The Impact of 9 Years of Swine Wastewater Application on the Mineral and Organic Quality of Soil in Various Agricultural Crops
Abstract
1. Introduction
2. Materials and Methods
2.1. Characterization and History of the Experimental Area
2.2. Description of the Treatments
2.3. Data Analysis
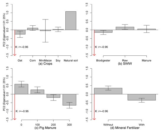
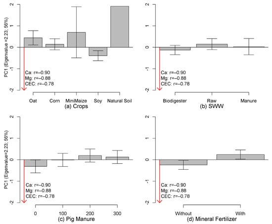
3. Results
4. Discussion
Author Contributions
Funding
Data Availability Statement
Acknowledgments
Conflicts of Interest
References
- Søndergaard, N. Food Regime Transformations and Structural Rebounding: Brazilian State–Agribusiness Relations. Territ. Politic Gov. 2023, 11, 60–79. [Google Scholar] [CrossRef]
- MacBean, A.I.; Nguyen, D.T. Commodity Policies; Routledge: London, UK, 2023. [Google Scholar] [CrossRef]
- Food and Agriculture Organization. Programas no Brasil. Available online: https://www.fao.org/brasil/programas-e-projetos/pt/ (accessed on 25 May 2023).
- Locks, A.M.; Poldi, A.; Mendes, A.; Melles, C.; Carrara, D.; Alves, E.; Turra, F.; Vieira Filho, J.E.R.; Megido, J.L.T.; Harfuch, L.; et al. O Futuro Da Agricultura Brasileira: 10 Visões; Embrapa Unidades Centrais: Brasília, Brasil, 2023; pp. 11–114. [Google Scholar]
- Zalewska, M.; Błażejewska, A.; Czapko, A.; Popowska, M. Pig Manure Treatment Strategies for Mitigating the Spread of Antibiotic Resistance. Sci. Rep. 2023, 13, 11999. [Google Scholar] [CrossRef] [PubMed]
- Guan, D.; Zhao, J.; Wang, Y.; Fu, Z.; Zhang, D.; Zhang, H.; Xie, J.; Sun, Y.; Zhu, J.; Wang, D. A Critical Review on Sustainable Management and Resource Utilization of Digestate. Process Saf. Environ. Prot. 2024, 183, 339–354. [Google Scholar] [CrossRef]
- Yan, X.; Ying, Y.; Li, K.; Zhang, Q.; Wang, K. A Review of Mitigation Technologies and Management Strategies for Greenhouse Gas and Air Pollutant Emissions in Livestock Production. J. Environ. Manag. 2024, 352, 120028. [Google Scholar] [CrossRef] [PubMed]
- Liu, W.-R.; Zeng, D.; She, L.; Su, W.-X.; He, D.-C.; Wu, G.-Y.; Ma, X.-R.; Jiang, S.; Jiang, C.-H.; Ying, G.-G. Comparisons of Pollution Characteristics, Emission Situations, and Mass Loads for Heavy Metals in the Manures of Different Livestock and Poultry in China. Sci. Total Environ. 2020, 734, 139023. [Google Scholar] [CrossRef] [PubMed]
- Deng, L.; Zheng, D.; Zhang, J.; Yang, H.; Wang, L.; Wang, W.; He, T.; Zhang, Y. Treatment and Utilization of Swine Wastewater—A Review on Technologies in Full-Scale Application. Sci. Total Environ. 2023, 880, 163223. [Google Scholar] [CrossRef]
- Liu, C.; Feng, C.; Duan, Y.; Wang, P.; Peng, C.; Li, Z.; Yu, L.; Liu, M.; Wang, F. Ecological Risk under the Dual Threat of Heavy Metals and Antibiotic Resistant Escherichia Coli in Swine-Farming Wastewater in Shandong Province, China. Environ. Pollut. 2023, 319, 120998. [Google Scholar] [CrossRef] [PubMed]
- Central de Inteligência de Aves e Suínos. Estatísticas. Available online: https://www.embrapa.br/suinos-e-aves/cias/estatisticas (accessed on 25 May 2023).
