Next Article in Journal
Classification and Prediction of Fecal Coliform in Stream Waters Using Decision Trees (DTs) for Upper Green River Watershed, Kentucky, USA
Previous Article in Journal
Systematic Review of Flood and Drought Literature Based on Science Mapping and Content Analysis
 
 
Font Type:
Arial Georgia Verdana
Font Size:
Aa Aa Aa
Line Spacing:
Column Width:
Background:
Article

Regional Agroclimate Characteristic and Its Multiple Teleconnections: A Case Study in the Jianghan Plain (JHP) Region

State Key Laboratory of Water Resources and Hydropower Engineering Science, Wuhan University, Wuhan 430072, China
*
Author to whom correspondence should be addressed.
Water 2021, 13(19), 2789; https://doi.org/10.3390/w13192789
Submission received: 26 August 2021 / Revised: 1 October 2021 / Accepted: 1 October 2021 / Published: 8 October 2021
(This article belongs to the Section Water and Climate Change)

Abstract

Agricultural production depends on local agroclimatic conditions to a great extent, affected by ENSO and other ocean-atmospheric climate modes. This paper analyzed the spatio-temporal distributions of climate elements in the Jianghan Plain (JHP), Central China, and explored the impacts from teleconnection patterns, aimed at providing references for dealing with climate change and guiding agricultural activities. Both linear and multifactorial regression models were constructed based on the frequentist quantile regression and Bayesian quantile regression method, with the daily meteorological data sets of 17 national stations in the plain and teleconnection climate characteristic indices. The results showed that precipitation in JHP had stronger spatial variability than evapotranspiration. El Niño probably induced less precipitation in summer while the weakening Arctic Oscillation might lead to more summertime precipitation. The Nash-Sutcliffe efficiency (NSE) of the multifactorial and linear regression model at the median level were 0.42–0.56 and 0.12–0.18, respectively. The mean relative error (MRE) ranged −2.95–−0.26% and −7.83–0.94%, respectively, indicating the much better fitting accuracy of the multiple climatic factors model. Meanwhile it confirmed that the agricultural climate in JHP was under the influence from multiple teleconnection patterns.

1. Introduction

Agricultural production plays a foundational role in national economic and social development [1]. To ensure sufficient water resources for agricultural production and food security, many reservoirs with irrigation functions and water diversion projects and irrigated areas have been built [2,3,4], such as the famous South-to-North Water Diversion Project [5] and the Zhanghe Irrigation District [6]. The operation of these water projects needs to consider the variability of local weather and regional climate to realize efficient water resource management [7,8,9]. Given a reliable forecast of short-term precipitation, for example, irrigation will not be carried out though it should be [10]. With the region warming and crop area extending, some reservoirs are likely to supply irrigation water earlier than before [11]. Global climate change is at present widely recognized and credible estimates of its impacts on regional weather become an important prerequisite for efficient agricultural water resource management [12,13,14], which can provide favorable tools for food security.
The El Niño phenomenon, manifesting in the form of constant abnormally warming of the sea surface over the central and eastern equatorial Pacific [15], reverses the traditional equatorial ocean currents and has a profound impact on the global atmospheric circulation [16]. One of the most obvious effects is the inverse correlation of sea level pressure between the southeast Pacific Ocean and the Indian Ocean and Indonesia, which is the so-called Southern Oscillation (SO) [17]. The El Niño and SO are regarded as two aspects of the same physical process [18], in which the El Niño represents the ocean while the SO represents the atmosphere. In views of their close relationship, meteorologists usually call them ENSO [19]. As the strongest inter-annual oscillation in the earth’s climate system, the ENSO has an enormous influence on the local weather and agricultural production in most countries and regions around the world, inducing drought in Canada [20], Brazil [21], India [22], and Australia [23] and causing crop failure and persistent low summertime temperatures in northeastern China [24]. Many papers confirmed that there existed certain correlations between ocean-atmosphere climate patterns and hydrological factors such as precipitation and evapotranspiration [25,26]. It is meritorious to attempt to investigate the qualitative and quantitative relationships of the subsistent interactions, facilitating more reliable climate prediction and thorough allocation and management of the local water resources [27], and this has therefore been the research focus in academia [28,29,30,31].
Machine learning algorithms are able to keep automatically improving through experience or data and have been widely applied in the study of climate. Park et al. [32]. developed drought prediction models for a short-period of time using remote sensing data and climate variability indices over East Asia through random forest (RF) algorithm. Li et al. [33] introduced a new meteorological drought prediction approach by combining the antecedent SST fluctuation pattern (ASFP) with three machine learning techniques including support vector regression (SVR), RF, and extreme learning machine (ELM), respectively. In addition, results showed better performance of the ASFP-ELM model. Bhuiyan et al. [34] investigated the use of quantile regression forests (QRF) for combining multiple global precipitation datasets and characterizing the uncertainty of the combined product. The proposed technique successfully encapsulated the reference precipitation and provided significant improvements in streamflow simulations, with reduction in systematic and random error on the order of 20–99% and 44–88%, respectively, when considering the ensemble mean. Koch et al. [35] applied the RF to predict the shallow groundwater levels in Denmark and estimated the uncertainties of predicted values with QRF, which was still rare for hydrological applications. Zhang et al. [36] built a distributed lag nonlinear model (DLNM), an artificial neural network model, and an XGBoost model and compared them to find that the XGBoost model had the highest prediction accuracy for overall droughts and for three specific drought categories (i.e., moderate, severe, and extreme). Fang et al. [37] discovered introducing Nino 1 + 2 as predictors helped to yield more accurate the reference evapotranspiration (ET0) forecasts. However, a model performance comparison also showed that nonlinear stochastic models (SVR or RF) did not always outperform linear models. The complex machine learning methods were likely to be troubled by over-fitting and huge time cost. The quantile regression was raised in 1978 [38], obtaining the regression models under all quantiles according to the conditional quantiles of dependent variable. Compared with the ordinary least square regression, it was able to more accurately describe the impacts from independent variables on the variation ranges and conditional distributions of dependent variable. With the robust performance and low requirements for preprocessing the original data, quantile regression and its derived models have been extensively used. Tan and Shao [39] predicted the precipitation in Xinjiang, China using two quantile regressions, taking the time and teleconnection climate indices as covariates. Compared to a frequentist quantile regression, the Bayesian quantile regression tended to generate smoother and narrower band confidence intervals of regression coefficients, especially at extremely high and low quantile levels.
The Jianghan Plain (JHP) is named for the location where the Yangtze River and its largest tributary Hanjiang River meet in Hubei Province, Central China (see Figure 1). With the average elevation <50 m and total land area of about 4.11 million hectares, the JHP is an important agro-productive area in China, covering a population >15 million and 21 county-level administrative regions (see Table 1). The JHP is located in 111°15′ E–114°13′ E, 29°26′ N–31°37′ N, most of which belongs to the “Cfa” type according to the Köppen-Geiger climate classification (see Figure A1). With sufficient light energy and heat, the annual mean sunshine duration is about 2000 h and total solar radiation is about 460–480 kJ/cm2. The frost-free period keeps about 240–260 days and the active accumulated temperature ranges 5100–5300 °C with the annual mean temperature of 15–17 °C. The precipitation from April to September with high temperature accounts for about 70% of the annual, which is beneficial to the improvement of agricultural production potential. The superior climatic conditions make the plain suitable for various crops, such as grain, cotton and rapeseed and the hilly land at the edge of the plain has gentle slope and thick soil, which is suitable for the growth of forests and fruit. So far most of relative research in JHP has focused on precipitation and temperature changes [40], and the internal relationship of water cycle including groundwater and surface water as well as the hydro-chemical characteristics [41,42]. There is a lack of specific research expounding the impacts of teleconnection patterns on this region rather than the scale of China or the Asia to provide more detailed instructions. The authors used the recognized Food and Agriculture Organization Penman-Monteith (FAO56-PM) [43] equation to calculate ET0 as the evapotranspiration characteristics and a mathematical model based on the quantile regressions to achieve the linkage among precipitation, ET0 and the possibly relevant teleconnection patterns.
There are three purposes of this paper. The first is to analyze the current spatio-temporal distributions of precipitation and ET0 in JHP. The second is to investigate the teleconnection between regional climate and ocean-atmosphere climate modes. The third is to quantify the intricate multifactorial relationships of the interactions among them. The structure of this article is as follows, the second chapter introduces the meteorological data and the climate patterns, and the quantile regression method used. Section 3 shows the results. Section 4 holds the discussion and Section 5 presents conclusions.

2. Materials and Methods

2.1. Meteorological Data Acquisition and Processing

The daily precipitation and other data related with ET0 used in this research, covering maximum air temperature, minimum air temperature, average air temperature, average relative humidity, average wind speed, and sunshine duration, were derived from 17 national meteorological stations in JHP for a period from December 1976 to December 2018. All of the datasets were provided by the Chinese Meteorological Data Service Centre. There were missing values in the daily precipitation series at three stations and the missing values accounted for <0.1% of the total precipitation data, replaced with the average values of the neighbor stations on the same days. The daily ET0 was calculated by the FAO56-PM equation and the missing values were found in all of the 17 stations selected, but only accounted for <0.3%. The missing values were substituted by the average values of the same station before and after missing days. The positions of the meteorological stations are shown in Figure 1 and detailed information is shown in Table 1. The geographical locations of meteorological stations changed slightly from 1977 to 2018, and the geographical location information given in the table was in December 2018.
In the study, one year was divided into four seasons, consisting of winter (December-January-February) at the beginning, followed by spring (March-April-May), summer (June-July-August) and autumn (September-October-November) at the end. Monthly precipitation and ET0 data were extracted from the daily data, and the seasonal data were obtained by accumulating monthly data. It was worth noting that the annual data were the sum of monthly data rather than seasonal data. Taking precipitation for example, the winter precipitation was the sum of precipitation in January, February and the previous December and the annual precipitation was the sum of 12 months from January to December in this year. There was a little difference between the annual precipitation and the sum of four seasons in one year.
The time series of ET0 at each meteorological station was calculated by the FAO56-PM as Equation (1):
E T 0 = 0.408 Δ R n G + γ 900 T + 273 U 2 e s e a Δ + γ 1 + 0.34 U 2
where Δ is the slope of vapor pressure versus air temperature curve, kPa°C−1; Rn is the mean daily net radiation, MJ·m−2·d−1; G is the soil heat flux, MJ·m−2·d−1; γ is the psychrometric constant, 0.0671 kPa°C−1; T is the mean daily air temperature at 2 m height, (Tmax + Tmin)/2,°C; Tmax is the daily maximum temperature, °C; Tmin is the daily minimum temperature, °C; u2 is the wind speed at 2 m height, m·s−1; es is the saturation vapor pressure, kPa; ea is the actual vapor pressure, kPa; and es − ea represents the vapor pressure deficit VPD, kPa.
The mean monthly, seasonal, and annual precipitation and ET0 in JHP were obtained by the Thiessen polygon method, shown in Figure 2. The annual precipitation was greater than the annual ET0 due to the larger precipitation in spring and summer. The winter and autumn precipitation were almost equal to ET0. Both the largest monthly precipitation and ET0 appeared in July and were 7.0 and 4.2 times than the smallest in December and January, respectively.

