Impact of Sustainable Land Management Practices on Soil Properties: Example of Organic and Integrated Agricultural Management
Abstract
1. Introduction
2. Materials and Methods
2.1. Case Study Area
2.2. Experimental Design and Data Measurement
2.3. Visual Soil Assessment (VSA)
2.4. Statistical Methods
3. Results and Discussion
3.1. Visual Soil Assessment and Chemical Soil Analysis Data
3.2. Statistical Analysis
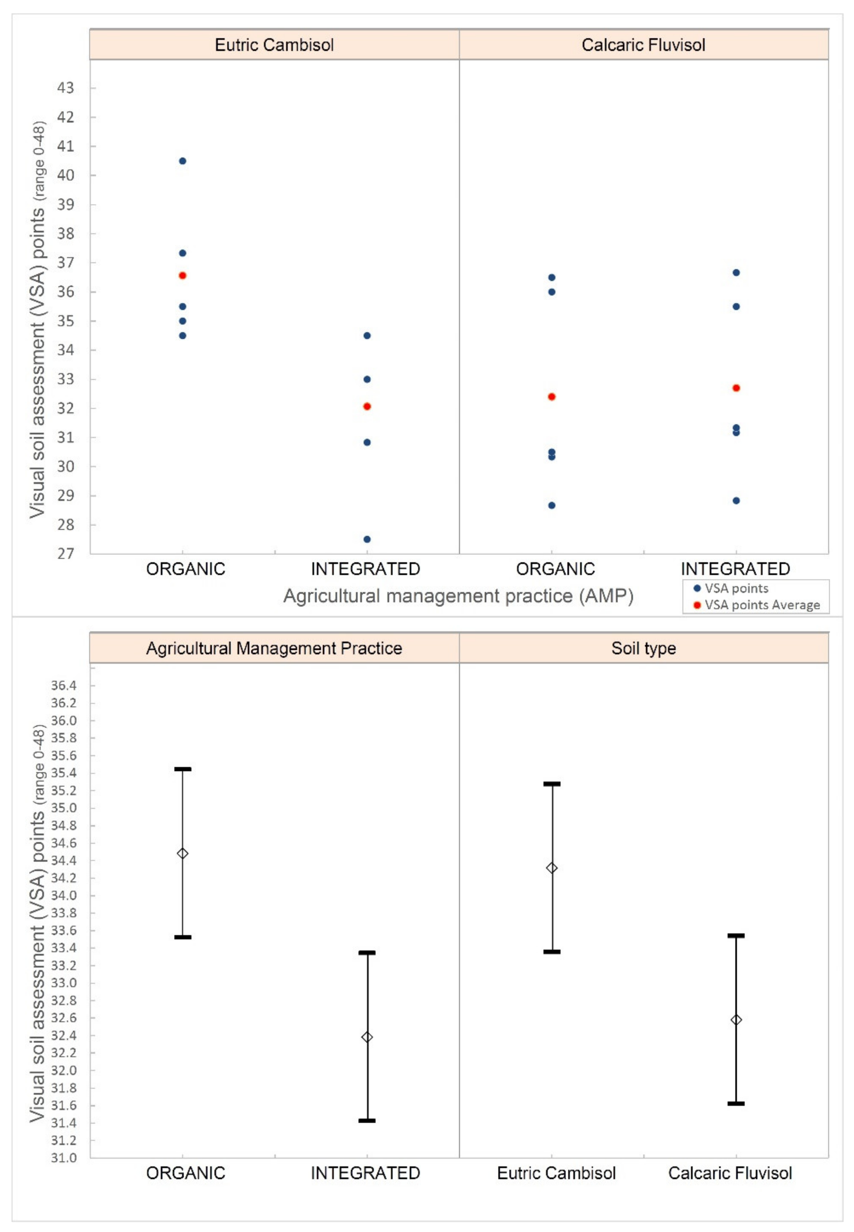
3.2.1. Visual Soil Assessment
3.2.2. Chemical Soil Analysis
3.3. Evaluation of the VSA Process and Recommendation
4. Conclusions
Supplementary Materials
Author Contributions
Funding
Data Availability Statement
Acknowledgments
Conflicts of Interest
References
- Doran, J.W.; Parkin, T.B. Quantitative Indicators of Soil Quality: A Minimum Data Set. In Methods for Assessing Soil Quality; Doran, J.W., Ed.; Soil Science Society of America: Minneapolis, MN, USA, 2015; pp. 25–37. [Google Scholar]
- Bünemann, E.K.; Bongiorno, G.; Bai, Z.; Creamer, R.E.; De Deyn, G.; de Goede, R.; Fleskens, L.; Geissen, V.; Kuyper, T.W.; Mäder, P.; et al. Soil quality—A critical review. Soil Biol. Biochem. 2018, 120, 105–125. [Google Scholar] [CrossRef]
- Santos-Francés, F.; Martínez-Graña, A.; Ávila-Zarza, C.; Criado, M.; Sánchez, Y. Comparison of methods for evaluating soil quality of semiarid ecosystem and evaluation of the effects of physico-chemical properties and factor soil erodibility (Northern Plateau, Spain). Geoderma 2019, 354, 113872. [Google Scholar] [CrossRef]
- Juhos, K.; Czigány, S.; Madarász, B.; Ladányi, M. Interpretation of soil quality indicators for land suitability assessment—A multivariate approach for Central European arable soils. Ecol. Indic. 2019, 99, 261–272. [Google Scholar] [CrossRef]
- Bakhshandeh, E.; Francaviglia, R.; Renzi, G. A cost and time-effective method to evaluate soil microbial respiration for soil quality assessment. Appl. Soil Ecol. 2019, 140, 121–125. [Google Scholar] [CrossRef]
- De Laurentiis, V.; Secchi, M.; Bos, U.; Horn, R.; Laurent, A.; Sala, S. Soil quality index: Exploring options for a comprehensive assessment of land use impacts in LCA. J. Clean Prod. 2019, 215, 63–74. [Google Scholar] [CrossRef] [PubMed]