- Li, X.; Wu, S.; Yang, C.; Zeng, G. Microalgal and Duckweed Based Constructed Wetlands for Swine Wastewater Treatment: A Review. Bioresour. Technol. 2020, 318, 123858. [Google Scholar] [CrossRef] [PubMed]
- Hao, L.; Sun, J.; Zeng, M.; Wang, C. Development of Effective Expanded Vermiculite Flocculant for Enhanced Primary Treatment of Swine Wastewater: Lab-Scale Investigations. Appl. Clay Sci. 2023, 232, 106759. [Google Scholar] [CrossRef]
- Chen, H.; Yuan, J.; Xu, Q.; Yang, E.; Yang, T.; Shi, L.; Liu, Z.; Yu, H.; Cao, J.; Zhou, Q.; et al. Swine Wastewater Treatment Using Combined up-Flow Anaerobic Sludge Blanket and Anaerobic Membrane Bioreactor: Performance and Microbial Community Diversity. Bioresour. Technol. 2023, 373, 128606. [Google Scholar] [CrossRef]
- Wang, D.; Li, T.; Yan, C.; Zhou, Y.; Zhou, L. A Novel Bio-Flocculation Combined with Electrodialysis Process: Efficient Removal of Pollutants and Sustainable Resource Recovery from Swine Wastewater. Sep. Purif. Technol. 2023, 304, 122330. [Google Scholar] [CrossRef]
- Dai, J.; Zheng, M.; He, Y.; Zhou, Y.; Wang, M.; Chen, B. Real-Time Response Counterattack Strategy of Tolerant Microalgae Chlorella Vulgaris MBFJNU-1 in Original Swine Wastewater and Free Ammonia. Bioresour. Technol. 2023, 377, 128945. [Google Scholar] [CrossRef] [PubMed]
- Tang, H.; Ma, Z.; Qin, Y.; Wu, H.; Xu, X.; Xin, L.; Wu, W. Pilot-Scale Study of Step-Feed Anaerobic Coupled Four-Stage Micro-Oxygen Gradient Aeration Process for Treating Digested Swine Wastewater with Low Carbon/Nitrogen Ratios. Bioresour. Technol. 2023, 380, 129087. [Google Scholar] [CrossRef] [PubMed]
- Machado, L.P.; Lazzarotto, E.; Pontes, R.P.; Cescon, J.A.; De Souza, A.L.V. Modelo de Classificação Para Destinação de Dejetos Suínos. Rev. De Gestão E Secr. (Manag. Adm. Prof. Rev.) 2023, 14, 8540–8555. [Google Scholar] [CrossRef]
- López-Pacheco, I.Y.; Silva-Núñez, A.; García-Perez, J.S.; Carrillo-Nieves, D.; Salinas-Salazar, C.; Castillo-Zacarías, C.; Afewerki, S.; Barceló, D.; Iqbal, H.N.M.; Parra-Saldívar, R. Phyco-Remediation of Swine Wastewater as a Sustainable Model Based on Circular Economy. J. Environ. Manag. 2021, 278, 111534. [Google Scholar] [CrossRef] [PubMed]
- Cândido, D.; Bolsan, A.C.; Hollas, C.E.; Venturin, B.; Tápparo, D.C.; Bonassa, G.; Antes, F.G.; Steinmetz, R.L.R.; Bortoli, M.; Kunz, A. Integration of Swine Manure Anaerobic Digestion and Digestate Nutrients Removal/Recovery under a Circular Economy Concept. J. Environ. Manag. 2022, 301, 113825. [Google Scholar] [CrossRef] [PubMed]
- Hollas, C.E.; do Amaral, K.G.C.; Lange, M.V.; Higarashi, M.M.; Radis Steinmetz, R.L.; Barros, E.C.; Mariani, L.F.; Nakano, V.; Kunz, A.; Sanches-Pereira, A.; et al. Life Cycle Assessment of Waste Management from the Brazilian Pig Chain Residues in Two Perspectives: Electricity and Biomethane Production. J. Clean. Prod. 2022, 354, 131654. [Google Scholar] [CrossRef]
- Singh, V.K.; Singh, R.; Kumar, A. Impact of Wastewater Irrigation on Soil Attributes. Adv. Chem. Pollut. Environ. Manag. Prot. 2023, 9, 79–95. [Google Scholar] [CrossRef]
