Characteristics of Hydrogen and Oxygen Isotope Composition in Precipitation, Rivers, and Lakes in Wuhan and the Ecological Environmental Effects of Lakes
Abstract
1. Introduction
2. Study Area
3. Methodology
3.1. Sampling
3.2. Laboratory Work
3.3. Data Analysis
4. Results and Analysis
4.1. Analysis of Hydrogen and Oxygen Isotope Characteristics in Atmospheric Precipitation
4.1.1. Seasonal Effects of δ18O and δD in Atmospheric Precipitation
4.1.2. Precipitation Effect of δ18O and δD in Atmospheric Precipitation
4.1.3. Temperature Effect of δ18O and δD in Atmospheric Precipitation
4.2. Hydrogen and Oxygen Isotope Relationships of Yangtze River Water, Hanjiang River Water, Lake Water, and Precipitation
4.3. Hydrogen and Oxygen Isotope Characteristics of Lake Water and Lake Classification
4.3.1. The Relationship between Isotope Composition and EC in a Water Body
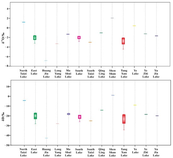
4.3.2. Isotope Variation Characteristics of Lakes
4.3.3. Lake Classification
4.4. Deuterium Excess Parameter Characteristics
5. Discussion
6. Conclusions
- (1)
- The LMWL in the Wuhan area was δD = 7.47δ18O + 1.77. Each surface water sample point was distributed near the LMWL, indicating that atmospheric precipitation was this area’s primary recharge source of surface water. However, data grouping was prominent, forming three grouping areas, i.e., the Yangtze River water, the Hanjiang River water, and the lake water. The enrichment degree of the δ18O and δD values was Yangtze River < Hanjiang River < lake water.
- (2)
- According to the results of the δ18O and δD cluster analysis of lake water, the lakes in Wuhan can be divided into two groups, i.e., inner-flow degraded (IFD) lakes and outer-flow ecological (OFE) lakes. The IFD lakes were affected by human engineering activities, which changed the connectivity of rivers and lakes. The exchange between the Yangtze River and the lakes was weakened, and the hydrogen and oxygen isotopes were enriched under evaporation, including North Taizi Lake, Ye Lake, and Shenshan Lake. The OFE lakes had the functions of ecological conservation and ecological landscape. The water exchange between the Yangtze River and the lakes was active, evaporation was weakened, and the hydrogen and oxygen isotopes were relatively depleted, including Huangjia Lake, East Lake, Tangxun Lake, etc.
- (3)
- The d values of the Yangtze River and the Hanjiang River were positive and the d values of the lakes were mainly negative, indicating that evaporation enrichment had a significant influence on the δ18O and δD of the lake water. The d values of the IFD lakes were −10~−20‰, and the d values of the OFE lakes were 10~−10‰. The d values of most OFE lakes were concentrated in the range of 0~−10‰. The fluctuation range was not extensive, indicating that the difference in the δ18O and δD fractionation rates of outflow ecotype lakes in this area was slight, which was not affected by rainfall, height, and other factors, and conformed to the law of the water cycle.
- (4)
- Among the many lakes in Wuhan, the eco-environmental problems of North Taizi Lake, Ye Lake, and Shenshan Lake were more serious. We suggest that the “North Taizi Lake-South Taizi Lake-Yangtze River” water system connection project and the small lakes connecting to large lakes project of “Wild Lake-Shenshan Lake-Tangxun Lake” should be implemented in time to restore the water eco-environments of lakes in Wuhan.
