Next Article in Journal
Risk Assessment on Organochlorine Pesticides in Agricultural Soils of Eastern City, China
Previous Article in Journal
Integrating Street View Images, Deep Learning, and sDNA for Evaluating University Campus Outdoor Public Spaces: A Focus on Restorative Benefits and Accessibility
 
 
Font Type:
Arial Georgia Verdana
Font Size:
Aa Aa Aa
Line Spacing:
Column Width:
Background:
Article

Migration and Accumulation Mechanisms of Heavy Metals in Soil from Maoniuping Rare Earth Elements Mining, Southwest China

1
College of Earth and Planetary Sciences, Chengdu University of Technology, Chengdu 610059, China
2
Sichuan Development Environmental Science and Technology Research Institute Co., Ltd., Chengdu 610041, China
3
Research Center for Planetary Science, College of Earth and Planetary Sciences, Chengdu University of Technology, Chengdu 610059, China
4
Shaanxi Experimental Center of Geological Survey, Xi’an 710065, China
*
Authors to whom correspondence should be addressed.
These authors contributed equally to this work.
Land 2025, 14(3), 611; https://doi.org/10.3390/land14030611
Submission received: 12 February 2025 / Revised: 11 March 2025 / Accepted: 11 March 2025 / Published: 13 March 2025
(This article belongs to the Topic Environmental Geology and Engineering)

Abstract

The Maoniuping Rare Earth Elements (REE) deposit, the second largest light REE deposit in the world, has been mined for decades, with serious impacts on the surrounding environment. However, the impact of mining on heavy metals in the downstream area (Nanhe River Basin) has not been systematically documented. To address this issue, this study explored the extent, transport, and accumulation of heavy metal contamination in the Nanhe River Basin through field surveys (2946 topsoil samples and four vertical soil sections) and regional geographic attributes (e.g., mining area, river, and elevation) combined with a variety of methods such as statistics, geostatistics, spatial analysis, geo-accumulation index, and potential ecological risk index. The results showed that soils in the Nanhe River Basin presented different degrees of heavy metal pollution, with Pb and Cd being the most abundant, and the soils as a whole showed moderate-heavy ecological risks. The spatial distribution and correlation of heavy metals exhibited similar distribution patterns and sources. Further analyses revealed that mining of REE in Maoniuping was the main source of heavy metal pollution in the Nanhe River Basin, with heavy metals entering the soil through runoffs. At the same time, mining activities led to the migration of heavy metals in different directions in the Nanhe watershed, i.e., about 1.3 km horizontally, 16 km longitudinally, and more than 1 m vertically. In addition, about 38.1 km2 of the watershed is contaminated by mine wastes, which is 6.6 times the size of the mining area. In order to mitigate the threat of heavy metals, the local government has implemented water diversion projects and crop conversion in the Nanhe River Basin. This study provides a reference for research on the environmental problems caused by the exploitation of REE mines and other mineral resources.

1. Introduction

China possesses significant strategic reserves of Rare Earth Elements (REE) ores, with key deposits located in Bayan Obo, Inner Mongolia; Ganzhou City, Jiang Xi; and Maoniuping, Sichuan Provinces [1,2,3,4]. The excavation or/and beneficiation of REE from minerals present significant challenges, often requiring a large number of chemical regents and complicated extraction processes [5,6]. These methods caused substantial negative environmental impacts, raising concerns in recent years.
Table 1 lists pollutants generated by REE mining and metallurgy, which have diverse environmental consequences. These include soil erosion and plant withering [7,8,9,10], dust pollution [11,12], nitrogen and ammonia eutrophication [13,14], S O 4 2 overdose [15], REE overdose [2,16,17,18,19], radioactive contamination [20,21], and heavy metals contamination [1,2,3,16,17,21,22]. Among these, heavy metal contamination constitutes a severe environmental concern.
Table 1. Environmental issues from REE mining.
Table 1. Environmental issues from REE mining.
DepositsLocationsPollutantsEnvironmental ConsequencesReferences
Bayan Obo REE mineInner Mongolia, China.Polymetallic contamination.Topsoil was affected by waste rock and tailings, with the Cd exhibiting 9.18 times higher than the control value.[1]
Bayan Obo REE mineInner Mongolia, China.REE, Cd, Pb, and Ag.Multiple heavy metals have reached concerning levels of pollution, with REE posing the most significant threat.[2]
Bayan Obo REE mineInner Mongolia, China.REE.The elemental pollution level in dust has reached severe or extreme pollution.[11,12]
Bayan Obo REE mineInner Mongolia, China.REE, Mn, Zn, Co, and Ni.Groundwater pollution is mainly caused by high concentrations of heavy metals and REE, while surface water is polluted by high concentrations of REE and ammonia nitrogen.[16]
IAT-Res mineJiangxi Province, China.Pb, Zn, Ni, Mn, and Co.Topsoil metals exceed the background reference for the province.[3]
IAT-Res mineNorthern Guangdong Province, China.Mn, Zn, Cd, and Pb.Cd and Mn identified as the primary contaminants.[23]
IAT-Res mineDingnan County, Ganzhou City.Ce and Eu.Contamination mainly coming from abandoned tailings.[17]
IAT-Res mineDingnan County, Ganzhou City.Pb.The abandoned mine site and the surrounding soils are heavily contaminated with Pb.[21]
IAT-Res mineDingnan and Longnan Counties, China.REE, ammonium, and sulfates, etc.The lower concentrations of REE were dozens of times higher than control point.[15]
IAT-Res mineChangting County, Fujian Province, China.REE.Mean value reaches 255.34 mg/kg, which accumulated from hilly areas to rice fields in the watershed.[24].
IAT-Res mineChangting County, Fujian Province, China.Cd, Cu, and As.The average value of Cd is 3.51, exceeding the standard by 10.7 times, and the soil environment is generally in the intensity of ecological risk.[22]
IAT-Res mineLiancheng County, Fujian Province, China.REE.The range of REE of the Downstream soil was 727.96 mg/kg, which was 3.26 times of the background value of Fujian Province and posed a strong ecological risk.[19]
Xinlong REE mineAnyuan County, Jiangxi Province, China.Total nitrogen, Mn, and REE.Wate bodies exhibited elevated levels of total N, Mn, and REE. Mining caused 88% of pond and stream water unsuitable for agricultural purposes.[25]
WCED-REO mineLongnan County, Jiangxi Province, China.Ammonia nitrogen pollution.Soil acidification is severe, and the ammonia–nitrogen content in deep soil is 12~40 times higher than the soil background level.[14]
Nuodong REE mineWuzhou City, Guangxi Province, China.Ammonia-nitrogen pollutant.The highest ammonia nitrogen pollutant in the monitoring area can reach 139.15 mg/L, with a cumulative pollution area of 1.95 km2. The water quality of streams and reservoirs has been seriously affected.[26]
Wenfang REE mineLiancheng County, Fujian Province, China.Ammonia-nitrogen pollutant.Significant increase in total nitrogen contents in the surface soil and water around the mining area, posing ecological risks.[27]
815# REE mineHeping County, Guangdong Province, China.Soil destruction and waste.Exposed soil turned into a sandy landfill, causing soil destruction and waste, and preventing plants from growing.[8]
-Southern Jiangxi Province, China.Land degradation.Between 1988 and 2010, REE mining degraded 4281.8 hectares of land, with 2416.6 hectares severely impacted.[28]
REE mineIrma and Lovozero Rivers, Russia.REE.Average values reached 561 and 736 mg/kg, respectively.[18]
Mountain Pass REE mineCalifornia, USA.Radioactive contamination.Over 60 wastewater leakage incidents occurred between 1984 and 1998, releasing over 600,000 gallons of wastewater.[20]
Abbreviation: IAT-Res mine, ion adsorption type rare earth mines; Cd, Cadmium; Pb, Lead; Zn, Zinc; Ni, Nickel; Co, Cobalt; Mn, Manganese; Ag, Silver; Ce, Cerium; Eu, Europium; Cu, Copper; As, Arsenic.
The Maoniuping Rare Earth Element (REE) deposit, located in southwest Sichuan Province, is the world’s second-largest light REE deposit [29]. Despite its economic significance, decades of intensive mining operations have led to severe environmental degradation in the region. The mining activities have left the landscape around the Maoniuping mine area heavily scarred, with vast expanses of farmland buried under tailings and slag piles. This has not only destroyed the natural geological landscape [10] but also increased the risk of landslides due to the instability of the accumulated tailings and waste rock [9]. Moreover, the improper disposal of non-standard tailings and untreated wastewater has resulted in the contamination of Nanhe River sediments with heavy metals and radioactive substances [4,30]. The Nanhe River Basin, which lies adjacent to the Maoniuping REE mine, serves as a critical agricultural zone and an important food production base for Mianning County. However, the mechanisms governing the migration and accumulation of heavy metals in the arable soils of the Nanhe Basin remain poorly understood. This knowledge gap hinders the development of effective strategies to mitigate the environmental and health risks posed by heavy metal contamination. Given the proximity of the basin to the mining area and its role in food production, there is an urgent need to investigate the pathways through which heavy metals are transported and accumulated in the soil. Such studies are essential to safeguard agricultural productivity, protect local ecosystems, and ensure the health and well-being of the communities reliant on this vital resource. In this regard, this study aims to investigate the spatial distribution characteristics of heavy metals downstream of the Maoniuping REE deposit, employing geostatistical and multivariate statistical methods. Our objectives focus on the following: (1) assess the current status of soil heavy metal contamination in the Nanhe River Basin; (2) explore the sources of soil heavy metals; and (3) provide a preliminary assessment of heavy metal migration mechanisms and demarcate the extent of pollution. In this study, we reported the heavy metals released from the light REE mining in China, which provides a reference for other countries around the world (e.g., Australia, Ukraine, Russia, and the United States) to carry out mine waste prevention and control of REE mining.

2. Regional Setting and Method

2.1. Maoniuping REE Deposit and Mining History

The Maoniuping REE deposit, spanning ~5.80 km2 in the upper Nanhe River, holds the distinction of being China’s leading light REE deposit and the second largest REE deposit worldwide [29]. The deposit formed by late Oligocene hydrothermal veins and dominated by carbonatites. The primary ore minerals are bastnaesite, while vein minerals consist of nepheline, arfvedsonite, calcite, fluorite, quartz, biotite, K-feldspar, fluorphlogopite, as well as accompanying metal minerals such as galena [31,32].
The Maoniuping REE deposit was accidentally discovered during the galena exploration. Thereafter, to verify the reserve and mineralization mechanism of the deposit, detailed geological surveys were conducted spanning from 1985 to 1994, ultimately confirming the presence of a large light REE ore [33]. In the early stages of mining, REE resources were not subject to centralized control, with over 100 companies engaged in mineral extraction. This extensive mining resulted in the selective extraction of high-grade ores, the abandonment of lower-grade minerals, and a surge in illegal mining. These practices undoubtedly lead to resource wastage and environmental degradation [34]. In 2008, the mining administration imposed a one-mine-one-right policy to regulate the utilization of Maoniuping REE resources. Subsequently, the Sichuan Jiangtong REE Company successfully bid for the development rights to the mine. The company initiated efforts to arrange resources, manage mining operations, and implement environmental practices within the mine area. Over the next 15 years, formal mining operations commenced, yielding an annual output of ~30,000 tons/year for REE concentrates, and a barite concentrate production rate of 140,000 tons. In a recent development in 2023, China Rare Earth Group Co., Ltd. (Ganzhou, China) (REGCC) has assumed control of the Maoniuping REE deposit [35].

