Study on the Spatiotemporal Variation in and Driving Mechanism of Water Quality in Baiyangdian Lake
Abstract
1. Introduction
2. Study Area
3. Research Methods
3.1. Source of Data
3.2. Data Analysis
3.2.1. The Grey Relational Analysis Method for Water Quality Assessment
3.2.2. The Computational Steps of the Grey Relational Analysis Method Are as Follows
4. Results and Analysis
4.1. Characteristics of Baiyangdian Lake Water Quality
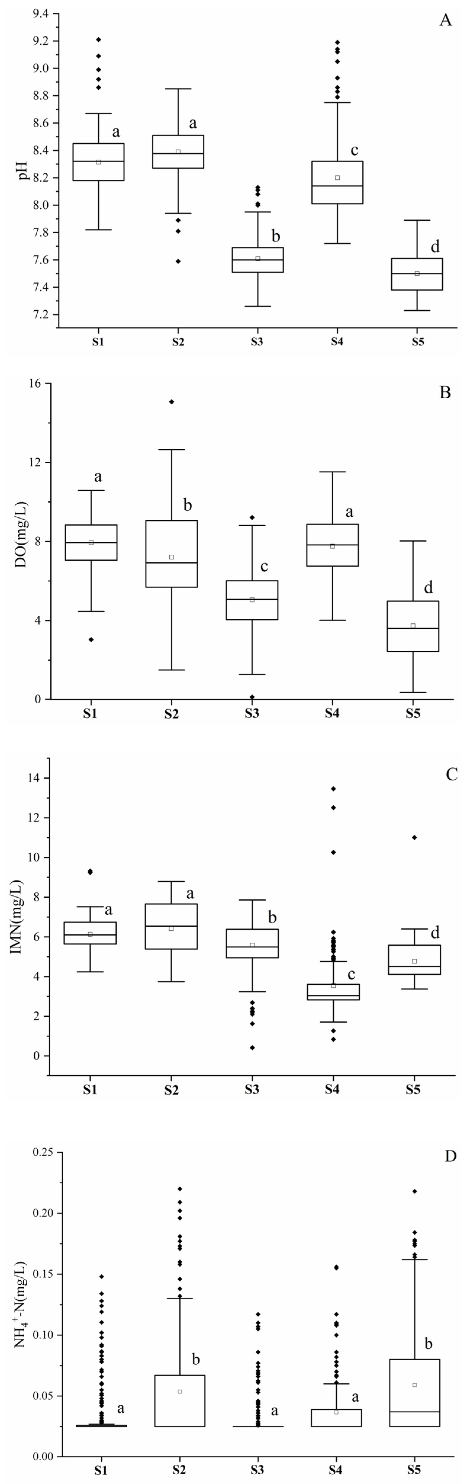
4.2. Spatial Variation in Water Quality in Baiyangdian Lake
4.3. Characteristics of Temporal Changes in Water Quality in Baiyangdian Lake
4.4. Baiyangdian Lake Water Quality Assessment
4.5. Temporal Variation and Trend of Water Quality
5. Discussion
5.1. Impact of Rainfall on Water Quality in Baiyangdian Lake
5.2. Impact of Human Activities on Water Quality in Baiyangdian Lake
6. Conclusions
Author Contributions
Funding
Data Availability Statement
Acknowledgments
Conflicts of Interest
References
- Paerl, H.W.; Hall, N.S.; Calandrino, E.S. Controlling harmful cyanobacterial blooms in a world experiencing anthropogenic and climatic-induced change. Sci. Total Environ. 2011, 409, 1739–1745. [Google Scholar] [CrossRef] [PubMed]
- Rosca, O.M.; Dippong, T.; Marian, M.; Mihali, C.; Jelea, M. Impact of anthropogenic activities on water quality parameters of glacial lakes from Rodnei mountains, Romania. Environ. Res. 2020, 182, 109136. [Google Scholar] [CrossRef] [PubMed]
- Nong, X.; Shao, D.; Zhong, H.; Liang, J. Evaluation of water quality in the South-to-North Water Diversion Project of China using the water quality index (WQI) method. Water Res. 2020, 178, 115781. [Google Scholar] [CrossRef] [PubMed]
- Yang, M.; Zhu, L.; Liu, J.; Zhang, Y.; Zhou, B. Influence of water conservancy project on runoff in the source region of the Yellow River and wetland changes in the Lakeside Zone, China. J. Groundw. Sci. Eng. 2023, 11, 333–346. [Google Scholar] [CrossRef]
- Zou, L.; Liu, Y.; Wang, Y.; Hu, X. Assessment and analysis of agricultural non-point source pollution loads in China: 1978–2017. J. Environ. Manag. 2020, 263, 110400. [Google Scholar] [CrossRef] [PubMed]
- Zheng, X.; Liu, G.; Yang, W. Dominant Contribution of a Lake’s Internal Pollution to Eutrophication During Rapid Urbanization. Bull. Environ. Contam. Toxicol. 2021, 107, 904–910. [Google Scholar] [CrossRef] [PubMed]
