DSS-OSM: An Integrated Decision Support System for Offshore Oil Spill Management
Abstract
1. Introduction
2. Methodology
2.1. Offshore Oil Spill Vulnerability Analysis
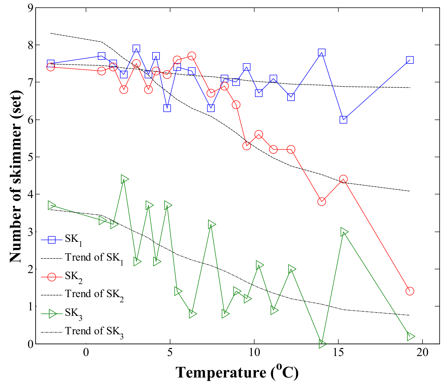
2.2. Offshore Oil Spill Response Technology Screening
2.3. Simulation-Optimization Coupling for Offshore Oil Spill Response
2.4. Integrated Decision Support System for Offshore Oil Spill Management
3. A Case Study of Offshore Oil Spill Management
3.1. Offshore OSVI Classification
3.2. Simulation of Oil Slick Movement
3.3. Offshore Oil Spill Response Technology Screening
3.4. Response Devices/Equipment Allocation
4. Conclusions
Supplementary Materials
Author Contributions
Funding
Institutional Review Board Statement
Informed Consent Statement
Data Availability Statement
Acknowledgments
Conflicts of Interest
References
- International Tanker Owners Pollution Federation (ITOPF). Oil Spill Tanker Statistics. 2020. Available online: https://www.itopf.org/knowledge-resources/data-statistics/statistics/ (accessed on 19 December 2021).
- Beyer, J.; Trannum, H.C.; Bakke, T.; Hodson, P.V.; Collier, T.K. Environmental effects of the Deepwater Horizon oil spill: A review. Mar. Pollut. Bull. 2016, 110, 28–51. [Google Scholar] [CrossRef] [PubMed]
- Bursian, S.J.; Alexander, C.R.; Cacela, D.; Cunningham, F.L.; Dean, K.M.; Dorr, B.S.; Ellis, C.K.; Godard-Codding, C.A.; Guglielmo, C.G.; Hanson-Dorr, K.C.; et al. Overview of avian toxicity studies for the Deepwater Horizon natural resource damage assessment. Ecotoxicol. Environ. Saf. 2017, 146, 4–10. [Google Scholar] [CrossRef] [PubMed]
- Echols, B.S. Toxicity evaluation of Louisiana nearshore marsh sediments following the Deepwater Horizon oil spill. Mar. Pollut. Bull. 2021, 168, 112380. [Google Scholar] [CrossRef]
- Griggs, J.W. BP Gulf of Mexico Oil Spill. Energy Law J. 2011, 31, 57–79. [Google Scholar]
- Keramea, P.; Spanoudaki, K.; Zodiatis, G.; Gikas, G.; Sylaios, G. Oil Spill Modeling: A critical review on current trends, perspectives, and challenges. J. Mar. Sci. Eng. 2021, 9, 181. [Google Scholar] [CrossRef]
- Nordvik, A.B. Time window-of-opportunity strategies for oil spill planning and response. Pure Appl. Chem. 1999, 71, 5–16. [Google Scholar] [CrossRef][Green Version]
- Ye, X.D.; Chen, B.; Lee, K.; Storesund, R.; Zhang, B.Y. An integrated offshore oil spill response decision making approach by human factor analysis and fuzzy preference evaluation. Environ. Pollut. 2020, 262, 114294. [Google Scholar] [CrossRef] [PubMed]
- Shi, X.; Wang, Y.; Luo, M.F.; Zhang, C.J. Assessing the feasibility of marine oil spill contingency plans from an information perspective. Saf. Sci. 2019, 112, 38–47. [Google Scholar] [CrossRef]
- Lazuga, K.; Gucma, L.; Perkovic, M. The model of Optimal Allocation of maritime oil spill combat ships. Sustainability 2018, 10, 2321. [Google Scholar] [CrossRef]
- Grubesic, T.H.; Wei, R.; Nelson, J. Optimizing oil spill cleanup efforts: A tactical approach and evaluation framework. Mar. Pollut. Bull. 2017, 125, 318–329. [Google Scholar] [CrossRef]
- You, F.Q.; Leyffer, S. Mixed-integer dynamic optimization for oil-spill response planning with integration of a dynamic oil weathering model. AIChE J. 2011, 57, 3555–3564. [Google Scholar] [CrossRef]
- Mata, A.; Corchado, J.M.; Tapia, D.I. CROS: A contingency response multi-agent system for Oil Spills situations. Appl. Soft Comput. 2011, 11, 3147–3159. [Google Scholar] [CrossRef]