2.2. Nanhe Basin

The Nanhe Basin, spanning approximately 404.3 km2 and extending 37 km, is composed of diluvial and alluvial deposits. The Nanhe River, originating from the eastern side of Maoniu Mountain, flows through the center of the basin before converging with the Anning River [36]. The basin’s land is suitable for cultivating a diverse range of crops. The Nanhe Basin has an altitude of over 1500 m and exhibits a middle to high mountain landform. The climate in the Nanhe Basin belongs to the subtropical monsoon climate, featuring abundant sunshine. The precipitation exceeds 1000 mm, concentrating during summer and autumn [37].
Many north- and northeast-oriented faults and folds have been developed in the region, such as the Maoniuping dorsal slope, the Haha Fracture, and the Nanhe Fracture [38]. The stratigraphy is dominated by the Quaternary Pleistocene (Qp) and Holocene (Qh) sedimentary strata. These strata, composed primarily of granitic gravels, sands, and clays, are exposed in the western, central, and eastern portions of the basin, accounting for approximately 95% of the total basin (Figure 1). These strata exhibit a relatively loose structure.

2.3. Sample Collection and Analysis

A total of 2946 topsoil samples were collected in the Nanhe Basin (Figure 1). Sampling methodologies, including diagonal, plum blossom point, and checkerboard patterns, were employed and adapted to the specific characteristics of the terrain. The surface soil sampling method is based on the standard “Specification for Geochemical Evaluation of Soil Quality” (DZT 0295-2016) [39]. Specifically, a 20 m × 20 m grid was established at each designated sampling site. Before sample collection, surface debris, such as dead branches, leaves, animal and plant residues, and gravel, was removed using bamboo shovels and wooden chips. Subsequently, vertical soil columns were extracted from the center and corners of each grid to a depth of 0~20 cm using wooden shovels. Samples were combined to form composites weighing 1~1.5 kg, considering the gravel content and moisture conditions. After collection, the samples were placed in plastic bags, covered with cloth bags, and labeled.
The vertical soil section design considers factors including parent material, cultivation practices, planting structures, pollution source distribution, cultivated land concentration, and the spatial variability of geographical and geomorphological features. The vertical soil section samples were taken according to the standard “The Technical Specification for soil Environmental monitoring” (HJ/T 166-2004) [40]. When material composition remained consistent, samples were collected at intervals of approximately 10~20 cm along the vertical sampling point. Adjustments to the sampling interval were made to account for any observed anomalies. This approach allows for the investigation of vertical changes in the heavy metal pollution characteristics. A sampling depth of 1 m was used, with five soil samples collected at each vertical soil section: surface (0–20 cm), middle (20–40 cm, 40–60 cm), and deep (60–80 cm, 80–100 cm) samples (Table 2).
All samples were air-dried and smashed with a wooden hammer. The pulverulent samples were further processed in an agate ball mill or agate mortar, sieved through a 0.075 mm mesh size nylon sieve, and sealed into milled glass vials for further analysis. The total content of eight heavy metals (Cd, Pb, Cr, Cu, Ni, Zn, Hg, and As) was subjected to geochemical analysis. Using the method provided in the “Agricultural Industry Standard of the People’s Republic of China” (NY/T 1377-2007) [41], with distilled water as the leaching agent, the soil’s pH was determined potentiometrically in combination with a pH meter. The concentrations of Cd and Pb in the soil were quantified utilizing a graphite furnace atomic absorption spectrophotometer (PinAAcle 900, Perkin Elmer, Shelton, CT, USA) [42], whereas the levels of Cr, Cu, Ni, and Zn were ascertained through the application of a flame atomic absorption spectrophotometer (PinAAcle 900, Perkin Elmer, USA) [43]. Moreover, the determination of Hg and As within the soil was conducted via atomic fluorescence spectrophotometry (AFS, FL-100, LWL, Beijing, China) subsequent to microwave-assisted digestion [44]. The detection limits were 0.01, 0.1, 4, 1, 3, and 10 mg/kg for Cd, Pb, Cr, Cu, Ni, and Zn, respectively, and 0.002 and 0.01 mg/kg for Hg and As, respectively. Meanwhile, regional geographic datasets were collected to help explain the dispersal of heavy metals from the Maoniuping REE mine (Table 2).
Table 2. Description and acquisition methods of the geographical attributes of the Nanhe Basin.
Table 2. Description and acquisition methods of the geographical attributes of the Nanhe Basin.
AttributesDescriptionSources
TopsoilMixed soil samples (0~20 cm) of arable land in the Nanhe Basin were collected and analyzed for pH, Cd, Pb, Cr, Cu, Ni, Zn, Hg, and As, performing national standards [45]. Soil type is predominantly Anthrosols.Field investigation in the Nanhe Basin.
Vertical soil section Samples (vertical soil section a, b, c, and d) were collected from the bottom to the surface at a depth of ~1 m, 10–30 cm intervals. The four vertical soil sections are positioned at ~4.4, ~6.09, ~7.10, and ~10.79 km from the Maoniuping REE deposit, respectively.
Elevation, slope, and slope directionThe Digital Elevation Model (DEM) was derived from the aerial dataset. The slope and slope direction are extrapolated from the DEM dataset.Shuttle Radar Topography Mission [46], the most complete and highest-resolution DEM. The 2000 Project was a joint endeavor of NASA, the National Geospatial-Intelligence Agency, and the German and Italian Space Agencies [47].
RiverThe Nanhe Basin consists of the main river channel, tributary streams, and both natural and artificial canals.Field survey and mapping from remote sensing images.
Mine areaThe land occupation of Maoniuping REE Mine (~5.80 km2).
Tailings pondsThe mineral dressing residue in the Maoniuping REE mine comprises four non-standard waste dumps (28°24′36″ N; 102°00′37″ E) and one tailings pond (Figure 1, 28°26′36″ N, 102°00′57″ E).
REE smelterMetallurgy and ancillary facilities for concentrates of REE minerals (28°32′4″ N, 102°9′0″ E).
StratumPleistocene and Holocene sedimentary strata, intrusive rocks of the Yanshanian period in the Nanhe BasinManual extraction of 250,000 geological maps from the National Basic Geographic Information Database, China.

2.4. Kriging Interpolation

Kriging interpolation is a major part of the study of geostatistics, which essentially uses the structural characteristics of the raw data of regionalized variables and their corresponding variance functions to make linear unbiased predictions of the value of a regionalized variable at an unknown point location [48].
z * x 0 = i = 1 n w i z x i
w i = 1 d i 2 i = 1 n 1 d i 2
where z * x 0 is an estimate of the sampling point at point X0, z x i is the actual measurement at xi, w i is the weight assignment of xi, n is the number of points in the neighborhood used to estimate the value of x0, and d i is the distance between the estimated point and the actual point.

2.5. Geographically Weighted Regression

Geographically weighted regression (GWR) generates local regression parameters that reveal localized changes between variables.
y i = β 0 u i , v i + k = 1 P β k u i , v i x i k + ε i ( k = 1 , 2 , 3 )
where y i represents the value of the dependent variable at location i, x i k denotes the value of the independent variable at position i, u i , v i represents the geographic coordinates of the regression analysis points, β k is the point coefficient in the regression model, and β 0 is the intercept term.

2.6. Geo-Accumulation of Heavy Metals

The geo-accumulation index (Igeo) reflects the natural variability of heavy metals and highlights the impact of anthropogenic input on the environment [49].
I g e o = log 2 C i 1.5 B i
where Ci represents the measured value of soil, Bi denotes the background concentration, and 1.5 is a correction parameter commonly employed to discern between natural fluctuations or anthropogenic influences [50]. The Igeo is classified into seven categories: uncontaminated (≤0, Class I), uncontaminated to moderately contaminated (0~1, Class II), moderately contaminated (1~2, Class III), moderately to heavily contaminated (2~3, Class IV), heavily contaminated (3~4, Class V), heavily polluted to extremely polluted (4~5, Class VI), and extremely polluted (≥5, Class VII).
In the study, the Chinese environmental quality standards [45] were used as guiding values for heavy metal pollution. “Soil environmental quality risk control standard for soil contamination of agricultural land” (GB 15618-2018) [51] is a mandatory standard for heavy metal content in farmland soil issued by China. It specifies the risk screening and control values for soil heavy metal pollution.

2.7. Potential Ecological Risk Index

The potential ecological risk index (RI) takes into account the nature of heavy metals and biological sensitivity to heavy metal contamination, as well as differences in regional background values for heavy metals, effectively eliminating the effects of regional differences and heterogenic contamination [52,53]. Also, it takes into account the comprehensive impact of heavy metals on the environment [54].
C f i = C s i B i
E r i = T r i × C f i
R I = i = 1 n E r i
where E r i is the single coefficient of potential ecological hazards, T r i is the toxicity response coefficient of heavy metal i, which represents the toxicity level of heavy metals and the sensitivity of the environment to heavy metal contamination, and the toxicity corresponding coefficients of the eight soil heavy metals in this study were set to refer to the results of Hakanson and Zhang’s study ( T r P b = 5, T r C d = 30, T r Z n = 1, T r C u = 5, T r C r = 2, T r N i = 5, T r H g = 40, and T r A s = 10) [53,55], and C s i is the measured concentration of heavy metal i (mg/kg). The grading criteria for the soil potential ecological risk index are shown in Table 3.

2.8. Multivariate and Geostatistical Analysis

The data processing was performed using Excel for descriptive statistics; data spatial interpolation methods and buffer analysis were performed using GIS technology to explore the spatial distribution and migration patterns of heavy metals. Among these, buffer analysis refers to a spatial analysis method in GIS used to determine the influence range or adjacent areas of geographic features. Its core involves creating a buffer area of a certain width around specific geographic features and analyzing other features or attributes within that area. Correlation analysis and principal component analysis were performed on the data using SPSS 26 to determine the correlation of the data with geographic elements and sources of heavy metal pollution. Maps were prepared using Origin 2022.