2.2. Ocean-Atmosphere Climate Patterns and Indices

The study made attempts to investigate the potential teleconnections between the ENSO and regional climate through mathematical analysis of correlations among precipitation and ET0 and the climatic characteristic indices. Both the NINO3 index and Southern Oscillation Index (SOI) are the two general indices to represent ENSO. The NINO3 index is a time series of sea surface temperature (SST) anomalies over the equatorial Pacific, and the SOI is a time series of normalized monthly differences in sea level pressure (SLP) from Tahiti to Darwin [39]. To make the results more comprehensive, the authors introduced another six climate patterns affecting the Northern Hemisphere, including the Atlantic Multidecadal Oscillation (AMO) [44], Arctic Oscillation (AO) [45], East Atlantic/West Russia (EAWR) [46], North Atlantic Oscillation (NAO) [47], Pacific Decadal Oscillation (PDO) [48], and Northern Oscillation (NO) [49]. These selected ocean-atmosphere climate patterns were described by the corresponding monthly indices with the same time range as meteorological data, provided by the National Oceanic and Atmospheric Administration (NOAA).
The AMO index is a multidecadal variation of the SST anomalies in North Atlantic, defined by Kerr in 2000 [50]. Many studies have indicated that AMO plays an important role in the climatic evolution in China and other regions around the world [51,52,53,54,55]. The EAWR is one of the predominant teleconnection patterns affecting the Eurasian throughout year, consisting of four main anomaly centers. The positive phase is associated with positive height anomalies located over Europe and northern China, and negative height anomalies located over the central North Atlantic and north of the Caspian Sea [56]. The NO represents the reverse changes between the pressure anomaly of the subtropical anticyclone in the eastern North Pacific Ocean and that of the equatorial low belt in the Philippines. The NO is very consistent with the SO, strengthening or weakening at the same time [57].
The AO mainly acts on the middle and high latitudes of the Northern Hemisphere [58], but also has a great impact on precipitation and temperature in East Asia and China [59,60]. The AO index was proposed in 1998 [61]. The PDO has been found to be closely related with the AO [62], which is characterized by the monthly detrended SST anomalies in the North Pacific Ocean from 20° N to the North Pole [63]. Mantua et al. (1997) [64] discovered and named it unexpectedly when surveying the Pacific salmon reproduction. The NAO index is the climatic variability of the SLP anomalies difference from the Azores to Reykjavik, Iceland. Some scholars believed that the NAO was a part of AO due to a plenty of similarities in spatial forms between them [65,66,67].

2.3. Correlation Coefficients and Quantile Regressions

Both the Pearson correlation coefficient ρ and the Kendall correlation coefficient τ were applied in this paper. The ρ focuses on the linear relationship between two variables, given as:
ρ = i = 1 n x i x ¯ y i y ¯ i = 1 n x i x ¯ 2 i = 1 n y i y ¯ 2
where xi and yi indicate the ith observation of the variable X and Y, respectively; x ¯ and y ¯ represent the average values; n is the number of observations. It is worth noting that the ρ is very sensitive to outliers and extreme values, disturbing the accuracy of correlations, nonetheless, the Pearson method has been widely used due to its simplicity and efficiency.
The Kendall correlation coefficient τ emphasizes the order correlation between two variables. Both the variable X and Y form a pair variable (X, Y), and (x1, y1) and (x2, y2) are two samples. When x 1 x 2 y 1 y 2 > 0 , we think the two sample are coordinated and consistent, otherwise they are different. The τ can be interpreted as the difference between the probability for the variable to be in the same order and the probability of these objects being in a different order, given as:
τ = P X 1 X 2 Y 1 Y 2 > 0 P X 1 X 2 Y 1 Y 2 < 0
The Kendall method is less affected by outliers and more detailed information about the τ can be found in the reference [68]. Therefore, both the ρ and τ were applied in the research and the statistical significance of correlation was confirmed only when both of them were significant.
Compared with the commonly used least-squares linear regression, this research chose the quantile regression [38] for the mathematical analysis of correlations, given the advantage of the ability to depict predictor variables at specific quantile levels with the control variables. This research adopted a well-established frequentist quantile regression [39] that the conditional density of yi was modeled by its quantile function q(τ|Xi) as:
q τ | X i = X i β τ
P y i < q τ | X i = τ 0 , 1
where yi is the observed time series; Xi is the covariate series; β(τ) means the regression coefficient for the quantile level τ. It was supposed that the quantiles changed linearly with the covariates selected to make the predictor variable in each quantile level able to be described by an intuitive linear function climate indices:
q τ | I n d e x = β 0 τ + I n d e x · β 1 τ
where β0(τ) is the intercept; β1(τ) is the regression coefficient. The frequentist quantile regression model explicitly demonstrated the influence of control variables under particular quantile probabilities, generally choosing 5th, 25th, 50th, 75th, and 95th, calculated using the ‘quantreg’ package in the R software. In this paper, the model was also applied in the multivariate estimation:
q τ | I n d e x 1 , I n d e x 2 , , I n d e x k = β 0 τ + i = 1 k β i τ · I n d e x i
The other method named the Bayesian quantile regression was adopted in the study. The parameters in the Bayesian model were regarded as random variables, of which the posterior and prior distribution were estimated iteratively to absorb data information in different periods and updated the data. Therefore, the Bayesian approach results in a more accurate inference and better estimates of parameter uncertainty as opposed to frequentist inference [69], deemed superior on estimating parameters [70,71]. In the research, the results stemmed from the Bayesian quantile regression were compared with those from the frequentist quantile regression and the calculations were completed based on the ‘bayesQR’ package in the R software. Then the study was performed step by step following Figure 3.
To test and compare the validity of the models, three indictors were applied including the normalized centered root-mean-square error (NCRMSE) [72], mean relative error (MRE) [73] and Nash–Sutcliffe efficiency (NSE):
NCRMSE = 1 n i = 1 n S i O i 1 n i = 1 n S i O i 2 1 n i = 1 n O i O ¯ 2
MRE = i = 1 n S i O i i = 1 n O i
NSE = 1 i = 1 n S i O i 2 i = 1 n O i O ¯ 2
where Si is the regression estimated value and Oi is the reference value calculated by meteorological data.

3. Results

3.1. Spatio-Temporal Distributions of Regional Climate

The mean annual precipitation in JHP for the period from 1977 to 2018 was 1154 mm, with the minimum (maximum) value of 853 mm (1557 mm). The largest precipitation occurred in summer, with a proportion of 42.1% to the total annual precipitation and the smallest proportion of 9.7% existed in winter. The proportions of spring and autumn precipitation were 30.1% and 18.1%, respectively. A decreasing trend of winter precipitation from southeast to northwest was exhibited in JHP and the spring was similar to the winter except for the obviously larger amount of precipitation. The summertime precipitation increased from south-to-north and the maximum values were located in ZX. The precipitation in autumn has a relatively uniform spatial distribution (see Figure 4a). As for the ET0 during the same period, the annual average value was 936 mm, with the maximum (minimum) value of 1044 mm (836 mm). It was found that the highest ET0 occurred in summer accounting for 41.4% and the smallest of 10.3% existed in winter. The proportions of spring and autumn ET0 were 26.9% and 21.4%, respectively. Compared to the precipitation, the seasonal ET0 in JHP was fairly well-distributed (see Figure 4b). The monthly distributions of both precipitation (see Figure A2) and ET0 (see Figure A3) were dawn as well.
In the past 40 years, the annual precipitation (ET0) showed a statistically significant declining (rising) trend of 18 mm (8 mm) per decade. The winter and spring precipitation increased by 2 mm and 5 mm per decade, respectively, but insignificantly. The corresponding ET0 increased significantly, at the rates of 1 mm and 6 mm per decade, respectively. There existed a statistically significant decrease of precipitation by 16 mm per decade in summer. With a decreasing rate of 9 mm per decade, the precipitation in autumn changed insignificantly (see Figure A4).