- Luo, W.; O’Brien, P.L.; Hatfield, J.L. Crop Yield and Nitrous Oxide Emissions Following Swine Manure Application: A Meta-Analysis. Agric. Environ. Lett. 2019, 4, 190024. [Google Scholar] [CrossRef]
- Li, S.; Tao, Z.; Liu, Y.; Li, S.; Kama, R.; Hu, C.; Fan, X.; Li, Z. Influence of Swine Wastewater Irrigation and Straw Return on the Accumulation of Selected Metallic Elements in Soil and Plants. Agriculture 2024, 14, 317. [Google Scholar] [CrossRef]
- Ferreira, P.A.A.; Ceretta, C.A.; Lourenzi, C.R.; De Conti, L.; Marchezan, C.; Girotto, E.; Tiecher, T.L.; Palermo, N.M.; Parent, L.-É.; Brunetto, G. Long-Term Effects of Animal Manures on Nutrient Recovery and Soil Quality in Acid Typic Hapludalf under No-Till Conditions. Agronomy 2022, 12, 243. [Google Scholar] [CrossRef]
- Du, Z.; Zhao, S.; She, Y.; Zhang, Y.; Yuan, J.; Rahman, S.U.; Qi, X.; Xu, Y.; Li, P. Effects of Different Wastewater Irrigation on Soil Properties and Vegetable Productivity in the North China Plain. Agriculture 2022, 12, 1106. [Google Scholar] [CrossRef]
- Shakoor, A.; Bosch-Serra, À.D.; Alberdi, J.R.O.; Herrero, C. Seven years of pig slurry fertilization: Impacts on soil chemical properties and the element content of winter barley plants. Environ. Sci. Pollut. Res. 2022, 29, 74655–74668. [Google Scholar] [CrossRef] [PubMed]
- Provolo, G.; Manuli, G.; Finzi, A.; Lucchini, G.; Riva, E.; Sacchi, G.A. Effect of Pig and Cattle Slurry Application on Heavy Metal Composition of Maize Grown on Different Soils. Sustainability 2018, 10, 2684. [Google Scholar] [CrossRef]
- Lwin, C.S.; Seo, B.H.; Kim, H.U.; Owens, G.; Kim, K.R. Application of soil amendments to contaminated soils for heavy metal immobilization and improved soil quality—A critical review. Soil Sci. Plant Nutr. 2018, 64, 156–167. [Google Scholar] [CrossRef]
- Ronquim, C.C. Conceitos de Fertilidade Do Solo e Manejo Adequado Para as Regiões Tropicais, 2nd ed.; Embrapa Territorial: Campinas, Brazil, 2020. [Google Scholar]
- Grant, T.W. Exchangeable Cations. In Methods of Soil Analysis: Part 2 Chemical and Microbiological Properties. 1983. Available online: https://acsess.onlinelibrary.wiley.com/doi/10.2134/agronmonogr9.2.2ed.c9 (accessed on 25 May 2023).
- Chen, H.; Levavasseur, F.; Montenach, D.; Lollier, M.; Morel, C.; Houot, S. An 18-year field experiment to assess how various types of organic waste used at European regulatory rates sustain crop yields and C, N, P, and K dynamics in a French calcareous soil. Soil Tillage Res. 2022, 221, 105415. [Google Scholar] [CrossRef]
- Buligon, E.L.; Costa, L.A.M.; de Lucas, J., Jr.; Santos, F.T.; Goufo, P.; Costa, M.S.S.M. Fertilizer Performance of a Digestate from Swine Wastewater as Synthetic Nitrogen Substitute in Maize Cultivation: Physiological Growth and Yield Responses. Agriculture 2023, 13, 565. [Google Scholar] [CrossRef]
- Wilson, M.L.; Niraula, S.; Cortus, E.L. Nutrient Characteristics of Swine Manure and Wastewater. Anim. Manure 2020, 67. [Google Scholar] [CrossRef]
