratica along a gradient of groundwater distances at the Tarim River (NW China). J. Plant Ecol. 2017, 10, 753–764. [Google Scholar] [CrossRef]
- Dee, M.; Bronk Ramsey, C. High-precision Bayesian modeling of samples susceptible to inbuilt age. Radiocarbon 2014, 56, 83–94. [Google Scholar] [CrossRef] [PubMed]
- Bronk Ramsey, C. OxCal (Version 4.4.4) (Computer Software). 2021. Available online: https://c14.arch.ox.ac.uk/oxcal.html (accessed on 14 May 2025).
- Reimer, P.J.; Austin, W.E.N.; Bard, E.; Bayliss, A.; Blackwell, P.G.; Bronk Ramsey, C.; Butzin, M.; Cheng, H.; Edwards, R.L.; Friedrich, M.; et al. The IntCal20 Northern Hemisphere radiocarbon age calibration curve (0–55 cal kBP). Radiocarbon 2020, 62, 725–757. [Google Scholar] [CrossRef]
- Bronk Ramsey, C. Dealing with outliers and offsets in radiocarbon dating. Radiocarbon 2009, 51, 1023–1045. [Google Scholar] [CrossRef]
- Shulyk, V.; Shevchenko, L.; Cherniyavskyi, V.; Davydov, A.; Boborykin, O. About the concept of improving border defense lines by means of landscape architecture. Landsc. Archit. Art 2024, 24, 89–96. [Google Scholar] [CrossRef]
- Altantungalag, D.; Buyankhishig, N.; Altangadas, E.; Purevsuren, U. Groundwater recharge estimation in Undai watershed area, southern Mongolia [Poster presentation]. In Proceedings of the EGU General Assembly 2020: Sharing Geoscience Online, Online, 4–8 May 2020. [Google Scholar] [CrossRef]
- Bayanzul, B.; Nakamura, K.; Machida, I.; Watanabe, N.; Komai, T. Construction of a conceptual model for confined groundwater flow in the Gunii Khooloi Basin, Southern Gobi Region, Mongolia. Hydrogeol. J. 2019, 27, 1581–1596. [Google Scholar] [CrossRef]
- Batsukh, K.; Zlotnik, V.A.; Nasta, P. Analysis of groundwater recharge in Mongolian drylands using composite vadose zone modeling. Front. Water 2022, 4, 802208. [Google Scholar] [CrossRef]
- Amartuvshin, N. The Family Chenopodiaceae vent. in Mongolia: Phylogeny, Historical Development, Range, Distribution, Ecology, Taxonomy; Toonot Print: Ulaanbaatar, Mongolia, 2021. [Google Scholar]
- Zhu, Y.; Ren, L.; Skaggs, T.H.; Lü, H.; Yu, Z.; Wu, Y.; Fang, X. Simulation of Populus euphratica root uptake of groundwater in an arid woodland of the Ejina Basin, China. Hydrol. Process. 2009, 23, 2460–2469. [Google Scholar] [CrossRef]
- Lattimore, O. Studies in Frontier History: Collected Papers, 1928–1958; Oxford University Press: Oxford, UK, 1962. [Google Scholar]
- Shi, J.; Nie, H.; Bai, B. Revised and Newly Endorsed Law Code of the Tiansheng Era; Falü Chubanshe Law Press: Beijing, China, 2000. [Google Scholar]
- Yang, R. Some discussions on the Silk Road of Xi xia. J. Chin. Hist. Geogr. 2003, 18, 117–123. [Google Scholar]
- Dunnell, R.W. The rise of Chinggis Khan and the United Empire, 1206–1260. In The Cambridge history of the Mongol Empire (Volume 1: Political History, pp. 19–106); Biran, M., Kim, H., Eds.; Cambridge University Press: Cambridge, UK, 2023. [Google Scholar]
- Standen, N. Unbounded Loyalty: Frontier Crossings in Liao China; University of Hawai’i Press: Honolulu, HI, USA, 2007. [Google Scholar]
- Dunnell, R. Xi Xia: The First Mongol Conquest. In Genghis Khan and the Mongol Empire; Fitzhugh, W., Rossabi, M., Honeychurch, W., Eds.; Arctic Studies Center, Smithsonian Institution: Washington, DC, USA, 2013; pp. 152–159. [Google Scholar]
- de Rachewiltz, I. The Secret History of the Mongols: A Mongolian Epic Chronicle of the Thirteenth Century; Brill: Boston, MA, USA, 2004; Volume 1–2. [Google Scholar]
- Du, J. Relationship between Xixia and Neighbors; Gansu Cultural Publishing House: Lanzhou, China, 2017. [Google Scholar]
- Shi, J. Research on Xixia Military Documents; Gansu Cultural Publishing House: Lanzhou, China, 2021. [Google Scholar]
- Frachetti, M.D.; Berner, J.; Liu, X.; Bevan, A.; Hritz, C.; Williams, T. Large-scale medieval urbanism traced by UAV–lidar in highland Central Asia. Nature 2024, 634, 1118–1124. [Google Scholar] [CrossRef] [PubMed]
- Escalona, J.; Reynolds, A.J. (Eds.) Scale and Scale Change in the Early Middle Ages: Exploring Landscape, Local Society, and the World Beyond; in The Medieval Countryside; Brepols: Turnhout, Belgium, 2011; Volume 6. [Google Scholar]
Disclaimer/Publisher’s Note: The statements, opinions and data contained in all publications are solely those of the individual author(s) and contributor(s) and not of MDPI and/or the editor(s). MDPI and/or the editor(s) disclaim responsibility for any injury to people or property resulting from any ideas, methods, instructions or products referred to in the content. |
© 2025 by the authors. Licensee MDPI, Basel, Switzerland. This article is an open access article distributed under the terms and conditions of the Creative Commons Attribution (CC BY) license (https://creativecommons.org/licenses/by/4.0/).