3.2. Linear Regression Analysis

The lagged correlations from 0- to 6-month, between the precipitation in JHP and ocean-atmosphere climate patterns selected were separately detected via both the Pearson and Kendall methods in the research. It demonstrated that the correlations between the time series of annual precipitation and NINO3 index were statistically significantly positive under all lags and the highest value appeared at the lag of 3-month (see Table A1), used in the quantile regression models. No obvious correlations between the annual precipitation and the other seven climate indices were confirmed (see Table A1).
Both the frequentist (see Figure 5a) and Bayesian quantile regression (see Figure 5b) were adopted to investigate the mathematical relationship between the series of annual precipitation and NINO3 index. The climate index was standardized beforehand for the sake of comparison. It was over all quantile levels except for the extremely high level (τ = 0.95) that positive correlations performed significantly, supporting the results from the correlation coefficient methods. The regression curves obtained by the Bayesian quantile regression displayed an extreme consistency with those from the frequentist quantile regression, ensuring the reliability of the results. The interaction analysis of seasonal precipitation and climate indices was executed with the same methods. It was certain that the wintertime precipitation related most closely with the AO and EAWR at the 0-month lag (see Table A2). With the increasing AO or EAWR index, the precipitation in winter increased quickly (see Figure 5c,d), except for at τ = 0.05. There existed similar numerical relationships between the AO and EAWR index and the wintertime precipitation; however the statistical significance differed. The significance of AO was discovered only when τ = 0.50 and 0.95, while the EAWR index was related significantly with precipitation in winter under all quantiles except τ = 0.05. In summer, the precipitation was close to the NINO3 index with a 5-month lag (see Table A3) and the regression analysis demonstrated the existed significant positive correlations at the low and median quantile levels (see Figure 5e), which was similar to the relation between the annual precipitation and NINO3 index. The AO index at the lag of 2-month with negative correlations (see Table A3) were found in all quantile levels and significantly at τ = 0.75 and 0.95 (see Figure 5f).
Statistically significant relationships were not found between the precipitation in spring and autumn and all of climate indices, so not to be discussed (see Table A4). As for the annual and the ET0 in winter and autumn, none of them was significantly correlated with the eight indices selected under all lags of months (see Table A5). Therefore, the authors only analyzed the spring and summer ET0.
It made sure that there existed conspicuous relations between the springtime ET0 in JHP and the AMO index with 2-month lag under all lag times (see Table A6). The ET0 in spring except for τ = 0.05 raised with the increasing AMO index, insignificantly at τ = 0.05 and 0.95 (see Figure 5g). The correlation coefficient between the EAWR index and spring ET0 achieved the maximum value at the 6-month lag (see Table A6). Figure 5h indicates that the springtime ET0 reduced significantly with the increasing EAWR index at all quantile levels except when τ = 0.75. The magnitude decreased first and then increased with the quantile increasing. It was not lagged obviously enough for the correlation between the summer ET0 and NAO index (see Table A7), the only one related significantly among these climate indices, performing positively at all quantiles but significantly only at τ = 0.05 and 0.50 (see Figure 5i). The results stemmed from the Bayesian quantile regression were almost completely consistent with the frequentist so not to be listed to save space.

3.3. Multifactorial Quantile Regression Analysis

In this section, the authors attempt to preliminarily explore the conditioning mechanism between the regional climate and teleconnection patterns with the multifactorial regression model based on the frequentist quantile regression, incorporating the precipitation and ET0 and all related climate indices. We continued to use the lagged months when the maximal correlation occurred. For example, the annual precipitation in JHP was regarded as the predictor variable, and then the corresponding annual ET0 with the same time ranges and the closely related NINO3, AO and EAWR index were considered to be the control variables, given the model as follows according to Equation (7):
q τ | E T 0 , N I N O 3 , AO , EAWR = β 1 τ + β E T 0 τ · E T 0 + β NINO 3 τ · NINO 3 + β AO τ · AO + β EAWR τ · EAWR
where each of the control variables was scaled to have a zero average value and a standard deviation of one. As shown in Figure 6a, the annual precipitation and NINO3 index performed positive correlations under all quantile levels and significantly when τ ≤ 0.50, implying that the El Niño phenomenon was likely to play an important role in less annual precipitation in JHP. The series of the AO and EAWR index were only significantly related with the annual precipitation at τ = 0.05 and 0.50, respectively, presenting the weak effects. Analogously, the multiple factor model aimed at the seasonal precipitation as the predictor variable has been established. The wintertime precipitation in JHP was significantly positively related with the AO index at the median and high quantiles (see Figure 6b), while significantly with the EAWR index only at τ = 0.50 (see Figure 6c), demonstrating the AO predominated the winter precipitation. In summer, the NINO3 index distinctly contributed to the increasing precipitation at different quantile levels except for τ = 0.75 (see Figure 6d). The precipitation was negatively related with the AO index under all quantiles, significantly just when τ = 0.75 and 0.95 (see Figure 6e).
As for the seasonal ET0 as the predictor variable, the contemporaneous series of precipitation and closely related climate indices were selected as the control variables to constitute multifactorial regression models. Figure 6f showed that the spring ET0 was positively correlated with the AMO index at all quantile levels, and statistically significantly except at the median level. The relations between the series of spring ET0 and EAWR index were absolutely opposite at all levels, significantly only at τ = 0.05 and 0.25 (see Figure 6g). There were statistically significantly positive correlations between the ET0 in summer and NAO index at quantiles of τ = 0.25, 0.50 and 0.95 (see Figure 6h).
Then the validity of the models was tested at the median quantile level, as shown in Table 2. It showed that both NCRMSE and MRE of the multifactorial regression model were smaller than those of the linear regression model for the same predictor variable, indicating that the simulation effect of multifactorial model was better with smaller random error and systematic error. The larger NSE values further demonstrated the better performance of multifactorial models.

3.4. Composite Analysis for Climate Variability

We additionally researched the variation distributions of agro-climatic factors in JHP during the El Niño years, defined by Yeh et al. [16], as shown in Table 3. Then the composite analysis of both seasonal precipitation and ET0 were carried out, shown in Figure 7.
In the autumn and winter of the EP-El Niño years, a slight increase precipitation appeared in the southeast of JHP and a small decrease in other areas. As for spring, the precipitation declined compared with the general years except for the JZ area. A strong spatial variability of increasing precipitation was found in summer with an increasing magnitude from west to east. WH and XG increased by more than 80 mm while they failed to pass the significance test of 0.05 level. During the CP-El Niño years, there existed more obvious seasonal variations of precipitation in JHP. The winter precipitation in JZ, TM, and WH increased by more than 20 mm, statistically significantly at the level of 0.05. The precipitation rose intensely in spring with an increasing trend from north to south, while the precipitation in summer and autumn were less than the general. Therefore, the opposite effects of EP- and CP-El Niño events on seasonal precipitation in JHP were found, except for the autumn.
Compared with precipitation, the spatial variability of seasonal ET0 was weak. In the EP-El Niño years, the ET0 decreased in spring and summer and increased in autumn, but the variation was within 20 mm. In the CP-El Niño years, almost all of seasonal ET0 showed a mild increasing trend except for the winter. The effects of the two El Niño events on ET0 were opposite during winter, spring and summer, but kept the same in autumn.
The CP-El Niño event led to less precipitation and larger crop water demand (CWD) in summer, likely to aggravate the risk of summer drought in JHP. The EP-El Niño event was just on the contrary with an obvious increase in summer precipitation and decrease of CWD; however increasing the probability of flood disaster. According to the analysis of the China Meteorological Administration, the extremely severe flood in the Yangtze River Basin occurred in 1998 was proved to be related with the super El Niño event during 1997/1998, which event was the EP-type.

3.5. Correlations between Agricultural Production and Climate

The analysis of correlations between precipitation and ET0 and agricultural production factors in JHP has been performed. Meanwhile five other counties in the plain have additionally been studied, including ZX in the north, JLi and HH in the south, TM in the middle and JZ in the mid-west. All of the first four counties have large planting areas of crops, and JZ has a relatively high level of urbanization, which makes the correlation analysis more comprehensive and representative. The correlations between the time series of annual precipitation and agricultural water consumption (AWC) have been obtained, as shown in Figure 8.
It could be seen that there were clear negative correlations between annual precipitation and AWC. In wet years, agricultural production depends less on artificial irrigation with low AWC. On the contrary the AWC grows in dry years. In addition, the authors selected two main grain crops, rice and wheat, and two main cash crops, rapeseed and cotton, to analyze the correlations between their yields and evapotranspiration, as shown in Figure 9.
The yields of rice and wheat in ZX were positively correlated with ET0, while that of cotton was negatively. The trend of rapeseed yield was not obvious and the relationships of TM were the same as ZX. The consistent rules were found in JLi and HH. The yield of cotton grew while that of other three crops declined with ET0 increasing. JZ was unique. There was no obvious correlation between its rice yield and ET0, while the yield of wheat was positively correlated and the cash crops including rapeseed and cotton were negatively correlated. As far as JHP was concerned, all of the correlations between ET0 and yields of major crops were weak, which was probably caused by the area scale effect. In addition, human activities such as artificial irrigation and changing crop planting structure also affected the relations to a great extent.
To sum up, precipitation and evapotranspiration had a real impact on local agricultural production, concerned about water resource consumption, crop yield, planting area, and crop species. It was certain that there was significant spatial variability for the impact in JHP. Therefore, it was a necessary step to explore the regional spatio-temporal distributions of precipitation and ET0 and reveal the correlations with teleconnection patterns.