Author Contributions
Funding
Data Availability Statement
Acknowledgments
Conflicts of Interest
References
- Fang, Z.; Wang, X. A Probe into the Water logging and Flood Storage Potential of Lakes in Wuhan City. China Rural Water Hydro. 2017, 6, 101–104. [Google Scholar]
- Huang, Y.; Yang, J.; Chen, Y. Remote Sensing Study on Present Situation and Change of Lakes in Hubei Province. Geol. Miner. Resour. South China 2019, 35, 270–286. [Google Scholar]
- Pei, L.; Yan, D.; Zhang, H.; Wang, J.; Xu, K. Research on evolution characteristics and causes of urban lakes in Wuhan from 1960s. Geol. Miner. Resour. South China 2018, 34, 78–86. [Google Scholar]
- Matthews, T.J.; Whittaker, R.J. On the species abundance distribution in applied ecology and biodiversity management. J. Appl. Ecol. 2015, 52, 443–454. [Google Scholar] [CrossRef]
- Ma, J.; Huang, S.; Xu, Z. Satellite remote sensing oflake area in Wuhan from 1973 to 2015. J. Hydraul. Eng. 2017, 48, 903–913. [Google Scholar]
- Bai, Y. The Research on the Influence of Urbanization on Water Conservation Function in Wuhan City Circle. Master’s Thesis, Hainan University, Haikou, China, 2014. [Google Scholar]
- Wang, L. Analysis of Water Quality of Lakes in Wuhan. Master’s Thesis, Central China Normal University, Wuhan, China, 2013. [Google Scholar]
- Zhu, Z. Analysis on the Characteristics of Pollution in 309 Lakes in Hubei Province. Guangdong Chem. Ind. 2019, 46, 139–143. [Google Scholar]
- Barbieri, M. Isotopes in hydrology and hydrogeology. Water 2019, 11, 291. [Google Scholar] [CrossRef]
- Ala-aho, P.; Soulsby, C.; Pokrovsky, O.S.; Kirpotin, J.; Serikova, S.; Vorobyev, S.N.; Manasypov, R.M.; Loiko, S.; Tetzlaff, D. Using stable isotopes to assess surface water source dynamics and hydrological connectivity in ahigh-latitude wetland and permafrost influenced landscape. J. Hydrol. 2018, 556, 279–293. [Google Scholar] [CrossRef]
- Gibson, J.J.; Aggarwal, P.; Hogan, I.; Kendall, C.; Martinelli, L.A.; Stichler, W.; Rank, D.; Goni, I.; Choudhry, M.; Gat, J. Isotope studies in large river basins: A new global research focus. EOS Trans. Am. Geophys. Union 2002, 83, 613–617. [Google Scholar] [CrossRef]
- Zhang, M.J.; Wang, S.J. A review of precipitation isotope studies in China: Basic pattern and hydrological process. J. Geogr. Sci. 2016, 26, 921–938. [Google Scholar] [CrossRef]
- Liotta, M.; Favara, R.; Valenza, M. Isotopic composition of the precipitations in the central Mediterranean: Origin marks and orographic precipitation effects. J. Geophys. Res. Atmos. 2006, 111, D19. [Google Scholar] [CrossRef]
- Ma, H.; Yang, Q.; Yin, L.; Wang, X.; Zhang, J.; Li, C.; Dong, J. Paleoclimate interpretation in Northern Ordos Basin: Evidence from isotope records of groundwater. Quat. Int. 2018, 467, 204–209. [Google Scholar] [CrossRef]
- Zhang, M.J.; Wang, S.J. Precipitation isotopes in the Tianshan Mountains as a key to water cycle in aridcentral Asia. Sci. Cold Arid. Reg. 2018, 10, 27–37. [Google Scholar]
- Chen, X.; Wang, G.; Wang, F. Classification of stable isotopes and identification of water replenishment in the Naqu River basin, Qinghai-Tibet plateau. Water 2019, 11, 46. [Google Scholar] [CrossRef]
- Tian, L.; Yao, T. Stable isotopic variations in west China: A consideration of moisture sources. J. Geophys. Res. 2007, 112, D10. [Google Scholar] [CrossRef]