- Zhou, F.; Bo, Y.; Ciais, P.; Patrice, D.; Yoshihide, W. Deceleration of China’s human water use and its key drivers. Proc. Natl. Acad. Sci. USA 2020, 117, 7702–7711. [Google Scholar] [CrossRef] [PubMed]
- Wang, S.; Tang, C.; Song, X.; Wang, Q.; Zhang, Y.; Yuan, R. The impacts of a linear wastewater reservoir on groundwater recharge and geochemical evolution in a semi-arid area of the Lake Baiyangdian watershed, North China Plain. Sci. Total Environ. 2014, 482, 325–335. [Google Scholar] [CrossRef]
- Wang, Y.; Liu, M.; Dai, Y.; Luo, Y.; Zhang, S. Health and ecotoxicological risk assessment for human and aquatic organism exposure to polycyclic aromatic hydrocarbons in the Baiyangdian Lake. Environ. Sci. Pollu. Res. 2021, 28, 574–586. [Google Scholar] [CrossRef]
- Li, H.; Shen, H.; Li, S.; Liang, Y.; Zhang, L. Effects of eutrophication on the benthic-pelagic coupling food web in Baiyangdian Lake. Acta Ecol. Sin. 2018, 38, 2017–2030. [Google Scholar]
- Xue, P.; Zhao, Q.; Wang, Y.; Geng, L.; Wang, D. Distribution characteristics of heavy metals in sediment-submerged macrophyte-water systems of Lake Baiyangdian. J. Lake Sci. 2018, 30, 1525–1536. [Google Scholar][Green Version]
- Ren, C.; Zhang, Q.; Wang, H.; Wang, Y. Characteristics and source apportionment of polycyclic aromatic hydrocarbons of groundwater in Hutuo river alluvial-pluvial fan, china, based on PMF model. Environ. Sci. Pollut. Res. 2021, 28, 9647–9656. [Google Scholar] [CrossRef] [PubMed]
- Zhang, Q.; Wang, X.; Wan, W.; Hou, P.Q.; Li, R.; Ouyang, Z. The Spatial-Temporal Pattern and Source Apportionment of Water Pollution in a Trans-Urban River. Pol. J. Environ. Stud. 2015, 24, 841–851. [Google Scholar]
- Hou, P.; Ren, Y.; Zhang, Q.; Zhang, Y.; Wang, H.; Lu, F.; Zhang, H.; Ouyang, Z.; Wang, X. Temporal and spatial variations of water quality in a trans-urban river in Beijing, China. Fresenius Environ. Bull. 2013, 22, 561–572. [Google Scholar]
- Zhang, Q.; Wang, H.; Wang, Y.; Yang, M.; Zhu, L. Groundwater quality assessment and pollution source apportionment in an intensely exploited region of northern china. Environ. Sci. Pollut. Res. 2017, 24, 16639–16650. [Google Scholar] [CrossRef]
- GB3838-2002; Environmental Quality Standards for Surface Water. State Environment Protection Bureau of China: Beijing, China, 2002.