4. Discussion

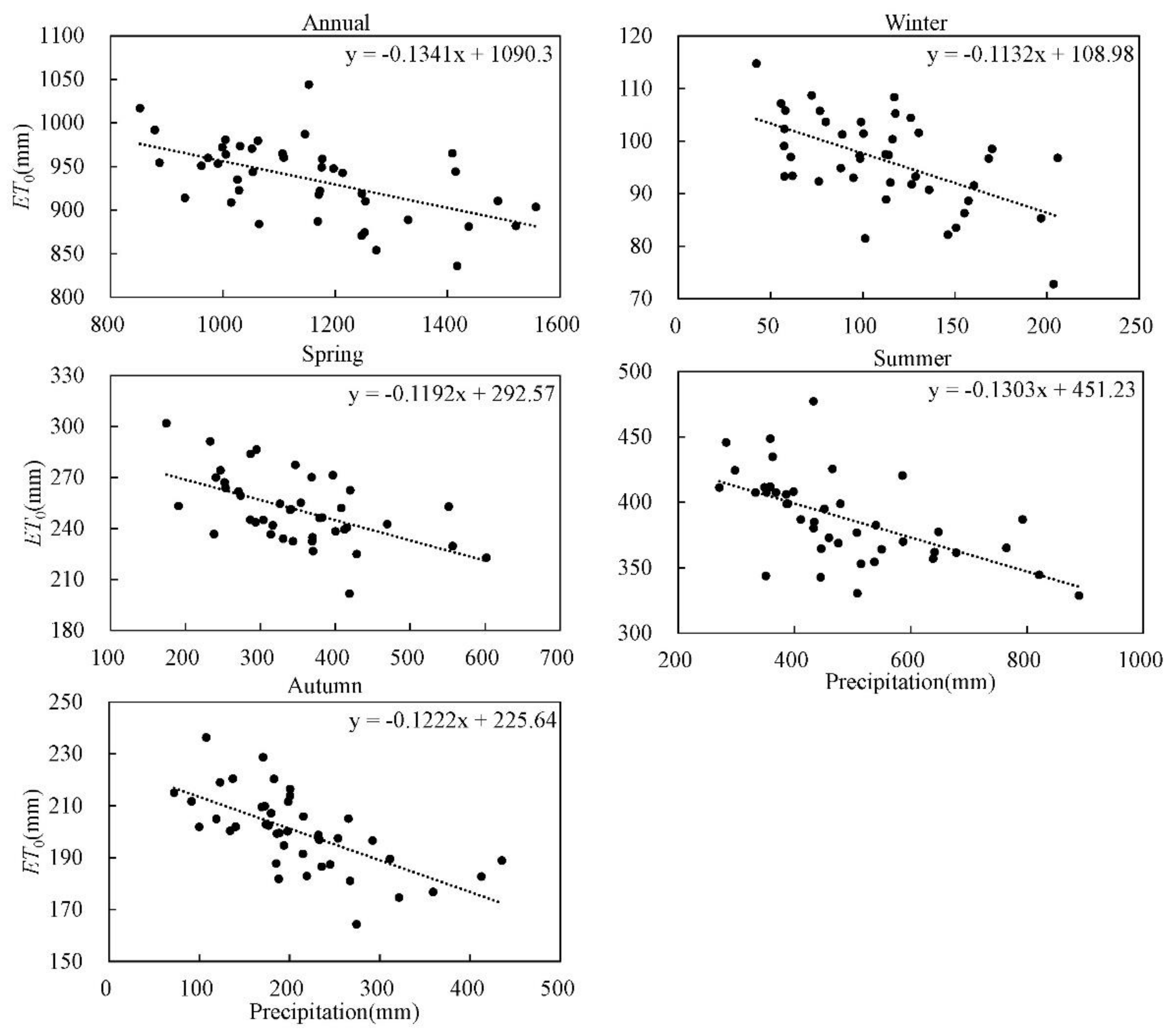
In this paper, the authors analyzed the spatial distributions and temporal trends of both the precipitation and ET0 in JHP, finding that the seasonal precipitation has an obvious spatial gradient from southeast to northwest approximately, except for that of autumn. By contrast, the seasonal ET0 kept uniform in space, demonstrating the less difference between the ET0 in counties. It could be seen that the variation magnitudes of precipitation were larger than that of ET0. The same features were discovered on the monthly scale, indicating that the crop species in JHP was the key to cause spatial variabilities of the agricultural water demand equal to the product of ET0 and crop coefficient. It might provide a guideline for the local agricultural department to select crop and design planting area, considering the spatio-temporal characteristics of precipitation and evapotranspiration. Moreover, the authors received the statistically significantly negative correlation between the precipitation and ET0 in both the annual and seasonal scales through portraying scatterplots of them (see Figure A5), which portended the probable smaller rainfall with the increasing ET0. Nonetheless, it was not necessarily to do harm to agricultural production while needs to be noted by the managers. The similar relationships were found in the Weihe River basin in China [74] but in the coastal areas of southwest Australia, the actual evapotranspiration were regarded to be positively related with the precipitation [75]. In other parts of the world, researchers discovered that the annual evapotranspiration in Oklahoma, Kansas, and Nebraska rose almost linearly with the increasing precipitation at a rate tending to reduce. When the annual precipitation achieved more than 900 mm, the average annual evapotranspiration stopped and kept a constant about 800 mm [76]. On the contrary, a negative correlation was obtained between the maximum annual evapotranspiration and minimum annual precipitation in the Middle East and north Africa [77]. It was summarized that the correlations between precipitation and evapotranspiration were different in different regions, probably greatly related to the local topography, landform, and atmospheric circulation [78,79].
This study explored the linear mathematic relationship between the individual climate index and regional hydrological factor employing the frequentist and Bayesian quantile regression models. The distinctly positive correlations between the time series of NINO3 index and precipitation signified that the El Niño phenomenon induced the increasing rainfall; however, the relation changed at the extreme high quantile. The incremental AO index was likely to catalyze the wintertime precipitation but weaken the rainfall in summer. Another climate index the EAWR also strengthened the precipitation in winter while whittled down the spring ET0. These linear curves helped us to roughly recognize the correlations between regional weather and ocean-atmosphere climate modes, as a foundation of building the multifactorial quantile regression model, referring to the precipitation and ET0 and climate pattern indices, to expound the impacts of teleconnections.
Compared to the linear regression, a holistic decrease of quantile regression coefficients between the NINO3 index and annual precipitation occurred except for a slight increase at τ = 0.05 (see Figure 6a), especially when τ = 0.25 and 0.50 greatly reduced by 34.1% and 45.8%, respectively. The decreased NINO3 coefficients demonstrated that the facilitation of the El Niño phenomenon on the precipitation has weakened after introducing the ET0 and AO and EAWR factors into the regression model. Nevertheless, the unchanged significance of coefficients at the low and median quantiles indicated that the El Niño performed a vital role in the general and smaller annual precipitation in JHP, which was supported by [80]. They testified that the El Niño events made precipitation in China decrease, and increased the probability of drought. The EAWR is one of the main teleconnection patterns affecting the Asian climate in winter [81]. The influence of multiple factors made the regression coefficients of the EAWR index reduce sharply and be statistically significant only at the median quantile (see Figure 6c). On the contrary, the effects of the AO on winter precipitation were reinforced at the extremely high quantile (see Figure 6b). Similar to the annual, regression coefficients of the NINO3 index to the summertime precipitation decreased with unchanged significance when τ ≤ 0.50 (see Figure 6d), which testified the El Niño was a key conditioning factor to the less summer precipitation in JHP. The absolute values of regression coefficients between the AO index and summer precipitation were cut by a third while the significance changed slightly.
As shown in Figure 6f, the non-significantly negative correlation between the AMO index and spring ET0 at τ = 0.05 reversed greatly the significantly positive results, and the significance at median quantile disappeared after considering the effects of multifactorial interactions. At τ = 0.95, the regression coefficient decreased by 55.2% but become significantly interesting. The variation of coefficients between the spring ET0 and EAWR index mainly appeared at the median and high quantiles, especially at τ = 0.95, the absolute values declined sharply by 90.1% and lost the significance (see Figure 6g). There was a partly weakening effect of multiple climate patterns on the spring ET0, but a strengthening effect appeared at the level of τ = 0.25 for the summer (see Figure 6h).
This paper established a multifactorial mathematical model based on quantile regressions, providing a new idea to expound the intricate interactions between the regional climate and teleconnection patterns, efficiently and comprehensively. In addition, many scholars used quantile regression to explore the teleconnection mechanism. Tan et al. [82] proposed a Bayesian spatio-temporal quantile model to consider the effects of ENSO, PDO, NAO, Pacific-North American (PNA), and North Pacific (NP) on winter precipitation in Canada, showing that their impacts on high and low quantile values were significantly greater than at median level. Amini et al. [83] used the Bayesian quantile regression to explore the influence of teleconnection on drought in Iran. They found that La Niña increased the drought standardized precipitation index (SPI) at all quantile levels and aggravated the drought in the Caspian Sea coastal regions. Tharu and Dhakal [84] also used Bayesian quantile regression to explore the effects of ENSO and NAO on the extreme precipitation at different quantile levels in the United States. Hao et al. [85] analyzed the non-stationarities in extreme precipitation events and related climate indices at 13 stations in the Hanjiang river basin, based on the generalized additive model (GAMLSS). They found that better performance of simulating extreme precipitation intensity and scale after considering climate indices. For example, all of the fitting coefficients of the maximum five-day precipitation (RX5day) representing the extreme precipitation intensity in Zhongxiang, Wuhan, and Tianmen station exceeded 0.99 after considering the impacts of climate indices including NINO3, SOI, and NAO, indicating that those teleconnection patterns have profound impacts on the climate in JHP.
Quantile regression has been widely used in the research of climate change and teleconnection. Both developing new models based on quantile regression and extreme climate events are probable research hotspots in the future.

5. Conclusions

The study depicted the spatial distributions and temporal trends of the local climate in JHP used the daily data from 17 national meteorological stations from 1977 to 2018. Both the linear and multifactorial regression models were constructed based on the frequentist and Bayesian quantile regression to reveal the impacts of ocean-atmosphere climate modes on the regional climate. Here are the main conclusions:
(1)
For the period from 1977 to 2018, the average annual precipitation and ET0 in JHP were 1154 mm and 936 mm, respectively. The largest proportions annually occurred in summer, more than 40%. The smallest appeared in winter but remained around 10%. There were distinct gradients from southeast to northwest approximately in the seasonal and monthly rainfall while the ET0 kept a slight variability of spatial characteristics. The winter and spring precipitation increased and the other two seasons decreased, while all of the four seasons ET0 showed increasing trends.
(2)
El Niño probably induced less precipitation in summer while the weakening Arctic Oscillation might lead to more summertime precipitation in JHP. There existed positive correlations between the AO and EAWR and the wintertime rainfall. With the incremental AMO index and the diminishing EAWR index, the springtime ET0 increased, and the ET0 in summer was related positively with the NAO index. It was confirmed that there were statistically significantly negative correlations between precipitation and ET0 in JHP.
(3)
The multifactorial regression model performed much better than the linear model, indicating the composite effects of those teleconnection patterns on the agroclimatic conditions in JHP. In addition, different types of the same teleconnection might have opposite effects such as EP- and CP-El Niño.

Author Contributions

Conceptualization, D.S. and W.L.; methodology and software, W.L.; validation, W.G. and D.M.; formal analysis, W.L.; investigation, D.M.; resources, D.S. and W.G.; data curation, W.L.; writing—original draft preparation, W.L.; writing—review and editing, D.S. and W.L.; visualization, W.L.; supervision, W.G.; funding acquisition, D.S. All authors have read and agreed to the published version of the manuscript.

Funding

This research was funded by the State Key Research and Development Plan of China, grant number 2019YFC0408905 and the National Natural Science Foundation of China, grant number 51709204.

Data Availability Statement

The daily meteorological data sets used in the study, including precipitation, maximum air temperature, minimum air temperature, average air temperature, average relative humidity, average wind speed and sunshine duration, were available from the China Meteorological Data Service Centre available online: http://data.cma.cn (accessed on 26 August 2021). The ocean-atmosphere climate indices were downloaded from the National Oceanic and Atmospheric Administration (NOAA) available online: https://www.noaa.gov (accessed on 26 August 2021).

