Abstract
This paper reports a novel effort to estimate and evaluate the coefficients of Hg transfer across the water/air interface in lakes such as Cane Creek Lake (CCL, Cookeville, TN, USA). This was accomplished by calculating the coefficients (kw) using the Two-Thin Film (TTF) Model for Hg transfer together with the field-measured data of Hg emission flux (F), dissolved gaseous mercury concentration (DGM), air Hg concentration (Ca), and water temperature for Henry’s coefficient (KH) obtained from a separate field study at the CCL. The daily mean kw values range from 0.045 to 0.21 m h−1, with the min. at 0.0025–0.14 and the max. at 0.079–0.41 m h−1, generally higher for the summer, and from 0.0092 to 0.15, with the min. at 0.0032–0.033 and the max. at 0.017–0.31 m h−1, generally lower for the fall and winter, exhibiting an apparent seasonal trend. The highest kw values occur in August (mean: 0.21, max.: 0.41 m h−1). Our kw results add to and enrich the aquatic interfacial Hg transfer coefficient database and provide an alternative avenue to evaluate and select the coefficients for the TTF Model’s application. The kw results are of value in gaining insights into the Hg transfer actually occurring across the water/air interface under environmental influences (e.g., wind/wave, solar radiation). Our kw results do not show a clear, consistent correlation of kw with wind/wave effect, nor sunlight effect, in spite of some correlations in sporadic cases. Generally, the kw values do not exbibit the trends prescribed by the model sensitivity study. The comparisons of our kw results with those obtained using wind-based transfer models (the Liss/Merlivat Model, the Wanninkhof Model, and the modified linear model) show that they depart from each other. The findings of this study indicate that the TTF Model has limitations and weaknesses. One major assumption of the TTF Model is the equilibrium of the Hg distribution between the air and water films across the water/air interface. The predominant oversaturation of DGM shown by our DGM data evidently challenges this assumption. This study suggests that aquatic interfacial Hg transfer is considerably more complicated, involving a group of factors, more than just wind and wave.
1. Introduction
Mercury (Hg) would harm our environment and society less challengingly without coupling of its transfer with transformation (Hg chemodynamics).
Hg, a neurotoxin, is a 3D pollutant. Reduced Hg (elemental Hg or Hg(0)), dissolved in water as dissolved gaseous mercury (DGM)), owing to its high vapor pressure, can readily emit to the air after being generated from the reduction of Hg(II) (Hg(II) + 2e− ↔ Hg(0)). This Hg water/air exchange (DGM or Hg emission/transfer) can cut the amount of the oxidized Hg (divalent Hg or Hg(II)) available for methylation, which then results in penetration of the methylated Hg ((mono)methyl Hg(II) or HgCH3+, dimethyl Hg(II) or Hg(CH3)2) through the aquatic food chain from algae to fishes and various aquatic and water-bound animals.
Emission of Hg from natural waters acts importantly in global Hg biogeochemical cycling. Hg water/air exchange is connected to solar radiation in freshwaters and oceanic waters [1,2,3,4,5,6,7,8,9,10,11,12,13]. Aquatic Hg emission is commonly measured in situ using field methods such as the dynamic flux chamber (DFC) method and various micrometeorological (MM) methods. The emission can also be estimated by means of Hg water/air exchange model-based calculation [13]. A useful tool for predicting Hg emissions, this exchange model-based approach enjoys its advantages, especially for waters where neither the DFC nor the MM methods may be readily applicable or feasible.
Origin of this study. Efforts have been ongoing in modeling and estimating the Hg emissions from aquatic systems (e.g., [13,14], references within). Most of the model-based studies resort to an Hg transfer coefficient to calculate the Hg emission flux using the Two-Thin Film (TTF) Model [14]. This model was used, for example, to calculate the Hg emission fluxes from the water of the Everglades (FL, USA) using the Wanninkhof transfer coefficient equation. In this study, the comparison of the model-based calculations with the measured fluxes revealed that the TTF Model yielded a lower flux estimation, and the emission could result from the controlling factors not considered by the TTF Model [15].
Hg transfer coefficients adopted in the model-based flux calculations generally stem from estimation using a tracer gas (e.g., CO2, Rn, water vapor) other than Hg itself and only consider wind speed, although ample field studies have shown that Hg emissions exhibit distinct diurnal patterns that closely track solar radiation [1,4,7,14]. These Hg transfer coefficient results are inevitably subject to certain limitations, with over-/underestimation, and may not be convincingly applicable, specifically to Hg water/air exchange in various aquatic bodies. A pressing need thus arises to obtain the exchange coefficients specifically pertinent to Hg transfer based on field-measured Hg water/air exchange data.
Objectives of this study. Our primary objectives were (1) to explore the approach of using the TTF Model with field-measured data of Hg water/air exchange to calculate the Hg transfer coefficients as an alternative, independent way of estimating the coefficients, specifically for Hg; (2) to inspect the calculated coefficients in relation to environmental factors (wind, wave, solar radiation); and (3) to compare our calculated coefficients with those from the wind-based transfer models. Our interests were centered on observing the magnitude and the daily and seasonal trends of the calculated Hg transfer coefficients, analyzing the environmental effects that control the Hg transfer, and then evaluating the performance of the TTF Model in its calculation of the transfer coefficients.
General approach and scope of this study. The Hg transfer coefficients (kw) were calculated using an interactive Excel spreadsheet composed of a rearranged TTF Model equation. This requires data on Hg emission flux (F), DGM concentration (DGM), air Hg concentration (Ca), and water temperature (for Henry’s constant). These were all obtained by the measurements from a separate field study conducted at Cane Creek Lake (CCL) (Cookeville, TN, USA) [13,14]. The same approach for estimating the aquatic Hg water/air exchange coefficient was attempted previously [15].
The same field data set was also used in a separate modeling study, in which the kinetic rates and rate constants of the photochemodynamics of Hg in the same lake were calculated to provide an independent estimation of the kinetics of the Hg redox cycling in the lake [16]. An overarching goal of this study was that, as a companion (sequel) to the previous one, it would offer results and insights to assist and promote further probing and understanding of aquatic Hg chemodynamics.
2. Two-Thin Film Model for Gas Exchange at Water/Air Interface in Aquatic Systems
The Two-Thin Film Model has as its foundation a sound understanding of the fluid environment and interfacial gas behavior. Aquatic bodies can exist in static or dynamic conditions. The former refers to an equilibrium for interfacial gas distribution. The latter describes a non-equilibrium condition in which interfacial gas exchange occurs until an equilibrium is reached [17]. Ample background information is provided in this section to facilitate the presentation of the TTF Model, its application, and related discussions.
2.1. Gas Exchange Across Water/Air Interface
Fluid environment and the water/air interface. Two factors are decisively influential in interfacial gas exchange: (a) the structure of water and (b) wind/wave. The two interact with each other and jointly control the gas exchange. Upon approaching the surface of a bulk water, the water molecules there exhibit an increased amount of hydrogen bonding. The randomness of the orientation of the H2O molecules at the surface thus decreases and nearly disappears eventually, leaving the molecules in a position in which the O atom is pointing to the air. This more organized water structure at the interface affects the gas exchange [18]. As wind blows, it rubs against the water surface, causing the surface to “wrinkle”. Gas transfer across the interface is thus strongly subject to wind effects [19,20].
Gas distribution equilibrium across the water/air interface: Henry’s law. Considering the distribution of an ideal gas between the gas and liquid phases at an equilibrium for an ideal liquid, the pressure and concentration of a species is related by Raoult’s law [17]:
where pA is the equilibrium partial pressure of a gaseous species A, XA is the molar fraction of A in the liquid, and PA is the vapor pressure of the pure A at equilibrium temperature. Under the special condition when A is dissolved in the liquid phase at low concentrations, Raoult’s law is expressed as Henry’s law [21,22]:
where CA is the concentration of species A in the liquid and KH is the Henry’s law constant (pressure–volume/mole). Under the assumption of the species being an ideal gas, the two forms of Henry’s constant are related by the ideal gas equation [23]:
where KH′ (H) is the Henry’s law constant (dimensionless), R is the ideal gas constant (0.08206 L·atm mol−1·K−1), and T is the temperature (K). KH′ depends on water temperature. The constant at 25 °C can be adjusted to various temperatures as follows [24]:
For Hg, the following equation has been found [25]:
H = KH′ = 0.0074T + 0.1551
Gas transfer dynamics across the water/air interface: Fick’s law. Two types of forces can drive interfacial gas exchange: (a) entropy-driven molecular diffusion (concentration gradient) and (b) turbulent transfer (physical forces). Governed by chemical characteristics, molecular diffusion is more influential at lower transfer speeds than turbulent transfer caused by physical mixing. During faster transfers, a gas in the bulk water travels via turbulent transfer towards the water/air interface to a point where the turbulent mixing is suppressed by interfacial characteristics.
The water from the point of suppression to the interface is termed the diffusive sub-layer for water. The air also has a similar sub-layer near the water/air interface [26]. The diffusive sub-layer has a thickness given by [27]:
where δ(a, w) is the thickness of the diffusive sub-layer (cm), D(a, w) is the molecular diffusivity of the gas (cm2 s−1), v is the diffusive gas exchange velocity (cm s−1), and w and a are the water and air sub-layers, respectively. All species are assumed to experience the same sub-layer thickness, i.e., a linear relationship between v and D(a, w) for different species [27].
Theoretically, the overall diffusive transfer of a species is described by Fick’s first law of diffusion [28,29]:
where F is the gas transfer (water/air exchange) flux, dC/dx is the concentration gradient for the interfacial gas transfer, and D is the diffusion coefficient of the gas in water.
Practically, or empirically, the flux of a gas through the diffusive sub-layer (F) can be quantified approximately [18] as it is applied in the Two-Thin Film Model as follows:
where ΔC is the concentration difference between the top and bottom of the sub-layer (concentration gradient). Generally, the water sub-layer exerts the highest resistance to interfacial gas transfer because the diffusivity of a species in air is generally greater than in water [26,28].
2.2. Two-Thin Film (TTF) Model for Gas Transfer Across Water/Air Interface
The TTF Model is a model construction used to describe interfacial gas exchange based on a theory developed by Lewis and Whitman in 1924 [17,27]. It has been widely adopted to estimate the emission flux from water surfaces for many chemical species in aquatic bodies [27,30].
The TTF Model considers that the thin water/air interface layer consists of two thin films: an air film and a water film. Figure 1 depicts the conceptual picture of this model [17,29,31,32,33,34,35] (for a detailed, comprehensive schematic depiction, see [33]):
Figure 1.
A schematic diagram of the Two-Thin Film Model, where Csa and Csw are the concentrations of the species in the air and water films, respectively; Ca and Cw are the gas concentrations in the bulk air and water, respectively; and KH’ (H) is the dimensionless Henry’s constant.
The TTF theory considers that the mass transfer across the water/air interface involves three stages: (i) transfer from the bulk fluid (bulk water) to the water/air interface, (ii) transfer across the interface, and (iii) transfer from the interface to the bulk air [17]. The concentration gradient of a chemical species in the thin fluid layer reflects the molecular diffusion of the species from a higher concentration to a lower one [29].
Specifically, the TTF Model is operative based on a group of assumptions (approximations or simplifications) [17,33,34]:
- (1)
- The transfer through or within both the bulk water and bulk air is rapid, non-rate-limiting, and controlled by rapid mixing [34].
- (2)
- The concentration of the species is constant in the bulk water phase (i.e., a uniform concentration in the bulk water, caused by turbulent mixing), and the same holds true for the bulk air phase [33,35].
- (3)
- The interfacial distribution of the species in the two thin films is at equilibrium. The concentration of the species in the water thus can be related to that in the air by Henry’s constant (dimensionless) [17,29,33,34]:
- (4)
- The interfacial thin films are stagnant without turbulent mixing [34].
- (5)
- The species is subject to a concentration gradient through the thin fluid layer at the water/air interface, and only molecular diffusion is considered to occur within the interfacial thin films (Equations (7) and (8)) [17,29,34,35]. The air and water concentrations of the species in the bulk air (Ca) and bulk fluid (Cw) are required to estimate the flux across the two thin films (water/air interface).
- (6)
- The interfacial transfer is controlled only by the transfer through the thin layers on each side of the interface, and no resistance is considered for the transfer across the interface [17].
- (7)
- The transfer through the three stages is continuous in the steady state. The transfer flux through each of the stages is thus equal [17,29,33,34].
- (8)
- No chemical reaction occurs in the interface layer, or the reaction is sufficiently fast, compared to the transfer and/or mixing [33].
By assuming (a) only the molecular diffusion occurring in the thin interface layer and (b) an equilibrium distribution of the species in the films, the mass transfer flux can be expressed conceptually for the TTF Model based on Fick’s first law of diffusion [29]:
where F is the mass transfer (interfacial transfer or exchange) flux, while k is the transfer coefficient (k = D/Δz). The final flux equation is
where kT is the gas transfer coefficient at a certain temperature. The above equation with an elaboration on the gas transfer coefficient kT can be derived as follows:
where ka and kw are the transfer coefficients in the air and water films, respectively.
The stepwise derivation of Equation (14) is provided here to illustrate and highlight the involvement and significance of the assumptions adopted, which are crucial for the TTF Model:
Given F = ka(Ca − Csa) = kw(Csw − Cw) and Csa = HCsw, i.e., Csw = Csa/H, thus,
| ka(Ca − Csa) = kaCa − kaCsa = kw(Csw − Cw) = kwCsw − kwCw = (kw/H)Csa − kwCw |
| kaCa − kaCsa = (kw/H)Csa − kwCw |
| kaCa + kwCw = (kw/H)Csa + kaCsa = (kw/H + ka)Csa |
| Csa = (kaCa + kwCw)/(kw/H + ka), Ca = Ca(kw/H + ka)/(kw/H + ka) = (Cakw/H + Caka)/(kw/H + ka). |
Hence,
where 1/kT = 1/(kaH) + 1/kw = RT/(KHka) + 1/kw. The transfer coefficient can be viewed as the “conductance” for the mass transfer [36]. The reciprocal of the conductance, then, is the resistance. The overall resistance to the mass transfer can be viewed as a series of two resistances across the water and air thin films.
| F = ka(Ca − Csa) = ka{Ca − (kaCa + kwCw)/(kw/H + ka)} |
| = ka{(Cakw/H + Caka)/(kw/H + ka) − (kaCa + kwCw)/(kw/H + ka)} |
| = ka{(Cakw/H + Caka) − (kaCa + kwCw)}/(kw/H + ka) |
| = ka(Cakw/H + Caka − kaCa − kwCw)/(kw/H + ka) |
| = ka(Cakw/H − kwCw)/(kw/H + ka) = kakw(Ca/H − Cw)/(kw/H + ka) |
| = (Ca/H − Cw)/{(kw/H + ka)/(kakw)} ={1/{(kw/H + ka)/(kakw)}}(Ca/H − Cw) |
| = {1/(1/(kaH) + 1/kw)}(Ca/H − Cw) = kT(Ca/H − Cw) |
At ka >> kw, the item RT/KHka can be ignored since it virtually approaches zero (1/kw >> 1/ka). Consequently, the overall gas transfer coefficient is approximately equivalent to the water-side transfer coefficient. In the case of Hg(0), since ka/kw ≥ 100 (ka, Hg = 9 m h−1, kw, Hg = 0.09 m h−1), 1/kT ≈ 1/kw, or kT ≈ kw [7,25].