- Brachner, M.; Stien, F.B.; Hvattum, L.M. A mathematical programming framework for planning an emergency response system in the offshore oil and gas industry. Saf. Sci. 2019, 113, 328–335. [Google Scholar] [CrossRef]
- Pourvakhshouri, S.Z.; Mansor, S.B.; Ibrahim, Z.Z. Oil spill management through a decision support system. Sea Technol. 2006, 47, 53. [Google Scholar]
- Assilzadeh, H.; Mansor, S.; Ibrahim, H. Petroleum hazards management by geomatic systems. In Proceedings of the Asian Conference of Remote Sensing, ACRS2001, Singapore, 5–9 November 2001; pp. 358–363. [Google Scholar]
- Brimicombe, A. GIS, Environmental Modeling and Engineering; Taylor & Francis: London, UK, 2003; p. 378. ISBN 9780429093418. [Google Scholar]
- Leech, M.; Walker, M.; Wiltshire, M.; Tyler, A. OSIS: A windows 3 oil spill information system. In Proceedings of the 16th Arctic Marine Oil Spill Program Technical Seminar, Ottawa, ON, Canada, 7–9 June 1993; pp. 549–572. [Google Scholar]
- Ji, Z.G.; Li, Z.; Johnson, W.; Auad, G. Progress of the oil spill risk analysis (OSRA) model and its Applications. J. Mar. Sci. Eng. 2021, 9, 195. [Google Scholar] [CrossRef]
- Balogun, A.L.; Yekeen, S.T.; Pradhan, B.; Yusof, K.B.W. Oil spill trajectory modelling and environmental vulnerability mapping using GNOME model and GIS. Environ. Pollut. 2021, 268, 115812. [Google Scholar] [CrossRef] [PubMed]
- Yang, Z.Y.; Chen, Z.; Lee, K.; Owens, E.; Boufadel, M.C.; An, C.J.; Taylor, E. Decision support tools for oil spill response (OSR-DSTs): Approaches, challenges, and future research perspectives. Mar. Pollut. Bull. 2021, 167, 112313. [Google Scholar] [CrossRef] [PubMed]
- Fetissov, M.; Aps, R.; Goerlandt, F.; Janes, H.; Kotta, J.; Kujala, P.; Szava-Kovats, R. Next-generation smart response web (NG-SRW): An operational spatial decision support system for maritime oil spill emergency response in the gulf of Finland (Baltic Sea). Sustainability 2021, 13, 6585. [Google Scholar] [CrossRef]
- Amir-Heidari, P.; Arneborg, L.; Lindgren, J.F.; Lindhe, A.; Rosen, L.; Raie, M.; Axell, L.; Hassellov, I.M. A state-of-the-art model for spatial and stochastic oil spill risk assessment: A case study of oil spill from a shipwreck. Environ. Int. 2019, 126, 309–320. [Google Scholar] [CrossRef] [PubMed]
- Nelson, J.R.; Grubesic, T.H. Oil spill modeling: Mapping the knowledge domain. Prog. Phys. Geogr. Environ. 2020, 44, 120–136. [Google Scholar] [CrossRef]
- Gundlach, E.; Hayes, M. Vulnerability of coastal environments to oil spill impacts. Mar. Technol. Soc. J. 1978, 12, 18–27. [Google Scholar]
- Monteiro, C.B.; Oleinik, P.H.; Leal, T.F.; Marques, W.C.; Nicolodi, J.L.; Lopes, B. Integrated environmental vulnerability to oil spills in sensitive areas. Environ. Pollut. 2020, 267, 115238. [Google Scholar] [CrossRef] [PubMed]
- Cai, L.; Yan, L.; Ni, J.L.; Wang, C. Assessment of Ecological Vulnerability under Oil Spill Stress. Sustainability 2015, 7, 13073–13084. [Google Scholar] [CrossRef]
- Azevedo, A.; Fortunato, A.B.; Epifanio, B.; den Boer, S.; Oliveira, E.R.; Alves, F.L.; de Jesus, G.; Gomes, J.L.; Oliveira, A. An oil risk management system based on high-resolution hazard and vulnerability calculations. Ocean Coast. Manag. 2017, 136, 1–18. [Google Scholar] [CrossRef]
- Ertekin, S.; Rudin, C. On equivalence relationships between C=classification and ranking algorithms. J. Mach. Learn. Res. 2011, 12, 2905–2929. [Google Scholar]