- Boschetti, T.; Awaleh, M.O.; Barbieri, M. Waters from the Djiboutian Afar: A review of strontium isotopic composition and a comparison with Ethiopian waters and Red sea brines. Water 2018, 10, 1700. [Google Scholar] [CrossRef]
- Zanazzi, A.; Wang, W.; Peterson, H.; Emerman, S.H. Using Stable Isotopes to Determine the Water Balance of Utah Lake(Utah, USA). Hydrology 2020, 7, 88. [Google Scholar] [CrossRef]
- Nagavciuc, V.; Bădălută, C.A.; Ionita, M. Tracing the relationship between precipitation and river water in the Northern Carpathians base on the evaluation of water isotope data. Geosciences 2019, 9, 198. [Google Scholar] [CrossRef]
- Li, X.; Weng, B.; Yan, D.; Qin, T.; Wang, K.; Bi, W.; Yu, Z.; Dorjsuren, B. Anthropogenic effects on hydrogen and oxygen isotopes of river water in cities. Int. J. Environ. Res. Public Health 2019, 16, 4429. [Google Scholar] [CrossRef]
- Qu, S.; Chen, X.; Wang, Y.; Shi, P.; Shan, S.; Gou, J.; Jiang, P. Isotopic characteristics of precipitation and origin of moisture sources in Hemuqiao catchment, a small watershed in the lower reach of Yangtze River. Water 2018, 10, 1170. [Google Scholar] [CrossRef]
- Bowen, G.J.; Ehleringer, J.R.; Chesson, L.A.; Stange, E.; Cerling, T.E. Stable isotope ratios of tap water in the contingous United States. Water Resour. Res. 2007, 43, 3. [Google Scholar] [CrossRef]
- Gat, J.R. Oxygen and hydrogen isotopes in the hydrologic cycle. Annu. Earth Planet. Sci. 1996, 24, 225–262. [Google Scholar] [CrossRef]
- Wang, T.; Chen, J.; Li, L. Entropy analysis of stable isotopes in precipitation: Tracing the monsoon systems in China. Sci. Rep. 2016, 6, 30389. [Google Scholar] [CrossRef] [PubMed][Green Version]
- Gat, J.R. Environmental Isotopes in the Hydrological Cycle, Principles and Applications (Atmospheric Water). Available online: http://www.hydrology.nl/ihppublications/149-environmental-isotopes-in-the-hydrological-cycle-principles-and-applications.html (accessed on 18 October 2018).
- Sánchez-Murillo, R.; Esquivel-Hernández, G.; Welsh, K.; Brooks, E.S.; Boll, J.; Alfaro-Solís, R.; Valdés-González, J. Spatial and temporal variation of stable isotopes in precipitation across Costa Rica: Ananalys is of historic GNIP records. Open J. Hydrol. 2013, 3, 226–240. [Google Scholar] [CrossRef]
- Tokarev, I.; Rumyantsev, V.; Rybakin, V.; Yakovlev, E. Inflow of surface and groundwater to Lake Ladoga based on stable isotope(2H,18O)composition. J. Great Lakes Res. 2022, 48, 890–902. [Google Scholar] [CrossRef]
- Sharp, Z. Principles of Stable Isotope Geochemistry, 1st ed.; Rapp, C., Ed.; Pearson Education: Upper Saddle River, NJ, USA, 2007. [Google Scholar]
- Kulik, N.; Efremenko, N.; Strakhovenko, V.; Belkina, N.; Borodulina, G.; Gatalskaya, E.; Malov, V.; Tokarev, I. Geochemical features of river runoff and their effect on the state of the aquatic environment of Lake Onego. Water 2023, 15, 964. [Google Scholar] [CrossRef]
- Halder, J.; Terzer, S.; Wassenaar, L.I.; Araguás-Araguás, L.J.; Aggarwal, P.K. The global network of isotopesin rivers(GNIR): Integration of water isotopes in watershed observation and riverine research. Hydrol. Earth. Syst. Sci. 2015, 19, 3419–3431. [Google Scholar] [CrossRef]
- Chhetri, T.B.; Yao, T.; Tian, L.; Zhang, X. Amount and temperature effects responsible for precipitation isotope variation in the southern slope of Himalayas. Sci. Cold Arid Reg. 2013, 5, 165–176. [Google Scholar]