Acknowledgments

The authors would like to thank the referees and the editors for their valuable comment and suggestions which significantly improved this paper and would also need to acknowledge the support from the State Key Research and Development Plan of China and National Natural Science Foundation of China.

Conflicts of Interest

The authors declare no conflict of interest.

Appendix A

Figure A1. Map of Köppen-Geiger climate classification in JHP.
Figure A1. Map of Köppen-Geiger climate classification in JHP.
Water 13 02789 g0a1
Figure A2. Spatial distributions of mean monthly precipitation in JHP from 1977 to 2018.
Figure A2. Spatial distributions of mean monthly precipitation in JHP from 1977 to 2018.
Water 13 02789 g0a2
Figure A3. Spatial distributions of mean monthly ET0 in JHP from 1977 to 2018.
Figure A3. Spatial distributions of mean monthly ET0 in JHP from 1977 to 2018.
Water 13 02789 g0a3
Figure A4. The temporal trends of the annual and seasonal precipitation and ET0 in JHP for the period from 1977 to 2018. The formulations of the trends are located at the top right corners of the frames. * (**) Statistically significant change at the 0.05 (0.01) level.
Figure A4. The temporal trends of the annual and seasonal precipitation and ET0 in JHP for the period from 1977 to 2018. The formulations of the trends are located at the top right corners of the frames. * (**) Statistically significant change at the 0.05 (0.01) level.
Water 13 02789 g0a4
Figure A5. The correlations between the series of precipitation and ET0 in JHP.
Figure A5. The correlations between the series of precipitation and ET0 in JHP.
Water 13 02789 g0a5
Table A1. The Pearson correlation coefficient ρ and the Kendall correlation coefficient τ between the time series of annual precipitation and climate indices under lags from 0- to 6- month. Bold means statistically significant at the level of 0.05.
Table A1. The Pearson correlation coefficient ρ and the Kendall correlation coefficient τ between the time series of annual precipitation and climate indices under lags from 0- to 6- month. Bold means statistically significant at the level of 0.05.
CoefficientLag/MonthNINO3SOIAMOAOEAWRNAONOIPDO
ρ00.3060−0.17400.1264−0.0514−0.1509−0.1129−0.27940.1664
10.3764−0.22710.1260−0.0121−0.0847−0.0805−0.25110.1590
20.4202−0.24730.12060.0935−0.04290.0194−0.31300.1552
30.4420−0.28820.11840.06950.04360.0103−0.33290.1712
40.4416−0.30390.10550.0708−0.06520.0547−0.32660.1826
50.4285−0.31350.07410.0651−0.03360.1091−0.33580.1770
60.4062−0.29660.05080.04510.07230.0911−0.34400.1702
τ00.2208−0.10250.0732−0.0128−0.0708−0.0337−0.15450.0337
10.2613−0.13670.08940.0267−0.0035−0.0128−0.12200.0453
20.2915−0.13370.09410.07080.00810.0721−0.17070.0395
30.2915−0.14440.10460.05920.04180.0813−0.16380.0628
40.2822−0.15000.10340.0290−0.04070.0465−0.14290.0732
50.2776−0.17560.08010.0453−0.03370.0906−0.16140.0801
60.2544−0.15140.04530.05690.04070.0674−0.16840.0930
Table A2. The Pearson correlation coefficient ρ and the Kendall correlation coefficient τ between the time series of wintertime precipitation and climate indices under lags from 0- to 6- month. Bold means statistically significant at the level of 0.05.
Table A2. The Pearson correlation coefficient ρ and the Kendall correlation coefficient τ between the time series of wintertime precipitation and climate indices under lags from 0- to 6- month. Bold means statistically significant at the level of 0.05.
CoefficientLag/MonthNINO3SOIAMOAOEAWRNAONOIPDO
ρ0−0.0101−0.12980.03780.40810.42270.19780.0002−0.0483
1−0.0052−0.11020.03280.31720.35160.10690.03220.0262
20.0092−0.11740.03520.07400.2576−0.1316−0.04120.0420
30.0232−0.03570.0273−0.00540.0252−0.1210−0.03240.0008
40.0224−0.07390.01860.0492−0.0126−0.1675−0.0702−0.0149
5−0.0158−0.0875−0.00140.3479−0.10690.1670−0.01010.0121
6−0.0740−0.1307−0.00800.3303−0.06100.2206−0.04950.0622
τ00.0686−0.12490.05930.24970.38120.1035−0.0128−0.0756
10.0372−0.12840.06390.22180.30210.09990.0616−0.0128
20.0767−0.08760.09060.11270.1697−0.0523−0.01510.0058
30.0838−0.05480.07080.0685−0.0232−0.0430−0.0128−0.0128
40.0224−0.07390.01860.0492−0.0126−0.1675−0.0702−0.0149
50.0523−0.08760.05230.2590−0.07780.0976−0.0174−0.0384
60.0174−0.11100.03600.2009−0.08130.1418−0.02440.0244
Table A3. The Pearson correlation coefficient ρ and the Kendall correlation coefficient τ between the time series of summertime precipitation and climate indices under lags from 0- to 6- month. Bold means statistically significant at the level of 0.05.
Table A3. The Pearson correlation coefficient ρ and the Kendall correlation coefficient τ between the time series of summertime precipitation and climate indices under lags from 0- to 6- month. Bold means statistically significant at the level of 0.05.
CoefficientLag/monthNINO3SOIAMOAOEAWRNAONOIPDO
ρ00.06520.17250.20320.0917−0.2666−0.11900.04260.1163
10.11840.08890.2428−0.1477−0.2737−0.20490.03380.1425
20.2082−0.07540.2777−0.4263−0.2333−0.2974−0.00780.1582
30.3112−0.21060.2758−0.4064−0.2475−0.1759−0.12890.2398
40.3891−0.21170.2753−0.2548−0.1159−0.0449−0.25390.2218
50.4224−0.23250.2550−0.17850.0036−0.0961−0.28590.1437
60.4221−0.22970.1985−0.05430.2675−0.0910−0.30090.0851
τ00.01740.14260.14520.0430−0.1673−0.08370.00120.0848
10.04880.05380.1916−0.1336−0.1638−0.11620.00810.0999
20.0930−0.05610.2056−0.2859−0.1418−0.2092−0.04070.0569
30.1477−0.13010.1916−0.2033−0.1547−0.0813−0.08010.0988
40.2291−0.08180.2172−0.1173−0.0256−0.0151−0.17770.0930
50.2314−0.09570.2056−0.04530.0639−0.0512−0.15450.0314
60.2291−0.10390.1663−0.01740.2162−0.0686−0.21020.0267
Table A4. The Pearson correlation coefficient ρ and the Kendall correlation coefficient τ between the time series of precipitation in spring (a) and autumn (b) and climate indices under lags from 0- to 6- month. Bold means statistically significant at the level of 0.05.
Table A4. The Pearson correlation coefficient ρ and the Kendall correlation coefficient τ between the time series of precipitation in spring (a) and autumn (b) and climate indices under lags from 0- to 6- month. Bold means statistically significant at the level of 0.05.
(a)
CoefficientLag/MonthNINO3SOIAMOAOEAWRNAONOIPDO
ρ00.2786−0.25940.06080.17330.07250.0646−0.1133−0.2482
10.3199−0.23940.07550.06640.07620.0453−0.1167−0.1082
20.3318−0.26310.0835−0.01790.2249−0.0849−0.07860.0053
30.3089−0.27670.0750−0.03290.1312−0.1327−0.04960.0886
40.2942−0.26060.0508−0.05530.2063−0.1145−0.12580.1370
50.2980−0.21640.0580−0.04350.1743−0.1266−0.15730.1217
60.3061−0.15380.0505−0.10390.0887−0.0130−0.29970.1116
τ00.1221−0.06920.01280.12890.08260.0721−0.0685−0.1872
10.1919−0.11690.01510.08480.10230.0477−0.0871−0.1278