3. Results

3.1. Topsoil

The topsoil’s pH in the Nanhe Basin, as presented in Table 4, ranged from 4.12 to 7.79 (arithmetic mean 5.62). Notably, acidic soils (4.5 ≤ pH < 5.5) accounted for 40.4%; weakly acidic soils (5.5 ≤ pH < 6.5) accounted for 56.4%. The remaining topsoil displayed a neutral to alkaline pH range (6.5 to 8.5), suggesting that a significant portion of the soil within the basin likely exhibited acidic characteristics. The contents of Pb, Cd, Cu, Zn, Ni, Cr, Hg, and As varied from 12 to 5180 mg/kg (arithmetic mean 338.8 mg/kg), 0.06 to 9.88 mg/kg (arithmetic mean 0.52 mg/kg), 3 to 179 mg/kg (arithmetic mean 39 mg/kg), 42 to 499 mg/kg (arithmetic mean 152 mg/kg), 4 to 177 mg/kg (arithmetic mean 38 mg/kg), 7 to 876 mg/kg (arithmetic mean 69 mg/kg), 0.01 to 4.81 mg/kg (arithmetic mean 0.13 mg/kg) and 0.12 to 35.20 mg/kg (arithmetic mean 3.45 mg/kg), respectively. According to the screening values in the Chinese soil quality standard (GB 15618-2018) [51], the exceedance rates of Cd, Pb, Cu, Zn, Ni, Cr, Hg, and As were 62.5%, 53.2%, 15.8%, 12.0%, 3.3%, 2.5%, 1.2%, and 0%, respectively, indicates soil heavy metals display different levels of contamination, with Cd and Pb being the most abundant contamination. Based on the exceedance rate found the pollution level follows this order: Cd > Pb > Cu > Zn > Ni > Cr > Hg >As (Table 4).
The coefficient of variation (CV) is a statistical measure used to quantify the degree of variability and is classified into three categories: low variation (≤15%), medium variation (15~35%), and high variation (>35%) [56]. The CV of pH in the topsoil equals 8.5%, representing a low variation. In contrast, the CVs for heavy metals were collectively higher than 35%, signifying a strong anthropogenic disturbance in the Nanhe Basin (Table 4).
Figure 2 illustrates the spatial distribution of heavy metals in the Nanhe Basin’s topsoil, displaying distinct patterns. For example, overlapping areas of high Pb and Zn concentrations are observed near the upstream riverbanks. However, in the downstream, the Pb enrichment is particularly significant. Meanwhile, Pb, Cd, and Zn contents are relatively concentrated in the Nanhe River’s main channel, with Pb showing the highest concentration and Zn exhibiting greater dispersion. This result suggests a potential connection between the distribution of heavy metals and the ongoing REE mining upstream. The remaining heavy metals (Cu, Ni, Cr, Hg, and As) are relatively depleted near the river channel and enriched away from the river. Among them, the Ni levels are most negatively correlated with the river.

3.2. Vertical Soil Sections

Deep soil demonstrates a higher degree of alkalinity compared to topsoil. The mean values of the vertical soil sections’ soil are 6.21 (vertical section a), 6.01 (vertical section b), 7.04 (vertical section c), and 6.05 (vertical section d), and their CVs are 1.8% (vertical soil section a), 1.1% (vertical section b), 1.1% (vertical section c), and 2.4% (vertical section d). A lower CV level indicates minimal acid-base fluctuation in the soil vertical section. On the other hand, the levels of Pb and Cd in vertical section c and in the topsoil of vertical soil section a surpassed the risk screening values [45]. Zn contaminated the surface and middle layers of vertical section c, whereas Cu only exceeded the risk screening values in the topsoil of vertical section c. Other heavy metals in the vertical soil sections did not exceed the limits.
Additionally, heavy metals exhibited distinct characteristics in the soil vertical sections. In vertical section a, the Pb, Cd, and Hg levels decreased with depth, while other heavy metals showed minimal vertical variation. In vertical section b, apart from the insignificant change in Pb levels, a notable enrichment of heavy metals was observed in the middle layer. In vertical section c, heavy metals displayed two or three distinct distribution patterns, primarily including Pb, Cd, Cu, Zn, and Hg, whose levels significantly decreased with depth but unexpectedly increased at a depth of 60–80 cm. In vertical section d, the Pb, Cd, Cu, Zn, and Ni levels remained relatively constant.

3.3. Risk Assessment of Heavy Metals

3.3.1. Geo-Accumulation Index

In this study, vertical sections a and b, positioned on steep slopes and distant from mining activities, display moderate heavy metal levels. Vertical section c, situated in a low-elevation, gently sloping area near the Nanhe River, exhibited higher heavy metal concentrations in both topsoil and deeper soil layers (Figure 3). Vertical section c, situated on the right bank of the Nanhe River at a higher elevation, is irrigated by local creeks and is free from the impacts of mining or industrial activities. The average concentrations of Pb, Cd, Zn, Cu, Ni, Cr, Hg, and As, in vertical section d were determined as 32.4, 0.14, 77, 22, 39, 70.4, and 6.11 mg/kg, respectively, significantly lower than the clean soil [45]. As such, vertical section d can serve as a reference site for establishing baseline heavy metal levels within the Nanhe Basin.
Using the established baseline, the Igeo of heavy metals in the topsoil was determined (Figure 4). The analysis revealed that areas with high heavy metal enrichment in the soil are primarily concentrated near the Nanhe River, exhibiting a diffuse pattern extending outwards from the river channel. This observation suggests that heavy metal migration within the Nanhe Basin is predominantly water-mediated.
Pb enrichment is prevalent, with only 21.0% of the samples classified as uncontaminated. Moderate to severe contamination was found in 39.2% of samples, and 2.8% showed extreme enrichment. Approximately 80.1% of soil Cd pollution is classified below moderate (0 ≤ Igeo ≤ 2), while 12.2% of Cd pollution falls within the moderate to extreme range. Only two sites exhibited extreme Cd pollution. The Hg is somewhat enriched in the study area, with more than average (58%) of the soil samples exhibiting Hg contamination, mainly in the form of no-moderate contamination. Hg enrichment is primarily concentrated in the vicinity of the urban and residential areas of Mianning County. The influence of human activity on soil Hg content in proximity to the urban area is significant, a finding corroborated by other studies [57]. The enrichment of Zn and Cu in the topsoil is limited, with 9.3% and 3.0% of the samples classified as moderately or highly contaminated, respectively. The mobility of these metals in acidic soils may explain these low levels. Contamination by Cr, Ni, and As is minimal in the topsoil, with 90% or more of samples being uncontaminated. The Igeo in the topsoil of Nanhe Basin follows the sequence of Pb > Cd > Hg > Zn > Cu > Cr > Ni > As.

3.3.2. Potential Ecological Risk Assessment

The RI of soil heavy metals in the studied area was systematically calculated, with the comprehensive statistical results presented in Table 5. The analysis demonstrated varying degrees of potential ecological risks associated with heavy metal contamination. Based on the individual ecological risk index (Ei) values, the average Ei followed a descending order: Cd > Hg > Pb > Cu > As > Ni > Cr > Zn. Notably, only Cd, Pb, and Hg exhibited average Ei values exceeding 40, indicating significantly elevated ecological risks. In contrast, Cu, As, Ni, Cr, and Zn generally posed low ecological risks across most sampling sites. Specifically, Cd demonstrated the highest ecological risk with an average Ei of 114, peaking at an alarming 2179. This substantial value indicates that Cd contamination predominantly reached medium to heavy risk levels, with its average potential risk classified as heavy. Pb showed an average Ei of 52.3, with a maximum value of 799, suggesting that while its potential risk was primarily low, the average risk level reached moderate status. Hg presented an average Ei of 92, with an exceptionally high maximum value of 3436, reaching severe risk levels. The risk level distribution of Hg paralleled that of Cd, predominantly ranging from medium to heavy, with an average risk classified as medium. The pronounced risk levels associated with Hg may be attributed to two key factors: the region’s naturally low geological background values and the inherently high toxicity coefficient of Hg.
An analysis of the RI characteristics in the study area revealed that the RI values ranged from 57 to 3673, with a mean value of 282. The risk levels were distributed as follows: 14.0% of the soils were classified as low risk, 53.2% as moderate risk, 28.3% as heavy risk, and 4.4% as severe risk. This indicates that the majority of the soils in the study area (85.6%) exhibited medium to high ecological risk levels, highlighting a significant degree of environmental risk.

3.4. Provenance of Heavy Metals

The observed correlation revealed intrinsic connections and potential synergistic effects between heavy metals. Strong correlations generally suggest a shared origin, while weak correlations indicate distinct sources [58]. Concerning the non-normal distribution of heavy metal contents in the topsoil, Spearman’s correlation coefficient (r) was utilized to assess their interrelationship [59]. Figure 5 illustrates positive correlations between Pb and Zn (rPb-Zn = 0.60, p < 0.01), Pb and Cd (rPb-Cd = 0.58, p < 0.01), and Zn and Cd (rZn-Cd = 0.69, p < 0.01), suggesting a shared sources for these metals. Conversely, Pb shows a weak negative correlation with Ni (rPb-Ni = −0.35, p < 0.01) and Hg (rPb-Hg = −0.23, p < 0.01). Cu is only positively correlated with Zn (rCu-Zn = 0.48, p < 0.01) and Ni (rCu-Ni = 0.35, p < 0.01) and has weak or no correlation with other heavy metals. Ni has weak correlations with Cr, Hg (rNi-Hg = 0.35, p < 0.01), and As (rNi-As = 0.35, p < 0.01). The correlations show that soil heavy metals have multiple sources.
PCA is an algorithm that achieves dimensionality reduction by mapping high-dimensional features to lower dimensions. Also, it is often used to analyze soil heavy metal sources [60,61]. Its purpose is to focus single or multiple variables with similar characteristics into a common factor from the variation in the original variable that is explained through fewer common factors [62]. The Kaiser–Meyer–Olkin (KMO = 0.64) and Bartlett sphericity tests (p < 0.01) confirmed the suitability of topsoil’s data for PCA. On this basis, the results of PCA showed three principal components (Factor 1–3) with eigenvalues greater than 1.0 and that explained 70.2% of the total variance (Table 6). The table shows that PCA classifies soil heavy metals into three fractions, i.e., three different sources. More specifically, the first principal component (Factor 1) was mainly composed of Pb, Cd, and Zn. The Cu, Ni, and Cr were classified as the second principal component (Factor 2). The final principal component (Factor 3) contains Hg and As.

3.5. Migration of Heavy Metals from Mining

3.5.1. Lateral Migration Along the River

Although the sources of heavy metals in the soil of the Nanhe Basin include mining, geogenic sources, and anthropogenic input, only mining input leads to excessive heavy metals in agricultural soils. Figure 6 illustrates a gradual decline in heavy metal levels along both sides of the main channel of the Nanhe River. A significant decrease in topsoil Pb concentrations was observed between 950 m and 1050 m from the riverbank. Beyond 1350 m, Pb concentrations stabilize, averaging 59 ± 39 mg/kg (statistics of 24 samples, Figure 5). This pattern suggests that the river-related lateral migration of Pb in the soil becomes negligible beyond 1350 m from the river channel. Similar decline trends were observed for Cd and Zn, although their lateral migration showed less variability. Notably, the Cd concentrations remained at elevated levels beyond 1350 m, partially surpassing the standard screening threshold (~0.3 mg/kg, pH ≤ 6.5). The Zn contents, alternatively, remained below the screening value of 200 mg/kg (pH < 6.5) for the soil standard. Therefore, the influence of Maoniuping REE mining on Pb, Cd, and Zn in the Nanhe Basin extends approximately 1.35 km from the main river channel.
The lateral migration of other heavy metals varies. For instance, Cu concentrations remained relatively stable between 50 and 1050 m from the river (Figure 6D). Beyond this range, Cu concentrations increased, suggesting that while the Nanhe River may not contribute to Cu enrichment, it could facilitate its migration. Consequently, the influence of Maoniuping REE mining on the Nanhe Basin is more pronounced at ~1.35 km from the main channel.