- Fan, Z.; Wills, S.A.; Herrick, J.E.; Nauman, T.W.; Brungard, C.W.; Beaudette, D.E.; Levi, M.R.; O’Geen, A.T. Approaches for Improving Field Soil Identification. Soil Sci. Soc. Am. J. Soil 2018, 82, 871–877. [Google Scholar] [CrossRef]
- Bai, Z.; Caspari, T.; Gonzalez, M.R.; Batjes, N.H.; Mäder, P.; Bünemann, E.K.; de Goede, R.; Brussaard, L.; Xu, M.; Ferreira, C.S.S.; et al. Effects of agricultural management practices on soil quality: A review of long-term experiments for Europe and China. Agric. Ecosyst. Environ. 2018, 265, 1–7. [Google Scholar] [CrossRef]
- Debeljak, M.; Trajanov, A.; Kuzmanovski, V.; Schröder, J.; Sandén, T.; Spiegel, H.; Wall, D.P.; Van de Broek, M.; Rutgers, M.; Bampa, F.; et al. A Field-Scale Decision Support System for Assessment and Management of Soil Functions. Front. Environ. Sci. 2019, 7, 115. [Google Scholar] [CrossRef]
- Valani, G.P.; Vezzani, F.M.; Cavalieri-Polizeli, K.M.V. Soil quality: Evaluation of on-farm assessments in relation to analytical index. Soil Tillage Res. 2020, 198, 104565. [Google Scholar] [CrossRef]
- Lal, R. Restoring Soil Quality to Mitigate Soil Degradation. Sustainability 2015, 7, 5875–5895. [Google Scholar] [CrossRef]
- Alaoui, A.; Barão, L.; Ferreira, C.S.S.; Schwilch, G.; Basch, G.; Garcia-Orenes, F.; Morugan, A.; Mataix-Solera, J.; Kosmas, C.; Glavan, M.; et al. Visual Assessment of the Impact of Agricultural Management Practices on Soil Quality. Agron. J. 2020. [Google Scholar] [CrossRef]
- Bogunovič, I.; Fernández, M.P.; Kisic, I.; Marimón, M.B. Chapter Two—Agriculture and grazing environments. In Advances in Chemical Pollution, Environmental Management and Protection; Pereira, P., Ed.; Elsevier: Amsterdam, The Netherlands, 2019; Volume 4, pp. 23–70. [Google Scholar]
- Lasanta, T.; Arnáez, J.; Nadal-Romero, E. Chapter Three—Soil degradation, restoration and management in abandoned and afforested lands. In Advances in Chemical Pollution, Environmental Management and Protection; Pereira, P., Ed.; Elsevier: Amsterdam, The Netherlands, 2019; Volume 4, pp. 71–117. [Google Scholar]
- Shepherd, T.G.; Stagnari, F.; Pisante, M.; Benites, J. Annual Crops. Visual Soil Assessment—Field Guides. Available online: http://www.fao.org/3/i0007e/i0007e00.htm (accessed on 10 September 2019).