By convention, the commonly used emission flux equation from the TTF Model for gas emission is
where F is the flux density (mass/area2-time) and kT is the overall gas transfer coefficient (distance/time). Under the assumption of kT ≈ kw for Hg, the above equation takes the form commonly used to calculate the Hg emission flux from water:
where kw is the water-side transfer coefficient; Cw and Ca are the species concentrations in the bulk water (mass/vol) and air (mass/vol), respectively; and KH′ (H) is the Henry constant.
2.3. Determination of Mass Transfer Coefficients
The transfer coefficient in the equation kT = 1/(1/(kaH) + 1/kw) is a theoretical expression with relevant components given. Yet the actual value of kT still needs to be determined experimentally or estimated empirically for each specific species such as Hg(0).
Basic approach for obtaining the mass transfer coefficient. The basic approach adopted employs a tracer gas. A typical one widely used is CO2 (easily detectable). The coefficient of interest is then related to that of the tracer gas by physical relationships via various approaches. Two commonly used are the Graham’s law approach and the Schmidt number ratio approach.
Graham’s law approach. The transfer coefficient can be calculated using the relationship between the gas transfer coefficients and Graham’s law of diffusion [37]:
where MW is the molecular mass for the species (subscript 1) and tracer gas (subscript 2).
Schmidt number ratio approach. This uses the ratio of the Schmidt number (Sc), defined as follows [38]:
where μ is the kinematic viscosity of the fluid (water), ρ is the density of the fluid, and D is the diffusivity of the gas in the fluid (all temperature-dependent). kw can be found by an expression relating the kw ratio to the Schmidt number ratio for the species of interest and the tracer gas as follows:
where kw1 and kw2 are the coefficients for gas 1 and gas 2, respectively, and n is an empirical value derived from the relation to wind speed (at u10 < 3.6 m s−1, n = –2/3; at u10 > 3.6 m s−1, n = –1/2) [39]. The power law function was solved for kw with respect to CO2 (tracer gas):
The Sc for CO2 in freshwater is 600 at 20 °C and adjustable for 0–20 °C by [37]:
Or by [25]:
Tracer gas transfer coefficient and wind effect. The kw of a tracer gas is related to the wind speed by a generic equation [27]:
kw = Au10α + B
For the transfer coefficient for a species x with respect to a certain tracer gas, using the Schmidt number ratio approach, the following general equation can be obtained:
where kw, x is the transfer coefficient for x, u10 is the wind speed at 10 m above the surface, SC1 is the Schmidt number for x, SC2 is the Schmidt number for the tracer gas, α is the exponent dependent on u10, and B’ is a constant.
kw can be expressed in either a linear or nonlinear form. In the linear form, α = 1, which yields the following equation:
In the nonlinear form, α and n are constants not equal to 1. The transfer coefficients for tracer gases range from simple constant values to complex expressions dealing with wind effects.
Constant transfer coefficient of a tracer gas independent of wind effects. In the case of α = B = 0, Equation (23) becomes kw = A. For example, a constant value of 0.09 m h−1 was used for kw, Hg in a study on Hg emissions from some Canadian lakes [7]. By using the Graham’s law approach (Equation (17)), kw, Hg can be derived from the kw of CO2:
It is notable that the use of a constant kw is not a commonly adopted convention for modeling emission flux because most studies have shown the variation of kw with wind speed.
Wind speed-dependent transfer coefficient. Breaking waves cause direct mixing of the air and water thin films, greatly affecting the transfer of slightly soluble gases (e.g., Hg(0)) [26]. A common convention adopted is the conversion of the wind speed from the height at which it is measured to that at 10 m above the water surface (u10). This can be logarithmically related to the wind speed measured at a height, z [40]:
where uz is the wind speed measured at the height z and u10 is the wind speed 10 m above the surface. The transfer coefficients then are calculated typically by using the mean values of the wind speed data measured over a specified time period. The wind speed-dependent transfer coefficients fall into two categories: linear and nonlinear forms.
Linear transfer coefficient equations (Liss and Merlivat equations). Liss and Merlivat [41] reported their results on wind tunnel tests using the environmentally relevant wind speeds of 0–17 m s−1. This range was classified into three categories based on the gas transfer behavior and the wave size observed on the water surface.
No waves or surface disturbances were seen at wind speeds < 3.6 m s−1, while at 3.6–13 m s−1, small capillary waves were observed. The kw value increased more quickly within the middle range. The high-wind regime (>13 m s−1) yielded large, breaking waves at the water surface, causing kw to rise even more. The linear relationships (α = 1) between the wind speed and kw for each wind speed category found by Liss and Merlivat [38,41] were
Nonlinear equations (Wanninkhof equation). The transfer coefficients for gas tracers (e.g., SF6, 3He) were determined from wind tunnel and field tests [42]. Similar to the Liss/Merlivat data, the kw values obtained increase with the wind speed, following a power law function of the wind speed [42]. The Wanninkhof equation for kw takes the following form [24,37,39]:
Comparison between linear and nonlinear transfer coefficient equations. The data of Liss/Merlivat and Wanninkhof share similar trends. The most noticeable difference is the deviation at 3.6 m s−1, where the Wanninkhof equation yields a much higher value (~6 times) than the data of Liss/Merlivat. Yet the Liss/Merlivat data suggest a sharper kw rise at u10 > 13 m s−1 [39]. Nevertheless, the two data sets are very close at u10 = ~5–12 m s−1. Only at (very) low and high wind speeds do the two approaches deviate noticeably.
Transfer coefficients for tracers at high wind speeds. Huge waves are most commonly characteristic of oceans and large water bodies. For these, a simple equation thus cannot account for the complex relationship between wind speed and kw. At u10 ≤ 5 m s−1, kw is expressed as follows [7]:
This is an empirical relationship derived in a laboratory setting from the testing of eleven organics in a wind/wave tank [43]. For higher wind speed regimes (u10 > 5 m s−1), Equation (33) was not applicable. Instead, the relevant equation is the following [7]:
where Wc is the fractional whitecap coverage, influenced by wind, and α represents the Ostwald solubility of a gas [7].
3. Calculation of Hg Water/Air Exchange Coefficient Using TTF Model
In this study, the transfer coefficients for Hg water/air exchange (kw) were obtained by calculation using the TTF Model, with the field-measured data used to fill the model parameters in the model equation.
Original flux equation from the TTF Model. The mass transfer across the water/air interface is commonly measured as the flux density with units of mass area−1 time−1 [29]. The general form of the emission flux equation from the TTF Model commonly used to calculate the Hg flux is given by
where F is the Hg emission flux (ng m−2 h−1), kw is the gas transfer coefficient (m h−1), DGM is the concentration of dissolved Hg(0) in the water (ng m−3, or pg L−1 as equivalent), Ca is the Hg(0) concentration in the air (ng m−3), and KH′ is Henry’s constant (dimensionless).
Transfer coefficient (kw) calculation equation from the TTF Model. Equation (35) can be rearranged to solve for the Hg transfer coefficient, kw:
where kw is the Hg transfer coefficient to be calculated and denoted specifically for the calculated Hg transfer coefficients using the field-measured data for F, DGM, and Ca in the TTF Model equation to distinguish it from the k1, k2, and k3 values estimated using the tracer gas based on wind effects. All other variables and units in Equation (36) have been defined (Equation (35)). KH′ was adjusted to the value of the actual field temperature of the water body (Equation (5)).
Since the data on the emission flux (F), DGM, and Ca used for the calculations were those obtained from the previous field study [13,14], the transfer coefficient calculation required and only employed the sets of the three parameters coupled for each particular sampling time point correspondingly. The TTF Model-calculated transfer coefficients are thus limited to the accuracy and uncertainty of the field-obtained data [14].
Comparison of TTF Model-calculated transfer coefficients obtained using field-measured data with those obtained using wind-based approaches. The most common approach widely adopted for estimating the Hg transfer coefficient is the use of tracer gases (e.g., CO2). The transfer coefficient for Hg is then related to the transfer coefficient of a tracer gas via the Schmidt number ratio approach (Models 1–3) or the Graham’s law approach (Model 4) as elaborated previously. In this study, four models (Models 1–4) were used to obtain the Hg transfer coefficients (k1, k2, k3, and k4) to compare them with our calculated transfer coefficients (kw):
Model 1: The Liss and Merlivat linear equations were used to calculate the Hg gas transfer coefficients with respect to wind speed [38]:
where kw is in the unit of m h−1 and u10 is in m s−1.
Model 2: The Wanninkhof nonlinear equation was used to calculate the Hg gas transfer coefficients with respect to wind speed [15,40]:
where kw is in the unit of m h−1 and u10 is in m s−1.
Model 3: A modified linear equation was used to calculate the Hg gas transfer coefficients with respect to wind speed [7,44]:
where kw is in the unit of m h−1 and u10 is in m s−1. This model is for the high-wind regimes.
k3 = 0.0036 + 51.84(u10)2.2ScHg−0.5
Model 4: Following the Graham’s law approach, the gas transfer coefficient is then a constant without consideration of wind effect [45,46]:
k4 = 0.09 m h−1.
The above four models can be described uniformly by one general equation:
where b = 0, 1, 2, 2,2, n denotes the specific model (n = 1, 2, 3, 4 for k1, k2, k3, k4, respectively); a and C are constants; and b assumes a specific value for a specific model, i.e., n = 1, b = 1 for Model 1; n = 2, b = 2 for Model 2; n = 3, b = 2.2 for Model 3; n = 4, b = 0 for Model 4.
kn = a × u10b + C
The transfer coefficients obtained using the above four models were compared with our TTF Model-calculated transfer coefficients using the coupled field-measured data for the model parameters to evaluate these coefficients and gain insights into the behavior and transfer characteristics of Hg in water/air exchange.
4. Results and Discussion
The calculated Hg exchange coefficient results (kw) are first inspected for their magnitude and daily and seasonal trends and then used to look into the Hg water/air exchange as influenced by the environmental factors such as wind/wave and solar radiation. Next, the kw results are compared with the Hg transfer coefficients obtained using the wind-based models (Models 1–4), followed by a model sensitivity study and an evaluation of the TTF Model’s performance in its application to estimating the interfacial Hg transfer coefficients.
4.1. Daily Magnitude and Variation in TTF Model-Calculated Hg Transfer Coefficients
The interfacial Hg transfer coefficients calculated using the Two-Thin Film Model (kw) were obtained for each field measurement day that had a set of three or more valid coupled flux/DGM/Ca data available. Table 1 summarizes the calculation results together with other relevant results, such as environmental factors (u10, Rg, and Tw) and the correlation results of the kw values with each of the factors.
Table 1.
Summary of the daily Hg transfer coefficients (kw) calculated using the Two-Thin Film (TTF) Model and the results of the correlations of the daily kw with the environmental factors (u10, Rg, and Tw) (mean maximum daily kw: Max-kw; mean minimum daily kw: Min-kw; standard deviation of daily kw: SD-kw; number of daily kw data: N of kw; mean daily wind speed at 10 m height: Mean u10; mean daily solar radiation: Mean Rg; mean daily water temperature: Mean Tw; correlation between kw and u10: Corl R kw-u10; correlation between kw and Rg: Corl R kw-Rg; correlation between kw and Tw: Corl R kw-Tw).
The kw values for the early summer (22 June–9 July) are notably lower than those for the late summer (15 July–5 August). For 22 June and 9 July, the daily average and daily maximum transfer coefficients are close at averages of 0.071 and 0.045 and maximums of 0.13 and 0.079 m h−1, respectively. For 15 July and 5 August, the daily average transfer coefficients are 0.17 and 0.21 and the maximums are 0.21 and 0.41 m h−1, respectively. The highest values for the entire sampling period occur on 5 August (mean: 0.21, max.: 0.41 m h−1). The later months (November–January) see the lower values, with the daily averages at 0.01–0.15 and the maximums at 0.02–0.3 m h−1. The general kw trend appears to show variation from the higher values in the summer to the lower ones in the fall and winter, exhibiting an apparent seasonal trend.
The daily transfer coefficients exhibit some trends that appear to track the wind and solar radiation on certain sampling days. For example, a typical case from 9 July shows similar trends found between the kw and the two factors of wind speed and solar radiation (Figure 2). The kw is highest around noontime and generally decreases throughout the day and evening. There is a similar trend for wind speed and solar radiation on this sampling day. Similar cases can be found for 29 October (Figure 3) and 3 December (Figure 4).

Figure 2.
The daily trend of the TTF Model-calculated Hg transfer coefficient (kw) as compared with the trend of the wind speed and solar radiation (example case of the similar trends for the summer season, 9 July).
Figure 3.
The daily trend of the TTF Model-calculated Hg transfer coefficient (kw) as compared with the trend of the wind speed and solar radiation (example case of the similar trends for the fall season, 29 October).
Figure 4.
The daily trend of the TTF Model-calculated Hg transfer coefficient (kw) as compared with the trend of the wind speed and solar radiation (example case of the similar trends for the winter season, 3 December).
These similar trends between the daily kw values and the two environmental factors, however, do not regularly occur on other sampling days, showing that the trends are quite mixed (Figure 5, Figure 6 and Figure 7 for 15 July, 5 November, and 21 January, respectively). On some days, the kw trend appears to be similar only for one factor, wind or solar radiation, with mixed trends found between kw and the other factors, as shown in Figure 8 for 22 June and Figure 9 for 5 August. It appears that no clear, recognizable, regular kw trends emerge from our calculated kw results. Instead, the trends of the kw results vary from day to day, which suggests a complex set of factors in play that shape the kw trends.

Figure 5.
The daily trend of the TTF Model-calculated Hg transfer coefficient (kw) as compared with the trend of the wind speed and solar radiation (example case of the mixed trends for the summer season, 15 July).
Figure 6.
The daily trend of the TTF Model-calculated Hg transfer coefficient (kw) as compared with the trend of the wind speed and solar radiation (example case of the mixed trends for the fall season, 5 November).