- Van, D.; Van, I.; Gabbert, S.; Weikard, H.P.; Hendrix, E.M.T. Impacts of rainfall variability and expected rainfall changes on cost-effective adaptation of water systems to climate change. J. Environ. Manag. 2015, 154, 40–47. [Google Scholar]
- Wang, X. Non-Point Source of Rainfall and Runoff around Fu River in Baoding City Pollution Characteristics Research. Master’s Thesis, Hebei Agricultural University, Baoding, China, 2021. (In Chinese). [Google Scholar]
- Li, X.; Lei, Q.; Zhou, J. Effect of Rainfall Intensity on the Content of Nitrogen and Phosphorus Components in Plateau Areas:A Case Study of the Fengyu River Watershed. Environ. Sci. 2019, 40, 5375–5383. (In Chinese) [Google Scholar]
- Wang, S.; He, Q.; Ai, H.; Wang, Z.; Zhang, Q. Pollutant concentrations and pollution loads in stormwater runoff from different land uses in Chongqing. J Environ. Sci. 2013, 25, 502–510. [Google Scholar] [CrossRef]
- Zhang, Q.; Wang, X.; Hou, P.; Wan, W.; Ren, Y.; Ouyang, Z.; Yang, L. The temporal changes in road stormwater runoff quality and the implications to first flush control in Chongqing, China. Environ. Monitor. Assess. 2013, 185, 9763–9775. [Google Scholar] [CrossRef]
- Jiang, H.; Zhang, Q.; Liu, W.; Zhang, J.; Zhao, T.; Xu, Z. Climatic and anthropogenic driving forces of the nitrogen cycling in a subtropical river basin. Environ. Res. 2021, 194, 110721. [Google Scholar] [CrossRef]
- Sun, X.; Guo, C.; Zhang, J.; Sun, J.; Cui, J.; Liu, M. Spatial-temporal difference between nitrate in groundwater and nitrogen in soil based on geostatistical analysis. J. Groundw. Sci. Eng. 2023, 11, 37–46. [Google Scholar] [CrossRef]
- Zhang, Q.; Wang, H.; Liu, L.; Zhai, T.; Zhang, X. Multiple isotopes reveal the driving mechanism of high NO3–level and key processes of nitrogen cycling in the lower reaches of Yellow River. J. Environ. Sci. 2024, 138, 597–606. [Google Scholar] [CrossRef] [PubMed]
- Cao, W.; Zhang, Z.; Guo, H.; Fu, Y.; Gao, Z.; Nan, T.; Ren, Y.; Li, Z. Spatial distribution and controlling mechanisms of high fluoride groundwater in the coastal plain of bohai rim, north china. J. Hydrol. 2023, 617, 128952. [Google Scholar] [CrossRef]
- Sun, T.; Chen, J.; Wang, H.; Shi, Z. Study on non-point source pollution loads in villages along the Fuhe River, Baiyangdian watershed. Res. Environ. Sci. 2012, 25, 568–572. (In Chinese) [Google Scholar]
- Liang, H.; Zhai, D.; Kong, X.; Yuan, R.; Wang, S. Sources, migration and transformation of nitrate in Fuhe River and Baiyangdian Lake, China. Chin. J. Eco-Agric. 2017, 25, 1236–1244. (In Chinese) [Google Scholar]
- Yao, S.; Zhang, X.; Cai, Y.; He, L.; Li, J.; Wang, X. Study on Distribution Characteristics of Different Nitrogen and Phosphorus Fractions by Spectrophotonbetry in Baiyangdian Lake and Source Analysis. Spectrosc. Spectr. Anal. 2022, 42, 1306–1312. (In Chinese) [Google Scholar]