- Liu, J.; Song, X.; Fu, G.; Liu, X.; Zhang, Y.; Hand, D. Precipitation isotope characteristics and climatic controls at a continental and an island site in Northeast Asia. Clim. Res. 2011, 49, 29–44. [Google Scholar] [CrossRef]
- Eastoe, C.J.; Dettman, D.L. Isotope amount effects in hydrologic and climate reconstructions of monsoon climates: Implications of some long-term data sets for precipitation. Chem. Geol. 2016, 430, 78–89. [Google Scholar] [CrossRef]
- Gorski, G.; Strong, C.; Good, S.P.; Bares, R.; Ehleringer, J.R.; Bowen, G.J. Vapor hydrogen and oxygen isotopes reflect water of combustion in the urban atmosphere. Proc. Natl. Acad. Sci. USA 2015, 112, 3247–3252. [Google Scholar] [CrossRef] [PubMed]
- Jameel, Y.; Brewer, S.; Good, S.P.; Tipple, B.J.; Ehleringer, J.R.; Bowen, G.J. Tap water isotope ratios reflect urban water system structure and dynamics across a semiarid metropolitan area. Water Resour. Res. 2016, 52, 5891–5910. [Google Scholar] [CrossRef]
- Mahlknecht, J.; Daessle, L.W.; Esteller, M.V.; Torres-Martinez, J.A.; Mora, A. Groundwater flow processes and human impact along the arid US-Mexican border, evidenced by environmental tracers: The case of Tecate, Baja California. Int. J. Environ. Res. Public Health 2018, 15, 887. [Google Scholar] [CrossRef]
- Zhu, M.; Wang, S.; Kong, X.; Zheng, W.; Feng, W.; Zhang, X.; Yuan, R.; Song, X.; Sprenger, M. Interaction of surface water and groundwater influenced by groundwater over-extraction, waste water discharge and water transfer in Xiong’an New Area, China. Water 2019, 11, 539. [Google Scholar] [CrossRef]
- Crawford, J.; Hughes, C.E.; Lykoudis, S. Alternative least squares methods for determining the meteoric water line, demonstrated using GNIP data. J. Hydrol. 2014, 519, 2331–2340. [Google Scholar] [CrossRef]
- Clark, I.D.; Fritz, P. Environmental Isotopes in Hydrogeology, 2nd ed.; Taylor and Francis: Abingdon, UK; Chemical Rubber Company Press: Boca Raton, FL, USA, 1997. [Google Scholar]
- Aiken, G.R.; Achim, A.; Amundson, R.G.; Luis, A.A.; Aravena, R.O. Isotope Tracers in Catchment Hydrology; Elsevier Besloten Ven-nootschap: Amsterdam, The Netherlands, 1998. [Google Scholar]
- Craig, H. Isotopic Variations in Meteoric Waters. Science 1961, 133, 1702–1703. [Google Scholar] [CrossRef] [PubMed]
- Rozanski, K.; Araguds-Araguds, L.; Gonfiantini, R. Isotopic Patterns in Modern Global Precipitation. In Climate Change in Continental Isotopic Records–Geophysical Monograph 78; Swart, P.K., Lohman, K.C., McKenzie, J., Savin, S., Eds.; American Geophysical Union: Washington, DC, USA, 1993; pp. 1–36. [Google Scholar]
- Yi, Y.; Gibson, J.J.; Hélie, J.F.; Dick, T.A. Synoptic and time-series stable isotope surveys of the Mackenzie River from Great Slave Lake to the Arctic Ocean, 2003 to 2006. J. Hydrol. 2010, 383, 223–232. [Google Scholar] [CrossRef]
- Mook, W.G. Environmental Isotopes in the Hydrological Cycle, Principles and Applications, Volumes I, IV and V. In Technical Documents in Hydrology No.39; IAEA-UNESCO: Paris, France, 2001. [Google Scholar]
- Vreča, P.; Krajcar Bronić, I.; Leis, A.; Demšar, M. Isotopic composition of precipitation at the station Ljubljana (Reaktor), Slovenia—Period 2007–2010. Geologija 2014, 57, 217–230. [Google Scholar] [CrossRef]
- Bronić, I.K.; Barešić, J.; Borković, D.; Sironić, A.; Mikelić, I.L.; Vreča, P. Long-term isotope records of precipitation in Zagreb, Croatia. Water 2020, 12, 226. [Google Scholar] [CrossRef]