Figure 7.
The daily trend of the TTF Model-calculated Hg transfer coefficient (kw) as compared with the trend of the wind speed and solar radiation (example case of the mixed trends for the winter season, 2 January).

Figure 8.
The daily trend of the TTF Model-calculated Hg transfer coefficient (kw) found to be similar to that for the solar radiation but with mixed trend found between the coefficient and wind speed.
Figure 9.
The daily trend of the TTF Model-calculated Hg transfer coefficient (kw) found to be similar to that for the wind speed but with mixed trend found between the coefficient and solar radiation.
Some statistical correlations can be found between the calculated kw results and the environmental parameters (Table 1). However, no clear regularity seems to emerge in these correlations regarding when they may be expected. Moreover, no overall regular synchronization seems to be recognizable between the correlation of kw with wind speed and that of kw with solar radiation, although the synchronization appears occasionally (e.g., 9 July, 29 October, and 3 December; Table 1, Figure 2, Figure 3 and Figure 4). A detailed analysis of the interrelationship between kw and the environmental factors is forthcoming subsequently.
4.2. Seasonal Trend of TTF Model-Calculated Hg Transfer Coefficients
Figure 10 and Figure 11 present the overall seasonal trends of the TTF Model-calculated Hg transfer coefficients. In Figure 10, the daily mean and daily maximum transfer coefficients are plotted with the daily mean wind speed (u10) and the daily mean solar radiation (Rg). Figure 11 provides the seasonal mean and maximum values of the transfer coefficients plotted with the seasonal mean wind speed and solar radiation data. The sampling time period in Figure 11 is grouped into three seasons: summer (June–August), fall (October–November), and winter (December–February).
Figure 10.
Daily mean and maximum values of the TTF Model-calculated Hg transfer coefficients (kw) compared with (a) the daily mean wind speed (u10) and (b) the daily mean solar radiation (Rg).
Figure 11.
Seasonal mean and seasonal maximum values of the TTF Model-calculated Hg transfer coefficients (kw) compared with (a) the seasonal mean wind speed (u10) and (b) the seasonal mean solar radiation (Rg).
Figure 10 shows that the summer and fall seasons appear to have higher transfer coefficients, while no clear trend seems to be noticeable between the daily mean and maximum transfer coefficients, nor for wind speed or solar radiation, especially for the fall and winter. The general decrease in the kw results from the fall to winter also follows the decrease in the wind speed. The mean transfer coefficients for the summer (mean: 0.12, max.: 0.42 m h−1) and fall (mean: 0.11, max.: 0.31 m h−1) do not appear to be apart from each other. The seasonal change in the mean kw (decrease) from the fall to winter (mean: 0.05, max.: 0.42 m h−1) is apparent.
The kw variation from the higher summer values to the lower fall and winter values with an apparent general seasonal trend (Figure 11) seems to suggest some connection between the characteristics of Hg transfer across the water/air interface and the environmental and/or physical influences featuring seasonal variations. This apparent seasonal kw trend remains to be further revealed and understood.
4.3. Effect of Wind on the TTF Model-Calculated Hg Transfer Coefficients
This study offers an alternative, independent way to estimate the coefficient for Hg transfer across the water/air interface. This adds to and enriches the current database and offers a fresh avenue to evaluate and select the kw value in applying the TTF Model. It also provides insights into the Hg transfer that actually occurs across the water/air interface under environmental influences (wind, solar radiation) in the field.
Wind can mix the water/air interface by waves, and breaking waves can accelerate gas transfer from water to air [26]. The gas transfer coefficient has been associated with wind [37,38]. It is of interest to look at the wind effect (u10) on the calculated kw for Hg.
Figure 12 presents the calculated Hg transfer coefficients (kw) coupled with the wind speed data (u10) for all the data of the field sampling days. Although not consistently clear, a somewhat positive trend for the rise in the Hg transfer coefficient with the increase in the wind speed is still more or less discernable. This observation is expected and stands in line with the effect of the wind as discussed previously.
Figure 12.
The Hg transfer coefficients calculated from the TTF Model (kw) and the wind speed (u10) for the individual data of all the field sampling days.
To further inspect the wind effect, the data with u10 < 2.7 m h−1 (1.3–2.7 m h−1) were plotted. This led to the emergence of a more recognizable correlation between the daily mean and maximum kw values and the corresponding wind speed (Figure 13). This sub-data set seems to show that the correlation may appear somewhat better for some wind speed ranges, indicating the complex nature of the relationship between kw and u10, not quite in line with the general expectation of a clear positive correlation between the two, seen in the wind-based models for the estimation of Hg transfer coefficients (Models 1–3).
Figure 13.
The relationship between the daily mean and maximum Hg transfer coefficients (kw) and the daily mean wind speed (u10) for the wind speed range of 1.3–2.7 m s−1.
4.4. Effect of Solar Radiation on the TTF Model-Calculated Hg Transfer Coefficients
Hg emissions from water have been observed in various studies to follow diurnal trends. This leads to the suggestion that solar radiation can enhance Hg emission [4,7,8,13,14]. It is of interest to inspect the general trend and the relationship between the calculated transfer coefficients (kw) and the solar radiation (Rg) data for each sampling day (Figure 2, Figure 3, Figure 4, Figure 5, Figure 6, Figure 7, Figure 8 and Figure 9, Table 1). Figure 14 presents the Hg transfer coefficients and the solar radiation data for all the individual data of the field sampling days.
Figure 14.
The Hg transfer coefficients calculated from the TTF Model (kw) and the solar radiation (Rg) for the individual data for all field sampling days.
It appears that when all the individual data are presented as shown in Figure 14, no clear trend emerges to indicate a significant positive correlation between the calculated transfer coefficients and the solar radiation data. However, the relationship between the daily mean and maximum calculated coefficients and the daily mean solar radiation data seems to present some discernable trends (Figure 15a). A further inspection of the data in Figure 15a suggests a correlation of solar radiation higher than 400 W/m2 with the two outlier points excluded (Figure 15b). Yet, the trends for the solar radiation less than 400 W m−2 (Figure 15a) remain to be deciphered, with a challenge regarding certainty, since only a small set of the data is available. This sub-data set (Figure 15b) then indicates the complex nature of the correlation or relationship between kw and solar radiation.
Figure 15.
The relationship between the daily mean and daily maximum Hg transfer coefficients calculated from the TTF Model (kw) and the daily mean solar radiation (Rg) (a) for all the mean data and (b) for solar radiation higher than 400 W m−2.
Nevertheless, the overall results still appear to suggest some impact of solar radiation on the Hg transfer coefficients, as shown here. This finding is valuable and could suggest some further investigation into this impact on top of the effect of wind on the Hg transfer. It needs to be pointed out that these two impacts are most likely intertwined in the field.
4.5. Comparison of TTF Model-Calculated Hg Transfer Coefficients with Coefficients from Various Wind-Based Transfer Models
It is of interest to compare our TTF Model-calculated transfer coefficients (kw) with those calculated by using Models 1–3 (k1–k3) based on the wind speed relationships. To distinguish between the various transfer coefficients discussed here, our calculated Hg transfer coefficient is denoted as kw, while those from Models 1–3 are denoted as kn (n = 1, 2, 3 for k1, k2, k3). Specifically, k1 follows the Liss and Merlivat linear expression (Model 1, Equations (37)–(39)), k2 follows the Wanninkhof nonlinear equation (Model 2, Equation (40)), and k3 follows the modified linear equation (Model 3, Equation (41)).
We first compare our kw results with the Hg transfer coefficients from the wind-based models (k1–k3) on a daily basis for various individual sampling days. This is followed by a comparison on a seasonal scale. We then look into a comparison of the perspectives of the influence of wind speed, Hg emission, and solar radiation. The overall goal of these comparisons is to perform a multifaceted inspection of the comparisons so as to reveal and evaluate the performance of the various approaches for obtaining the Hg water/air transfer coefficients.
Comparison of the TTF Model-based kw with the kn values obtained using the models (k1–k4) on a daily scale. Table 2 summarizes the Hg water/air transfer coefficients obtained using the TTF Model and the various wind-based models (Models 1–3).
Table 2.
Summary of the Hg transfer coefficients calculated using various wind-based Hg transfer models (k1, k2, k3 for Models 1–3) compared with the Hg transfer coefficients calculated from the TTF Model (kw).
Table 2 shows two distinct features for the various Hg transfer coefficients (kw, k1, k2, k3, and k4). First, the k1 values are much lower than the kw values (by one order of magnitude), while the k3 values are much higher than the kw values (by one to two orders of magnitude). This is as expected, since the k3 value calculated with Model 3 is for the high-wind regimes characteristic of oceans and large lakes, but the lake for this study (CCL) is a small one [10,11] with low-wind regimes (u10 < 4 m h−1). Second, although lower, the k2 values are closer to and somewhat comparable to the kw values, while the k4 is a constant (k4 = 0.09 m h−1), falling in between the k1 and k3 values. These features hold true for all the kn values across all sampling days.
To further reveal more specific comparison patterns for various individual sampling days, a closer look at the comparison among the various Hg transfer coefficients is useful. Figure 16 shows an interesting pattern, i.e., although the kw (left Y axis) and k3 (right Y axis) values are about two orders of magnitude apart, these two sets of k values share the same temporal trend, following each other considerably closely across the warm seasons from the summer to the mid-fall. Interestingly, this trend for the warm times does not materialize clearly for the cool and cold seasons, as shown by Figure 17. This presents a different pattern, i.e., all the k values (kw and k1–k3) share more or less similar temporal trends.
Figure 16.
Comparison of the TTF Model-calculated kw results with the transfer coefficients obtained using the various wind-based Hg transfer models (k1–k3 for Models 1–3) on a daily scale for various individual sampling days during the (a,b) summer and (c) fall seasons.
Figure 17.
Comparison of the TTF Model-calculated kw results with the transfer coefficients obtained using the various wind-based Hg transfer models (k1–k3 for Models 1–3) on a daily scale for various individual sampling days during the (a) late fall and (b,c) winter seasons.
On the other hand, another different feature for the warm times is that k1 and k2 are very close to each other (Figure 16), while for the cool and cold times, all the kn values are separated from each other (Figure 17). One more feature across all the sampling days, as shown in Figure 16 and Figure 17, is that the k1 values vary the least over time (close to flat), on all the sampling days; in other words, they are the least sensitive to temporal variation.
One particularly striking feature is that for the warm times, the kw and k3 values share a distinct diurnal trend with a peak around mid-afternoon (Figure 16), while the k2 values exhibit a weak, still recognizable diurnal trend. The k1 values are too small to show any clearly recognizable diurnal trend. This feature of the diurnal trend occurs only in one of the cases for the cool and cold times, as shown by Figure 17b. This seems to suggest that, unlike in the warm and hot times, the diurnal trend is atypical for the cool and cold times.
The above features regarding the various calculated Hg transfer coefficients show that these coefficients behave differently and will generate different predictions of the Hg water/air transfer coefficients and thus different Hg exchange fluxes calculated using the various transfer models. Our kw results calculated by the TTF Model thus exhibit different behavioral features, in terms of magnitude or temporal trend, as compared with all the other kn values calculated using the wind-based models.
Comparison of the TTF Model-based kw with the kn values obtained using the models (k1–k3) on a seasonal scale. It is of interest to see if the features or patterns found from the daily comparisons also manifest on a seasonal scale. Figure 18 presents such a comparison of the TTF Model-based kw with the wind-based kn across the various seasons.
Figure 18.
Comparison of the TTF Model-calculated kw results with the transfer coefficients obtained using the various wind-based Hg transfer models (k1–k3 for Models 1–3) using the mean values on a seasonal scale.
Figure 18 shows that the TTF Model-based kw values exhibit a consistent decreasing trend from the summer to the fall and to the winter. This feature, in contrast, differs from the trend of a peak in the fall with lower mean values for both the summer and winter shared by the seasonal mean k2 and k3 values. Incidentally, the seasonal mean k3 values are much higher than all the other kn values by one to two orders of magnitude, while the kw values are significantly higher than the k2 values, which are in turn much higher than the k1 values.
Figure 19 presents a comparison of the TTF Model-based kw results with the kn values from the wind-based models using maximum values across the various seasons. Figure 20 shows a comparison of the kw values with the kn values from the wind-based models using minimum values across the various seasons. All the three k values (kw, k2, and k3) seen in Figure 19 and Figure 20 appear to share similar trends both for the maximum value comparison and for the minimum value comparison. It needs to be pointed out, however, that the trends in terms of the maximum (showing fall valleys) differ from those in terms of the minimum (showing fall peaks).
Figure 19.
Comparison of the TTF Model-calculated kw results with the transfer coefficients obtained using the various wind-based Hg transfer models (k1–k3 for Models 1–3) using the maximum values on a seasonal scale.
Figure 20.
Comparison of the TTF Model-calculated kw results with the transfer coefficients obtained using the various wind-based Hg transfer models (k1–k3 for Models 1–3) using the minimum values on a seasonal scale.
Relationship of kw with u10 as expected by various wind-based transfer models. As presented previously, the four transfer models (Models 1–4) can be viewed as assuming a single general uniform model equation of kn = a × u10b + C (n = 1–4 for b = 1, 2, 2.2, 0 for Models 1–4, respectively; Equation (43)). It is interesting to plot kw vs. u10b to observe if kw is proportional to u10b, as expected by each wind-based model.
Figure 21 together with Figure 12 (for b = 1 in Equation (43)) shows an absence of a clear, consistent linear link of kw with u101, u102, or u102.2, as predicted by the general model equation (Equation (43)), although a somewhat rough correlation trend appears to be more or less discernable, though not convincingly, between the kw and u10 values, as discussed previously. Hence, this finding suggests that the relationship between kw and wind effect appears to be more complicated than what the three wind-based models depict.
Figure 21.
The relationship of the Hg transfer coefficient kw with u10b as predicted by various wind-based Hg transfer models (kn = a × u10b + C) for (a) the case with u102 (b = 2) and (b) the case with u102.2 (b = 2.2).
4.6. Sensitivity Study of Two-Thin Film Model in Its Use to Calculate Hg Transfer Coefficients
To further evaluate the performance of the TTF Model in its use to estimate the Hg transfer coefficients across the water/air interface, it is beneficial to conduct a sensitivity study of the TTF Model with respect to each of the four model parameters (F, DGM, Ca, and KH′; Equation (36)). The sensitivity study can provide insights into how the model output (kw) responds to the variation in one particular model parameter and can show the general trends of the model output varying with each model parameter, and may lead to a revelation of the key parameter(s) that would be most sensitive, playing a significant or decisive role in controlling the model output. Moreover, a comparison of the TTF Model-calculated kw results with the outcomes of the model sensitivity study should be useful in evaluating the TTF Model’s performance.