- Sniatala, B.; Kurniawan, T.A.; Sobotka, D.; Makinia, J.; Othman, M.H.D. Macro-nutrients recovery from liquid waste as a sustainable resource for production of recovered mineral fertilizer: Uncovering alternative options to sustain global food security cost-effectively. Sci. Total Environ. 2023, 856, 89–113. [Google Scholar] [CrossRef]
- Alvares, C.A.; Stape, J.L.; Sentelhas, P.C.; de Moraes Gonçalves, J.L.; Sparovek, G. Köppen’s Climate Classification Map for Brazil. Meteorol. Z. 2013, 22, 711–728. [Google Scholar] [CrossRef]
- dos Santos, H.G.; Jacomine, P.K.T.; dos Anjos, L.H.C.; de Oliveira, V.A.; Lumbreras, J.F.; Coelho, M.R.; de Almeida, J.A.; de Araujo Filho, J.C.; de Oliveira, J.B.; Cunha, T. Sistema Brasileiro de Classificação de Solos, 5th ed.; rev. ampl: Brasília, Brazil, 2018. [Google Scholar]
- Araujo-Junior, C.F.; Mendes, A.D.R.; de Lima, R.T.; Miyazawa, M.; Hamanaka, C.A. Manejos de Plantas Invasoras e Culturas de Coberturas Em Uma Lavoura Cafeeira Sobre a Resistência Mecânica a Campo de Um Latossolo. Obs. De. La. Econ. Latinoam. 2023, 21, 27926–27948. [Google Scholar] [CrossRef]
- Prior, M. Efeito da Água Residuária de Suinocultura no Solo e na Cultura do Milho. Ph.D. Thesis, UNESP–Universidade Estadual Paulista Júlio de Mesquita Filho, Botucatu, Brazil, 2008. [Google Scholar]
- Van Raij, B.; de Andrade, J.C.; Cantarella, H.; Quaggio, J.A. Análise Química Para Avaliação Da Fertilidade de Solos Tropicais; Instituto Agronômico: Campinas, Brazil, 2001.
- American Public Health Association. Standard Methods for the Examination of Water and Wastewater, 19th ed.; American Public Health Association: New York, NY, USA, 1998. [Google Scholar]
- Kaiser, H.F. The Application of Electronic Computers to Factor Analysis. Educ. Psychol. Meas. 1960, 20, 141–151. [Google Scholar] [CrossRef]
- Guttman, L. Some Necessary Conditions for Common-Factor Analysis. Psychometrika 1954, 19, 149–161. [Google Scholar] [CrossRef]
- Nelder, J.A.; Wedderburn, R.W.M. Generalized Linear Models. J. R. Stat. Soc. Ser. A 1972, 135, 370. [Google Scholar] [CrossRef]
- R Core Team. R: A Language and Environment for Statistical Computing; R Foundation for Statistical Computing: Vienna, Austria, 2023. [Google Scholar]
- Sarto, J.R.W.; Neres, M.A.; Sunahara, S.M.M.; Nath, C.D.; Sarto, M.V.M. Chemical Composition of Swine Wastewater, Soil, and Tifton 85 after 8 Years of Application. Rev. Caatinga 2019, 32, 259–269. [Google Scholar] [CrossRef]
- Kunz, A.; Steinmetz, R.L.R.; Do Amaral, A.C. Fundamentos da Digestão Anaeróbia, Purificação do Biogás, Uso e Tratamento do Digestato, 1st ed.; Sbera: Concórdia, Brazil, 2019. [Google Scholar]
- da Silva, W.T.L.; de Novaes, A.P.; Kuroki, V.; de Martelli, L.F.A.; Magnoni Júnior, L. Avaliação Físico-Química de Efluente Gerado Em Biodigestor Anaeróbio Para Fins de Avaliação de Eficiência e Aplicação Como Fertilizante Agrícola. Quim. Nova 2012, 35, 35–40. [Google Scholar] [CrossRef]
- Chen, N.; Zhang, X.; Du, Q.; Huo, J.; Wang, H.; Wang, Z.; Guo, W.; Ngo, H.H. Advancements in Swine Wastewater Treatment: Removal Mechanisms, Influential Factors, and Optimization Strategies. J. Water Process Eng. 2023, 54, 103986. [Google Scholar] [CrossRef]