- Li, J.; Pang, Z.; Kong, Y.; Zhou, M.; Huang, T. Contrasting seasonal distribution of stable isotopes and deuterium excess inprecipitation over China. Geophys. Res. Lett. 2014, 23, 2078–2085. [Google Scholar]
- McDonnell, J.J.; Bonell, M.; Stewart, M.K.; Pearce, A.J. Deuterium variations in storm rainfall: Implications for stream hydrograph separation. Water Resour. Res. 1990, 26, 455–458. [Google Scholar] [CrossRef]
- Boschetti, T.; Cifuentes, J.; Iacumin, P.; Selmo, E. Local meteoric water line of Northern Chile(18 S–30 S): Anapplication of error-in-variables regression to the oxygen and hydrogen stable isotope ratio of precipitation. Water 2019, 11, 791. [Google Scholar] [CrossRef]
- Dansgaard, W. Stable isotopes in precipitation. Tellus 1964, 16, 436–468. [Google Scholar] [CrossRef]
- Liu, J.; Guo, H.; Liu, F.; Wei, W.; Zhang, L.; Zhang, X. The variations of stable isotopes (δD and δ18O) in the precipitation in Baotou area. J. Arid Land Resour. Env. 2013, 27, 157–162. [Google Scholar]
- Liu, Z.; Tian, L.; Chai, X.R.; Yao, T. A model-based determination of spatial variation of precipitation δ18O over China. Chen. Geol. 2008, 249, 203–212. [Google Scholar] [CrossRef]
- Gu, J.; Zhang, W.; Xu, W.; Zhang, P. Characteristics of δD and δ18O in precipitation and water-vapor sources in Wuhan, middle reach of Changjiang River. Yangtze River 2017, 48, 31–63. [Google Scholar]
- Tu, L.; Wang, H.; Feng, H. Research on δ18O and δ18O isotope in the precipitation of Guilin. Carsologica Sin. 2004, 23, 304–309. [Google Scholar]
- Piao, J.; Chen, W.; Chen, S.; Gone, H.; Zhang, Q. Summer water vapor sources in Northeast Asia and East Siberia revealed by a moisture-tracing atmospheric model. J. Clim. 2020, 33, 3883–3899. [Google Scholar] [CrossRef]
- Yapp, C.J. A model for the relationships between precipitation D/H ratios and precipitation intensity. J. Geophys. Res. 1982, 87, 9614–9620. [Google Scholar] [CrossRef]
- Zhu, G.F.; Li, J.F.; Shi, P.J.; He, Y.Q.; Cai, A.; Tong, H.L.; Liu, Y.F.; Yang, L. Relationship between sub-cloud secondary evaporation and stable isotope in precipitation in different regions of China. Environ. Earth Sci. 2016, 75, 876. [Google Scholar] [CrossRef]
- Ding, Y.; Wang, Z.; Sun, Y. I nter-decadal variation of the summer precipitation in East China and its association with decreasing Asian summer monsoon. Part I: Observed evidences. Int. J. Climatol. 2008, 28, 1139–1161. [Google Scholar] [CrossRef]
- Xiao, J.; Zhang, F.; Jin, Z. Spatial characteristics and controlling factors of chemical weathering of loess in the dry season in the middle Loess Plateau, China. Hydrol. Process. 2016, 30, 4855–4869. [Google Scholar] [CrossRef]
- Aggrawal, P.K.; Gat, J.R.; Froehlich, K.F.O. Isotopes in the Water Cycle: Past, Present, and Future of a Developing Science; Springer: Berlin, Germany, 2005; pp. 39–51. [Google Scholar]
- Sun, T. Study on the Variable Characteristic of the Water Stable Isotopic Compositions in Yangtze River Basin; Hohai University: Nanjing, China, 2007; pp. 31–40. [Google Scholar]
- Li, S.L.; Yue, F.J.; Liu, C.Q.; Ding, H.; Zhao, Z.Q.; Li, X. The O and H isotope characteristics of water from major rivers in China. Chin. J. Geochem. 2015, 34, 28–37. [Google Scholar] [CrossRef]
- Li, C.; Yang, S.; Lian, E.; Yang, C.; Deng, K.; Liu, Z. Damming effect on the Changjiang (Yangtze River) river water cycle based on stable hydrogen and oxygen isotopic records. J. Geochem. Explor. 2016, 165, 125–133. [Google Scholar] [CrossRef]