The model sensitivity study was conducted by calculating the model output kw, using Equation (36), in response to varying one particular model parameter of interest, with the rest of the parameters fixed at selected values. The ranges of the model parameters were selected (Table 3) according to the actual values from the field study that provided the data for our TTF Model-based calculation of the Hg transfer coefficients. A total of five scenarios of the particular combination of the model parameters were selected for the model sensitivity study with respect to each of the four model parameters (F, DGM, Ca, and KH′) (Table 4, Table 5, Table 6 and Table 7).
Table 3.
The ranges of the model parameters selected for the model sensitivity study according to the data from the field Hg water/air exchange study.
Table 4.
The scenarios selected for the model sensitivity study with respect to the model parameter of Hg emission flux (kw vs. F).
Table 5.
The scenarios selected for the model sensitivity study with respect to the model parameter of DGM (kw vs. DGM).
Table 6.
The scenarios selected for the model sensitivity study with respect to the model parameter of Hg air concentration (kw vs. Ca).
Table 7.
The scenarios selected for the model sensitivity study with respect to the model parameter of Henry’s coefficient (kw vs. KH′).
Sensitivity of Hg emission flux (kw vs. F). The model equation (Equation (36)) shows that with the rest of the parameters (DGM, Ca, and KH′) fixed as the denominator of the model equation, the kw output is expected to respond to F in a linear fashion regardless of the scenarios tested (Table 4). This general sensitivity trend indeed materializes, as shown in Figure 22.
Figure 22.
The sensitivity study on the Two-Thin Film Model in its use to calculate the Hg transfer coefficients with respect to the model parameter Hg emission flux (kw vs. F) for the five scenarios selected (kw-S1–kw-S5).
Yet it is interesting to observe that the sensitivity of kw to F fails to exhibit a uniformity across all five scenarios. As a matter of fact, instead, the model sensitivity for Scenario I (Table 4, kw-S1 in Figure 22) distinctly departs significantly from the trends of the sensitivity output for the rest of the scenarios (kw-S2–kw-S5 in Figure 22). It appears that actually the kw output is sensitive to the Hg emission flux (F) only at the low values of the DGM (e.g., for early morning and/or evening-night, or cloudy times), with Ca commonly around 1.5 ng m−3 and KH′ at relatively low water temperatures with small variation. Hence, this particular model test reveals that kw is more sensitive to F under certain environmental conditions characterized by the relatively low values of the DGM, Ca, and water T. Notably, these conditions are quite close to the equilibrium condition for the Hg distribution across the water/air interface.
The denominator of Equation (36) is the DGM gradient (slope) that drives the molecular diffusion of DGM to lead to its emission (Hg emission via molecular diffusion). It can be found that kw seems to be more sensitive to F at minor diffusion push levels for Hg transfer.
Generally, the daily variation range of DGM is considerably higher than that for the air Hg concentration (Table 4). Hence, this sensitivity test seems to suggest that during the daytime and the summer and early fall seasons (warm seasons), when the DGM is usually high or higher, kw will be less or insignificantly sensitive to F. This model test with respect to F (kw vs. F) also suggests that DGM appears to stand out as a highly important model parameter. This revelation will be discussed further in the following section.
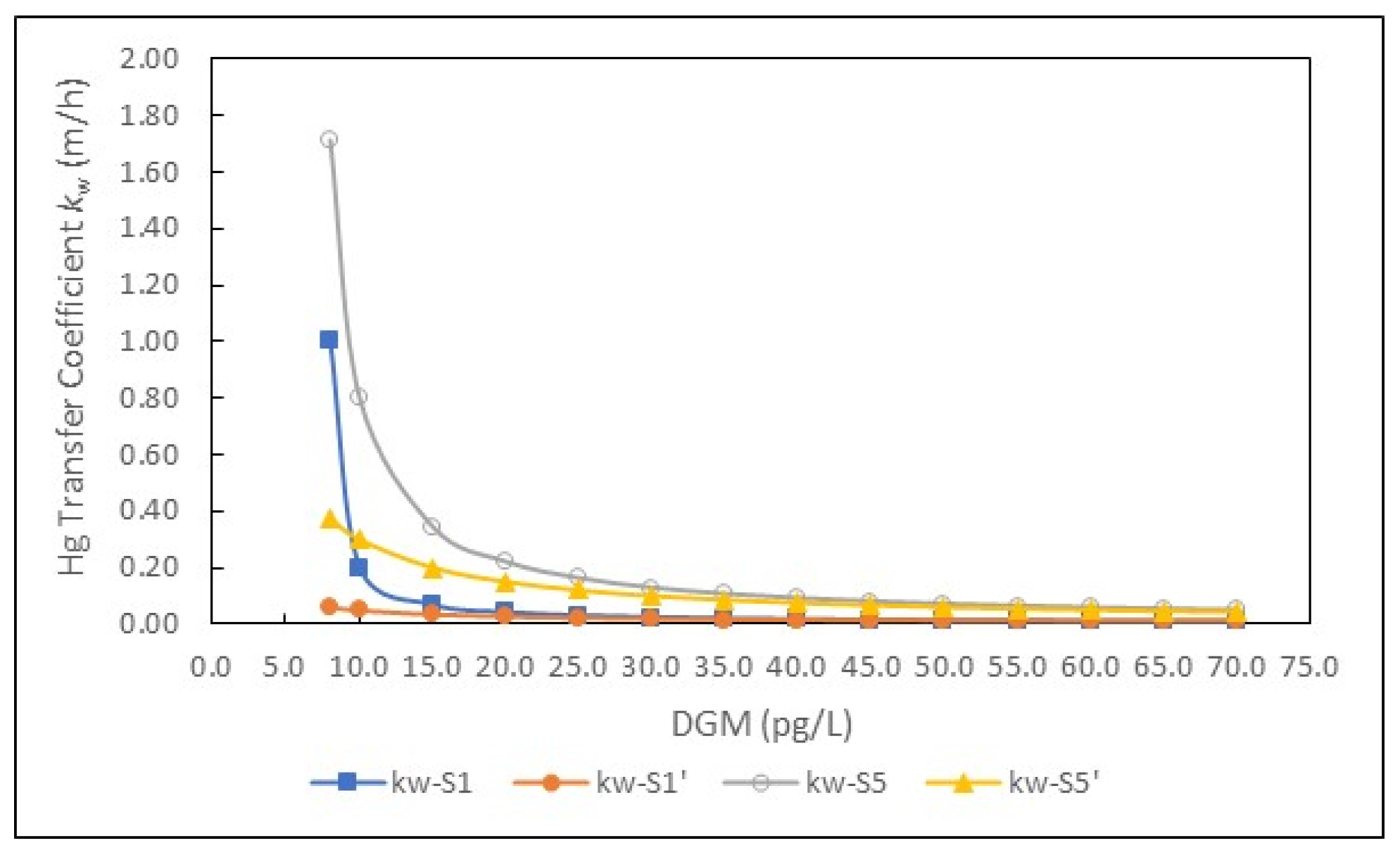
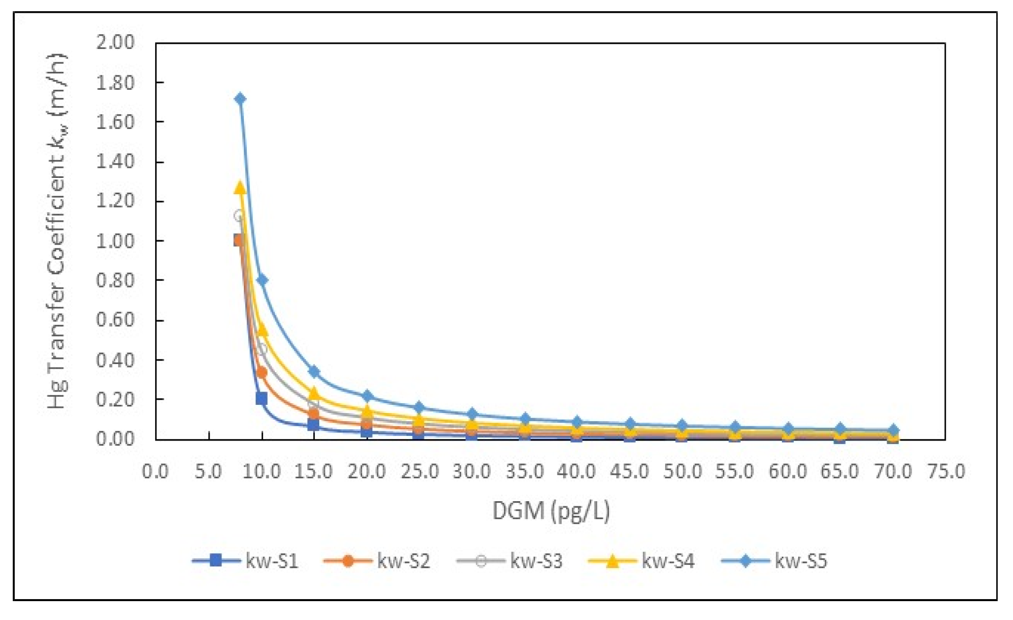
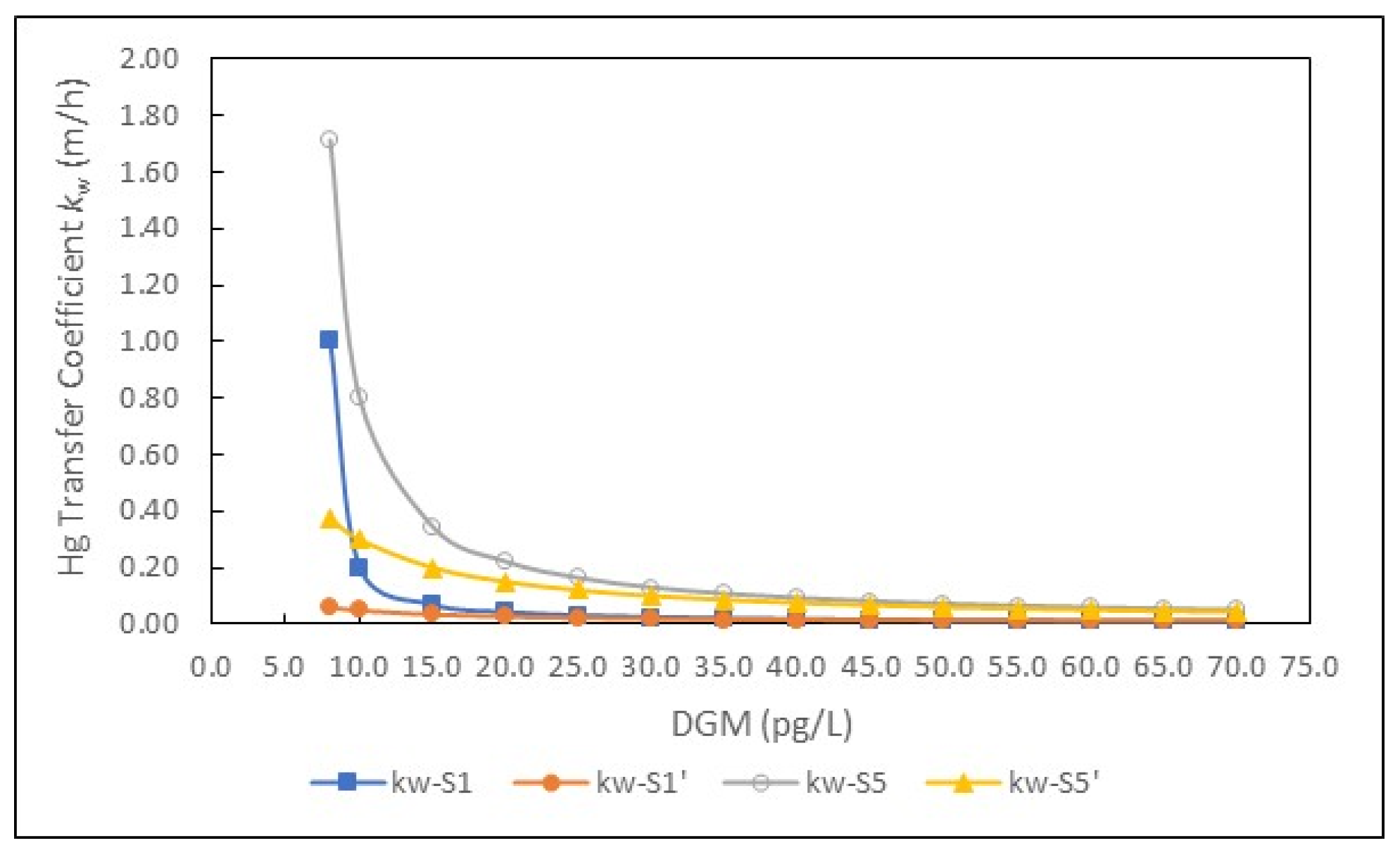
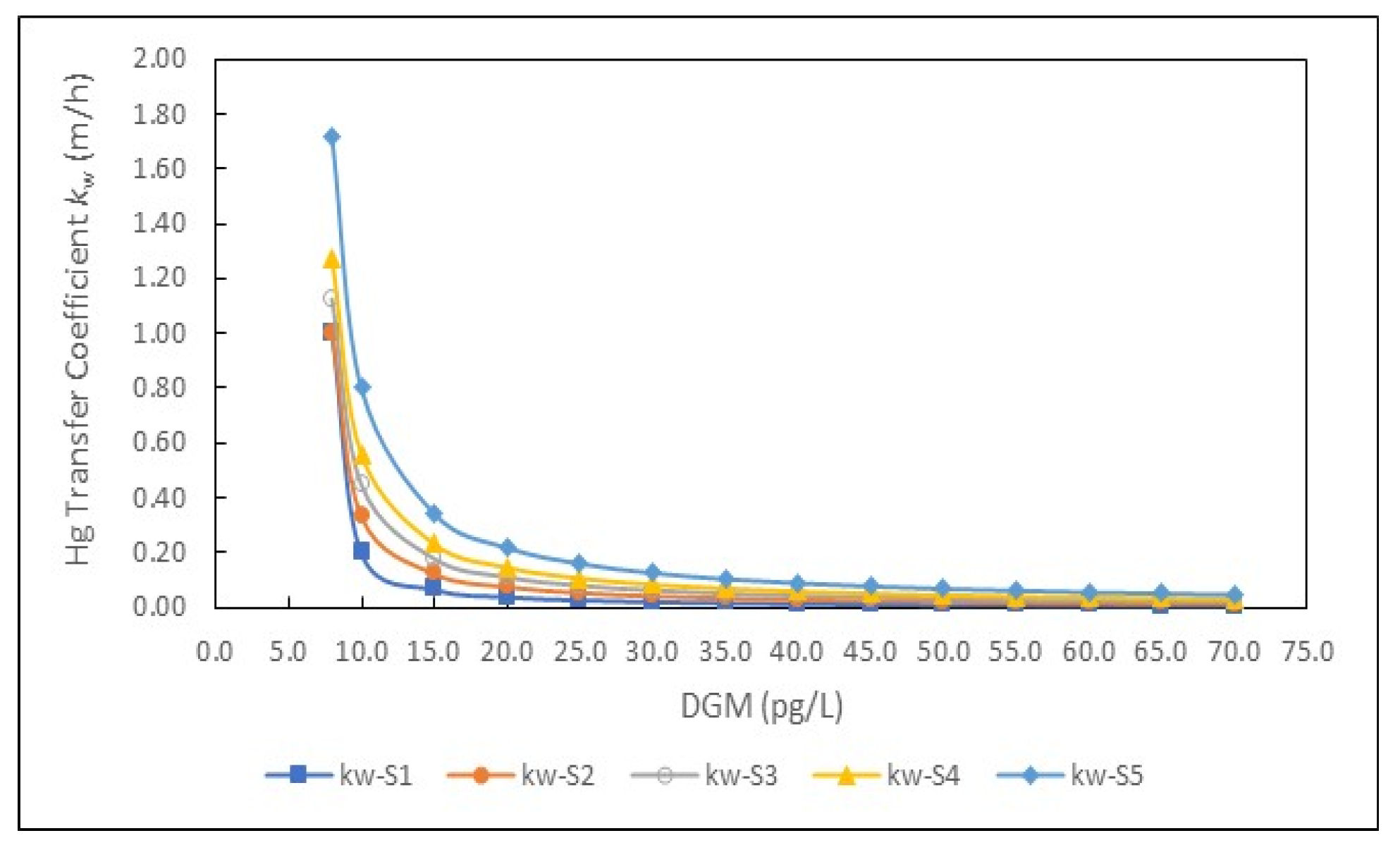
Sensitivity of dissolved gaseous Hg concentration (kw vs. DGM). Equation (36) prescribes that with the rest of the parameters (F, Ca, and KH′) fixed for the various scenarios (Table 5), the kw output is inversely exponentially proportional to the parameter DGM tested for its sensitivity. This trend is revealed by Figure 23, which shows that indeed kw is inversely exponentially proportional to DGM.