3.5.2. Longitudinal Migration of Heavy Metals

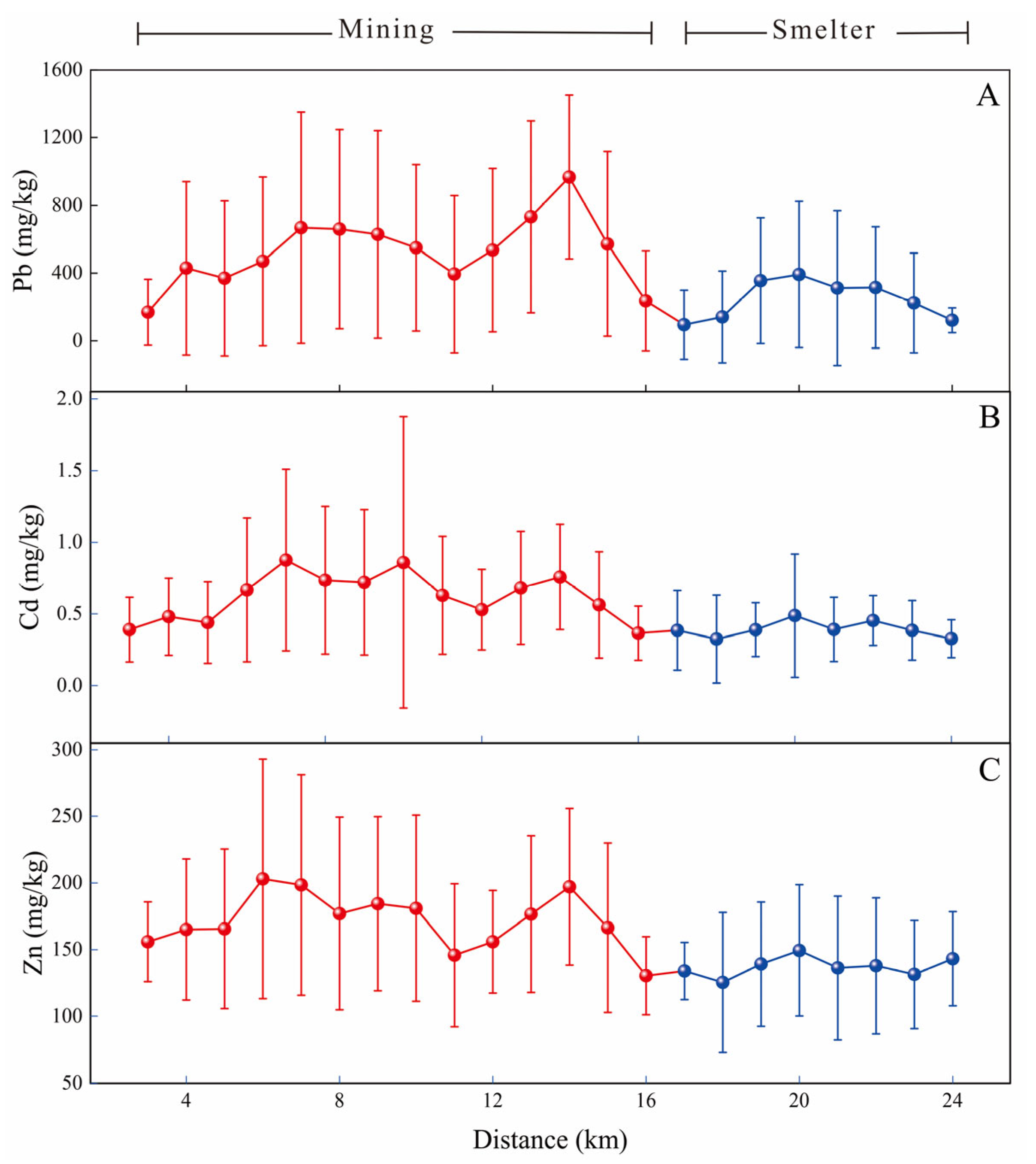
We hypothesize that the impact of the Maoniuping REE mining extended up to ~16 km into the Nanhe Basin. Figure 7 demonstrates similar spatial variation patterns for Pb, Cd, and Zn along the Nanhe River. The concentrations of these metals initially increased between 3 and 7 km along the main channel, then decreased. A secondary increase was observed between 12 and 15 km, followed by a rapid decline and stabilization beyond 16 km. This fluctuation is likely due to a tributary on the left bank connected to the Maoniuping REE mine (Figure 1).
An upward trend in heavy metal concentrations was observed at distances of 18~20 km along the Nanhe River main channel, potentially linked to the REE smelter located on the left bank in this region (Table 2, Figure 8). The evidence is as follows:
(1) The left bank of the Nanhe River, near the REE smelter, exhibits elevated heavy metal levels in the topsoil, especially concerning Pb concentrations. REE smelting, an energy-intensive process, involves complex chemical reactions, wastewater, and incineration gas release, which contain high levels of heavy metals [63].
(2) The Maoniuping REE mining utilizes fluorocarbon cerium mineral, employing an oxidation roasting–sulfuric acid leaching process [64]. While a significant portion of heavy metals, like Pb, are recovered and recycled into smelter slag during chemical processing [65], many residues are released into the environment via wastewater and gas, posing a significant environmental risk [66].
(3) The Pb, Cd, and Zn concentrations are elevated in the southern part of the smelter, likely due to the influence of prevailing north- and northeast-oriented winds in the basin [67]. In the southwest direction, these metals exhibit increasing concentrations with distance.

4. Discussion

4.1. Heavy Metal Pollution and Sources

The results of our study show that agricultural soils in the studied area contain high levels of heavy metals and some degree of contamination compared to soil quality standards. The variation in heavy metals in the vertical direction of the soil also indicates their high accumulation in the surface soil. The content of heavy metals was characterized similarly to the study of heavy metals in soils downstream of Pb and Zn mines by Lu et al. [68]. Therefore, this result prompts us to consider some sources of unnatural factors. The high variability of the heavy metal content also indicates that the heavy metals have been influenced by activities related to anthropogenic activities [69].
The geostatistical results show a more significant variability in the spatial distribution of soil heavy metals in the studied area, and at the same time this provides us with the direction to look for anthropogenic sources [70]. The spatial distribution of heavy metals revealed a distinct aggregation pattern near the riverbank, indicating a strong association of Pb, Cd, and Zn with the river, suggesting they share similar sources. Additionally, Hg exhibited significant enrichment in residential and urban areas, reflecting its strong influence by anthropogenic activities. Correlation analysis further supported these findings, showing positive relationships among the heavy metals. Notably, the high correlation coefficients between Pb, Cd, and Zn confirmed that these metals likely originate from common sources.
The results of PCA with the type of correlation analysis indicated the possible sources of the three heavy metals. Specifically, Factor 1 accounted for 30.8% of the total variance, with the main loadings being Pb (0.83), Cd (0.83), and Zn (0.93). The spatial distribution of high concentrations of these metals in the vicinity of the Nanhe River (Figure 2) suggests that the river has a strong influence on the enrichment of these metals. In addition, studies have shown that Maoniuping REE mining has a significant impact on the downstream river [4]. Mining activities are an important source of accumulation of Pb, Cd, and Zn [71,72]. Therefore, Factor 1 is mainly attributed to the sources related to the mining activities of the Maoniuping REE mine (Table 6).
In the PCA model, Factor 2 accounted for 23.7% of the total variance, exhibiting strong loadings for Cu (0.74), Ni (0.84), and Cr (0.78). Notably, these elements (Cu, Ni, and Cr) demonstrated significantly lower coefficient of variation (CV) values compared to other heavy metals in the study area (Table 3). The study revealed that the presence of Cu, Cr, and Ni is predominantly attributed to lithogenic sources, originating from the weathering of parent rocks [73]. Therefore, Factor 2 can be considered as a geogenic source.
Factor 3 accounted for 15.7% of the total variance, demonstrating significant factor loadings for Hg (0.65) and As (0.80). The elevated coefficient of variation (CV) values for Hg and As in the Nanhe Basin suggest substantial anthropogenic influences. Spatial analysis revealed that Hg and As are significantly enriched in suburban areas and regions with high population density, where elevated levels of vehicle emissions and coal combustion are prevalent (Figure 2). Furthermore, studies have confirmed that atmospheric dust deposition serves as a significant contributor to the accumulation of Hg and As in agricultural soils [74,75]. Therefore, Factor 3 is determined to represent anthropogenic input.

4.2. Factors Affecting Heavy Metal Migration

4.2.1. pH

Figure 5 illustrates that the rpH-heavy metal is below 0.3, suggesting a weak or negligible correlation between pH and heavy metals. That is, pH exerts a limited effect on the mobility and enrichment of heavy metals in the Nanhe Basin. Similar results were reported by Eisa et al. [76].

4.2.2. Distance to River

In Section 3.4, the river runoff is identified as a key factor in the long-distance transport of heavy metals, particularly Pb, Cd, and Zn. Specifically, the Pb shows a negative correlation with the distance from rivers, with rPb-Distance to river of –0.54 (p < 0.01, Figure 5), indicating that rivers have a significant impact on soil Pb. The Cd and Zn also exhibit a negative correlation (rCd-Distance to river = –0.17, rZn-Distance to river = –0.24), but a lower |r| indicates a smaller relationship between the metals and river distance. In Figure 5, although Cd and Zn decrease with increasing river distance, the magnitude of this decrease is not statistically significant. Conversely, a moderate positive correlation between Ni (rNi-Distance to river = 0.39, p < 0.01), Hg (rHg-Distance to river = 0.30, p < 0.01), and As (rAg-Distance to river = 0.32, p < 0.01), shows the river’s influence on Ni, Hg, and As migration. Therefore, differential migration patterns are observed on the lateral sides of the Nanhe River. Pb, Cd, and Zn are transported to both banks of the river, while Ni, Hg, and As exhibit a tendency to migrate towards the river channel. This is consistent with the findings of Liu et al. [77]. Their study demonstrated that the use of contaminated water for irrigation results in abnormal enrichment of heavy metals in the near-shore soils along the riverbank. Additionally, the level of heavy metal contamination exhibits a gradual decline as the distance from the river increases. This observation further corroborates that the pollution of Pb, Cd, and Zn is predominantly derived from mining activities.