- Deng, K.; Yang, S.; Lian, E.; Li, C.; Yang, C.; Wei, H. Three gorges dam alters the Changjiang (Yangtze) river water cycle in the dry seasons: Evidence from H-O isotopes. Sci. Total Environ. 2016, 562, 89–97. [Google Scholar] [CrossRef]
- Deng, Z.; Zhang, X.; Pan, G. Variations of Hydrogen and Oxygen Isotopes in Meteoric Precipitation in Wuhan, China. J. Yangtze River Sci. Res. Ins. 2016, 33, 12–17. [Google Scholar]
- Dong, X.; Deng, H.; Zheng, X.; Zhou, L. Analysis of Stable Isotope Characteristics and Water Vapor Origins in Atmospheric Precipitation in the Yangtze River Basin. Environ. Sci. Technol. 2017, 40, 78–84. [Google Scholar]
- Wu, Y.; Wan, J.; Lin, Y. Characteristics of Hydrogen and Oxygen Isotopes for Precipitation in Xiling Gorge Region of Yichang, Hubei Province. Geol. Sci. Technol. Inform. 2011, 30, 93–97. [Google Scholar]
- Zhao, J.; Wei, B.; Xiao, S. Stable isotopic characteristics of atmospheric precipitation from Yichang, Hubei. Trop. Geogr. 2009, 29, 526–531. [Google Scholar]
- Huang, H.; Luo, M.; Chen, Z.; Zhou, H.; Zhang, L.; Zhou, B.; Shi, T. The spatial and temporal distribution of stable hydrogen and oxygen isotope of meteoric water in Xiangxi river basin. Hydrogeol. Eng. Geol. 2016, 43, 36–41. [Google Scholar]
- Zhou, Y.; Wu, H.; He, B.; Li, J.; Duan, W.; Wang, J.; Tong, S. Study on Spatial and Temporal Variations of δ18O and δD in Yangtze River Water and Its Factors. Resour. Environ. Yangtze Basin 2017, 26, 678–686. [Google Scholar]
- Zhao, Y.; Yang, H.; Cao, J. Hydrogeochemistry and isotope hydrology of surface water and groundwater in the mountain watersheds of Daqing River, North China. Water 2022, 14, 1451. [Google Scholar] [CrossRef]
- Song, X.F.; Liu, X.C.; Xia, J.; Yu, J.J.; Tang, C.Y. Research on the transformation relationship between surface water and groundwater in the Huaisha River basin based on environmental isotope technology. Sci. China 2007, 37, 102–110. [Google Scholar]
- Froehlich, K.; Kralik, M.; Papesch, W.; Rank, D.; Scheifinger, H.; Stichler, W. Deuterium excess in precipitation of Alpine regions—Moisture recycling. Isot. Environ. Health Stud. 2008, 44, 61–70. [Google Scholar] [CrossRef] [PubMed]
- Yuan, F.; Sheng, Y.; Yao, T.; Fan, C.; Li, J.; Zhao, H.; Lei, Y. Evaporative enrichment of oxygen-18 and deuterium in lake waters on the Tibetan Plateau. J. Paleolimnol. 2011, 46, 291–307. [Google Scholar] [CrossRef]
- Wu, H.; Li, X.Y.; He, B.; Li, J.; Xiao, X.; Liu, L.; Liu, J. Characterizing the Qinghai Lake watershed using oxygen-18 and deuterium stable isotopes. J. Great Lakes Res. 2017, 43, 33–42. [Google Scholar] [CrossRef]
- Chen, K.; Qi, M.; Wang, X.; Huang, G. Study of urban lake landscape ecological security pattern evolution in Wuhan, 1995–2015. Acta Ecol. Sin. 2019, 39, 1725–1734. [Google Scholar]
- Chu, J.; Qin, D.; Wang, H.; Xiao, W.; Huang, T.; Wang, H. Simulation of lake water environment trends in Tangxun Lake of Wuhan under rainfall uncertainty. China Environ. Sci. 2009, 29, 955–961. [Google Scholar]
- Zhang, Y.; She, D.; Xia, J. Causal analysis on the specified paroxysmal water pollution incidents in Huai River Basin. Environ Eng Manag. J. 2015, 14, 139–151. [Google Scholar] [CrossRef]
- Cui, G.; Zuo, Q.; Li, Z.; Dou, M. Analysis of function and adaptability for interconnected river system network. Water Resour. Power 2012, 30, 1–5. [Google Scholar]