- Ball, B.C.; Guimarães, R.M.L.; Cloy, J.M.; Hargreaves, P.R.; Shepherd, T.G.; McKenzie, B.M. Visual soil evaluation: A summary of some applications and potential developments for agriculture. Soil Tillage Res. 2017, 173, 114–124. [Google Scholar] [CrossRef]
- Mueller, L.; Kay, B.D.; Hu, C.; Li, Y.; Schindler, U.; Behrendt, A.; Shepherd, T.G.; Ball, B.C. Visual assessment of soil structure: Evaluation of methodologies on sites in Canada, China and Germany: Part I: Comparing visual methods and linking them with soil physical data and grain yield of cereals. Soil Tillage Res. 2009, 103, 178–187. [Google Scholar] [CrossRef]
- Mueller, L.; Kay, B.D.; Deen, B.; Hu, C.; Zhang, Y.; Wolff, M.; Eulenstein, F.; Schindler, U. Visual assessment of soil structure: Part II. Implications of tillage, rotation and traffic on sites in Canada, China and Germany. Soil Tillage Res. 2009, 103, 188–196. [Google Scholar] [CrossRef]
- Decree on the Water Protection Area for the Ljubljansko Polje Aquifer. Official Gazette of the RS, No. 43/15. Available online: http://www.pisrs.si/Pis.web/pregledPredpisa?id=URED7006 (accessed on 10 September 2019).
- Egner, H.; Riehm, H.; Domingo, W.R. Untersuchungen über die chemische Bodenanalyse als Grundlage für die Beurteilung des Nahrstoffzustandes der Boden, II: Chemische Extractionsmetoden zu Phosphorund Kaliumbestimmung. Kungliga Lantbrukshügskolans Annaler 1960, 26, 199–215. [Google Scholar]
- ONORM L 1087: Chemical Analysis of Soils—Determination of “Plant Available” Phosphorus and Potassium by the Calcium-Acetate Lactate (CAL)-Method. 2012. Available online: https://infostore.saiglobal.com/en-us/standards/onorm-l-1087-2012-899966_saig_on_on_2132488/ (accessed on 10 September 2019).
- Nelson, D.W.; Sommers, L.E. Total carbon, organic carbon and organic matter. In Methods of Soil Analysis: Part 2. Chemical and Microbiological Properties; ASA Monograph Number 9; Page, A.L., Miller, R.H., Keeney, D.R., Eds.; Soil Science Society of America, Inc.: Fitchburg, WI, USA, 1982; pp. 539–579. [Google Scholar]
- ISO. ISO 10390: Soil Quality—Determination of pH; ISO: Geneve, Switzerland, 2006; Available online: https://www.iso.org/standard/40879.html (accessed on 10 September 2019).