4.2.3. Impact of Geographical Attributes

Topographic heterogeneity plays a significant role in the transport, transformation, and deposition of heavy metals in soil [78,79]. Studies have implicated gasoline additives and automobile exhaust as the causes of Pb release [18]. In the Nanhe Basin, the weak correlation between Pb and road network density (rPb-road = 0.21) indicates that automobile exhaust emissions exert a low contribution to soil Pb accumulation (Figure 5). Alternatively, the geographic slope (rPb-slope = −0.36, p < 0.01) and slope direction (rPb-slope direction = −0.24, p < 0.01) were negatively correlated with Pb levels and exhibited minimal correlation with Cd and Zn (rCd-slope = −0.07, rCd-slope direction = −0.14, p < 0.01) and (rZn-slope = 0.01, rZn-slope direction = −0.11, p < 0.01), respectively. These correlations suggest that slope gradient and aspect may inhibit the migration and enrichment of Pb within the Nanhe Basin. Nevertheless, their impact on Cd and Zn seems to be less pronounced. The reason can be attributed to the fact that the Nanhe River and its banks are mainly low-lying and flat areas in the main river valley, and Pb migration is greatly influenced by the river, with the enrichment areas mainly concentrated near the coast. Cd and Zn exhibit different behavior, potentially due to their distinct properties (see Section 4.2.4).
The terrain attributes exhibit a certain positive impact on Ni, Hg, and As, with moderate positive correlations with Ni (rNi-elevation = 0.35, rNi-slope = 0.40, p < 0.01), Hg (rHg-elevation = 0.24, rHg-slope = 0.33, p < 0.01), and As (rAs-elevation = 0.54, rAs-slope = 0.42, p < 0.01). The studied area has a steep terrain with high altitudes, low mining and human impact, and the increased slope easily forms the exposure and accumulation of geogenic heavy metals [80].

4.2.4. Differences in Heavy Metal Migration Capabilities

Figure 9 shows the spatial variation in the correlation between Pb, Cd, and Zn through βk. As a result, Cd and Zn showed both local positive and negative correlations in geographic space, with more positive correlation between Cd and Zn in the river channel. Cd and Zn have similar ionic radii and electronegativity, which enable them to exhibit comparable geochemical behavior and migration in environmental systems, eventually affecting their mobility and reactivity [81,82]. Thus, they exhibited the same enrichment performance in the region.
The βk of Pb with Cd and Zn near the riverbank are larger, indicating the precipitate of Pb is more pronounced. The migration and transformation of elements are usually influenced by environmental physics, chemistry, and biology [83], and its intrinsic hydrolysis equilibrium constant (Kh), ion radius, atomic weight, and Misono’s softness scale [84]. In comparison to Cd and Zn, Pb displays a larger hydrolysis equilibrium constant (Pkh values of Pb, Cd, and Zn are 7.8, 10.1, and 9.0, respectively), higher atomic weight, larger ion radius (Pb2+ = 0.119 nm, Cd2+ = 0.095 nm, Zn2+ = 0.074 nm), and relatively higher Misono’s softness scale (Pb2+ = 3.58, Cd2+ = 3.04, Zn2+ = 2.34) [85]. Likewise, the distribution coefficient (Kd) of the element reflects the migration ability between the solid and soil solution [86]. Elements with a larger Kd values exhibit an affinity for soil adsorption, consequently restricting metal mobility within soil solution. Pb consistently demonstrates higher Kd value in soils [87]. These properties contribute to Pb’s greater affinity for adsorption and retention by soil organic components and are easily enriched in the soil environment [88,89].

4.3. Heavy Metals Accumulation

While the total global area dedicated to mining is approximately 66,000 km2 [90], the potential environmental influence of these activities spans a considerably larger area of 50 million km2 [91]. This discrepancy underscores the extensive and often indirect impacts of mining operations. For instance, in the open-cut pit Grasberg gold/copper mine in West New Guinea, forest losses larger than 42 times greater than the mine area [92]. Artisanal gold mining in the Peruvian Amazon was identified as the cause of nearly 1000 km2 of deforestation [93]. The footprint of small-scale gold mines is also potentially seven-fold greater than that of industrial mines [90,94].
The topographic characteristics of the valley in which the Maoniuping REE mine is situated presented minimal barriers to the dispersion of mine wastes [95]. As mentioned for Pb, which exhibits the most extensive distribution due to fluvial transport, it served as an indicator of contamination extent (Figure 4). Specifically, Igeo-Pb value exceeding Class III (surpassing clean arable soil standards) was employed to delineate the area of mining’s influence. Spatial partitioning calculations indicate that a minimum of 38.1 km2 of land (Igeo-Pb ≥ Class III) is likely relevant to the impact of Maoniuping REE mining.
In response to concerns regarding both water scarcity and potential pollution from mining activities within the Nanhe Basin, the local government has implemented a water diversion project sourced from the pristine Daqiao Reservoir (102°11′28″ E, 28°40′35″ N, Figure 1), situated upstream along the Anning River. The construction is currently in progress and is anticipated to be finalized in 2025 [96]. Meanwhile, to facilitate heavy metal pollution, local communities have implemented a proactive strategy by transitioning from paddy/corn to tobacco farming, a crop with lower heavy metal uptake.

5. Conclusions

This study systematically investigated the extent of heavy metal pollution in the study area through the application of the geo-accumulation index and potential ecological risk index. Furthermore, the migration and accumulation sources of heavy metals in the soils of the Nanhe River Basin were comprehensively analyzed using a multidisciplinary approach, including geostatistical analysis, correlation analysis, and principal component analysis. The research yielded the following key conclusions:
(1) According to the Soil Environmental Quality Standard (GB 15618-2018) [51], there are different degrees of heavy metal pollution in the surface soil of the Nanhe River Basin, of which Cd (62.5%) and Pb (53.2%) are the most seriously polluted, with more than 50% of the samples exceeding the standard. Heavy metal contents showed spatial differences at moderate and above levels. Geospatial mapping indicated a significant accumulation of heavy metals with higher concentration levels in the southwestern sector of the investigated region. The assessment of the geographical accumulation index based on the regional background values showed that Pb, Cd, and Hg were significantly enriched in the soil, with some Pb (2.8%) even reaching extremely polluted levels. Similarly, the evaluation of potential ecological risks indicates that Cd, Pb, and Hg present moderate to severe ecological risks, with Cd demonstrating the highest ecological risk level among them. Moreover, the overall soil in the study area exhibits moderate to severe levels of potential ecological risk.
(2) The elevated levels of heavy metals in the soil of the Nanhe River Basin are primarily attributed to the combined effects of mining activities, geological background, and other anthropogenic sources. Specifically, mining activities are identified as the dominant source of Pb, Cd, and Zn pollution. In contrast, Cu, Ni, and Cr are largely derived from the geological background, while As and Hg are mainly associated with other human activities. Furthermore, the Nanhe River serves as a key pathway for the dispersion of heavy metal pollution originating from mining operations.
(3) Heavy metals have a certain ability to migrate in the Nanhe River Basin, mainly causing serious pollution within ~1.35 km vertically of the Nanhe River. Mining has affected the soil in the downstream area of ~16 km. Mining and smelting activities have seriously affected the soil safety of the surrounding area of nearly 38.1 km2.

Author Contributions

Conceptualization, L.T.; data curation, Y.L.; funding acquisition, F.Y.; investigation, Y.L.; methodology, L.T. and X.L.; project administration, L.T. and F.Y.; resources, Y.L.; supervision, L.T., F.Y. and Y.X.; validation, X.L. and L.X.; visualization, S.H.; Writing—original draft, S.H.; Writing—review and editing, L.T. and F.Y. All authors have read and agreed to the published version of the manuscript.

Funding

This research received no external funding.

Data Availability Statement

The data are not publicly available due to their containing information is classified.

Conflicts of Interest

Yang Li is employed by Sichuan Development Environmental Science and Technology Research Institute Co., Ltd. The authors declare no conflicts of interest.