- Batista, M.A.; Inoue, T.T.; Esper Neto, M.; Muniz, A.S. Princípios de Fertilidade Do Solo, Adubação e Nutrição Mineral. In Hortaliças-Fruto; EDUEM: Tlalnepantla, Mexico, 2018; pp. 113–162. [Google Scholar] [CrossRef]
- Meister, A.; Bohm, K.; Gutiérrez-Ginés, M.J.; Gaw, S.; Dickinson, N.; Robinson, B. Effects of Native Plants on Nitrogen Cycling Microorganisms in Soil. Appl. Soil Ecol. 2023, 191, 105031. [Google Scholar] [CrossRef]
- Lambers, H. Nutrient-Use Efficiency. In Marschner’s Mineral Nutrition of Plants; Elsevier: Amsterdam, The Netherlands, 2023; pp. 651–664. [Google Scholar] [CrossRef]
- Ferreira-Matos, C.; Machado-Pinheiro, F.; De Campos, D.V.B.; Bahiense-Stafanato, J.; Oliveira-Durão, S.M.; Carmos, C.B.S.; Mendonça-Marinho, L.R. Efeitos da Aplicação de Digestato Bovino nas Características do Solo Planassolo Háplico no Município de Seropédica–RJ. RedBioLac 2020, 2020, 17–21. [Google Scholar]
- de Malta, A.O.; Esfrain Pereira, W.; Nóbrega Torres, M.N.; Malta, A.O.; Silva, E.S.; Alves da Silva, S.I. Atributos Físicos e Químicos do Solo Cultivado com Gravioleira, sob Adubação Orgânica e Mineral. PesquisAgro 2019, 2, 11–23. [Google Scholar] [CrossRef]
- Wakeel, A.; Ishfaq, M. Potassium Dynamics in Soils. In Potash Use and Dynamics in Agriculture; Springer: Singapore, 2022. [Google Scholar] [CrossRef]
- García-Valero, A.; Acosta, J.A.; Faz, Á.; Gómez-López, M.D.; Carmona, D.M.; Terrero, M.A.; El Bied, O.; Martínez-Martínez, S. Swine Wastewater Treatment System Using Constructed Wetlands Connected in Series. Agronomy 2024, 14, 143. [Google Scholar] [CrossRef]
- Company, E.; Farrés, M.; Colprim, J.; Magrí, A. Exploring the Recovery of Potassium-Rich Struvite after a Nitrification-Denitrification Process in Pig Slurry Treatment. Sci. Total Environ. 2022, 847, 157574. [Google Scholar] [CrossRef] [PubMed]
- Bell, M.J.; Ransom, M.D.; Thompson, M.L.; Hinsinger, P.; Florence, A.M.; Moody, P.W.; Guppy, C.N. Considering Soil Potassium Pools with Dissimilar Plant Availability. In Improving Potassium Recommendations for Agricultural Crops; Springer: Cham, Switzerland, 2021. [Google Scholar] [CrossRef]
- Bashir, O.; Ali, T.; Baba, Z.A.; Rather, G.H.; Bangroo, S.A.; Mukhtar, S.D.; Naik, N.; Mohiuddin, R.; Bharati, V.; Bhat, R.A. Soil Organic Matter and Its Impact on Soil Properties and Nutrient Status. In Microbiota and Biofertilizers; Springer International Publishing: Cham, Switzerland, 2021; Volume 2, pp. 129–159. [Google Scholar] [CrossRef]
- Cavaleiro, A.; Alves, M. Digestão Anaeróbia. Rev. De Ciência Elem. 2020, 8, 9. [Google Scholar] [CrossRef]
- Comin, J.J.; Loss, A.; da Veiga, M.; Guardini, R.; Schmitt, D.E.; Victoria de Oliveira, P.A.; Filho, P.B.; da Couto, R.R.; Benedet, L.; Júnior, V.M.; et al. Physical Properties and Organic Carbon Content of a Typic Hapludult Soil Fertilised with Pig Slurry and Pig Litter in a No-Tillage System. Soil Res. 2013, 51, 459. [Google Scholar] [CrossRef]