- Le Bissonnais, Y. Aggregate stability and assessment of soil crustability and erodibility: I. Theory and methodology. Eur. J. Soil Sci. 1996, 47, 425–437. [Google Scholar] [CrossRef]
- VDLUFA Humusbilanzierung. Eine Methode zur Analyse und Bewertung der Humusversorgung von Ackerland; Eigenverlag Verband Deutscher Landwirtschaftlicher Untersuchungs- und Forschungsanstalten/Association of German Agricultural Analytic and Research Institutes (VDLUFA): Speyer, Germany, 2004. [Google Scholar]
- Hassink, J. The capacity of soils to preserve organic C and N by their association with clay and silt particles. Plant Soil 1997, 191, 77–87. [Google Scholar] [CrossRef]
- Zhang, W.; Wang, Q.; Wu, Q.; Zhang, S.; Zhu, P.; Peng, C.; Huang, S.; Wang, B.; Zhang, H. The response of soil Olsen-P to the P budgets of three typical cropland soil types under long-term fertilization. PLoS ONE 2020, 15, e0230178. [Google Scholar] [CrossRef]
- Maltas, A.; Kebli, H.; Oberholzer, H.R.; Weisskopf, P.; Sinaj, S. The effects of organic and mineral fertilizers on carbon sequestration, soil properties, and crop yields from a long-term field experiment under a Swiss conventional farming system. Land Degrad. Dev. 2018, 29, 926–938. [Google Scholar] [CrossRef]
- Parmar, D.K.; Thakur, D.R.; Jamwal, R.S. Effect of long term organic manure application on soil properties, carbon sequestration, soil-Plant carbon stock and productivity under two vegetable production systems in Himachal Pradesh. J. Environ. Biol. 2016, 37, 333–339. [Google Scholar]
- Faissal, A.; Ouazzani, N.; Parrado, J.R.; Dary, M.; Manyani, H.; Morgado, B.R.; Barragán, M.D.; Mandi, L. Impact of fertilization by natural manure on the microbial quality of soil: Molecular approach. Saudi J. Biol. Sci. 2017, 24, 1437–1443. [Google Scholar] [CrossRef] [PubMed]
- Lončar, J.; Suhadolc, M.; Mihelič, R. Terenska Ocena Kakovosti tal glede na Intenziteto Obdelave tal/Soil Quality Field Assessment Relating to Tillage Intensity; University of Ljubljana: Ljubljana, Slovenia, 2018. [Google Scholar]
- Van Leeuwen, M.M.W.J.; Heuvelink, G.B.M.; Wallinga, J.; de Boer, I.J.M.; van Dam, J.C.; van Essen, E.A.; Moolenaar, S.W.; Verhoeven, F.P.M.; Stoorvogel, J.J.; Stoof, C.R. Visual soil evaluation: Reproducibility and correlation with standard measurements. Soil Tillage Res. 2018, 178, 167–178. [Google Scholar] [CrossRef]
- Guimarães, R.M.L.; Lamandé, M.; Munkholm, L.J.; Ball, B.C.; Keller, T. Opportunities and future directions for visual soil evaluation methods in soil structure research. Soil Tillage Res. 2017, 173, 104–113. [Google Scholar] [CrossRef]
- Casler, M.D. Fundamentals of Experimental Design: Guidelines for Designing Successful Experiments. Agron. J. 2015, 107, 692–705. [Google Scholar] [CrossRef]