References

  1. Wang, Z.; Luo, Y.; Zheng, C.; An, C.; Mi, Z. Spatial distribution, source identification, and risk assessment of heavy metals in the soils from a mining region: A case study of Bayan Obo in northwestern China. Hum. Ecol. Risk Assess. 2020, 27, 1276–1295. [Google Scholar] [CrossRef]
  2. Tian, S.; Liang, T.; Li, K.; Wang, L. Source and path identification of metals pollution in a mining area by PMF and rare earth element patterns in road dust. Sci. Total Environ. 2018, 633, 958–966. [Google Scholar] [CrossRef] [PubMed]
  3. Fan, J.; Deng, L.; Wang, W.; Yi, X.; Yang, Z. Contamination, Source Identification, Ecological and Human Health Risks Assessment of Potentially Toxic-Elements in Soils of Typical Rare-Earth Mining Areas. Int. J. Environ. Res. Public Health 2022, 19, 15105. [Google Scholar] [CrossRef]
  4. Shi, Z.; Xu, W. Heavy metal patterns and potential hazards of river sediments in the Maoniuping REE mining area. Acta Mineral. Sin. 2013, 33, 707–708. [Google Scholar] [CrossRef]
  5. Weng, Z.; Jowitt, S.; Mudd, G.; Haque, N. Assessing rare earth element mineral deposit types and links to environmental impacts. Appl. Earth Sci. 2013, 122, 83–96. [Google Scholar] [CrossRef]
  6. Yin, X.; Martineau, C.; Demers, I.; Basiliko, N.; Fenton, N.J. The potential environmental risks associated with the development of rare earth element production in Canada. Environ. Rev. 2021, 29, 354–377. [Google Scholar] [CrossRef]
  7. Chen, H.; Chen, Z.; Chen, H. Impacts of Ion Adsorption Type Rare Earth Mining Techniques on Topsoil in Mining Area. Pol. J. Environ. Stud. 2024, 33, 1585–1594. [Google Scholar] [CrossRef]
  8. Zhou, L.; Li, Z.; Liu, W.; Liu, S.; Zhang, L.; Zhong, L.; Luo, X.; Liang, H. Restoration of rare earth mine areas: Organic amendments and phytoremediation. Environ. Sci. Pollut. Res. 2015, 22, 17151–17160. [Google Scholar] [CrossRef]
  9. Yang, M.; Ma, D.; Chen, Y. An Approach about Water-stone Flow Hazards Occurred in July 18th, 2013 in Maoniuping Rare Earth Mining Area in Mianning, Sichuan. Mt. Res. 2014, 32, 732–738. [Google Scholar]
  10. Yang, X.; Huang, J.; Tian, L.; Liu, Z.; Han, L. A discussion on comprehensive governance of mine environment based on high resolution remote sensing data: A case of Maoniuping REE deposit, Mianning County. Remote Sens. Land Resour. 2015, 27, 115–121. [Google Scholar]
  11. Han, X.; Xiong, Z.; Wang, S.; Wang, L.; Liang, T. Long-term open-pit mining activities at the world’s largest light rare earth mine significantly affect light rare earth elements in road dust over long distances. J. Hazard. Mater. 2024, 480, 136287. [Google Scholar] [CrossRef] [PubMed]
  12. Li, Z.; Liang, T.; Li, K.; Wang, P. Exposure of children to light rare earth elements through ingestion of various size fractions of road dust in REEs mining areas. Sci. Total Environ. 2020, 743, 140432. [Google Scholar] [CrossRef]
  13. Zhang, p.; Xie, H.; Cao, G.; Ji, Y.; Liu, Y.; Sun, R.; Feng, Y. Current status of research on soil and groundwater contamination by ammonium sulfate leaching of ionic rare earth ores. Min. Metall. 2021, 30, 95–101+110. [Google Scholar]
  14. Zhang, Q.; Ren, F.; Li, F.; Chen, G.; Yang, G.; Wang, J.; Du, K.; Liu, S.; Li, Z. Ammonia nitrogen sources and pollution along soil profiles in an in-situ leaching rare earth ore. Environ. Pollut. 2020, 267, 115449. [Google Scholar] [CrossRef]
  15. Liu, W.; Wu, L.-L.; Zheng, M.; Chao, Y.; Zhao, C.; Zhong, X.; Ding, K.; Huot, H.; Zhang, M.; Tang, Y.-T.; et al. Controls on rare-earth element transport in a river impacted by ion-adsorption rare-earth mining. Sci. Total Environ. 2019, 660, 697–704. [Google Scholar] [CrossRef]
  16. He, X.; Yuan, T.; Jiang, X.; Yang, H.; Zheng, C.L. Effects of contaminated surfacewater and groundwater from a rare earth mining area on the biology and the physiology of Sprague-Dawley rats. Sci. Total Environ. 2021, 761, 144123. [Google Scholar] [CrossRef]
  17. Liu, W.-S.; Guo, M.-N.; Liu, C.; Yuan, M.; Chen, X.-T.; Huot, H.; Zhao, C.-M.; Tang, Y.-T.; Morel, J.L.; Qiu, R.-L. Water, sediment and agricultural soil contamination from an ion-adsorption rare earth mining area. Chemosphere 2019, 216, 75–83. [Google Scholar] [CrossRef]
  18. Krasavtseva, E.; Sandimirov, S.; Elizarova, I.; Makarov, D. Assessment of Trace and Rare Earth Elements Pollution in Water Bodies in the Area of Rare Metal Enterprise Influence: A Case Study-Kola Subarctic. Water 2022, 14, 3406. [Google Scholar] [CrossRef]
  19. Chen, H.; Chen, H.; Chen, Z. Risk Characteristics of Rare Earth Elements in Surface Soil of Paddy Field Downstream of Ionic Rare Earth in-situ Leaching Area. Pol. J. Environ. Stud. 2024, 33, 89–99. [Google Scholar] [CrossRef]
  20. Ali, S.H. Social and Environmental Impact of the Rare Earth Industries. Resources 2014, 3, 123–134. [Google Scholar] [CrossRef]
  21. Xu, Y.; Li, Y.; Chen, H. Determination of the Content of Heavy Metal Elements Pb, Cr and Cu in Soil from Abandoned Rare Earth Mine in Dingnan County. Guangdong Trace Elem. Sci. 2012, 19, 10–14. [Google Scholar] [CrossRef]
  22. Li, X.; Chen, Z.; Chen, Z.; Zhang, Y.; Wang, Q.; HUang, M. Concentrations and Health Risk Assessment of Heavy Metals in Soil and Vegetables from REEs Mining Area, Fujian Province. J. Soil Water Conserv. 2013, 27, 146–151. [Google Scholar] [CrossRef]
  23. Yuan, P.; Wang, L.; He, P.; Wang, Y. Distribution and Risk Assessment of Heavy Metals in Soil and Surface Water of an Ion-Absorbed Rare Earth Mine in Northern Guangdong. Environ. Monit. China 2023, 39, 146–158. [Google Scholar]
  24. Chen, H.; Chen, Z.; Chen, Z.; Ma, Q.; Zhang, Q. Rare earth elements in paddy fields from eroded granite hilly land in a southern China watershed. PLoS ONE 2019, 14, e0222330. [Google Scholar] [CrossRef]
  25. Hao, X.; Wang, D.; Wang, P.; Wang, Y.; Zhou, D. Evaluation of water quality in surface water and shallow groundwater: A case study of a rare earth mining area in southern Jiangxi Province, China. Environ. Monit. Assess. 2016, 188, 24. [Google Scholar] [CrossRef]
  26. He, H.; Shan, H.; Mo, D.; Liu, Y.; Peng, S.; Cheng, Y.; Chen, M.; Yan, Z. Simulation Study on the Environmental Impact of Rare Earth Ore Development on Groundwater in Hilly Areas: A Case Study in Nuodong, China. Water 2023, 15, 263. [Google Scholar] [CrossRef]
  27. Gao, P.; Qu, X.; Chen, Z. There is a significant increase in total nitrogen content in the surface soil and water around the mining area, posing ecological risks. Chin. Rare Earths 2022, 43, 19–27. [Google Scholar] [CrossRef]
  28. Xie, L.; Wu, W.; Huang, X.; Ou, P.; Lin, Z.; Wang, Z.; Song, Y.; Lang, T.; Huangfu, W.; Zhang, Y.; et al. Mining and Restoration Monitoring of Rare Earth Element (REE) Exploitation by New Remote Sensing Indicators in Southern Jiangxi, China. Remote Sens. 2020, 12, 3558. [Google Scholar] [CrossRef]
  29. Wang, D.H.; Yang, J.M.; Yan, S.H.; Xu, J.; Chen, Y.C.; Pu, G.P.; Luo, Y.N. A special orogenic-type rare earth element deposit in Maoniuping, Sichuan, China: Geology and geochemistry. Resour. Geol. 2001, 51, 177–188. [Google Scholar] [CrossRef]
  30. Ma, Y.; He, H.; Li, L.; Luo, S. Ecological environment status of Maoniuping rare earth mining area and suggestions on management. Sichuan Environ. 2012, 31, 71–75. [Google Scholar] [CrossRef]
  31. Liu, Y.; Chakhmouradian, A.R.; Hou, Z.; Song, W.; Kynicky, J. Development of REE mineralization in the giant Maoniuping deposit (Sichuan, China): Insights from mineralogy, fluid inclusions, and trace-element geochemistry. Miner. Depos. 2019, 54, 701–718. [Google Scholar] [CrossRef]
  32. Zhang, W.; Chen, W.T.; Zhang, X.C.; Tang, Y.-W. The trace element chemistry of quartz in carbonatite-related REE deposits: Implication for REE exploration. Ore Geol. Rev. 2022, 149, 105068. [Google Scholar] [CrossRef]
  33. Sun, M.; Luo, Q.; Zhang, B. Rare earth mineralization laws and resource evaluation in Sichuan Province. Sci. Press 2017, 2. [Google Scholar]
  34. Zhao, L. Maoniuping: The mine is dressed in green again. Sichuan Daily, 2019. [Google Scholar]
  35. Pengpai News. Sichuan’s Largest Light Rare Earth Resource Base Achieved Significant Breakthroughs in Increasing Reserves and Production, and was Integrated into China REEs Group Last Year; Pengpai News: Shanghai, China, 2024. [Google Scholar]
  36. Xu, W. Recent Deposition Environmental Quality Evolution of the Anning River in Western Sichuan Province. Ph.D. Thesis, Chengdu University of Technology, Chengdu, China, 2015. [Google Scholar]
  37. Liao, C.; SHI, Z.; Wang, W.; Zhang, F.; Xu, W.; Tang, L. Water chemical characteristics and the subtance provenance in Anning River Basin of Sichuan Province. Earth Environ. 2020, 48, 680–688. [Google Scholar] [CrossRef]
  38. Yang, Z.; Jones, A.E.; Pu, G. Gelogical features of Maoniuping ree deposit, Sichuan, China. Miner. Rock 2000, 28–34. [Google Scholar] [CrossRef]
  39. DZT 0295-2016; Specification of Land Quality Geochemical Assessment. Ministry of Land Resources: Beijing, China, 2016.
  40. HJ/T 166-2004; Technical Specification for Soil Environmental Monitoring. China Environmental Monitoring Station: Beijing, China, 2004.
  41. NY/T 1377-2007; Determination of pH in Soil. Ministry of Agriculture: Beijing, China, 2007.
  42. GB/T 17141-1997; Soil Quality-Determination of Lead, Cadminum-Graphite Furnace Atomic Absorption Spectrophotometry. State Environmental Protection Administration: Beijing, China, 1997.
  43. HJ 491-2019; Soil and Sediment-Determination of Copper, Zinc, Lead, Nickel and Chromium-Flame Atomic Absorption Spectrophotometry. Ministry of Ecology and Environment: Beijing, China, 2019.
  44. HJ 680-2013; Soil and Sedimen-Determination of Mercury, Arsenic, Selenium, Bismuth, Antimony-Microwave Dissolution/Atomic Fluorescence Spectrometry. Ministry of Environmental Protection: Beijing, China, 2013.
  45. GB 15618; Soil Environmental Quality Soil Pollution Risk Control Standards for Agricultural Land. Ministry of Ecology and Environment: Beijing, China, 2018.
  46. Farr, T.G.; Rosen, P.A.; Caro, E.; Crippen, R.; Duren, R.; Hensley, S.; Kobrick, M.; Paller, M.; Rodriguez, E.; Roth, L.; et al. The shuttle radar topography mission. Rev. Geophys. 2007, 45. [Google Scholar] [CrossRef]
  47. Hennig, T.A.; Kretsch, J.L.; Pessagno, C.J.; Salamonowicz, P.H.; Stein, W.L. The shuttle radar topography mission. In Proceedings of the Digital Earth Moving: First International Symposium, DEM 2001, Manno, Switzerland, 5–7 September 2001; pp. 65–77. [Google Scholar]
  48. Huo, X.-N.; Li, H.; Sun, D.-F.; Zhou, L.-D.; Li, B.-G. Combining Geostatistics with Moran’s I Analysis for Mapping Soil Heavy Metals in Beijing, China. Int. J. Environ. Res. Public Health 2012, 9, 995–1017. [Google Scholar] [CrossRef]
  49. Muller, G. Index of Geoaccumulation in Sediments of the Rhine River. GeoJournal 1969, 2, 109–118. [Google Scholar]
  50. Wei, B.; Yang, L. A review of heavy metal contaminations in urban soils, urban road dusts and agricultural soils from China. Microchem. J. 2010, 94, 99–107. [Google Scholar] [CrossRef]
  51. GB 15618-2018; Soil Environmental Quality—Risk Control Standard for Soil Contamination of Agricultural Land. Ministry of Ecology: Beijing, China, 2018.
  52. Zhang, C.P.; Li, F.X. Spatial distribution and potential ecological risk assessment of heavy metals in sediments of Yalu River estuary wetland mudflat. Chin. J. Appl. Ecol. 2016, 27, 2884–2890. [Google Scholar] [CrossRef]
  53. Zhang, J.; Xu, X. Spatial Distribution Characteristics and Potential Risk Assessment of Heavy Metals in Sludge of Shanghai Sewage Treatment Plant: A Case Study. Sustainability 2023, 15, 3465. [Google Scholar] [CrossRef]
  54. Wu, Y.-G.; Xu, Y.-N.; Zhang, J.-H.; Hu, S.-H. Evaluation of ecological risk and primary empirical research on heavy metals in polluted soil over Xiaoqinling gold mining region, Shaanxi, China. Trans. Nonferrous Met. Soc. China 2010, 20, 688–694. [Google Scholar] [CrossRef]
  55. Hakanson, L. An ecological risk index for aquatic pollution control. A sedimentological approach. Water Res. 1980, 14, 975–1001. [Google Scholar] [CrossRef]
  56. Saha, A.; Gupta, B.S.; Patidar, S.; Martinez-Villegas, N. Spatial distribution based on optimal interpolation techniques and assessment of contamination risk for toxic metals in the surface soil. J. South Am. Earth Sci. 2022, 115, 103763. [Google Scholar] [CrossRef]
  57. Gao, H.-R.; Zhou, Y.; Liu, J.-K.; Cheng, X.-M.; Guo, S.; Jiang, Y.; Tan, H.-X. Spatial and Temporal Distribution and Source Variation of Heavy Metals in Cultivated Land Soil of Xiangzhou District Based on EBK Interpolation Prediction and GDM Model. Environ. Sci. 2022, 43, 5180–5191. [Google Scholar] [CrossRef]
  58. Zhuang, S.; Lu, X. Determining environmental risk and source of heavy metal(loid)s in the surrounding farmland soil of a zinc smelter in water source area, Northwest China. Environ. Earth Sci. 2022, 81, 67. [Google Scholar] [CrossRef]
  59. Schober, P.; Boer, C.; Schwarte, L.A. Correlation Coefficients: Appropriate Use and Interpretation. Anesth. Analg. 2018, 126, 1763–1768. [Google Scholar] [CrossRef]
  60. Li, X.; Yang, H.; Zhang, C.; Zeng, G.; Liu, Y.; Xu, W.; Wu, Y.; Lan, S. Spatial distribution and transport characteristics of heavy metals around an antimony mine area in central China. Chemosphere 2017, 170, 17–24. [Google Scholar] [CrossRef]
  61. Shan, Y.; Tysklind, M.; Hao, F.; Ouyang, W.; Chen, S.; Lin, C. Identification of sources of heavy metals in agricultural soils using multivariate analysis and GIS. J. Soils Sediments 2013, 13, 720–729. [Google Scholar] [CrossRef]
  62. Wang, X.; Lai, J.; Lu, Y.; Li, D.; Zhou, J.; Wang, J. Main Source of Soil Heavy Metal Pollution Based on Factor Analysis in Taiyuan. Ecol. Environ. Sci. 2008, 17, 671–676. [Google Scholar] [CrossRef]
  63. Nawshad, H.; Anthony, H.; Seng, L.; Chris, V. Rare Earth Elements: Overview of Mining, Mineralogy, Uses, Sustainability and Environmental Impact. Resources 2014, 3, 614–635. [Google Scholar] [CrossRef]
  64. Hu, Y.; Wang, N.; Cao, Z.; Zhang, W. Research progress on rare earth ore metallurgy and separation technology in China. Conserv. Util. Miner. Resour. 2020, 40, 151–161. [Google Scholar] [CrossRef]
  65. Shule, Q.; Xue, B.; Jianguo, C.; Peng, C.; Wenyuan, W. Clean metallurgy and technical progress of light rare earth minerals. Can. Metall. Q. 2024, 63, 538–550. [Google Scholar] [CrossRef]