20.2012−0.11910.0128−0.00580.1591−0.0465−0.0407−0.0384
30.1919−0.16690.06630.04990.0511−0.07790.0058−0.0244
40.1673−0.15650.0592−0.02440.1859−0.1139−0.02670.0430
50.1720−0.12970.0651−0.00810.1092−0.1080−0.09870.0430
60.1792−0.08050.0708−0.06620.06510.0035−0.08250.0290
(b)
CoefficientLag/MonthNINO3SOIAMOAOEAWRNAONOIPDO
ρ00.05890.0683−0.16220.07890.15110.0187−0.20070.0959
10.09900.0246−0.13510.25030.09670.0422−0.09980.0769
20.1105−0.0576−0.11850.1543−0.05150.01950.04540.1152
30.1227−0.1045−0.13330.1712−0.13470.0731−0.01880.1715
40.14690.0106−0.13840.0412−0.12590.1038−0.02410.1958
50.15940.2084−0.1424−0.0078−0.08560.0625−0.23640.1954
60.09680.1887−0.1133−0.0161−0.14270.0789−0.19850.1564
τ00.04190.0444−0.09410.04990.08130.0151−0.12660.0755
10.04530.0654−0.07440.01740.0442−0.0325−0.02210.0349
20.0546−0.0129−0.0616−0.01280.0058−0.04180.04760.0733
30.0662−0.0210−0.09410.0453−0.06510.0232−0.00580.0732
40.05810.0492−0.0987−0.0012−0.05920.01390.01050.1139
50.08600.1590−0.11730.0139−0.01160.0790−0.10800.1336
60.05700.1325−0.1220−0.0012−0.02210.1116−0.04070.1314
Table A5. The Pearson correlation coefficient ρ and the Kendall correlation coefficient τ between the time series of annual (a), winter (b) and autumn ET0 (c) and climate indices under lags from 0- to 6- month. Bold means statistically significant at the level of 0.05.
Table A5. The Pearson correlation coefficient ρ and the Kendall correlation coefficient τ between the time series of annual (a), winter (b) and autumn ET0 (c) and climate indices under lags from 0- to 6- month. Bold means statistically significant at the level of 0.05.
(a)
CoefficientLag/MonthNINO3SOIAMOAOEAWRNAONOIPDO
ρ0−0.24880.21680.1927−0.0304−0.0548−0.00020.2878−0.2153
1−0.22520.18850.1872−0.1447−0.0831−0.00400.1952−0.2060
2−0.17990.14720.1786−0.2022−0.1175−0.03370.1827−0.2027
3−0.13270.13250.1716−0.2089−0.1840−0.04200.1714−0.1811
4−0.08930.07810.1831−0.1650−0.1474−0.00380.1451−0.1779
5−0.04100.03330.2063−0.1791−0.1259−0.10980.1352−0.1588
60.0052−0.01610.2176−0.1686−0.1444−0.13770.1434−0.1553
τ0−0.15570.18400.14290.0105−0.0383−0.00580.1661−0.1429
1−0.17070.16470.1266−0.0708−0.08710.00120.1057−0.1545
2−0.17770.13600.1266−0.0871−0.0708−0.01390.1127−0.1604
3−0.14980.13740.1418−0.1127−0.0906−0.01390.1103−0.1534
4−0.12660.08720.1220−0.0685−0.1057−0.00230.0894−0.1591
5−0.08940.06160.1359−0.1034−0.0755−0.07440.1034−0.1243
6−0.04300.00700.1336−0.1150−0.0941−0.12320.1150−0.0999
(b)
CoefficientLag/MonthNINO3SOIAMOAOEAWRNAONOIPDO
ρ00.03960.14960.20190.0875−0.12860.13810.00290.0172
10.04800.09950.22340.1165−0.20410.10260.07600.0005
20.03920.09440.23340.1193−0.18670.11030.07680.0209
30.01850.00020.2470−0.1241−0.1801−0.0711−0.07350.0566
40.00300.03990.2441−0.1442−0.2121−0.1542−0.11720.0649
50.02290.06470.2448−0.3302−0.0570−0.2501−0.23380.0718
60.07510.09430.2590−0.1409−0.0635−0.2135−0.14970.0137
τ0−0.01750.10860.13850.1012−0.13260.1059−0.01050.0431
10.00000.10750.15470.0709−0.16060.11400.02670.0267
2−0.00700.04800.12800.0221−0.15360.10350.03370.0454
3−0.0233−0.00580.1523−0.0988−0.1280−0.0174−0.07560.0616
4−0.03140.01640.1815−0.0988−0.1233−0.0698−0.06630.1024
5−0.01980.05730.1709−0.1523−0.0547−0.1233−0.17560.0827
60.02910.05960.1965−0.0453−0.0209−0.1792−0.14070.0477
(c)
CoefficientLag/MonthNINO3SOIAMOAOEAWRNAONOIPDO
ρ00.0183−0.05520.1768−0.11590.1917−0.0232−0.00980.0168
1−0.0122−0.05860.1466−0.17870.22910.0344−0.10600.0040
2−0.0153−0.01030.1259−0.26660.2341−0.0307−0.1731−0.0170
30.00040.07180.1269−0.11430.08000.02300.0782−0.0572
40.02740.02470.1238−0.03090.0134−0.0705−0.0115−0.1164
50.0594−0.17690.12020.0380−0.0988−0.13620.0593−0.1240
60.1387−0.30450.1123−0.08110.0435−0.2085−0.0837−0.0852
τ00.0768−0.08170.1127−0.04990.1278−0.00580.00580.0081
10.0523−0.13540.0604−0.03140.13020.0628−0.09870.0186
2−0.0128−0.12030.0244−0.12200.09640.0325−0.1731−0.0337
3−0.0290−0.00700.0244−0.00810.06040.0790−0.0221−0.0592
40.0070−0.02110.02900.02900.09640.0372−0.0337−0.0860
50.0163−0.13330.05230.0511−0.0604−0.03950.0569−0.0778
60.0570−0.15360.0662−0.03600.0407−0.1557−0.0894−0.0849
Table A6. The Pearson correlation coefficient ρ and the Kendall correlation coefficient τ between the time series of ET0 in spring and climate indices under lags from 0- to 6- month. Bold means statistically significant at the level of 0.05.
Table A6. The Pearson correlation coefficient ρ and the Kendall correlation coefficient τ between the time series of ET0 in spring and climate indices under lags from 0- to 6- month. Bold means statistically significant at the level of 0.05.
CoefficientLag/MonthNINO3SOIAMOAOEAWRNAONOIPDO
ρ0−0.14510.37220.36890.02400.18160.02760.2841−0.0453
1−0.18290.30120.40020.05580.22710.02440.2270−0.0956
2−0.20590.27790.42500.01530.0912−0.01350.1707−0.1353
3−0.19040.23850.4161−0.0244−0.01580.07070.1034−0.1639
4−0.16910.25300.4150−0.0895−0.31620.00700.1303−0.2078
5−0.15750.24250.3961−0.2126−0.4282−0.09880.1183−0.2317
6−0.16000.16350.4198−0.1543−0.4598−0.19170.1739−0.2726
τ0−0.08950.20050.26830.01280.12910.02320.1545−0.0384
1−0.14770.12620.2660−0.00810.14880.00120.1266−0.0604
2−0.12670.12140.3008−0.00120.05230.00230.0569−0.0779
3−0.12440.07120.2640−0.0383−0.00460.05930.0197−0.0895
4−0.09530.10270.2729−0.0708−0.20920.05110.0848−0.1568
5−0.08130.10630.2580−0.1707−0.29750.00350.0825−0.1640
6−0.07450.07350.2753−0.0848−0.3231−0.08480.0523−0.1614
Table A7. The Pearson correlation coefficient ρ and the Kendall correlation coefficient τ between the time series of summer ET0 and climate indices under lags from 0- to 6- month. Bold means statistically significant at the level of 0.05.
Table A7. The Pearson correlation coefficient ρ and the Kendall correlation coefficient τ between the time series of summer ET0 and climate indices under lags from 0- to 6- month. Bold means statistically significant at the level of 0.05.
CoefficientLag/MonthNINO3SOIAMOAOEAWRNAONOIPDO
ρ0−0.29910.2535−0.11110.1815−0.02280.36600.2423−0.1438
1−0.31850.3102−0.10430.2989−0.02650.33430.2475−0.0790
2−0.30160.2158−0.10190.2710−0.10740.27610.1505−0.0316
3−0.23510.1483−0.07310.00210.0438−0.05250.0987−0.1019
4−0.1606−0.0235−0.0962−0.1262−0.1386−0.23250.2000−0.1090
5−0.1246−0.0503−0.1153−0.1633−0.1258−0.16280.1624−0.0717
6−0.1037−0.1036−0.1369−0.1948−0.2730−0.08590.1315−0.0562
τ0−0.18130.1298−0.07440.13020.02670.24530.1302−0.0837
1−0.16860.1464−0.05110.21850.01860.21510.0953−0.0663
2−0.17090.1368−0.05110.1407−0.05700.16400.0651−0.0279
3−0.12800.1103−0.0256−0.04650.0023−0.10350.0139−0.0721
4−0.0977−0.0058−0.0651−0.1325−0.0988−0.18380.1697−0.0570
5−0.0745−0.0409−0.0883−0.1488−0.1162−0.07100.1023−0.0116
6−0.0535−0.0911−0.1280−0.1325−0.2221−0.03720.0767−0.0349