Figure 23.
The sensitivity study on the Two-Thin Film Model in its use to calculate the Hg transfer coefficients with respect to the model parameter dissolved gaseous mercury concentration (DGM) (kw vs. DGM) for the five scenarios selected (kw-S1–kw-S5).
It is interesting to observe some notable features of this sensitivity test with respect to DGM. First, the kw output is highly sensitive to DGM, but only at the very low end of the DGM values (Figure 23).
Second, at a certain DGM threshold passing the steep sensitivity phase (Figure 23), the kw response to DGM ceases to be dependent on DGM anymore. This means that above a certain DGM level, the kw output is no longer sensitive to the parameter DGM. Hence, this model test suggests that, generally, the kw output is insensitive to DGM under general circumstances, since the DGM levels in the lake in the present study and many other lakes are usually quite high over most of the year (e.g., [10]).
One more notable feature is that, unlike the outcome of the sensitivity test for the parameter F that reveals a significant departure of Scenario I (Figure 22, kw-S1) from all other scenarios (Table 4, Scenarios II–V), with the rest (Figure 22, kw-S2–kw-S5) very close to each other, the responses of kw to DGM are now all close to each other, without a notable departure in any scenario in the sensitivity test for the parameter F (Figure 22).
Since the sensitivity of kw varies with another parameter, Ca, as the denominator of Equation (36) (Scenarios I–V, Table 5), a modified sensitivity test that eliminates the Ca effect should be interesting to look into the effect of Ca on the sensitivity of kw to DGM. To this end, a minor modification of Equation (36) is invoked by removing the parameter Ca from the equation. This treatment is justified since Ca varies generally in a very small range as compared to the other parameters (Table 5), and KH′ is a constant. This modification leads to a simplified equation in the form of kw = F/DGM.
Figure 24 shows the kw response to the DGM under the modification for the two most separate scenarios (Scenarios I and V, Table 5). This additional sensitivity test reveals that above certain DGM threshold values at the very low end of the DGM range tested, the kw output ceases to depend on the model parameter Ca (Figure 24). This finding suggests that Ca is not a sensitive model parameter and only plays a minor role in affecting kw. This notion will be further illustrated and verified next with an elaborated investigation into the sensitivity of kw to the parameter Ca.
Figure 24.
A case comparison for the sensitivity study on the Two-Thin Film Model in its use to calculate the Hg transfer coefficients for the parameter of dissolved gaseous mercury concentration (DGM) (kw vs. DGM) in the case of using the original model equation (Equation (36)) for the two contrasting scenarios selected (kw-S1 and kw-S5) with the case of using the modified model equation (kw = F/DGM) for the two corresponding contrasting scenarios (kw-S1′ and kw-S5′).
Sensitivity of air Hg concentration (kw vs. Ca). The model equation (Equation (36)) stipulates that with the rest of the parameters (F, DGM, and KH) fixed (Table 6), the kw output is expected to be exponentially proportional to Ca, as shown in Figure 25.
Figure 25.
The sensitivity study on the Two-Thin Film Model in its use to calculate the Hg transfer coefficients with respect to the model parameter air mercury concentration (Ca) over the lake (kw vs. Ca) for the five scenarios selected (kw-S1–kw-S5).
It is interesting to note the same sensitivity features for F, i.e., first, the outcome for Scenario I significantly departs from all the other scenarios, and, second, virtually no kw output difference is apparent for all the scenarios at the very low end of the Ca values, as shown in Figure 25. This shows that only Scenario I results in a high sensitivity of kw to Ca at Ca > 2 ng m−3. In summary, this sensitivity test reveals that, generally, kw is not quite sensitive to Ca at the common Ca levels encountered in ambient air environments (i.e., Ca < 2 ng m−3).
Sensitivity of Henry’s coefficient (kw vs. KH′). The same feature of a departure for Scenario I as for F and Ca also occurs for KH′ (Figure 26, Table 7). Yet this is prominent only at the very low end of the KH′ range, especially in a very narrow range. This suggests that KH′ appears to be the least sensitive, followed by Ca. These findings can be attributed to the narrow ranges of the two parameters actually encountered in the environments.
Figure 26.
The sensitivity study on the Two-Thin Film Model in its use to calculate the Hg transfer coefficients with respect to the model parameter Henry coefficient (kw vs. KH′) for the five scenarios selected (kw-S1–kw-S5).
Model sensitivity study summary. Our sensitivity study reveals several interesting, insightful findings regarding the performance of the TTF Model. First, kw appears to be more sensitive mainly at the low values (high values in the case of the Ca) of the model parameters tested, and, furthermore, beyond a certain threshold, kw ceases to be sensitive. This feature holds the same for all the parameters tested. Second, this sensitivity study suggests that at the low values for F, DGM, and KH′ and the high Ca values, these model parameters appear to roughly follow the sensitivity order from high to low given below, especially at the parameter values commonly encountered in the environments:
DGM > F > Ca > KH′
Our model sensitivity study leads to the following general finding: kw is actually not quite sensitive to any particular parameter, be it F, DGM, Ca, or KH′, at those parameter values commonly encountered in the environments. The kw output appears to be sensitive only at the parameter values less common in real environments. The interpretation and implication of this finding remain to be revealed.
Comparison of the Hg transfer coefficient (kw) results with model sensitivity study outcomes. The sensitivity study enjoys a benefit that its outcomes provide a benchmark for the theoretic (ideal) model performance expected for each model parameter. In other words, if the model works fine, with all the assumptions held valid without compromise, the relationships between the calculated kw and each model parameter should be expected to echo the sensitivity study outputs. Interestingly, however, it turns out that the expected kw calculation results following the same or similar trends predicted by the sensitivity study fail to materialize, except for the parameter DGM, as elaborated below.
First, regarding the emission flux (F), Figure 27 does not show the same trend as given by the sensitivity test (Figure 22), which exhibits a clear linear relationship of kw vs. F. Instead, there exists no clear regular trend identifiable between kw and F (Figure 27). A data condensation treatment to present the relationship of kw vs. the daily mean flux still fails to deliver any clear, recognizable, regular trend (Figure 28), not mentioning the trend closely following that observed in the model sensitivity test (Figure 22). The absence of the expected relationship of kw vs. F calls for a further probe into this interesting finding.
Figure 27.
The calculated Hg transfer coefficients (kw) in relation to the Hg emission flux (F) for all the individual coupled data of all sampling days.
Figure 28.
The calculated Hg transfer coefficients (kw) in relation to the Hg emission flux (F) for the daily mean kw vs. the daily mean Hg emission fluxes for all sampling days.
Second, with respect to DGM, interestingly, the relationship between kw and DGM (Figure 29) indeed exhibits a trend closely echoing the trend seen in the sensitivity test (Figure 23). This seems to reflect kw’s nature, i.e., that the kw is generally not sensitive to DGM under the circumstances of DGM being higher than ~20 pg L−1.
Figure 29.
The calculated Hg transfer coefficients (kw) in relation to the dissolved gaseous mercury (DGM) concentration for all the individual coupled data of all sampling days.
Third, for the Ca, the same appears as for F, i.e., no clear trend (Figure 30). Yet even without the expected trend (Figure 27), the trend for Ca (Figure 30) appears to mimic that for F (Figure 27), both somewhat exhibiting a bell shape.
Figure 30.
The calculated Hg transfer coefficients (kw) in relation to the air Hg concentration (Ca) for all the individual coupled data for all sampling days.
Fourth, for KH′, the trend (Figure 31) fails to follow that seen in the sensitivity test (Figure 26). The trend also exhibits a bell shape, although less recognizable or typical.
Figure 31.
The calculated Hg transfer coefficients (kw) in relation to the Henry coefficient (KH) for all the individual coupled data for all sampling days.
In summary, the TTF Model-calculated kw results do not exhibit the expected trends as predicted by the model sensitivity study. This finding seems to hint that the TTF Model may have some limitations if considered as a reliable tool for calculating kw. This may also suggest that interfacial Hg transfer is considerably more complicated, involving a group of factors beyond just wind/wave, as elaborated in a subsequent section.
General scope of TTF Model-calculated Hg transfer coefficients. As a predictive tool, the TTF Model can be used to explore the general scope of the interfacial Hg transfer coefficients (Table 8). This exercise considers several scenarios to cover the common schemes of the Hg transfer described by the model parameters (F, DGM, Ca, KH′, and Tw). The scope obtained (Table 8) yields a general prediction of the kw values in the range of 0.04–0.07 m h−1. Interestingly, this scope turns out to be somewhat comparable to Model 4 (k4 = 0.09 m h−1). Other prediction scenarios of interest may be explored using the TTF Model as desired.
Table 8.
The general scope of the interfacial Hg transfer coefficients predicted by the Two-Thin Film Model for various scenarios.
4.7. Evaluation of Performance of TTF Model in Calculating Hg Transfer Coefficients
Our study offers the Hg transfer coefficients (kw) from an alternative, independent approach (TTF Model calculation using the field data of F, DGM, and Ca). The results are useful in seeking insights into the actual Hg transfer across the water/air interface. An evaluation of the TTF Model’s performance in estimating the Hg transfer coefficients and extracting insights from the evaluation should serve desirably. It is beneficial to review the major results of this study before a multifaceted evaluation of the model performance proceeds to look into the essential nature of aquatic Hg water/air exchange.
Summary of major outcomes and findings of the application of the TTF Model. This summary focuses on the following three major areas:
- (a)
- TTF Model-calculated Hg transfer coefficients in relation to the effect of wind and solar radiation. The results in this aspect show that a clear, consistent correlation between the calculated transfer coefficients and the wind speed data fails to emerge (Figure 12 and Figure 13, Table 1). The same holds true for the solar radiation effect (Figure 14 and Figure 15, Table 1).
- (b)
- Comparison of Hg transfer coefficient calculation results with TTF Model sensitivity study outcomes. Generally, our study shows a lack of the expected kw results that follow similar trends predicted by the model sensitivity study (Figure 28, Figure 29, Figure 30, Figure 31 and Figure 32).
Figure 32. Comparison of the TTF Model-calculated Hg transfer coefficients (kw) with the DGM saturation (DGM Sat (%)) for the individual DGM data. - (c)
- Comparison of TTF Model-calculated Hg transfer coefficients with those using wind-based models. The comparison of our calculation results with those using solely wind-based models for handling water/air transfer shows that the TTF Model-based results depart from those of wind-based models (Figure 16, Figure 17, Figure 18, Figure 19 and Figure 20, Table 2).
Analysis of TTF Model and its application to Hg water/air exchange. The results and discussion we have presented call for a further analysis of the TTF Model and its application to Hg water/air exchange. Our TTF Model-based kw results lead to three distinct findings: (a) the lack of a clear correlation of the calculated kw with wind and solar radiation; (b) the lack of response of the calculated kw to the model parameters as expected from the model sensitivity study; and (c) the lack of the calculated kw results comparable to those from the various wind-based models. These findings all point to a departure of the TTF Model’s performance from conventional expectations.
There is a pressing need to look into the model’s failure to satisfactorily meet the expectations. Our synthesis of all the kw calculation results and the outcomes of the various comparisons leads to the emergence of several major areas that warrant close scrutiny: (1) the TTF Model assumptions, (2) wind effects, (3) the approach of the use of tracer gases, (4) the use of measured Hg emission flux data in kw calculations, and (5) the limitation of the TTF Model in its capturing of the actual Hg transfer across water/air interfaces in lakes.
(1) TTF Model assumptions. The TTF Model resorts to a hybrid construction of the thermodynamic equilibrium and dynamic transfer. One major pivotal assumption of the TTF Model is the interfacial equilibrium of the Hg distribution between the water and air films. This has a multifaceted meaning. First, the Hg distribution retains the equilibrium equation of KH′ = Csa/Csw (Equation (9)). Second, any Hg exchange across the interface would not disturb or shift the equilibrium. Moreover, it is also notable that the diffusive Hg transfer driven by the interfacial Hg gradient is actually still ongoing concurrently (simultaneous Hg emission) at the equilibrium.
The above equilibrium assumption for the interfacial Hg distribution warrants keen scrutiny. First, theoretically, at equilibrium, even in the sense of a dynamic equilibrium, there should exist a state in which the emission rate balances the deposition rate (Femission = Fdeposition). This state stipulates that no net emission is occurring. On the other hand, the presence of actual Hg emission means ongoing Hg transfer, indicating the presence of an interfacial disequilibrium and a dynamic process to reach an equilibrium via the transfer. The fact that the Hg emission fluxes were actually obtained thus led to a self-contradiction between the simultaneous coexistence of both the Hg distribution equilibrium and the Hg emission across the water/air interface.