- Atere, C.T.; Gunina, A.; Zhu, Z.; Xiao, M.; Liu, S.; Kuzyakov, Y.; Chen, L.; Deng, Y.; Wu, J.; Ge, T. Organic matter stabilization in aggregates and density fractions in paddy soil depending on long-term fertilization: Tracing of pathways by 13C natural abundance. Soil Biol. Biochem. 2020, 149, 107931. [Google Scholar] [CrossRef]
- Verma, B.C.; Pramanik, P.; Bhaduri, D. Organic Fertilizers for Sustainable Soil and Environmental Management. In Nutrient Dynamics for Sustainable Crop Production; Springer: Singapore, 2020; pp. 289–313. [Google Scholar] [CrossRef]
- Barros, E.C.; Nicoloso, R.S.; Oliveira, P.A.V.; Correa, J.C. Potencial Agronômico dos Dejetos de Suínos; Embrapa Suínos e Aves: Concórdia, Brazil, 2019. [Google Scholar]
- Crovella, T.; Paiano, A.; Falciglia, P.P.; Lagioia, G.; Ingrao, C. Wastewater Recovery for Sustainable Agricultural Systems in the Circular Economy—A Systematic Literature Review of Life Cycle Assessments. Sci. Total Environ. 2024, 912, 169310. [Google Scholar] [CrossRef]
- Guo, Z.; Lv, L.; Liu, D.; He, X.; Wang, W.; Feng, Y.; Islam, M.S.; Wang, Q.; Chen, W.; Liu, Z.; et al. A Global Meta-Analysis of Animal Manure Application and Soil Microbial Ecology Based on Random Control Treatments. PLoS ONE 2022, 17, e0262139. [Google Scholar] [CrossRef]




| Blocks | pH | OM | P | H + Al | K | Ca | Mg | SB 1 | CEC 2 | V 3 | Cu | Fe | Mn | Zn |
|---|---|---|---|---|---|---|---|---|---|---|---|---|---|---|
| CaCl2 | g.dm−3 | mg.dm−3 | mmolc.dm−3 | % | mg.dm−3 | |||||||||
| B1 | 6.4 | 16.0 | 4.0 | 27.4 | 2.0 | 50.6 | 35.6 | 88.2 | 115.6 | 76.3 | 9.2 | 66.2 | 56.6 | 1.2 |
| B2 | 5.1 | 15.0 | 4.0 | 46.1 | 1.8 | 30.0 | 15.9 | 47.7 | 93.8 | 50.8 | 8.7 | 64.4 | 35.8 | 0.8 |
| B3 | 4.9 | 11.0 | 1.0 | 42.8 | 0.6 | 21.6 | 12.7 | 34.9 | 77.7 | 44.9 | 7.8 | 76.9 | 25.3 | 0.4 |
| Average | 5.47 | 14.0 | 3.0 | 38.8 | 1.5 | 34.1 | 21.4 | 56.9 | 95.7 | 57.3 | 8.6 | 69.2 | 39.2 | 0.8 |
| Exp | Soy 2006 | Soy 2007 | MiniMaize 2008 | Corn 2009 | Oats 2009 | Soy 2009 | Soy 2010 | Corn 2011 | Oats 2011 | Soy 2012 | Corn 2012 | Oats 2012 | Corn 2013 | Soy 2013 | Corn 2014 | |
|---|---|---|---|---|---|---|---|---|---|---|---|---|---|---|---|---|
| Local SWW | Manure plant | Biodigester | Raw | |||||||||||||
| pH | 7.73 | 7.70 | 7.92 | 7.57 | 7.08 | 7.09 | 7.62 | 7.61 | 7.41 | - | - | - | 7.29 | 7.60 | 7.80 | |
| Nitrate | mgL−1 | 1.52 | 2.18 | 8.00 | - | - | - | 103.75 | 53.75 | 192.50 | - | - | - | - | - | - |
| Nitrite | 2.03 | 2.25 | 0.40 | - | - | - | 50.00 | 25.00 | 75.00 | - | - | - | - | - | - | |
| N | 801 | 887 | 338 | 265 | 1278 | 604 | 481 | 351 | 975 | 707 | 105 | 980 | 707 | 2478 | 1050 | |
| P | 92.19 | 108.62 | 21.13 | 69.4 | 145.1 | 107.4 | 22.0 | 13.8 | 68.8 | 33.0 | 34.2 | 94.9 | 15.9 | 304.9 | 181.0 | |
| K | 543 | 462 | 2.00 | 86 | 445 | 224 | 8.95 | 19.64 | 534 | 265 | 171 | 355 | 2.40 | 373 | 483 | |
| Ca | 50.97 | 28.60 | 2.25 | 46.00 | 196.50 | 87.00 | 52.87 | 57.16 | 60.30 | 236.00 | 99.00 | 579.70 | 1.10 | 699.00 | 480.00 | |
| Mg | 23.77 | 39.12 | 0.95 | 48.00 | 86.50 | 62.50 | 67.70 | 69.93 | 31.70 | 67.00 | 64.20 | 134.20 | 0.50 | 179.00 | 68.00 | |