  66. Shuai, X. Distribution and discharge of lead during extracting and refining of the rare earth ore. Environ. Sci. Surv. 2013, 32, 61–63. [Google Scholar] [CrossRef]
  67. Wu, P. Migration and Transformation of Different Medium Elements in Water System of Mianning Rare Earth Mine. Master’s Thesis, Chengdu University of Technology, Chengdu, China, 2020. [Google Scholar]
  68. Lu, D.; Zhang, C.; Zhou, Z.; Huang, D.; Qin, C.; Nong, Z.; Ling, C.; Zhu, Y.; Chai, X. Pollution characteristics and source identification of farmland soils in Pb-Zn mining areas through an integrated approach. Environ. Geochem. Health 2023, 45, 2533–2547. [Google Scholar] [CrossRef]
  69. Wang, J.; He, Z.; Shi, H.; Liu, A.; Zhao, Y.; Liu, X.; Yan, T.; Li, L.; Dai, X. Sustainability Assessment and Source Apportionment of Soil Heavy Metals in a Mineral Aggregation Area of Datian County, South China. Sustainability 2024, 16, 5553. [Google Scholar] [CrossRef]
  70. Wang, F.; Guan, Q.; Tian, J.; Lin, J.; Yang, Y.; Yang, L.; Pan, N. Contamination characteristics, source apportionment, and health risk assessment of heavy metals in agricultural soil in the Hexi Corridor. Catena 2020, 191, 104573. [Google Scholar] [CrossRef]
  71. Rodriguez, L.; Ruiz, E.; Alonso-Azcarate, J.; Rincon, J. Heavy metal distribution and chemical speciation in tailings and soils around a Pb-Zn mine in Spain. J. Environ. Manag. 2009, 90, 1106–1116. [Google Scholar] [CrossRef]
  72. Wang, D.; Zheng, L.; Ren, M.; Li, C.; Dong, X.; Wei, X.; Zhou, W.; Cui, J. Zinc in soil reflecting the intensive coal mining activities: Evidence from stable zinc isotopes analysis. Ecotoxicol. Environ. Saf. 2022, 239, 113669. [Google Scholar] [CrossRef]
  73. Hu, W.; Wang, H.; Dong, L.; Huang, B.; Borggaard, O.K.; Hansen, H.C.B.; He, Y.; Holm, P.E. Source identification of heavy metals in peri-urban agricultural soils of southeast China: An integrated approach. Environ. Pollut. 2018, 237, 650–661. [Google Scholar] [CrossRef] [PubMed]
  74. Huang, S.S.; Liao, Q.L.; Hua, M.; Wu, X.M.; Bi, K.S.; Yan, C.Y.; Chen, B.; Zhang, X.Y. Survey of heavy metal pollution and assessment of agricultural soil in Yangzhong district, Jiangsu Province, China. Chemosphere 2007, 67, 2148–2155. [Google Scholar] [CrossRef]
  75. Xie, W.; Peng, C.; Wang, H.; Chen, W. Bioaccessibility and source identification of heavy metals in agricultural soils contaminated by mining activities. Environ. Earth Sci. 2018, 77, 606. [Google Scholar] [CrossRef]
  76. Solgi, E.; Solgi, M.; Rodriguez Martin, J.A. Spatial variability of heavy metal concentrations in vineyard soils on Malayer Plains (Iran). Environ. Forensics 2016, 17, 87–96. [Google Scholar] [CrossRef]
  77. Liu, W.H.; Zhao, J.Z.; Ouyang, Z.Y.; Söderlund, L.; Liu, G.H. Impacts of sewage irrigation on heavy metal distribution and contamination in Beijing, China. Environ. Int. 2005, 31, 805–812. [Google Scholar] [CrossRef]
  78. Ding, Q.; Cheng, G.; Wang, Y.; Zhuang, D. Effects of natural factors on the spatial distribution of heavy metals in soils surrounding mining regions. Sci. Total Environ. 2017, 578, 577–585. [Google Scholar] [CrossRef]
  79. Xu, Y.; Bi, R.; Li, Y. Effects of anthropogenic and natural environmental factors on the spatial distribution of trace elements in agricultural soils. Ecotoxicol. Environ. Saf. 2023, 249, 114436. [Google Scholar] [CrossRef] [PubMed]
  80. Liu, S.; Wang, D.; Shi, Z.; Tang, L.; Zhang, F.; Liao, C.; Li, X.; Xu, W. Geochemical Characteristics and Source Apportionment of Soil Elements in an Urban-rural Integration Area: A Case Study in the Qinglong Area of Tianfu New District. Environ. Sci. 2022, 43, 1535–1545. [Google Scholar] [CrossRef]
  81. Thornton, I. Geochemistry of cadmium. In Cadmium in the Environment; Birkhäuser: Basel, Switzerland, 1986; Volume 50. [Google Scholar]
  82. Liu, Y.; Xiao, T.; Zhu, Z.; Ma, L.; Li, H.; Ning, Z. Geogenic pollution, fractionation and potential risks of Cd and Zn in soils from a mountainous region underlain by black shale. Sci. Total Environ. 2021, 760, 143426. [Google Scholar] [CrossRef]
  83. Guo, Z.; Wang, Y. Research advances on the distribution, migration and transformation of cadmium in the environment. Adv. Environ. Prot. 2019, 3, 365–370. [Google Scholar] [CrossRef]
  84. Gomes, P.C.; Fontes, M.P.F.; da Silva, A.G.; Mendonça, E.D.; Netto, A.R. Selectivity sequence and competitive adsorption of heavy metals by Brazilian soils. Soil Sci. Soc. Am. J. 2001, 65, 1115–1121. [Google Scholar] [CrossRef]
  85. Misono, M.; Ochiai, E.i.; Saito, Y.; Yoneda, Y. A new dual parameter scale for the strength of Lewis acids and bases with the evaluation of their softness. J. Inorg. Nucl. Chem. 1967, 29, 2685–2691. [Google Scholar] [CrossRef]
  86. Anderson, P. Distribution coefficients of Cd, Co, Ni, and Zn in soils. Eur. J. Soil Sci. 1988, 39, 15–22. [Google Scholar] [CrossRef]
  87. Usman, A.R.A. The relative adsorption selectivities of Pb, Cu, Zn, Cd and Ni by soils developed on shale in New Valley, Egypt. Geoderma 2008, 144, 334–343. [Google Scholar] [CrossRef]
  88. Shaheen, S.M. Sorption and lability of cadmium and lead in different soils from Egypt and Greece. Geoderma 2009, 153, 61–68. [Google Scholar] [CrossRef]
  89. Shaheen, S.M.; Tsadilas, C.D.; Rinklebe, J. A review of the distribution coefficients of trace elements in soils: Influence of sorption system, element characteristics, and soil colloidal properties. Adv. Colloid Interface Sci. 2013, 201, 43–56. [Google Scholar] [CrossRef]
  90. Tang, L.; Werner, T.T. Global mining footprint mapped from high-resolution satellite imagery. Commun. Earth Environ. 2023, 4, 134. [Google Scholar] [CrossRef]
  91. Sonter, L.J.; Dade, M.C.; Watson, J.E.M.; Valenta, R.K. Renewable energy production will exacerbate mining threats to biodiversity. Nat. Commun. 2020, 11, 4174. [Google Scholar] [CrossRef]
  92. Alonzo, M.; Van Den Hoek, J.; Ahmed, N. Capturing coupled riparian and coastal disturbance from industrial mining using cloud-resilient satellite time series analysis. Sci. Rep. 2016, 6, 35129. [Google Scholar] [CrossRef]
  93. Caballero Espejo, J.; Messinger, M.; Román-Dañobeytia, F.; Ascorra, C.; Fernandez, L.E.; Silman, M. Deforestation and Forest Degradation Due to Gold Mining in the Peruvian Amazon: A 34-Year Perspective. Remote Sens. 2018, 10, 1903. [Google Scholar] [CrossRef]
  94. Barenblitt, A.; Payton, A.; Lagomasino, D.; Fatoyinbo, L.; Asare, K.; Aidoo, K.; Pigott, H.; Som, C.K.; Smeets, L.; Seidu, O. The large footprint of small-scale artisanal gold mining in Ghana. Sci. Total Environ. 2021, 781, 146644. [Google Scholar] [CrossRef] [PubMed]
  95. Tang, L.; Tim, T.W.; Xie, H.; Yang, J.; Shi, Z. A global-scale spatial assessment and geodatabase of mine areas. Glob. Planet. Change 2021, 204, 103578. [Google Scholar] [CrossRef]
  96. Shao, M. It took 1127 days for the Taihe Tunnel of Dabiao Reservoir Irrigation District Phase II Project to pass through. Sichuan Daily, 4 March 2024. [Google Scholar]
Figure 1. Regional maps of the Maoniuping REE deposit and the Nanhe Basin. (A) Location of the study area. (B) Regional geological background of the study area (Qh and Qp, Quaternary Holocene and Pleistocene, respectively; D21, Lower Devonian; T3-J1bg, Upper Triassic-Lower Jurassic Baigowan Group; γ51, Yanshanian fine-grained granite; δ51, Yanshanian fine-grained diorite; γK51, Yanshanian potassium diorite; Pβ, Permian basalt; βμ, Diabase). (C) Area elevations, sampling points and vertical soil profiles (a, b, c, and d; green triangles). (D) Distribution of mining areas, tailings ponds, rivers, and roads.
Figure 1. Regional maps of the Maoniuping REE deposit and the Nanhe Basin. (A) Location of the study area. (B) Regional geological background of the study area (Qh and Qp, Quaternary Holocene and Pleistocene, respectively; D21, Lower Devonian; T3-J1bg, Upper Triassic-Lower Jurassic Baigowan Group; γ51, Yanshanian fine-grained granite; δ51, Yanshanian fine-grained diorite; γK51, Yanshanian potassium diorite; Pβ, Permian basalt; βμ, Diabase). (C) Area elevations, sampling points and vertical soil profiles (a, b, c, and d; green triangles). (D) Distribution of mining areas, tailings ponds, rivers, and roads.
Land 14 00611 g001
Figure 2. Spatial distributions of heavy metals in the Nanhe Basin. ((A) Pb, (B) Cd, (C) Zn, (D) Cu, (E) Ni, (F) Cr, (G) Hg, and (H) As; Blue line, Rivers).
Figure 2. Spatial distributions of heavy metals in the Nanhe Basin. ((A) Pb, (B) Cd, (C) Zn, (D) Cu, (E) Ni, (F) Cr, (G) Hg, and (H) As; Blue line, Rivers).
Land 14 00611 g002
Figure 3. Vertical soil variation in heavy metals in the soil of Nanhe Basin.
Figure 3. Vertical soil variation in heavy metals in the soil of Nanhe Basin.
Land 14 00611 g003
Figure 4. Geo-accumulation index (Igeo, see Equation (4) for details) of the distribution of heavy metals ((A)Pb, (B) Cd, (C) Zn, (D) Cu, (E) Ni, (F) Cr, (G) Hg and (H) As; Blue line, Rivers) in the Nanhe Basin.
Figure 4. Geo-accumulation index (Igeo, see Equation (4) for details) of the distribution of heavy metals ((A)Pb, (B) Cd, (C) Zn, (D) Cu, (E) Ni, (F) Cr, (G) Hg and (H) As; Blue line, Rivers) in the Nanhe Basin.
Land 14 00611 g004
Figure 5. Correlation between the topsoil’s heavy metals and geographic attributes in the Nanhe Basin.
Figure 5. Correlation between the topsoil’s heavy metals and geographic attributes in the Nanhe Basin.
Land 14 00611 g005
Figure 6. Error bar chart of heavy metals in the lateral migration of the Nanhe River ((A) Pb, (B) Cd, (C) Zn, (D) Cu). A 50 m interval buffer distance (perpendicular distance to river). The nodes are the statistics of the samples within the buffer area (a new area formed when the channel of the Nanhe River is extended outwards for a certain distance). The error bar represents the CVs, and the solid circles represent the average contents.
Figure 6. Error bar chart of heavy metals in the lateral migration of the Nanhe River ((A) Pb, (B) Cd, (C) Zn, (D) Cu). A 50 m interval buffer distance (perpendicular distance to river). The nodes are the statistics of the samples within the buffer area (a new area formed when the channel of the Nanhe River is extended outwards for a certain distance). The error bar represents the CVs, and the solid circles represent the average contents.
Land 14 00611 g006
Figure 7. Effect of migration distance from the mining area on heavy metals along the Nanhe River channel ((A) Pb, (B) Cd, (C) Zn). Statistics of nodes are the samples within the buffer area (a new area based on the mining area as a baseline that extends outward a certain distance). Error bar represents the CVs, and solid circles represent the average contents.
Figure 7. Effect of migration distance from the mining area on heavy metals along the Nanhe River channel ((A) Pb, (B) Cd, (C) Zn). Statistics of nodes are the samples within the buffer area (a new area based on the mining area as a baseline that extends outward a certain distance). Error bar represents the CVs, and solid circles represent the average contents.
Land 14 00611 g007
Figure 8. Impact of REE smelter on topsoil heavy metal concentrations downstream in the Nanhe River (dotted line indicates the distance to the smelter: 1~3 km; Blue line, Rivers).
Figure 8. Impact of REE smelter on topsoil heavy metal concentrations downstream in the Nanhe River (dotted line indicates the distance to the smelter: 1~3 km; Blue line, Rivers).
Land 14 00611 g008
Figure 9. Spatial coefficients (βk) of heavy metals through a geographically weighted regression model (see Equation (3) for details; (A) Cd-Zn, (B) Pb-Zn, (C) Pb-Zn; Blue line, Rivers and Drains).
Figure 9. Spatial coefficients (βk) of heavy metals through a geographically weighted regression model (see Equation (3) for details; (A) Cd-Zn, (B) Pb-Zn, (C) Pb-Zn; Blue line, Rivers and Drains).
Land 14 00611 g009
Table 3. Grading criteria for evaluating the potential ecological risk index.
Table 3. Grading criteria for evaluating the potential ecological risk index.
Ei Classification RangesRI Classification RangesPollution Level
Ei < 40RI < 150Low risk
40 ≤ Ei < 80150 ≤ RI < 300Moderate risk
80 ≤ Ei < 160300 ≤ RI < 600Considerable risk
160 ≤ Ei < 320600 ≤ RIHigh risk
320 ≤ Ei Very high risk
Table 4. Topsoil geochemical statistics in the Nanhe Basin.
Table 4. Topsoil geochemical statistics in the Nanhe Basin.
SoilParameterspHHeavy Metal Concentrations in the Soil (mg/kg)
CdPbCuZnNiCrHgAs
Topsoil (2946 samples)Min4.120.0611342470.010.12
Max7.799.8851801794991778764.8135.2
Mean5.60.523393915238690.133.45
Median5.60.41173713936630.092.79
CVs (%)8.583.3135.936.836.742.861.5115.370.9
Exceeding rate (%)/62.553.215.8123.32.51.20
Note: Exceeding rate (%): percentages of samples that exceed the screening value of the national arable soil standard, including the slightly contaminated and severely contaminated soil [45].
Table 5. Evaluation results of potential ecological risk index.
Table 5. Evaluation results of potential ecological risk index.
ParametersPotential Risk Index Rating (%)
MinMaxMeanLow RiskModerate RiskConsiderable RiskHigh RiskVery High Risk
Cd13.22179.4114.65.541.341.513.63.6
Pb1.8798.952.365.411.413.49.10.6
Cu0.740.78.899.90.10.00.00.0
Ni0.522.74.8100.00.00.00.00.0
Zn0.56.42.0100.00.00.00.00.0
Cr0.225.02.0100.00.00.00.00.0
Hg6.43435.791.519.740.327.510.91.6
As0.257.65.699.80.20.00.00.0
RI56.73673.0281.614.053.228.34.5-
Table 6. Heavy metals’ principal component score for the Nanhe Basin topsoil.
Table 6. Heavy metals’ principal component score for the Nanhe Basin topsoil.
Heavy MetalsFactor 1Factor 2Factor 3
Cd0.834−0.0740.008
Pb0.826−0.117−0.185
Zn0.9250.0780.003
Cu0.3740.7380.191
Ni−0.2500.8370.234
Cr−0.1380.780−0.278
Hg−0.079−0.0450.650
As−0.0270.1300.796
Eigenvalue2.51.91.0
Variance interpretation (%)30.823.715.7
Cumulative variance explanation rate (%)30.77854.49870.230
Note: Significant values are in bold. Eigenvalue: The amount of variance explained by each principal component.
Disclaimer/Publisher’s Note: The statements, opinions and data contained in all publications are solely those of the individual author(s) and contributor(s) and not of MDPI and/or the editor(s). MDPI and/or the editor(s) disclaim responsibility for any injury to people or property resulting from any ideas, methods, instructions or products referred to in the content.