Second, practically, the presence of the Hg distribution equilibrium can be tested by an inspection of the regimes of the DGM Saturation (%) (defined as the ratio of the DGM concentration actually measured to that at the equilibrium, i.e., DGM Sat (%) = [DGM/(Ca/KH′)] × 100) [47]. At the equilibrium, DGM Sat (%) thus should be 100%. Any DGM saturation scenario of below or above 100% then indicates a departure of the Hg distribution from the equilibrium.
Our DGM Sat (%) data clearly show a predominant DGM oversaturation (Figure 32). This evidently challenges the assumption of an equilibrium for the Hg distribution across the water/air interface. Furthermore, the considerably high DGM Sat (%) levels indicate significant departures from the equilibrium. These findings cast a measurable doubt on the equilibrium assumption and thus implicate a notable weakness of the TTF Model in its application to Hg water/air exchange.
It is well-known that aquatic DGM is commonly saturated or oversaturated [11,47], far away from the equilibrium, especially in sunlight with ongoing active photochemical DGM generation. It is thus not unexpected that the TTF Model would fail to give realistic kw values, especially under sunny conditions in which disequilibrium prevails.
The DGM oversaturation should reinforce a high Hg gradient, intensifying the Hg emission, which would then result in disturbance of the Hg distribution equilibrium. The equilibrium of the interfacial Hg distribution then cannot be sustained. The departure of the Hg distribution from the equilibrium thus may serve as a prominent contribution to the unsatisfied TTF Model’s performance and the lack of the expected outcomes.
Incidentally, Figure 32 shows a curious trend that the higher the DGM Sat (%), the lower the kw, and, moreover, at a DGM Sat (%) above ~400%, the kw values all approach a very low plateau. This contradicts the expectation that higher DGM levels would lead to steeper interfacial Hg gradients, which in turn should mean that higher kw values would be obtained.
A view of the above trend would be as follows. Although all the DGM Sat (%) values are above 100% (Figure 32), some are close or closer to the critical point of 100%. Hence, the kw values at or around 100% may be viewed as those actually or closely representing the authentic kw values, since at around 100% the Hg distribution equilibrium assumption is more reasonable. This finding reinforces the doubt casted on the equilibrium assumption. This reasoning would also lead to the notion that the kw values with the DGM Sat (%) at or around 100% would be approximately valid or relatively more valid. Our results from this study show that the kw values close to the 100% point are ~0.3–0.4 m h−1 for the DGM Sat (%) at ~130–150% (Figure 32). Curiously, these kw values are significantly higher than those predicted by the TTF Model (Table 8) and Model 4 (0.09 m h−1).
It is interesting to look at the relation between the DGM Sat (%) and those coefficients (kn) from Models 1–3 (k1, k2, and k3) shown for k2 (Figure 33). This reveals an interesting finding: these relationships (the kn vs. DGM Sat (%) curves) all appear to take an L shape (Figure 33). An elaborated observation shows that the L shape is most typical for k1 (very sharp L) and less so for k2 and k3. Furthermore, these shapes appear to take a power form as the best correlation with the highest R2 among the various correlation models (exponential, logarithmic, polynomial, and power), although the R2 values are still all below 0.55 (R2 = 0.30, 0.51, 0.54 for k1, k2, k3, respectively).
Figure 33.
The relationship between the DGM saturation data (DGM Sat (%)) and the wind-based Hg transfer coefficients calculated using Model 2 (k2).
Notably, only kw involves DGM (Equation (36)), while kn involves solely the wind (u10) (Equations (37)–(41)). The L shape in Figure 33 confirms the independence of kn with respect to the DGM. This may create an illusion that the wind-based kn can be adopted regardless of whether a Hg distribution equilibrium exists (DGM Sat (%) ≈ 100%). Our analysis of the kw vs. DGM Sat (%) relation reinforces the notion that adoption of an Hg transfer coefficient from any model would be valid only when the equilibrium assumption is indeed or closely satisfied.
Interestingly, as compared to the L shape for kn, our kw vs. DGM Sat (%) relation does not appear to exhibit a typical L shape (Figure 32). Instead, kw seems to relate to the DGM Sat (%) more closely, which is supported by the best power correlation (R2 = 0.63, Figure 32) as compared to the R2 for kn (R2 < 0.55) (Figure 33). This is consistent with the fact that kw is calculated using the TTF Model with DGM as a required parameter (Equation (36)).
It needs to be mentioned that an issue was brough out concerning the empirical equivalency of the measured DGM to the concentration of the Hg(0) actually dissolved in water [46]. DGM is commonly determined by purging a water sample with an inert gas (e.g., Ar, high-purity air), followed by quantifying the purged Hg(0). It may be possible that the former could be higher than the latter (DGMmeasured > DGMreal). Some Hg(0), for example, may exist in bubbles in the sample. The chemistry of dissolving Hg(0) and the real dissolved form of Hg(0) in water remain to be fully revealed and understood.
Another notable observation of the equilibrium assumption is that this actually turns a dynamic transfer process into an equilibrium phenomenon. The item of (DGM − Ca/KH′) in Equation (35) means that the flux is proportional to the difference between the actual Hg(0) concentration (DGM) and the equilibrium Hg(0) concentration given by Ca/KH′ [35]. This concentration difference essentially differs from the concentration gradient along the vertical transfer path in the dynamic interfacial transfer process. Hence, this equilibrium assumption leaves an implicit inconsistency.
Nevertheless, one major benefit of the equilibrium assumption is the replacement of non-measurable parameters (Csa and Csw) with measurable parameters (KH′ or H and Ca), as shown in the derivation of the model equation (Equation (13)). Moreover, the adoption of Ca/KH′ in the TTF model equation (Equation (36)) renders the kw value depend largely on DGM, since Ca/KH′ generally varies only slightly, considering frequent air mixing above water and a narrow range of water temperature variation, as demonstrated by the model sensitivity study (Figure 25 and Figure 26).
In addition to the equilibrium assumption, other TTF Model assumptions also may be subject to scrutiny. The assumption of a steady flux across the interface (Assumption 7) is one of this kind. The physical realism of this assumption remains debatable since, affected by wind and wave, turbulent transfer is hardly steady, especially at the water/air interface [34]. Moreover, the resistance of the air-side film is much lower than that of the water-side film (ka, Hg = 9 m h−1, kw, Hg = 0.09 m h−1, ka/kw ≥ 100, 1/kw >> 1/ka) [7,25]. This suggests that the transfer through the air-side film would be faster than through the water-side film. Hence, the assumption of a steady-state transfer flux across the interface layer is challengeable.
The last assumption (Assumption 8) of no or of a fast chemical reaction of the transfer species certainly also invites a close inspection. As mentioned previously, Hg is subject to continuous chemical transformation, especially in the presence of sunlight. Photochemical redox transformation and cycling of Hg(II) and Hg(0) can occur prevalently in aquatic surface layers [48,49,50,51]. This clearly challenges this assumption.
All the discussions now seem to converge on the following notion: the departure from the assumption of an Hg distribution equilibrium across the water/air interface and failing or weakened validation of other TTF Model assumptions in real cases of interfacial Hg transfer appear to be prominent factors regarding the performance of the TTF Model in estimating Hg transfer coefficients. Hence, our analysis along the line of the TTF Model assumptions gives rise to an important outcome of this study: the absence of the interfacial Hg distribution equilibrium, which is required by the TTF Model, may in part account for the inconsistency and unsatisfied expectations shown for the calculated kw values and the various comparison outcomes involving kw.
(2) Effect of wind and waves. Wind/waves are known to affect interfacial mass transfer (Equation (23)). kw can depend on the turbulence of the interface as a result of previous wind occurrences. Short spurts of strong wind can cause an exponential kw increase.
Yet the incorporation of wind speed (u10) in the wind-based transfer models may pose a question: the wind speed measured in situ momentarily at the field meteorological tower/post above the ground or water surface may differ from that actually imposed upon (felt by) the water. A delay of the wind effect may occur from the moment when the wind speed is measured to the moment when the wind actually acts at the water surface. Hence, the wind measured may not synchronize with the real wind in action at the water surface. This may become even more significant, as wind can change instantly and frequently.
On the other hand, wind-based coefficients are obtained with the wind imposed on the water surface constantly at the tested speed continuously to reach a steady state throughout wind-tunnel tests. Yet this experimental condition seldom materializes in the field. Moreover, although some connection may exist between wind speed and wind/wave effects, the correlation between the wind speed and exchange coefficient may not be necessarily representative of the correlation between the actual wind/wave effect and the coefficient. There may exist a departure of these two correlations from each other. The interrelationship among wind speed, wind/wave effects, and interfacial gas exchange remains to be fully revealed and understood. The departure of the measured wind speeds from the actual wind conditions on the water surface then may in part contribute to the unexpected wind effect observations, as previously discussed (Section 4.3).
(3) Use of a tracer gas for obtaining interfacial Hg exchange coefficients. Since the interfacial Hg exchange coefficient used in the TTF Model remains unavailable experimentally, it is commonly obtained using a tracer gas (e.g., CO2, Rn) and the coefficient is then related to that of a tracer gas by the Graham’s law approach or the Schmidt number ratio approach. The two approaches are actually equivalent or related. If the fluid in which the gas transfer occurs is identical for both Hg and the tracer gas (e.g., water), μ (fluid kinematic viscosity) and ρ (fluid density) (Equation (18)) then can be canceled in the Schmidt number ratio (Equations (19) and (20)), and this ratio can be reduced to the ratio of the gas diffusivities (D) for Hg and the tracer gas, which leads to the same D ratio as in the Graham’s law approach (Equation (17)).
It follows that the above two approaches function quite similarly and share the same assumptions. These include two basic ones: (a) Hg and the tracer gas behave identically in the interfacial gas exchange, with the only difference being their molecular size (i.e., atomic or molecular mass) and thus their diffusivity, and (b) only molecular diffusion is involved in the gas exchange (no turbulent transfer), as shown by Equations (17)–(20). Yet, actually, these assumptions can be far from satisfied.
Notably, CO2 is reactive in water, and, once dissolved, it can form H2CO3 (CO2 + H2O ↔ H2CO3 ↔ H+ + HCO3− ↔ 2H+ + CO32–), while Rn is inert. The reaction of CO2 with H2O can make CO2 much less saturated compared to Hg(0). CO2 and Rn thus would enjoy a better satisfaction of the interfacial distribution equilibrium assumption than Hg(0). On the other hand, Hg actively engages in (photo)redox cycling (Hg(0) ↔ Hg2+ + 2e−) in water, and the interfacial Hg exchange surely involves turbulent transfer on many occasions. Hence, the unsatisfaction regarding the above two assumptions may in part contribute to the outcomes of the various comparisons that depart from the expectations.
(4) Use of measured DGM emission flux data in TTF Model-based kw calculations. The gas emission flux is a theoretic, conceptual flux as defined by the TTF Model. The actual flux has to be obtained through field measurement, using two common methods widely adopted, the dynamic flux chamber (DFC) method or the micrometeorological (MM) methods. The flux data used in this study come from the DFC measurements.
The DFC method has certain operational features [52,53] that are different from the MM methods [25,45,46]. It should be interesting to find and see the kw results using the flux data obtained by the MM methods. A comparison between the results from these two types of methods would be of interest. This is certainly an inviting future research need. It needs to be pointed out that our model sensitivity study shows that the emission flux generally is not a sensitive model parameter in actual cases (Figure 23, Table 4).
(5) Actual Hg transfer across the water/air interface and limitations of the current models for interfacial Hg exchange. A review of some fundamentals is beneficial for a clear discussion in consistent terms. First, it is useful to classify mass transfers into two basic models, the Diffusion Coefficient (DC) Model and the Transfer Coefficient (TC) Model [54]:
where D and k (k = D/distance) are the diffusion and transfer coefficients, respectively; ΔC is the concentration difference; and d is the distance along the transfer path. The DC Model is more theoretically based, while the TC Model is more empirical [54]. The TTF Model is formulated in terms of the TC Model (Equation (35)).
Flux = D × ΔC/d (DC Model)
Flux = k × ΔC (TC Model)
Second, interchangeable use of the two terms “diffusion” and “transfer” may cause confusion. It should be helpful to distinguish between the two. Strictly, “diffusion” means molecular diffusion driven by entropy difference (the essence of concentration gradient), while “transfer” means mass transport of various kinds and causes, including diffusive transfer (molecular diffusion) and turbulent transfer caused and controlled by turbulence, associated with wind/wave effects.
Hg transfer across the water/air interface involves dynamic processes as a result of non-equilibrium conditions for the aquatic interfacial Hg distribution. The Second Law of Thermodynamics stipulates that entropy (S) spontaneously goes from a low to a high state to reach the equalized state (equilibrium) irreversibly, and the concentration gradient thus changes from high to low during molecular diffusive transfer. This phenomenon follows the general form [36]:
where the Force is characteristic of a potential gradient, while the Resistance is analogously the inverse of the Conductance. Molecular diffusion has the same mathematical basis as Ohm’s law (I = V/R). Equation (46) provides the fundamental flux equation for molecular diffusive transfer conceptually and thus serves as the very foundation for the forthcoming discussions.
Flux = Force/Resistance or Flux = Force × Conductance
The general mass transfer equation for molecular diffusion is given by Fick’s first law of diffusion for a one-dimensional transfer of a species A (DC Model) [28]:
where JAz is the molar flux per area, c2 is the molar density of the fluid, DA2 is the diffusion coefficient (cm2 s−1), xA is the mole fraction of A in the fluid, and z is the distance.
JAz = –c2DA2 dxA/dz
Two conditions can occur, in addition to molecular diffusive transfer: the occurrence of (a) advective mass transfer and (b) turbulent mass transfer. In the presence of advective transfer (transfer by bulk fluid flow), the general mass transfer equation is as follows [28]:
where NA is the total flux in molar form and vz is the advective velocity. In the absence of advective transfer, the above equation goes back to the original Fick’s law (Equation (47)).
NA = advective transfer + diffusive transfer
NA = c2vzxA − c2DA2dxA/dz
Mass transfer across the water/air interface in natural waters involves turbulent transfer. Complex interactions between air and aquatic turbulent waves thus can make the relationship between flux and force more complicated than a simple linear relationship with a constant resistance, which is subject to physical laws governing wind/waves as well as aquatic physics involving fluid properties and turbulent flows [36]. In the presence of turbulent transfer, since this is imposed upon and inseparable from the diffusive transfer, the Fick’s law equation is considered to take the following form [28]:
where the superscript l with D stands for laminar transfer (no turbulence) and t stands for turbulent transfer. Likewise, in the absence of turbulent transfer, Equation (50) returns to Equation (47).