- Zhao, Y.; Xia, X.; Yang, Z.; Wang, F. Assessment of water quality in Baiyangdian Lake using multivariate statistical techniques. Procedia Environ. Sci. 2012, 13, 1213–1226. [Google Scholar] [CrossRef]
- Wang, G.; Lv, C.; Gu, C.; Yu, Y.; Yang, Z.; Zhang, Z.; Tang, C. Pollutants Source Assessment and Load Calculation in Baiyangdian Lake Using Multi-Model Statistical Analysis. Water 2022, 14, 3386. [Google Scholar] [CrossRef]
- Yang, W.B.; Yang, J.; Zhao, Z.Q.; Zhang, J.; Wei, J. Temporal and spatial characteristics of nutrient flow and losses of the croplivestock system in Baiyangdian Basin. Chin. J. Eco-Agric. 2022, 30, 1722–1736. (In Chinese) [Google Scholar]
- Wang, G.; Ma, Y.; Sun, X.; Song, F.; Xiao, S. Study of nitrogen and phosphorus runoff in wheat-rice rotation farmland in Chao lake basin. J. Soil Water Conserv. 2010, 24, 6–9. [Google Scholar]
- Qin, B.Q.; Zhu, G.W.; Zhang, L.; Luo, L.; Gao, G.; Gu, B. Patterns of endogenous nutrient release from sediments of large shallow lakes and their estimation methods—A case study of Taihu Lake. Sci. China Ser. D Earth Sci. 2005, 35, 33–44. [Google Scholar]






| Sites | Latitude | Longitude | Land Use | Potential Sources of Pollution |
|---|---|---|---|---|
| S1 | 116°1′9.94″ | 38°51′27.40″ | Village | Domestic sewage |
| S2 | 116°1′33.95″ | 38°49′46.12″ | Village | Domestic sewage |
| S3 | 116°2′11.14″ | 38°54′0.71″ | Village | Domestic sewage |
| S4 | 115°58′26.96″ | 38°56′33.15″ | Scenic spots and farmland | Domestic sewage and chemical fertilizer |
| S5 | 115°57′24.76″ | 38°53′54.3″ | Aquaculture area and village | Domestic sewage and feed fertilizer |
| Sites | Parameters | Min | Max | Mean | Rate of Exceeded Standard (%) |
|---|---|---|---|---|---|
| S1 | pH | 7.82 | 9.21 | 8.32 | 1.21 |
| DO | 3.04 | 10.6 | 7.94 | 1.82 | |
| IMN | 4.24 | 9.32 | 6.13 | 55.2 | |
| NH4+-N | 0.025 | 0.148 | 0.036 | 0.00 | |
| TP | 0.020 | 0.052 | 0.032 | 0.61 | |
| TN | 0.210 | 1.10 | 0.597 | 1.82 | |
| S2 | pH | 7.59 | 8.85 | 8.39 | 0.00 |
| DO | 1.50 | 15.1 | 7.21 | 13.9 | |
| IMN | 3.74 | 8.79 | 6.42 | 63.6 | |
| NH4+-N | 0.025 | 0.220 | 0.054 | 0.00 | |
| TP | 0.016 | 0.040 | 0.030 | 0.00 | |
| TN | 0.260 | 2.53 | 1.09 | 40.6 | |
| S3 | pH | 7.26 | 8.13 | 7.61 | 0.00 |
| DO | 0.120 | 9.22 | 5.05 | 46.1 | |
| IMN | 0.420 | 7.86 | 5.59 | 33.9 | |
| NH4+-N | 0.025 | 0.117 | 0.032 | 0.00 | |
| TP | 0.014 | 0.068 | 0.034 | 12.1 | |
| TN | 0.090 | 1.19 | 0.485 | 0.61 | |
| S4 | pH | 7.72 | 9.19 | 8.20 | 2.42 |
| DO | 4.01 | 11.5 | 7.76 | 1.82 | |
| IMN | 0.840 | 13.5 | 3.55 | 3.03 | |
| NH4+-N | 0.025 | 0.156 | 0.037 | 0.00 | |
| TP | 0.005 | 0.055 | 0.024 | 0.61 | |