- Li, P.; Chen, B.; Li, Z.; Zheng, X.; Wu, H.; Jing, L.; Lee, K. A Monte Carlo simulation based two-stage adaptive resonance theory mapping approach for offshore oil spill vulnerability index classification. Mar. Pollut. Bull. 2014, 86, 434–442. [Google Scholar] [CrossRef] [PubMed]
- Li, P.; Chen, B.; Husain, T. IRFAM: Integrated rule-based fuzzy adaptive resonance theory mapping system for watershed modeling. J. Hydrol. Eng. 2011, 16, 21–32. [Google Scholar] [CrossRef]
- Chen, B.; Li, P.; Husain, T. Development of an integrated adaptive resonance theory mapping classification system for supporting watershed hydrological modeling. J. Hydrol. Eng. 2012, 17, 679–693. [Google Scholar] [CrossRef]
- Li, P.; Chen, B.; Zhang, B. An integrated rule-based adaptive resonance theory mapping approach for technologies screening in offshore oil spill response. In Proceedings of the CSCE 2013 Annual General Conferce, Québec, QC, Canada, 29 May–1 June 2013. [Google Scholar]
- Arbib, M.A. The Handbook of Brian Theory and Neural Networks, 2nd ed.; MIT Press: Cambridge, MA, USA, 2002; pp. 87–90. ISBN 9780262511025. [Google Scholar]
- Price, J.M.; Johnson, W.R.; Marshall, C.F.; Ji, Z.G.; Rainey, G.B. Overview of the oil spill risk analysis (OSRA) model for environmental impact assessment. Spill Sci. Technol. Bull. 2003, 8, 529–533. [Google Scholar] [CrossRef]
- Li, P.; Chen, B.; Zhang, B.Y.; Jing, L.; Zheng, J.S. Monte Carlo simulation-based dynamic mixed integer nonlinear programming for supporting oil recovery and devices allocation during offshore oil spill responses. Ocean Coast. Manag. 2014, 89, 58–70. [Google Scholar] [CrossRef]
- Li, P.; Chen, B.; Li, Z.L.; Jing, L. ASOC: A novel agent-based simulation-optimization coupling approach-algorithm and application in offshore oil spill responses. J. Environ. Inform. 2016, 28, 90–100. [Google Scholar] [CrossRef]
- Fisheries and Oceans Canada. The Grand Banks of Newfoundland: Atlas of Human Activities. 2007. Available online: https://www.dfo-mpo.gc.ca/oceans/publications/nfld-atlas-tnl/page07-eng.html (accessed on 19 December 2021).
- Nazir, M.; Khan, F.; Arnyotte, P.; Sadiq, R. Multimedia fate of oil spills in a marine environment-An integrated modelling approach. Process Saf. Environ. Prot. 2008, 86, 141–148. [Google Scholar] [CrossRef]
- Shen, H.; Yapa, P.; Petroski, M. A simulation model for oil slick transport in lakes. Water Resour. Res. 1987, 23, 1949–1957. [Google Scholar] [CrossRef]
- Wang, S.D.; Shen, Y.M.; Zheng, Y.H. Two-dimensional numerical simulation for transport and fate of oil spills in seas. Ocean Eng. 2005, 32, 1556–1571. [Google Scholar] [CrossRef]
- Al-Rabeh, A.H.; Cekirge, H.M.; Gunay, N. A stochastic simulation model of oil spill fate and transport. Appl. Math. Model. 1989, 13, 322–329. [Google Scholar] [CrossRef]
- Al-Rabeh, A.; Cekirge, H.; Gunay, N. Modeling the fate and transport of Al-Ahmadi Oil Spill. Water Air Soil Pollut. 1992, 65, 257–279. [Google Scholar] [CrossRef]
- Chao, X.B.; Shankar, N.J.; Cheong, H.F. Two- and three-dimensional oil spill model for coastal waters. Ocean Eng. 2001, 28, 1557–1573. [Google Scholar] [CrossRef]
- Chao, X.B.; Shankar, N.J.; Wang, S.S.Y. Development and application of oil spill model for Singapore coastal waters. J. Hydraul. Eng. 2003, 129, 495–503. [Google Scholar] [CrossRef]
- International Association of Oil and Gas Products (IOGP). Coordinatea Conversation and Transformation including Fomulas. 2021, IOGP Report 373-07-2. Available online: https://epsg.org/guidance-notes.html (accessed on 19 December 2021).