References

  1. Dorward, A. Agricultural labour productivity, food prices and sustainable development impacts and indicators. Food Policy 2013, 39, 40–50. [Google Scholar] [CrossRef]
  2. Biemans, H.; Haddeland, I.; Kabat, P.; Ludwig, F.; Hutjes, R.-W.-A.; Heinke, J.; von Bloh, W.; Gerten, D. Impact of reservoirs on river discharge and irrigation water supply during the 20th century. Water Resour. Res. 2011, 47, W03509. [Google Scholar] [CrossRef]
  3. Moradi-Jalal, M.; Haddad, O.-B.; Karney, B.-W.; Mariño, M.-A. Reservoir operation in assigning optimal multi-crop irrigation areas. Agric. Water Manag. 2007, 90, 149–159. [Google Scholar] [CrossRef]
  4. Siebert, S.; Doll, P.; Hoogeveen, J.; Faures, J.-M.; Frenken, K.; Feick, S. Development and validation of the global map of irrigation areas. Hydrol. Earth Syst. Sci. 2005, 9, 535–547. [Google Scholar] [CrossRef]
  5. Shao, D.; Nong, X.; Tan, X.; Chen, S.; Xu, B.; Hu, N. Daily Water Quality Forecast of the South-To-North Water Diversion Project of China Based on the Cuckoo Search-Back Propagation Neural Network. Water 2018, 10, 1471. [Google Scholar] [CrossRef]
  6. Li, H.; Shao, D.; Xu, B.; Chen, S.; Gu, W.; Tan, X. Failure Analysis of a New Irrigation Water Allocation Mode Based on Copula Approaches in the Zhanghe Irrigation District, China. Water 2016, 8, 251. [Google Scholar] [CrossRef]
  7. De Boer, T.; Paltan, H.; Sternberg, T.; Wheeler, K. Evaluating Vulnerability of Central Asian Water Resources under Uncertain Climate and Development Conditions: The Case of the Ili-Balkhash Basin. Water 2021, 13, 615. [Google Scholar] [CrossRef]
  8. Yassen, A.-N.; Nam, W.; Hong, E. Impact of climate change on reference evapotranspiration in Egypt. Catena 2020, 194, 104711. [Google Scholar] [CrossRef]
  9. Obeysekera, J.; Irizarry, M.; Park, J.; Barnes, J.; Dessalegne, T. Climate change and its implications for water resources management in south Florida. Stoch. Environ. Res. Risk Assess. 2011, 25, 495–516. [Google Scholar] [CrossRef]
  10. Xu, B.; Shao, D.; Chen, S.; Li, H.; Fang, L. Response of Water and Nitrogen Losses to Water Management Practices and Green Manure Application in Lowland Paddy Fields. J. Irrig. Drain. Eng. 2017, 143, 05017007. [Google Scholar] [CrossRef]
  11. Schlüter, M.; Pahl-Wostl, C. Mechanisms of Resilience in Common-pool Resource Management Systems: An Agent-based Model of Water Use in a River Basin. Ecol. Soc. 2007, 12, 4. [Google Scholar] [CrossRef]
  12. Balistrocchi, M.; Tomirotti, M.; Muraca, A.; Ranzi, R. Hydroclimatic Variability and Land Cover Transformations in the Central Italian Alps. Water 2021, 13, 963. [Google Scholar] [CrossRef]
  13. Lu, G.; Wu, H.; Xiao, H.; He, H.; Wu, Z. Impact of Climate Change on Drought in the Upstream Yangtze River Region. Water 2016, 8, 576. [Google Scholar] [CrossRef]
  14. Berrang-Ford, L.; Ford, J.-D.; Paterson, J. Are we adapting to climate change? Glob. Environ. Chang. 2011, 21, 25–33. [Google Scholar] [CrossRef]
  15. Trenberth, K.-E. The Definition of El Niño. Bull. Am. Meteorol. Soc. 1997, 78, 2771–2778. [Google Scholar] [CrossRef]
  16. Yeh, S.; Kug, J.; Dewitte, B.; Kwon, M.; Kirtman, B.-P.; Jin, F. El Niño in a changing climate. Nature 2009, 461, 511–514. [Google Scholar] [CrossRef] [PubMed]
  17. Rasmusson, E.-M.; Wallace, J.-M. Meteorological Aspects of the El Niño/Southern Oscillation. Science 1983, 222, 1195–1202. [Google Scholar] [CrossRef]
  18. Bjerknes, J. Atmospheric Teleconnections from the Equatorial Pacific. Mon. Weather Rev. 1969, 97, 163–172. [Google Scholar] [CrossRef]
  19. Aceituno, P. El Niño, the Southern Oscillation, and ENSO: Confusing Names for a Complex Ocean—Atmosphere Interaction. Bull. Am. Meteorol. Soc. 1992, 73, 483–485. [Google Scholar] [CrossRef][Green Version]
  20. Qian, Y.; Zhao, J.; Zheng, S.; Cao, Y.; Xue, L. Risk assessment of the global crop loss in ENSO events. Phys. Chem. Earth 2020, 116, 102845. [Google Scholar] [CrossRef]
  21. Liu, W.-T.; Juárez, R.-I.-N. ENSO drought onset prediction in northeast Brazil using NDVI. Int. J. Remote Sens. 2010, 22, 3483–3501. [Google Scholar] [CrossRef]
  22. Gupta, V.; Jain, M.-K. Unravelling the teleconnections between ENSO and dry/wet conditions over India using nonlinear Granger causality. Atmos. Res. 2021, 247, 105168. [Google Scholar] [CrossRef]
  23. Yuan, C.; Yamagata, T. Impacts of IOD, ENSO and ENSO Modoki on the Australian Winter Wheat Yields in Recent Decades. Sci. Rep. 2015, 5, 17252. [Google Scholar] [CrossRef] [PubMed]
  24. Wu, R.; Yang, S.; Liu, S.; Sun, L.; Lian, Y.; Gao, Z. Changes in the relationship between Northeast China summer temperature and ENSO. J. Geophys. Res. 2010, 115, D21107. [Google Scholar] [CrossRef]
  25. Jodar, J.; Custodio, E.; Liotta, M.; Lambán, L.-J.; Herrera, C.; Martos-Rosillo, S.; Sapriza, G.; Rigo, T. Correlation of the seasonal isotopic amplitude of precipitation with annual evaporation and altitude in alpine regions. Sci. Total Environ. 2016, 550, 27–37. [Google Scholar] [CrossRef]
  26. Bintanja, R.; Selten, F.-M. Future increases in Arctic precipitation linked to local evaporation and sea-ice retreat. Nature 2014, 509, 479–482. [Google Scholar] [CrossRef]
  27. Manatsa, D.; Mushore, T.; Lenouo, A. Improved predictability of droughts over southern Africa using the standardized precipitation evapotranspiration index and ENSO. Theor. Appl. Climatol. 2017, 127, 259–274. [Google Scholar] [CrossRef]
  28. Yang, S.; Li, Z.; Yu, J.; Hu, X.; Dong, W.; He, S. El Nino—Southern Oscillation and its impact in the changing climate. Natl. Sci. Rev. 2018, 5, 840–857. [Google Scholar] [CrossRef]
  29. Huang, B.; Shin, C.; Shukla, J.; Marx, L.; Balmaseda, M.-A.; Halder, S.; Dirmeyer, P.; Kinter, J.L., III. Reforecasting the ENSO Events in the Past 57 Years (1958–2014). J. Climatol. 2017, 30, 7669–7693. [Google Scholar] [CrossRef]
  30. Yu, J.; Kao, H. Decadal changes of ENSO persistence barrier in SST and ocean heat content indices: 1958–2001. J. Geophys. Res. Atmos. 2007, 112, D13106. [Google Scholar] [CrossRef]
  31. Zebiak, S.-E.; Cane, M.-A. A Model El Nino—Southern Oscillation. Mon. Weather Rev. 1987, 115, 2262–2278. [Google Scholar] [CrossRef]
  32. Park, S.; Seo, E.; Kang, D.; Im, J.; Lee, M. Prediction of Drought on Pentad Scale Using Remote Sensing Data and MJO Index through Random Forest over East Asia. Remote Sens. 2018, 10, 1811. [Google Scholar] [CrossRef]
  33. Li, J.; Wang, Z.; Wu, X.; Xu, C.; Guo, S.; Chen, X.; Zhang, Z. Robust Meteorological Drought Prediction Using Antecedent SST Fluctuations and Machine Learning. Water Resour. Res. 2020, 57, e2020WR029413. [Google Scholar]
  34. Bhuiyan, M.-A.-E.; Nikolopoulos, E.-I.; Anagnostou, E.-N.; Quintana-Seguí, P.; Barella-Ortiz, A. A nonparametric statistical technique for combining global precipitation datasets: Development and hydrological evaluation over the Iberian Peninsula. Hydrol. Earth Syst. Sci. 2018, 22, 1371–1389. [Google Scholar] [CrossRef]
  35. Koch, J.; Berger, H.; Henriksen, H.-J.; Sonnenborg, T.-O. Modelling of the shallow water table at high spatial resolution using random forests. Hydrol. Earth Syst. Sci. 2019, 23, 4603–4619. [Google Scholar] [CrossRef]
  36. Zhang, R.; Chen, Z.; Xu, L.; Ou, C. Meteorological drought forecasting based on a statistical model with machine learning techniques in Shaanxi province, China. Sci. Total Environ. 2019, 665, 338–346. [Google Scholar] [CrossRef] [PubMed]
  37. Fanga, W.; Shengzhi, H.; Qiang, H.; Guohe, H.; Erhao, M.; Jinkai, L. Reference evapotranspiration forecasting based on local meteorological and global climate information screened by partial mutual information. J. Hydrol. 2018, 561, 764–779. [Google Scholar] [CrossRef]
  38. Koenker, R.; Gilbert Bassett, J. Regression Quantiles. Econometrica 1978, 46, 33–50. [Google Scholar] [CrossRef]
  39. Tan, X.; Shao, D. Precipitation trends and teleconnections identified using quantile regressions over Xinjiang, China. Int. J. Climatol. 2017, 37, 1510–1525. [Google Scholar] [CrossRef]
  40. Luo, Q.; Guo, S.; Li, T.; Fu, L. Long-term trends of precipitation and temperature in Jianghan Plain from 1957 to 2008. J. Yangtze River Sci. Res. Inst. 2011, 28, 10–14. [Google Scholar]
  41. Du, Y.; Ma, T.; Deng, Y.; Shen, S.; Lu, Z. Characterizing groundwater/surface-water interactions in the interior of Jianghan Plain, central China. Hydrogeol. J. 2018, 26, 1047–1059. [Google Scholar] [CrossRef]
  42. Zhou, Y.; Wang, Y.; Li, Y.; Zwahlen, F.; Boillat, J. Hydrogeochemical characteristics of central Jianghan Plain, China. Environ. Earth Sci. 2013, 68, 765–778. [Google Scholar] [CrossRef]
  43. Irmak, S.; Allen, R.-G.; Whitty, E.-B. Daily Grass and Alfalfa-Reference Evapotranspiration Estimates and Alfalfa-to-Grass Evapotranspiration Ratios in Florida. J. Irrig. Drain. Eng. 2003, 129, 360–370. [Google Scholar] [CrossRef]
  44. Wyatt, M.-G.; Kravtsov, S.; Tsonis, A.-A. Atlantic Multidecadal Oscillation and Northern Hemisphere’s climate variability. Climatol. Dyn. 2012, 38, 929–949. [Google Scholar] [CrossRef]
  45. Buermann, W.; Anderson, B.; Tucker, C.-J.; Dickinson, R.-E.; Lucht, W.; Potter, C.-S.; Myneni, R.-B. Interannual covariability in Northern Hemisphere air temperatures and greenness associated with El Niño-Southern Oscillation and the Arctic Oscillation. J. Geophys. Res. 2003, 108, 4396. [Google Scholar] [CrossRef]
  46. Ionita, M. The Impact of the East Atlantic/Western Russia Pattern on the Hydroclimatology of Europe from Mid-Winter to Late Spring. Climate 2014, 2, 296–309. [Google Scholar] [CrossRef]