- Yang, W.; Zhang, L.; Li, Z.; Zhang, Y.; Xiao, Y.; Xia, J. Interconnected river system network scheme of urban lake group based on water environment improvement. Acta Geogr. Sin. 2018, 73, 115–128. [Google Scholar]












| Isotope | Season | Maximum/‰ | Minimum/‰ | Arithmetic Mean/‰ | Rainfall Arithmetic Mean/‰ |
|---|---|---|---|---|---|
| δ18O | Spring | 0.12 | −11.15 | −4.579 | −4.807 |
| Summer | −3.45 | −13.32 | −8.744 | −9.144 | |
| Autumn | −4.57 | −10.48 | −7.454 | −7.674 | |
| Winter | −2.15 | −9.38 | −5.186 | −5.964 | |
| δD | Spring | 0.12 | −11.15 | −4.579 | −4.807 |
| Summer | −3.45 | −13.32 | −8.744 | −9.144 | |
| Autumn | −4.57 | −10.48 | −7.454 | −7.674 | |
| Winter | −2.15 | −9.38 | −5.186 | −5.964 |
| Isotope | Annual | Spring | Summer | Autumn | Winter |
|---|---|---|---|---|---|
| δ18O | −0.207 | −0.116 | −0.22 | −0.186 | −0.147 |
| δD | −0.206 | −0.196 | −0.142 | −0.331 | −0.058 |
| Isotope | Annual | Spring | Summer | Autumn | Winter |
|---|---|---|---|---|---|
| δ18O | −0.274 * | −0.446 | −0.179 | −0.058 | 0.191 |
| δD | −0.314 ** | −0.424 | −0.23 | −0.069 | 0.134 |
| Applicable Area | LMWL | Data Source | Source of Literature |
|---|---|---|---|
| Wuhan | δD = 8.29δ18O + 7.44 | Precipitation events, GNIP | [66] |
| Wuhan | δD = 7.85δ18O + 4.62 | GNIP | [67] |
| Xiling Gorge, Yichang | δD = 8.45δ18O + 11.55 | Precipitation events | [68] |
| Yichang | δD = 8.4δ18O + 15 | Precipitation events | [69] |
| Xiangxi River, Yichang | δD = 8.17δ18O + 13.38 | Precipitation events | [70] |
| Yangtze River Basin | δD = 7.41δ18O + 6.04 | GNIP | [71] |
Disclaimer/Publisher’s Note: The statements, opinions and data contained in all publications are solely those of the individual author(s) and contributor(s) and not of MDPI and/or the editor(s). MDPI and/or the editor(s) disclaim responsibility for any injury to people or property resulting from any ideas, methods, instructions or products referred to in the content. |
© 2023 by the authors. Licensee MDPI, Basel, Switzerland. This article is an open access article distributed under the terms and conditions of the Creative Commons Attribution (CC BY) license (https://creativecommons.org/licenses/by/4.0/).
Share and Cite
Zhang, A.; Zhao, X.; He, J.; Huang, X.; Zhao, X.; Zhao, Y. Characteristics of Hydrogen and Oxygen Isotope Composition in Precipitation, Rivers, and Lakes in Wuhan and the Ecological Environmental Effects of Lakes. Water 2023, 15, 2996. https://doi.org/10.3390/w15162996
Zhang A, Zhao X, He J, Huang X, Zhao X, Zhao Y. Characteristics of Hydrogen and Oxygen Isotope Composition in Precipitation, Rivers, and Lakes in Wuhan and the Ecological Environmental Effects of Lakes. Water. 2023; 15(16):2996. https://doi.org/10.3390/w15162996
Chicago/Turabian StyleZhang, Ao, Xinwen Zhao, Jun He, Xuan Huang, Xingyuezi Zhao, and Yongbo Zhao. 2023. "Characteristics of Hydrogen and Oxygen Isotope Composition in Precipitation, Rivers, and Lakes in Wuhan and the Ecological Environmental Effects of Lakes" Water 15, no. 16: 2996. https://doi.org/10.3390/w15162996
APA StyleZhang, A., Zhao, X., He, J., Huang, X., Zhao, X., & Zhao, Y. (2023). Characteristics of Hydrogen and Oxygen Isotope Composition in Precipitation, Rivers, and Lakes in Wuhan and the Ecological Environmental Effects of Lakes. Water, 15(16), 2996. https://doi.org/10.3390/w15162996