JAz = –c2(D(l)A2 + D(t)A2)dxA/dz
Given the overall diffusion coefficient DA2 = D(l)/A2 + D(t)A2, two cases are of interest: (a) Case I for low or minimum winds/waves and (b) Case II for high winds/waves.
For Case I, low u10 (low-wind/wave regime),
DA2 = (D(l)A2 + D(t)A2)
For Case II, high u10 (high-wind/wave regime), D(t)A2 > D(l)/A2, when D(t)A2 >> D(l)/A2,
DA2 = (D(l)A2 + D(t)A2) ≈ D(t)A2
Inspecting our u10 data, we can see that the u10 values are generally below 4 m s−1, falling in Case I. Both molecular and turbulent transfers thus would be expected to operate in actual Hg transfer. It follows that the kn values from Models 1–3 based solely on the wind/wave effects may not sufficiently capture the actual interfacial Hg transfer.
The above discussion results in the following finding: the consideration of Case I in our case (u10 < 4 m s−1) leads to the notion that Hg transfer involves both molecular and turbulent transfers. This is consistent with and supported by the outcome of the model comparison study (our kw vs. kn of Models 1–3) that our kw values are all higher than the k1 and k2 values from the wind-based models (Table 2). A study on the Hg emissions from some Canadian lakes [7] also reported that the wind-based models did not work well upon applying the TTM Model for the low-wind regimes.
On the other hand, our results do not show a clear correlation between the kw and u10, which suggests that the kw-u10 relation probably does not simply follow kw = Au10α + B (Equation (23)). This implicates that wind/wave does affect Hg transfer, but not via some simple correlation(s), none having been found in this study. Instead, the kw-u10 link is more complicated, irregular, or even non-repeatable. This indicates that the Hg transfer is not controlled solely by wind but rather by a group of factors, e.g., wind, solar radiation, etc.
From another aspect, previously, the kn values from four models (Models 1–4) were compared with our kw results (Table 2). Among the models, Model 4 adopts a constant value of 0.09 m h−1 for the Hg transfer coefficient. This value may offer an interesting, additional perspective to inspect the calculated kw results and then look into the actual interfacial Hg transfer.
First of all, given the value of 0.09 m h−1 accepted without further scrutiny, this value is significantly higher than the k1 values and considerably higher than the k2 values (Table 2). This indicates that under the low-wind regimes (u10 < 4 m s−1), molecular diffusion needs to be considered (Equation (51), Case I), since the wind-based transfer coefficients have values < 0.09 m h−1, which is considered to be for molecular diffusive transfer without wind effects.
On the other hand, interestingly, two findings emerge, as seen in Figure 34. First, within the range of u10 < 4 m h−1 obtained in this study, the cases of kw > 0.09 and kw < 0.09 m h−1 coexist. Second, this coexistence appears at both the low- and high-u10 sides and in the middle u10 range as well. This observation shows that various wind regimes occur at the sides of the kw values lower and higher than 0.09 m h−1. It remains desirable to explain this interesting coexistence occurring regardless of the wind speed regimes.
Figure 34.
Comparison of the range of the TTF Model-calculated Hg transfer coefficient (kw) with the range of the wind speed (u10).
In addition to Model 4 (k4 = 0.09 m h−1), a previous similar model adopted a value of 0.15 m h−1 instead, using a modified Graham’s law approach (kHg(0) = kRn(DHg(0)/DRn)1/2, kRn = 0.10 m h−1, DHg(0) = 2.9 × 10−5 cm2 s−1, DRn = 1.4 × 10−5 cm2 s−1 at 24 °C, where kHg(0) is the average transfer velocity for Hg(0), kRn is the average transfer velocity for Rn (tracer gas) in the equatorial Pacific Ocean, DHg(0) is the diffusivity of Hg(0), and DRn is the diffusivity of Rn) [47]. These two values are not far apart from each other. An adoption of 0.15 m h−1, instead of 0.09 m h−1, would still lead to similar findings to those obtained with the use of 0.09 m h−1.
The above findings and discussions suggest that kw is not a constant as Model 4 prescribes, and thus interfacial Hg exchange probably involves both molecular diffusion and some kind of turbulent transfer to various extents. A constant kw would imply a dominant diffusive transfer with the absence or ignorance of the wind-facilitated turbulent transfer.
Under the circumstances of very low wind speeds or an absence of wind (u10 → 0) and DGM Sat (%) → 100%, kw may be considered to represent the value just for diffusive Hg transfer. The kw value under the conditions closest to the above criteria available from our dataset in this study (u10 = 0.31 m s−1, DGM Sat (%) = 287%) is 0.048 m h−1. This falls in the range of 0.04–0.07 m h−1 for the general scope of the interfacial Hg transfer coefficient prescribed by the TTF Model (Table 8), and it somewhat deviates from, or is close to, the value of 0.09 m h−1 from Model 4.
The effects of solar radiation and aquatic photochemical processes on Hg water/air exchange has been acknowledged previously in a speculation that solar radiation and photochemical processes could potentially modify the physical properties of the water/air interface and consequently alter the interfacial exchange rates [55]. The phenomenon shown in Figure 33 (the L shape of kn vs. DGM Sat (%)) might be a manifestation of the role of sunlight in steering Hg transfer, since aquatic Hg is known to be strongly controlled photochemically [1,5,48].
In summary, an application of the TTF Model and wind-based transfer models to estimate Hg exchange coefficients and emission fluxes involves several basic assumptions, including (a) interfacial Hg distribution equilibrium across the two thin films, (b) identical or similar behavior for Hg and tracer gases (e.g., CO2, Rn) in interfacial gas exchange, and (c) only molecular diffusion being involved in the interfacial gas exchange (turbulent transfer absent).
For high-wind speed regimes, a higher emission flux is expected, followed by lower Hg saturation, which leads to the condition closer to the equilibrium for the interfacial Hg distribution; incidentally, Hg and the tracer gases would also behave more similarly. These considerations favor assumptions (a) and (b), against (c). On the other hand, on the contrary, low-wind speed regimes would favor assumption (c), against (a) and (b).
The analyses we have attempted thus indicate that for small lakes with low-wind speed regimes encountered as exemplified by this study, the TTF Model assumptions are not readily satisfiable, and the link between kw and wind effect is more than a simple mathematical or correlational relationship; rather, interfacial Hg transfer involves both diffusive and turbulent transfers, controlled not only by wind/wave, but also by other factors, e.g., solar radiation, photochemodynamics, and those to be further revealed.
Finally, an overview of the fundamental challenge in determination of the water/air exchange coefficient should serve well at this juncture. First of all, this challenge falls in the domain of two fundamental approaches to treating water/air exchange in the presence of both molecular diffusive transfer and physical turbulent transfer:
(a) Treating the interfacial exchange as an overall process with both molecular diffusive transfer and turbulent transfer intwined together, temporally simultaneous and also spatially inseparable, as expressed below, conceptually, in terms of the DC Model:
where Joverall is the overall transfer flux; Dd and Dt are the molecular diffusive and turbulent transfer coefficients, respectively; and dC/dz is the concentration gradient. This approach then prescribes that the entropy-driven molecular diffusive transfer and the physically driven turbulent transfer are mathematically addable, that is, both are influenced by the concentration gradient in an identical manner, i.e., both are linearly proportional to the concentration gradient (dC/dz).
Joverall = Jdiffusive + Jturbulent = DddC/dz + DtdC/dz = (Dd + Dt)dC/dz
The above treatment might be questionable and thus warrants further scrutiny. An immediate inconsistency arises: hypothetically, at dC/dz = 0, the turbulent transfer flux ought to be zero (Equation (53)). Yet this contradicts the notion that turbulent transfer can still occur, even at dC/dz = 0, because it is driven by physical forces (e.g., wind/wave-caused small-scale mixing or disturbance), rather than entropy difference. Moreover, the analogue of mass transfer to Ohm’s law is valid, rigorously, only for molecular diffusive transfer (DC Model), not turbulent transfer.
An implicit assumption (prerequisite) for DtdC/dz in Equation (53) to hold valid in its derivation is the continuity of water flow in a water body when a turbulent exchange model is applied [27]. Yet even though this assumption may hold true within the water body, it becomes questionable if this still remains valid at or across the water/air interface, where the continuity is certainly broken. The validity of the assumption for DtdC/dz thus remains subject to further scrutiny in the case of gas transfers across water/air interfaces.
Our results show both lower kw values at higher wind speeds and higher kw values at lower wind speeds (Figure 34). This irregularity challenges the conventional approach adopted to describe and treat the exchange transfer at the water/air interface over aquatic bodies.
(b) Alternatively, the other approach conceptually treats molecular diffusive transfer and turbulent transfer separately in the following conceptual construction:
where Jt is the turbulent transfer flux. This approach is similar to that for advective transfer (Equations (48) and (49)). It resorts to a treatment of the turbulent transfer as a process not simply linearly proportional to the concentration gradient. It recognizes that turbulent transfer is not a microscopically entropy-driven process typical of molecular diffusion but rather one that involves macroscopic motion of parcels or blocks of fluid molecules, somewhat similar to physical mixing driven by waves. This approach thus, theoretically, leaves room for inclusion of the case where turbulent transfer can still occur at dC/dz = 0. The actual, specific expression of Jt needs to be worked out in a future study.
Joverall = DddC/dz + Jt
It appears that both approaches have merits as well as limitations. The limitations of the first approach have been discussed in this paper, while the challenge for the second approach involves more than just mathematical hurdles because a clear physical model with a sound understanding of interfacial turbulent transfer is indispensable.
Second, in addition to the issue of molecular diffusive transfer vs. physical turbulent transfer, the issue of isophase transfer vs. interfacial transfer also arises in this discussion. The major challenge for interfacial transfer concerns the interfacial barrier at the water/air interface involving water/air phase change. To transfer across this interface, Hg (or a tracer gas) must break through the strong interfacial water barrier, which involves a continuity of the liquid water phase featuring very high surface tension caused by the highly polar hydrogen bonding. This physical barrier thus would be expected to result in an interfacial Hg transfer resistance higher than the water-side film resistance (i.e., isophase transfer resistance). This notion then challenges Assumption 6 adopted for the TTF Model.
As a result, a need arises to consider a three-resistance model, i.e., Roverall = Rwater–film + Rinterface–barrier + Rair–film (Rw/a = Rw + RI + Ra). With Ra being ignored acceptably, as discussed previously, the actual Hg transfer across the water/air interface needs to be described and determined by Rw/a ≈ Rw + RI. This model may contribute to a better understanding of the TTF Model-calculated kw results and the outcomes of the various comparisons involving the results.
Incidentally, it is notable that although applicable in the case of isophase transfer, the validity of the Graham’s law approach and the Schmidt number ratio approach used to obtain the coefficient for Hg transfer across the water barrier at the water/air interface remains questionable. The role of the interfacial water barrier in steering the actual Hg transfer across the water/air interface certainly invites attention.
Our evaluation of the performance of the TTF Model in estimating the interfacial Hg transfer coefficient for small lakes indicates that this model has limitations and weaknesses. Hg transfer may involve complicated processes and factors beyond wind and waves. This calls for a novel treatment to handle the complex interfacial Hg exchange. Although still useful and valuable, especially in cases where no field flux measurement method is available or feasible, the TTF Model does have certain oversimplifications and inconsistences, and thus caution is required in its application, especially when the transfer coefficients are chosen and the results are interpreted. A pressing need thus emerges to build a novel model that can capture Hg water/air transfer as it really occurs in aquatic bodies such as lakes. Such an effort is certainly warranted and worthy.
5. Summary and Conclusions
The present research delivers a novel effort to estimate and evaluate the Hg transfer coefficients across the water/air interface in lakes such as Cane Creek Lake (CCL) by means of calculating the transfer coefficients (kw) using the Two-Thin Film Model with field-measured data for Hg emission flux (F), dissolved gaseous mercury concentration (DGM), air Hg concentration (Ca), and water temperature for Henry’s coefficient (KH′) from a separate field study at the CCL. Interesting findings and outcomes result from this study in the following areas:
- (1)
- The daily mean kw values range from 0.045 to 0.21, with the minimum at 0.0025–0.14 and the maximum at 0.079–0.41 m h−1 for the summer, and from 0.0092 to 0.15, with the minimum at 0.0032–0.033 and the maximum at 0.017–0.31 m h−1 for the fall and winter. The highest kw values occur in August (mean: 0.21, max.: 0.41 m h−1). The general trend of kw appears to show variation from the higher summer values to the lower fall and winter values with an apparent seasonal trend. This interesting kw trend remains to be further understood.
- (2)
- Our kw values add to and enrich the aquatic interfacial Hg exchange coefficient database and offer an alternative avenue to evaluate and select the coefficients in applying the TTF Model. The kw results are also of value in probing the aquatic Hg transfer that is actually occurring across the water/air interface under various environmental influences (e.g., wind/wave, solar radiation).
- (3)
- Our kw results exhibit a lack of a clear, consistent correlation between kw and wind speed. The same holds true for the effect of solar radiation. These general findings dominate in spite of some correlations found in several sporadic cases.
- (4)
- The comparisons of our kw results with those using the various adopted wind-based transfer models (Models 1–4) (kn) show that our kw results depart from those obtained using Models 1–4. The inconsistency observed between our kw values and the kn values remains to be further understood.
- (5)
- Generally, our kw values do not exhibit the expected trends, as prescribed by the model sensitivity study. This finding allows insight in terms of its implications, especially regarding the validation of the TTF Model in its applications.
The findings summarized above indicate that the TTF Model bears certain limitations and weaknesses. The major model assumption of the equilibrium of the Hg distribution between the water and air films across the water/air interface is challenged by our DGM saturation data showing predominant DGM oversaturation, which indicates significant departures from the equilibrium. This, together with the weakness of other assumptions, indicates the limitation of the TTF Model in its application to the Hg water/air exchange in lakes, especially for low-wind regimes, as exemplified by this study.
Our study suggests that aquatic interfacial Hg transfer probably is considerably more complicated, involving a group of factors, more than just wind/wave. Our analysis of the aquatic Hg water/air transfer processes points to the pressing need to further understand the interfacial Hg transfer processes and develop more realistic models to describe and predict the Hg transfer across the water/air interface.
Author Contributions
Conceptualization, H.Z.; Investigation, H.Z., L.S.F., and W.C.C.; Methodology, H.Z.; Project administration, H.Z.; Resources, W.C.C. and H.Z.; Supervision, H.Z.; Writing—original draft, H.Z. and L.S.F.; Writing—review and editing, H.Z. All authors have read and agreed to the published version of the manuscript.