| TN | 0.520 | 3.82 | 1.31 | 73.3 | |
| S5 | pH | 7.23 | 7.89 | 7.50 | 0.00 |
| DO | 0.350 | 8.03 | 3.73 | 76.4 | |
| IMN | 3.37 | 11.0 | 4.77 | 3.64 | |
| NH4+-N | 0.025 | 0.218 | 0.059 | 0.00 | |
| TP | 0.040 | 0.187 | 0.066 | 83.0 | |
| TN | 0.500 | 2.28 | 1.16 | 52.1 |
| Seasons | Sites | Number of Samples | Proportion of Water Quality Grade | ||||||||
|---|---|---|---|---|---|---|---|---|---|---|---|
| I | II | III | IV | V | I | II | III | IV | V | ||
| Normal-flow season | S1 | 0 | 5 | 17 | 0 | 0 | 0% | 23% | 77% | 0% | 0% |
| S2 | 0 | 0 | 22 | 0 | 0 | 0% | 0% | 100% | 0% | 0% | |
| S3 | 1 | 13 | 8 | 0 | 0 | 5% | 59% | 36% | 0% | 0% | |
| S4 | 11 | 2 | 9 | 0 | 0 | 50% | 9% | 41% | 0% | 0% | |
| S5 | 0 | 0 | 11 | 10 | 1 | 0% | 0% | 50% | 45% | 5% | |
| High-flow season | S1 | 6 | 38 | 50 | 0 | 0 | 6% | 40% | 53% | 0% | 0% |
| S2 | 0 | 2 | 92 | 0 | 0 | 0% | 2% | 98% | 0% | 0% | |
| S3 | 1 | 49 | 42 | 1 | 1 | 1% | 52% | 45% | 1% | 1% | |
| S4 | 53 | 28 | 13 | 0 | 0 | 56% | 30% | 14% | 0% | 0% | |
| S5 | 0 | 3 | 73 | 16 | 2 | 0% | 3% | 78% | 17% | 2% | |
| Low-flow season | S1 | 0 | 2 | 47 | 0 | 0 | 0% | 4% | 96% | 0% | 0% |
| S2 | 3 | 28 | 18 | 0 | 0 | 6% | 57% | 37% | 0% | 0% | |
| S3 | 19 | 28 | 2 | 0 | 0 | 39% | 57% | 4% | 0% | 0% | |
| S4 | 41 | 9 | 0 | 0 | 0 | 84% | 16% | 0% | 0% | 0% | |
| S5 | 0 | 3 | 36 | 11 | 0 | 0% | 6% | 73% | 21% | 0% | |
Disclaimer/Publisher’s Note: The statements, opinions and data contained in all publications are solely those of the individual author(s) and contributor(s) and not of MDPI and/or the editor(s). MDPI and/or the editor(s) disclaim responsibility for any injury to people or property resulting from any ideas, methods, instructions or products referred to in the content. |
© 2023 by the authors. Licensee MDPI, Basel, Switzerland. This article is an open access article distributed under the terms and conditions of the Creative Commons Attribution (CC BY) license (https://creativecommons.org/licenses/by/4.0/).
Share and Cite
Liu, Y.; Zhang, Q. Study on the Spatiotemporal Variation in and Driving Mechanism of Water Quality in Baiyangdian Lake. Water 2024, 16, 166. https://doi.org/10.3390/w16010166
Liu Y, Zhang Q. Study on the Spatiotemporal Variation in and Driving Mechanism of Water Quality in Baiyangdian Lake. Water. 2024; 16(1):166. https://doi.org/10.3390/w16010166
Chicago/Turabian StyleLiu, Yang, and Qianqian Zhang. 2024. "Study on the Spatiotemporal Variation in and Driving Mechanism of Water Quality in Baiyangdian Lake" Water 16, no. 1: 166. https://doi.org/10.3390/w16010166
APA StyleLiu, Y., & Zhang, Q. (2024). Study on the Spatiotemporal Variation in and Driving Mechanism of Water Quality in Baiyangdian Lake. Water, 16(1), 166. https://doi.org/10.3390/w16010166