- Sarhadizadeh, E.; Hejazi, K. Eulerian oil spills model using finite-volume method with moving boundary and wet-dry fronts. Model. Simul. Eng. 2012, 2012, 7. [Google Scholar] [CrossRef]

















| Parameter | Value | Parameter | Value |
|---|---|---|---|
| Vapor pressure | 10.4 Pa | Molecular weight | 128.2 g/mol |
| Density | 832 kg/m3 | Gas constant | 8.314 m3∙Pa/mol∙K |
| Viscosity | 3.03 cP | Interface tension | 2000 dyne/m |
| Seawater Temperature °C | Wave Height m | Wind Speed m/s | Oil Viscosity cP | Slick Thickness mm | |
|---|---|---|---|---|---|
| Zone 1 | 0–15 | 0.5–5 | 3–13 | ≥3.03 | ≤50 |
| Zone 5 | −5–20 | 0.2–4 | 0.5–15 | ≥3.03 | ≤0 |
| SK 1 | ≥−10 | 0–3 | 0–20 | ≥10 | 5–50 |
| SK 2 | −10–20 | 0–2.5 | 0–15 | ≥5 | 1–50 |
| SK 3 | −5–15 | 0–2 | 0–12 | ≥2 | 0–50 |
| SK 4 | 5–20 | 0–0.5 | ≥20 | 10–200 | 0.01–1 |
| SK 5 | 20–30 | 0.5–2 | 0–5 | 50–1000 | 1–5 |
| SK 6 | ≥30 | 0–0.2 | ≥10 | ≥1000 | ≥4 |
| SK 7 | 10–15 | 0–0.3 | 0–10 | ≥50 | 0.1–0.5 |
| Skimmer | Mean | Median | Minimum Value | Maximum Value | Lower Bound of 95% CI | Upper Bound of 95% CI |
|---|---|---|---|---|---|---|
| SK 1> | 0.674 | 0.660 | 0.414 | 0.881 | 0.533 | 0.867 |
| SK 2 | 0.699 | 0.667 | 0.413 | 0.933 | 0.546 | 0.867 |
| SK 3 | 0.669 | 0.653 | 0.356 | 1.000 | 0.535 | 0.853 |
| SK 4 | 0.544 | 0.544 | 0.399 | 0.666 | 0.467 | 0.624 |
| SK 5 | 0.616 | 0.624 | 0.528 | 0.667 | 0.540 | 0.667 |
| SK 6 | 0.515 | 0.533 | 0.400 | 0.600 | 0.470 | 0.600 |
| SK 7 | 0.588 | 0.593 | 0.428 | 0.824 | 0.486 | 0.680 |
| Skimmer | Mean | Median | Minimum Value | Maximum Value | Lower Bound of 95% CI | Upper Bound of 95% CI |
|---|---|---|---|---|---|---|
| SK 1 | 0.716 | 0.730 | 0.467 | 0.921 | 0.548 | 0.867 |
| SK 2 | 0.698 | 0.667 | 0.467 | 0.933 | 0.569 | 0.867 |
| SK 3 | 0.659 | 0.653 | 0.364 | 0.933 | 0.543 | 0.800 |
| SK 4 | 0.542 | 0.543 | 0.414 | 0.661 | 0.475 | 0.607 |
| SK 5 | 0.750 | 0.800 | 0.528 | 0.800 | 0.609 | 0.800 |
| SK 6 | 0.549 | 0.567 | 0.433 | 0.667 | 0.500 | 0.637 |
| SK 7 | 0.592 | 0.602 | 0.458 | 0.809 | 0.504 | 0.649 |
| Skimmer | Time for Device Deployment (h) | Parameter for ORRn Simulation | |
|---|---|---|---|
| a | b | ||
| SK 1 | 3 | 0.01437 | 0.01602 |
| SK 2 | 6 | −0.00791 | 0.84975 |
| SK 3 | 12 | −0.01591 | 1.54975 |
Publisher’s Note: MDPI stays neutral with regard to jurisdictional claims in published maps and institutional affiliations. |
© 2021 by the authors. Licensee MDPI, Basel, Switzerland. This article is an open access article distributed under the terms and conditions of the Creative Commons Attribution (CC BY) license (https://creativecommons.org/licenses/by/4.0/).
Share and Cite
Li, P.; Chen, B.; Zou, S.; Lu, Z.; Zhang, Z. DSS-OSM: An Integrated Decision Support System for Offshore Oil Spill Management. Water 2022, 14, 20. https://doi.org/10.3390/w14010020
Li P, Chen B, Zou S, Lu Z, Zhang Z. DSS-OSM: An Integrated Decision Support System for Offshore Oil Spill Management. Water. 2022; 14(1):20. https://doi.org/10.3390/w14010020
Chicago/Turabian StyleLi, Pu, Bing Chen, Shichun Zou, Zhenhua Lu, and Zekun Zhang. 2022. "DSS-OSM: An Integrated Decision Support System for Offshore Oil Spill Management" Water 14, no. 1: 20. https://doi.org/10.3390/w14010020
APA StyleLi, P., Chen, B., Zou, S., Lu, Z., & Zhang, Z. (2022). DSS-OSM: An Integrated Decision Support System for Offshore Oil Spill Management. Water, 14(1), 20. https://doi.org/10.3390/w14010020