| Na | 18.20 | 26.00 | 1.00 | 79.20 | 166.70 | 125.00 | 36.70 | 35.40 | 143.00 | 16.80 | 68.00 | 140.00 | - | 20.80 | 167.00 | |
| Cu | 0.20 | 0.25 | 12.50 | 0.72 | 5.05 | 1.96 | 1.86 | 1.80 | 0.90 | 8.30 | 0.50 | 28.10 | 1.00 | 6.27 | 3.70 | |
| Zn | 1.17 | 0.20 | 76.50 | 6.50 | 35.00 | 14.50 | 10.22 | 11.30 | 3.56 | 39.00 | 6.32 | 181.50 | 4.00 | 5.71 | 4.70 | |
| TOC | - | - | - | 40,500 | 2250 | 90,000 | 684 | 441 | 1077 | 29,160 | 530 | 9013 | 1988 | 2651 | 1988 | |
| TC | - | - | - | - | - | - | 1331 | 822 | 1837 | - | - | - | - | - | - | |
| TIC | - | - | - | - | - | - | 645 | 381 | 795 | - | - | - | - | - | - | |
| Treatments | SWW | Mineral Fertilization |
|---|---|---|
| 1 | 0 m3.ha−1 | Without |
| 2 | 0 m3.ha−1 | With |
| 3 | 100 m3.ha−1 | Without |
| 4 | 100 m3.ha−1 | With |
| 5 | 200 m3.ha−1 | Without |
| 6 | 200 m3.ha−1 | With |
| 7 | 300 m3.ha−1 | Without |
| 8 | 300 m3.ha−1 | With |
| Variation Range | K | Ca | Mg | CEC | OM |
|---|---|---|---|---|---|
| mmol/dm3 | g/dm3 | ||||
| Minimum | 0.20 | 3.07 | 10.50 | 72.10 | 14.00 |
| Average | 3.16 | 58.02 | 33.61 | 116.19 | 27.47 |
| Maximum | 14.30 | 211.00 | 119.00 | 348.00 | 47.00 |
Disclaimer/Publisher’s Note: The statements, opinions and data contained in all publications are solely those of the individual author(s) and contributor(s) and not of MDPI and/or the editor(s). MDPI and/or the editor(s) disclaim responsibility for any injury to people or property resulting from any ideas, methods, instructions or products referred to in the content. |
© 2024 by the authors. Licensee MDPI, Basel, Switzerland. This article is an open access article distributed under the terms and conditions of the Creative Commons Attribution (CC BY) license (https://creativecommons.org/licenses/by/4.0/).
Share and Cite
Maciel, A.P.A.C.; Medeiros, G.; Machado, A.d.S.; Pilatti, M.C.; dos Reis, R.R.; Sampaio, S.C. The Impact of 9 Years of Swine Wastewater Application on the Mineral and Organic Quality of Soil in Various Agricultural Crops. Water 2024, 16, 1412. https://doi.org/10.3390/w16101412
Maciel APAC, Medeiros G, Machado AdS, Pilatti MC, dos Reis RR, Sampaio SC. The Impact of 9 Years of Swine Wastewater Application on the Mineral and Organic Quality of Soil in Various Agricultural Crops. Water. 2024; 16(10):1412. https://doi.org/10.3390/w16101412
Chicago/Turabian StyleMaciel, Ana Paula Almeida Castaldelli, Gabriela Medeiros, Amanda de Souza Machado, Maria Clara Pilatti, Ralpho Rinaldo dos Reis, and Silvio Cesar Sampaio. 2024. "The Impact of 9 Years of Swine Wastewater Application on the Mineral and Organic Quality of Soil in Various Agricultural Crops" Water 16, no. 10: 1412. https://doi.org/10.3390/w16101412
APA StyleMaciel, A. P. A. C., Medeiros, G., Machado, A. d. S., Pilatti, M. C., dos Reis, R. R., & Sampaio, S. C. (2024). The Impact of 9 Years of Swine Wastewater Application on the Mineral and Organic Quality of Soil in Various Agricultural Crops. Water, 16(10), 1412. https://doi.org/10.3390/w16101412