- Campbell, K.G.; Thompson, Y.M.; Guy, S.O.; McIntosh, M.; Glaz, B. “Is, or is not, the two great ends of Fate”: Errors in Agronomic Research. Agron. J. 2015, 107, 718–729. [Google Scholar] [CrossRef]
- Blainey, P.; Krzywinski, M.; Altman, N. Replication. Nat. Methods 2014, 11, 879–880. [Google Scholar] [CrossRef]





| Visual Indicators of Soil Quality | Visual Scores (VS) ** | Weighting | VS Ranking (Points) |
|---|---|---|---|
| Soil texture | 0–2 | x3 | 0–6 |
| xSoil structure | 0–2 | x2 | 0–4 |
| Soil porosity | 0–2 | x3 | 0–6 |
| Soil color | 0–2 | x3 | 0–6 |
| Anaerobic state of soil (number and color of soil mottles) | 0–2 | x2 | 0–4 |
| Earthworms (number, size) | 0–2 | x3 | 0–6 |
| Potential rooting depth (m) | 0–2 | x3 | 0–6 |
| Surface ponding | 0–2 | x1 | 0–2 |
| Surface crusting and surface cover | 0–2 | x2 | 0–4 |
| Soil erosion (wind/water) | 0–2 | x2 | 0–4 |
| VSA soil quality index (sum of VS ranking) * | 0–48 | ||
| Visual Indicators of Soil Quality (Score Range) * | Visual Scores (Average Weighted per) | ||||||||
|---|---|---|---|---|---|---|---|---|---|
| Organic Farm | Integrated Farm | EC | CF | Total Scores | |||||
| EC | CF | Avg. | EC | CF | Avg. | ||||
| Soil texture (0-3-6) | 5.4 | 3.6 | 4.5 | 5.0 | 5.0 | 5.0 | 5.2 | 4.3 | 4.7 |
| Soil structure (0-2-4) | 3.6 | 3.6 | 3.6 | 2.0 | 2.8 | 2.4 | 2.8 | 3.2 | 3.0 |
| Soil porosity (0-3-6) | 5.8 | 4.6 | 5.2 | 5.8 | 5.6 | 5.7 | 5.8 | 5.1 | 5.5 |
| Soil color (0-3-6) | 4.8 | 4.8 | 4.8 | 4.8 | 4.2 | 4.5 | 4.8 | 4.5 | 4.7 |
| Anaerobic state of soil (0-2-4) | 4.0 | 4.0 | 4.0 | 4.0 | 4.0 | 4.0 | 4.0 | 4.0 | 4.0 |
| Earthworms (0-3-6) | 1.8 | 1.3 | 1.6 | 0.9 | 0.8 | 0.8 | 1.4 | 1.1 | 1.2 |
| Potential rooting depth (0-3-6) | 1.5 | 1.5 | 1.5 | 1.5 | 1.5 | 1.5 | 1.5 | 1.5 | 1.5 |
| Surface ponding (0-2-4) | 2.0 | 2.0 | 2.0 | 2.0 | 2.0 | 2.0 | 2.0 | 2.0 | 2.0 |
| Surface crusting and surface cover (0-2-4) | 3.5 | 2.8 | 3.1 | 2.5 | 3.1 | 2.8 | 3.0 | 2.9 | 3.0 |
| Soil erosion (0-2-4) | 4.0 | 4.0 | 4.0 | 4.0 | 4.0 | 4.0 | 4.0 | 4.0 | 4.0 |
| SUM of scores (Soil quality index) | 36.4 | 32.2 | 34.3 | 32.5 | 33.0 | 32.8 | 34.4 | 32.6 | 33.5 |
| AMP * | Soil Type | Sampling Field | Visual Soil Assessment (VSA) Points | Chemical Soil Analysis | ||||||
|---|---|---|---|---|---|---|---|---|---|---|
| VSA 1 | VSA 2 | VSA 3 | Average | K2O (mg/100 g) | P2O5 (mg/100 g) | Soil Organic Matter (SOC %) | pH (CaCl2) | |||
| Organic | Eutric Cambisol | 1 | 38.5 | 32.5 | 34.0 | 35.0 | 17.8 | 3.0 | 4.9 | 6.7 |
| 2 | 34.5 | 34.5 | 34.5 | 34.5 | 36.6 | 47.0 | 7.5 | 7.1 | ||
| 3 | 32.5 | 35.5 | 38.5 | 35.5 | 35.4 | 35.4 | 6.5 | 7.3 | ||
| 4 | 39.0 | 33.5 | 39.5 | 37.3 | 35.7 | 37.3 | 6.7 | 7.3 | ||
| 5 | 39.0 | 39.0 | 43.5 | 40.5 | 22.7 | 7.7 | 6.1 | 7.2 | ||
| Average | 36.7 | 35.0 | 38.0 | 36.6 | 29.6 | 26.1 | 6.3 | 7.1 | ||
| Calcaric Fluvisol | 6 | 36.0 | 34.5 | 37.5 | 36.0 | 11.4 | 1.8 | 4.9 | 7.2 | |
| 7 | 37.0 | 34.0 | 38.5 | 36.5 | 28.7 | 25.1 | 6.3 | 7.3 | ||