Funding
The present research received no external funding.
Data Availability Statement
The data will be available upon request.
Conflicts of Interest
The authors declare no conflicts of interest.
References
- Amyot, M.; Mierle, G.; Lean, D.; McQueen, D.J. Sunlight-induced formation of dissolved gaseous mercury in lake waters. Environ. Sci. Technol. 1994, 28, 2366–2371. [Google Scholar] [CrossRef] [PubMed]
- Amyot, M.; Mierle, G.; Lean, D.; McQueen, D.J. Effects of solar radiation on the formation of dissolved gaseous mercury in temperate lakes. Geochim. Cosmochim. Acta 1997, 61, 975–987. [Google Scholar] [CrossRef]
- Amyot, M.; Lean, D.; Mierle, G. Photochemical formation of volatile mercury in high arctic lakes. Environ. Toxicol. Chem. 1997, 16, 2054–2063. [Google Scholar] [CrossRef]
- Zhang, H.; Lindberg, S.E. Air/water exchange of mercury in the Everglades I: The behavior of dissolved gaseous mercury in the Everglades Nutrient Removal Project. Sci. Total Environ. 2000, 259, 123–133. [Google Scholar] [CrossRef]
- Zhang, H.; Lindberg, S.E. Sunlight and iron(III)-induced photochemical production of dissolved gaseous mercury in freshwater. Environ. Sci. Technol. 2001, 35, 928–935. [Google Scholar] [CrossRef]
- Zhang, H.; Lindberg, S.E. Trends in dissolved gaseous mercury in the Tahquamenon river watershed and nearshore water of Whitefish bay in the Michigan Upper Peninsula. Water Air Soil Pollut. 2002, 133, 379–389. [Google Scholar] [CrossRef]
- O’Driscoll, N.; Beauchamp, S.; Siciliano, S.; Rencz, A.; Lean, D. Continuous analysis of dissolved gaseous mercury (DGM) and mercury flux in two freshwater lakes in Kejimkujik Park, Nova Scotia: Evaluating mercury flux models with quantitative data. Environ. Sci. Technol. 2003, 37, 2226–2235. [Google Scholar] [CrossRef]
- O’Driscoll, N.J.; Lean, D.R.S.; Loseto, L.L.; Carignan, R.; Siciliano, S.D. Effect of dissolved organic carbon on the photoproduction of dissolved gaseous mercury in lakes: Potential impacts of forestry. Environ. Sci. Technol. 2004, 38, 2664–2672. [Google Scholar] [CrossRef]
- Rolfhus, K.R.; Fitzgerald, W.F. Mechanisms and temporal variability of dissolved gaseous mercury production in coastal seawater. Mar. Chem. 2004, 90, 125–136. [Google Scholar] [CrossRef]
- Dill, C.; Kuiken, T.; Zhang, H.; Ensor, M. Diurnal variation of dissolved gaseous mercury (DGM) levels in a southern reservoir lake (Tennessee, USA) in relation to solar radiation. Sci. Total Environ. 2006, 357, 176–193. [Google Scholar] [CrossRef]
- Zhang, H.; Dill, C.; Kuiken, T.; Ensor, M.; Crocker, W. Change of dissolved gaseous mercury (DGM) concentrations in a southern reservoir lake (Tennessee, USA) following seasonal variation of solar radiation. Environ. Sci. Technol. 2006, 40, 2114–2119. [Google Scholar] [CrossRef] [PubMed]
- Fitzgerald, W.F.; Lamborg, C.H.; Hammerschmidt, C.R. Marine biogeochemical cycling of mercury. Chem. Rev. 2007, 107, 641–662. [Google Scholar] [CrossRef] [PubMed]
- Crocker, W.C.; Zhang, H. Seasonal and diurnal variation of air/water exchange of gaseous mercury in a southern reservoir lake (Cane Creek Lake, Tennessee, USA). Water 2020, 12, 2102. [Google Scholar] [CrossRef]
- Crocker, W.C. Air/Water Exchange of Aquatic Gaseous Mercury in a Southern Reservoir Lake: Cane Creek Lake, Putman County, TN. Master’s Thesis, Tennessee Tech University, Cookeville, TN, USA, May 2005. [Google Scholar]
- Lindberg, S.; Zhang, H. Air/water exchange of mercury in the Everglades II: Measuring and modeling evasion of mercury from surface waters in the Everglades Nutrient Removal Project. Sci. Total Environ. 2000, 259, 135–143. [Google Scholar] [CrossRef]
- Fletcher, L.S.; Crocker, W.C.; Zhang, H. Chemodynamics of mercury (Hg) in a southern reservoir lake (Cane Creek Lake, Cookeville, TN, USA): I. estimation of the kinetics of photochemical reduction of aquatic Hg(II) using field-measured data of Hg water/air exchange and dissolved gaseous Hg. Water 2023, 15, 199. [Google Scholar] [CrossRef]
- Welty, J.; Wicks, C.; Wilson, R. Fundamentals of Momentum, Heat, and Mass Transport; John Wiley & Sons: New York, NY, USA, 1984. [Google Scholar]
- Horne, R. Marine Chemistry: The Structure of Water and the Chemistry of the Hydrosphere; Wiley-Interscience: New York, NY, USA, 1969. [Google Scholar]
- Perry, A.; Walker, J. The Ocean-Atmosphere System; Longman, Inc.: New York, NY, USA, 1977. [Google Scholar]
- Pinet, P. Invitation to Oceanography; Jones and Bartlett Publishers: Sudbury, MA, USA, 1998. [Google Scholar]
- Himmelblau, D. Basic Principles and Calculations in Chemical Engineering; Prentice-Hall: Hoboken, NJ, USA, 1982. [Google Scholar]
- Peters, M. Elementary Chemical Engineering; McGraw-Hill: New York, NY, USA, 1954. [Google Scholar]
- Bamford, H.; Poster, D.; Baker, J. Temperature dependence of Henry’s law constants of thirteen polycyclic aromatic hydrocarbons between 4 °C and 31 °C. Environ. Toxicol. Chem. 1999, 18, 1905–1912. [Google Scholar]
- Nelson, E.; McConnell, L.; Baker, J. Diffusive exchange of gaseous polycyclic aromatic hydrocarbons and polychlorinated biphenyls across the air-water interface of the Chesapeake Bay. Environ. Sci. Technol. 1998, 32, 912–919. [Google Scholar] [CrossRef]
- Poissant, L.; Amyot, M.; Pilote, M.; Lean, D. Mercury water-air exchange over the upper St. Lawrence river and Lake Ontario. Environ. Sci. Technol. 2000, 34, 3069–3078. [Google Scholar] [CrossRef]
- Donelan, M.; Wanninkhof, R. Gas transfer at water surfaces-concepts and issues. In Gas Transfer at Water Surfaces; Donelan, M., Drennan, W., Saltzman, E., Wanninkhof, R., Eds.; American Geophysical Union: Washington, DC, USA, 2002. [Google Scholar]
- Schwarzenbach, R.; Gschwend, P.; Imboden, D. Environmental Organic Chemistry, 2nd ed.; John Wiley & Sons: New York, NY, USA, 2003. [Google Scholar]
- Thibodeaux, L.J. Environmental Chemodynamics, Movement of Chemicals in Air, Water, and Soil, 2nd ed.; John Wiley & Sons: New York, NY, USA, 1996. [Google Scholar]
- Schnoor, J.L. Environmental Modeling, Fate and Transport of Pollutants in Water, Air, and Soil; John Wiley & Sons: New York, NY, USA, 1996. [Google Scholar]
- Wania, F. Modeling sea-air exchange of persistent organic pollutants: Focus on Temperature and other seasonal parameters. In Sea-Air Exchange: Processes and Modeling; Pacyna, J.M., Broman, D., Lipiatou, E., Eds.; European Communities: Luxembourg, 1998. [Google Scholar]
- Liss, P.W.; Slater, P.G. Flux of gases across the air-sea interface. Nature 1974, 247, 181–184. [Google Scholar] [CrossRef]
- Macintyre, S.; Wanninkhof, R.; Chanton, J.P. Trace gas exchange across the air-water interface in freshwater and coastal marine environments. In Biogenic Trace Gases: Measuring Emissions from Soil and Water; Matson, P.A., Harriss, R.C., Eds.; Black Science: London, UK, 1995. [Google Scholar]
- Stumm, W.; Morgan, J.J. Aquatic Chemistry, Chemical Equilibria and Rates in Natural Waters, 3rd ed.; John Wiley & Sons: New York, NY, USA, 1996. [Google Scholar]
- Brezonik, P.L. Chemical Kinetics and Process Dynamics in Aquatic Systems; Lewis Publishers: Boca Raton, FL, USA, 1996. [Google Scholar]
- Hemond, J.; Fechner-Lery, E. Chemical Fate and Transport in the Environment, 2nd ed.; John Wiley & Sons: New York, NY, USA, 2000. [Google Scholar]
- Csanady, G.T. Air-Sea Interaction, Laws and Mechanisms; Cambridge University Press: New York, NY, USA, 2001. [Google Scholar]
- Zhang, H.; Eisenreich, S.; Franz, T.; Baker, J.; Offenberg, J. Evidence for increased gaseous PCB fluxes to Lake Michigan from Chicago. Environ. Sci. Technol. 1999, 33, 2129–2137. [Google Scholar] [CrossRef]
- Achman, D.; Hornbuckle, K.; Eisenreich, S. Volatilization of polychlorinated biphenyls from Green Bay, Lake Michigan. Environ. Sci. Technol. 1993, 27, 75–87. [Google Scholar] [CrossRef]
- Totten, L.; Gigliotti, C.; Offenberg, J.; Baker, J.; Eisenreich, S. Reevaluation of air-exchange fluxes of PCBs in Green Bay and southern Lake Michigan. Environ. Sci. Technol. 2003, 37, 1739–1743. [Google Scholar] [CrossRef] [PubMed]
- Wangberg, I.; Schager, P.; Munthe, J.; Ebinghaus, R.; Iverfeldt, A. Estimates of air-sea exchange of mercury in the Baltic sea. Environ. Sci. Technol. 2001, 35, 5477–5484. [Google Scholar] [CrossRef]
- Liss, P.S.; Merlivat, L. Air-sea gas exchange rates: Introduction and synthesis. In The Role of Air-Sea Exchange in Geochemical Cycling; Buat-Menard, P., Ed.; D. Reidel Publishing Company: Dordrecht, The Netherlands, 1986. [Google Scholar]
- Wanninkhof, R. Relationship between gas exchange and wind speed over the ocean. J. Geophys. Res. 1992, 97, 7373–7381. [Google Scholar] [CrossRef]
- Mackay, D.; Yeun, A. Mass transfer coefficient correlations for volatilization of organic solutes from water. Environ. Sci. Technol. 1983, 17, 211–217. [Google Scholar] [CrossRef]
- Xu, X.; Yang, X.; Miller, D.; Helble, J.; Carley, R. Formation of bi-directional atmosphere–surface exchanges of elemental mercury. Atmos. Environ. 1999, 33, 4345–4355. [Google Scholar] [CrossRef]
- Schroeder, W.; Lindqvist, O.; Munthe, J.; Xiao, Z. Volatilization of mercury from lake surfaces. Sci. Total Environ. 1992, 125, 47–66. [Google Scholar] [CrossRef]
- Poissant, L.; Casimir, A. Water-air and soil-air exchange rate of total gaseous mercury measured at background sites. Atmos. Environ. 1998, 32, 883–893. [Google Scholar] [CrossRef]
- Fitzgerald, W.F. Cycling of mercury between the atmosphere and oceans. In The Role of Air-Sea Exchange in Geochemical Cycling; Buat–Menard, P., Ed.; D. Reidel Publishing Company: Dordrecht, The Netherlands, 1986. [Google Scholar]
- Zhang, H. Photochemical Redox Reactions of Mercury. Struct. Bond. 2006, 120, 37–79. [Google Scholar]
- Qureshi, A.; Macleod, M.; Sunderland, E.; Hungerbuhler, K. Exchange of elemental mercury between the oceans and the atmosphere. In Environmental Chemistry and Toxicology of Mercury; Liu, G., Cai, Y., O’Driscoll, N., Eds.; John Wiley & Sons, Inc.: Hoboken, NJ, USA, 2012. [Google Scholar]
- Vost, E.E.; Amyot, M.; O’Driscoll, N.J. Photoreactions of mercury in aquatic systems. In Environmental Chemistry and Toxicology of Mercury; Liu, G., Cai, Y., O’Driscoll, N., Eds.; John Wiley & Sons, Inc.: Hoboken, NJ, USA, 2012. [Google Scholar]
- Si, L.; Branfireun, B.A.; Fierro, J. Chemical oxidation and reduction pathways of mercury relevant to natural waters: A review. Water 2022, 14, 1891. [Google Scholar] [CrossRef]
- Zhang, H.; Lindberg, S.; Barnett, M.; Vette, A.; Gustin, M. Dynamic flux chamber measurement of gaseous mercury emission fluxes over soils: I. Simulation of gaseous mercury emissions from soils using a two-resistance exchange interface model. Atmos. Environ. 2002, 36, 835–846. [Google Scholar] [CrossRef]
- Lindberg, S.; Zhang, H.; Vette, A.; Gustin, M.; Barnett, M.; Kuiken, T. Dynamic flux chamber measurement of gaseous mercury emission fluxes over soils: II. Effect of flushing flow rate and verification of a two-resistance exchange interface model. Atmos. Environ. 2002, 36, 847–859. [Google Scholar] [CrossRef]
- Cussler, E.L. Diffusion, Mass Transfer in Fluid Systems, 2nd ed.; Cambridge University Press: Cambridge, UK, 1997. [Google Scholar]
- Zafiriou, O.C. Atmospheric, oceanic, and interfacial photochemistry as factors influencing air-sea exchange fluxes and processes. In The Role of Air-Sea Exchange in Geochemical Cycling; Buat-Menard, P., Ed.; D. Reidel Publishing Company: Dordrecht, The Netherlands, 1986. [Google Scholar]
Disclaimer/Publisher’s Note: The statements, opinions and data contained in all publications are solely those of the individual author(s) and contributor(s) and not of MDPI and/or the editor(s). MDPI and/or the editor(s) disclaim responsibility for any injury to people or property resulting from any ideas, methods, instructions or products referred to in the content. |
© 2025 by the authors. Licensee MDPI, Basel, Switzerland. This article is an open access article distributed under the terms and conditions of the Creative Commons Attribution (CC BY) license (https://creativecommons.org/licenses/by/4.0/).