Share and Cite

MDPI and ACS Style

He, S.; Li, Y.; Tang, L.; Yang, F.; Xie, Y.; Liu, X.; Xu, L. Migration and Accumulation Mechanisms of Heavy Metals in Soil from Maoniuping Rare Earth Elements Mining, Southwest China. Land 2025, 14, 611. https://doi.org/10.3390/land14030611

AMA Style

He S, Li Y, Tang L, Yang F, Xie Y, Liu X, Xu L. Migration and Accumulation Mechanisms of Heavy Metals in Soil from Maoniuping Rare Earth Elements Mining, Southwest China. Land. 2025; 14(3):611. https://doi.org/10.3390/land14030611

Chicago/Turabian Style

He, Sijie, Yang Li, Liang Tang, Fang Yang, Yuan Xie, Xuemin Liu, and Lei Xu. 2025. "Migration and Accumulation Mechanisms of Heavy Metals in Soil from Maoniuping Rare Earth Elements Mining, Southwest China" Land 14, no. 3: 611. https://doi.org/10.3390/land14030611

APA Style

He, S., Li, Y., Tang, L., Yang, F., Xie, Y., Liu, X., & Xu, L. (2025). Migration and Accumulation Mechanisms of Heavy Metals in Soil from Maoniuping Rare Earth Elements Mining, Southwest China. Land, 14(3), 611. https://doi.org/10.3390/land14030611

Note that from the first issue of 2016, this journal uses article numbers instead of page numbers. See further details here.

Article Metrics

Back to TopTop