| 8 | 29.5 | 27.5 | 29.0 | 28.7 | 17.3 | 13.1 | 5.6 | 7.2 | ||
| 9 | 34.5 | 29.0 | 27.5 | 30.3 | 6.3 | 16.7 | 3.5 | 7.5 | ||
| 10 | 28.0 | 29.5 | 34.0 | 30.5 | 6.9 | 7.3 | 3.8 | 7.5 | ||
| Average | 33.0 | 30.9 | 33.3 | 32.4 | 14.1 | 12.8 | 4.8 | 7.3 | ||
| Average | 34.9 | 33.0 | 35.7 | 34.5 | 21.9 | 19.4 | 5.6 | 7.2 | ||
| Integrated | Eutric Cambisol | 11 | 35.5 | 29.5 | 38.5 | 34.5 | 41.0 | 49.3 | 5.6 | 7.5 |
| 12 | 34.5 | 34.5 | 34.5 | 34.5 | 33.2 | 40.0 | 5.3 | 7.2 | ||
| 13 | 30.5 | 32.5 | 29.5 | 30.8 | 39.4 | 47.6 | 5.2 | 7.2 | ||
| 14 | 32.5 | 34.0 | 32.5 | 33.0 | 44.8 | 52.4 | 5.0 | 7.3 | ||
| 15 | 27.5 | 27.5 | 27.5 | 27.5 | 25.2 | 14.2 | 5.3 | 7.3 | ||
| Average | 32.1 | 31.6 | 32.5 | 32.1 | 36.7 | 40.7 | 5.3 | 7.3 | ||
| Calcaric Fluvisol | 16 | 32.0 | 34.5 | 43.5 | 36.7 | 15.4 | 14.7 | 5.1 | 7.1 | |
| 17 | 35.5 | 35.5 | 35.5 | 35.5 | 23.0 | 28.9 | 5.1 | 7.3 | ||
| 18 | 25.5 | 30.5 | 30.5 | 28.8 | 9.8 | 12.2 | 5.0 | 7.4 | ||
| 19 | 28.5 | 32.5 | 32.5 | 31.2 | 9.8 | 22.6 | 3.3 | 7.5 | ||
| 20 | 27.5 | 32.5 | 34.0 | 31.3 | 11.4 | 24.4 | 4.0 | 7.5 | ||
| Average | 29.8 | 33.1 | 35.2 | 32.7 | 13.9 | 20.6 | 4.5 | 7.4 | ||
| Average | 31.0 | 32.4 | 33.9 | 32.4 | 25.3 | 30.6 | 4.9 | 7.3 | ||
| Average Eutric Cambisol | 34.4 | 33.3 | 35.3 | 34.3 | 33.2 | 33.4 | 5.8 | 7.2 | ||
| Average Calcaric Fluvisol | 31.4 | 32.0 | 34.3 | 32.6 | 14.0 | 16.7 | 4.7 | 7.4 | ||
| Average Total | 32.9 | 32.7 | 34.8 | 33.4 | 23.6 | 25.0 | 5.2 | 7.3 | ||
Publisher’s Note: MDPI stays neutral with regard to jurisdictional claims in published maps and institutional affiliations. |
© 2020 by the authors. Licensee MDPI, Basel, Switzerland. This article is an open access article distributed under the terms and conditions of the Creative Commons Attribution (CC BY) license (http://creativecommons.org/licenses/by/4.0/).
Share and Cite
Mihelič, R.; Pečnik, J.; Glavan, M.; Pintar, M. Impact of Sustainable Land Management Practices on Soil Properties: Example of Organic and Integrated Agricultural Management. Land 2021, 10, 8. https://doi.org/10.3390/land10010008
Mihelič R, Pečnik J, Glavan M, Pintar M. Impact of Sustainable Land Management Practices on Soil Properties: Example of Organic and Integrated Agricultural Management. Land. 2021; 10(1):8. https://doi.org/10.3390/land10010008
Chicago/Turabian StyleMihelič, Rok, Jure Pečnik, Matjaž Glavan, and Marina Pintar. 2021. "Impact of Sustainable Land Management Practices on Soil Properties: Example of Organic and Integrated Agricultural Management" Land 10, no. 1: 8. https://doi.org/10.3390/land10010008
APA StyleMihelič, R., Pečnik, J., Glavan, M., & Pintar, M. (2021). Impact of Sustainable Land Management Practices on Soil Properties: Example of Organic and Integrated Agricultural Management. Land, 10(1), 8. https://doi.org/10.3390/land10010008