  47. Delworth, T.-L.; Zeng, F.; Vecchi, G.-A.; Yang, X.; Zhang, L.; Zhang, R. The North Atlantic Oscillation as a driver of rapid climate change in the Northern Hemisphere. Nat. Geosci. 2016, 9, 509–512. [Google Scholar] [CrossRef]
  48. Kren, A.-C.; Marsh, D.-R.; Smith, A.-K.; Pilewskie, P. Wintertime Northern Hemisphere Response in the Stratosphere to the Pacific Decadal Oscillation Using the Whole Atmosphere Community Climate Model. J. Climatol. 2016, 29, 1031–1049. [Google Scholar] [CrossRef]
  49. Raman, C.-R.-V.; Maliekal, J.-A. A “northern oscillation” relating northern hemispheric pressure anomalies and the Indian summer monsoon? Nature 1985, 314, 430–432. [Google Scholar] [CrossRef]
  50. Kerr, R.-A. A North Atlantic Climate Pacemaker for the Centuries. Science 2000, 288, 1984–1986. [Google Scholar] [CrossRef]
  51. Sun, X.; Li, S.; Hong, X.; Lu, R. Simulated Influence of the Atlantic Multidecadal Oscillation on Summer Eurasian NonuniformWarming since the Mid-1990s. Adv. Atmos. Sci. 2019, 36, 811–822. [Google Scholar] [CrossRef]
  52. Qian, C.; Yu, J.; Chen, G. Decadal summer drought frequency in China: The increasing influence of the Atlantic Multi-decadal Oscillation. Environ. Res. Lett. 2014, 9, 124004. [Google Scholar] [CrossRef]
  53. Wang, Y.; Li, S.; Luo, D. Seasonal response of Asian monsoonal climate to the Atlantic Multidecadal Oscillation. J. Geophys. Res. 2009, 114, D02112. [Google Scholar] [CrossRef]
  54. Shuanglin, L.; Bates, G.-T. Influence of the Atlantic Multidecadal Oscillation on the Winter Climate of East China. Adv. Atmos. Sci. 2007, 24, 126–135. [Google Scholar]
  55. Lu, R.; Dong, B.; Ding, H. Impact of the Atlantic Multidecadal Oscillation on the Asian summer monsoon. Geophys. Res. Lett. 2006, 33, L24701. [Google Scholar] [CrossRef]
  56. Barnston, A.-G.; Livezey, R.-E. Classification, Seasonality and Persistence of Low-Frequency Atmospheric Circulation Patterns. Mon. Weather Rev. 1987, 115, 1083–1126. [Google Scholar] [CrossRef]
  57. Chen, L.; Zhan, Z. Teleconnections of pressure anomalies in the east-west North Pacific. Chin. Sci. Bull. 1984, 8, 481–483. [Google Scholar]
  58. Thompson, D.-W.-J.; Wallace, J.-M. Regional Climate Impacts of the Northern Hemisphere Annular Mode. Science 2001, 293, 85–89. [Google Scholar] [CrossRef]
  59. He, S.; Gao, Y.; Li, F.; Wang, H.; He, Y. Impact of Arctic Oscillation on the East Asian climate: A review. Earth Sci. Rev. 2017, 164, 48–62. [Google Scholar] [CrossRef]
  60. Gong, D.; Wang, S. Influence of Arctic Oscillation on Winter Climate over China. Acta Geogr. Sin. 2003, 58, 559–568. [Google Scholar]
  61. Thompson, D.-W.-J.; Wallace, J.-M. The Arctic Oscillation signature in the wintertime geopotential height and temperature fields. Geophys. Res. Lett. 1998, 25, 1297–1300. [Google Scholar] [CrossRef]
  62. Yang, C.; Dou, T.; Li, Q.; Hao, W.; Tang, M. Study on the relationships between the Arctic Oscillation and the Pacific Decadal Oscillation and Atlantic Multidecadal Oscillation. J. Trop. Meteorol. 2014, 30, 1181–1187. [Google Scholar]
  63. Mantua, N.-J.; Hare, S.-R. The Pacific Decadal Oscillation. J. Oceanogr. 2002, 58, 35–44. [Google Scholar] [CrossRef]
  64. Mantua, N.-J.; Hare, S.-R.; Zhang, Y.; Wallace, J.-M.; Francis, R.-C. A Pacific Interdecadal Climate Oscillation with Impacts on Salmon Production. Bull. Am. Meteorol. Soc. 1997, 78, 1069–1080. [Google Scholar] [CrossRef]
  65. Wanner, H.; Brönnimann, S.; Casty, C.; Gyalistras, D.; Luterbacher, J.; Schmutz, C.; Stephenson, D.-B.; Xoplaki, E. North Atlantic Oscillation—Concepts and Studies. Surv. Geophys. 2001, 22, 321–381. [Google Scholar] [CrossRef]
  66. Wallace, J.-M. North Atlantic Oscillation/annular mode: Two paradigms—One phenomenon. Q. J. R. Meteorol. Soc. 2000, 126, 791–805. [Google Scholar] [CrossRef]
  67. Kerr, R.-A. A New Force in High-Latitude Climate. Science 1999, 284, 241–242. [Google Scholar] [CrossRef]
  68. Hervé, A. The Kendall Rank Correlation Coefficient. In Encyclopedia of Measurement and Statistics; Sage: Thousand Oaks, CA, USA, 2007; pp. 508–510. [Google Scholar]
  69. Kozumi, H.; Kobayashi, G. Gibbs sampling methods for Bayesian quantile regression. J. Stat. Comput. Simul. 2011, 81, 1565–1578. [Google Scholar] [CrossRef]
  70. Benoit, D.-F.; Van den Poel, D. bayesQR: A Bayesian Approach to Quantile Regression. J. Stat. Softw. 2017, 76, 1–32. [Google Scholar] [CrossRef]
  71. Yu, K.; Moyeed, R.A. Bayesian quantile regression. Stat. Probab. Lett. 2001, 54, 437–447. [Google Scholar] [CrossRef]
  72. Bhuiyan, M.-A.-E.; Nikolopoulos, E.-I.; Anagnostou, E.-N.; Polcher, J.; Albergel, C.; Dutra, E.; Fink, G.; la Torre, A.-M.; Munier, S. Assessment of precipitation error propagation in multi-model global water resource reanalysis. Hydrol. Earth Syst. Sci. 2019, 23, 1973–1994. [Google Scholar] [CrossRef]
  73. Mei, Y.; Nikolopoulos, E.-I.; Anagnostou, E.-N.; Borga, M. Evaluating Satellite Precipitation Error Propagation in Runoff Simulations of Mountainous Basins. J. Hydrometeorol. 2016, 17, 1407–1423. [Google Scholar] [CrossRef]
  74. Wei, X.; Zhang, H.; Xin, C.; Yang, J.; Li, C. Evolution of correlation analysis of hydro-meteorological variables in the basin under changing environment. South North Water Transf. Water Sci. Technol. 2020, 18, 17–26. [Google Scholar]
  75. Zhang, L.; Hickel, K.; Dawes, W.-R.; Chiew, F.-H.-S.; Western, A.-W.; Briggs, P.-R. A rational function approach for estimating mean annual evapotranspiration. Water Resour. Res. 2004, 40, W02502. [Google Scholar] [CrossRef]
  76. Garbrecht, J.; Van Liew, M.; Brown, G.-O. Trends in Precipitation, Streamflow, and Evapotranspiration in the Great Plains of the United States. J. Hydrol. Eng. 2004, 9, 360–367. [Google Scholar] [CrossRef]
  77. Terink, W.; Immerzeel, W.-W.; Droogers, P. Climate change projections of precipitation and reference evapotranspiration for the Middle East and Northern Africa until 2050. Int. J. Climatol. 2013, 33, 3055–3072. [Google Scholar] [CrossRef]
  78. Arpe, K.; Tsuang, B.; Tseng, Y.; Liu, X.; Leroy, S.-A.-G. Quantification of climatic feedbacks on the Caspian Sea level variability and impacts from the Caspian Sea on the large-scale atmospheric circulation. Theor. Appl. Climatol. 2019, 136, 475–488. [Google Scholar] [CrossRef]
  79. Johansson, B.; Chen, D. The influence of wind and topography on precipitation distribution in Sweden: Statistical analysis and modelling. Int. J. Climatol. 2003, 23, 1523–1535. [Google Scholar] [CrossRef]
  80. Lv, A.; Qu, B.; Jia, S.; Zhu, W. Influence of three phases of El Niño—Southern Oscillation on daily precipitation regimes in China. Hydrol. Earth Syst. Sci. 2019, 23, 883–896. [Google Scholar] [CrossRef]
  81. Gao, T.; Yu, J.; Paek, H. Impacts of four northern-hemisphere teleconnection patterns on atmospheric circulations over Eurasia and the Pacific. Theor. Appl. Climatol. 2017, 129, 815–831. [Google Scholar] [CrossRef]
  82. Tan, X.; Gan, T.-Y.; Chen, S.; Liu, B. Modeling distributional changes in winter precipitation of Canada using Bayesian spatiotemporal quantile regression subjected to different teleconnections. Climatol. Dyn. 2019, 52, 2105–2124. [Google Scholar] [CrossRef]
  83. Amini, M.; Ghadami, M.; Fathian, F.; Modarres, R. Teleconnections between oceanic atmospheric indices and drought over Iran using quantile regressions. Hydrol. Sci. J. 2020, 65, 2286–2295. [Google Scholar] [CrossRef]
  84. Tharu, B.; Dhakal, N. On the use of Bayesian quantile regression method to explore the historical trends in extreme precipitation and their connections with large-scale climate patterns over the contiguous USA. Theor. Appl. Climatol. 2020, 139, 1277–1290. [Google Scholar] [CrossRef]
  85. Hao, W.; Shao, Q.; Hao, Z.; Ju, Q.; Baima, W.; Zhang, D. Non-stationary modelling of extreme precipitation by climate indices during rainy season in Hanjiang River Basin, China. Int. J. Climatol. 2019, 39, 4154–4169. [Google Scholar] [CrossRef]
Figure 1. Topography map of the Jianghan Plain.
Figure 1. Topography map of the Jianghan Plain.
Water 13 02789 g001
Figure 2. (a) showed the annual and seasonal mean precipitation and ET0 in JHP from 1977 to 2018. (b) showed the average of precipitation and ET0 of each month during the same period.
Figure 2. (a) showed the annual and seasonal mean precipitation and ET0 in JHP from 1977 to 2018. (b) showed the average of precipitation and ET0 of each month during the same period.
Water 13 02789 g002
Figure 3. Methodology.
Figure 3. Methodology.
Water 13 02789 g003
Figure 4. Proportion of mean seasonal precipitation (a) and ET0 (b) to the annual in JHP from 1977 to 2018.
Figure 4. Proportion of mean seasonal precipitation (a) and ET0 (b) to the annual in JHP from 1977 to 2018.
Water 13 02789 g004
Figure 5. The regression relations between precipitation and ET0 and climate indices. (a,b) represented the regression relationships between annual precipitation and NINO3 index obtained by frequentist quantile regression and Bayesian quantile regression, respectively. (c,d) showed the correlations between winter precipitation and corresponding AO and EAWR index, respectively. (e,f) represented the relationships between summer precipitation and corresponding NINO3 and AO index, respectively. (g,h) showed the correlations between spring ET0 and AMO and EAWR index, respectively. (i) represented the relationships between summer ET0 and NAO index. (ci) were derived from the frequentist quantile regression. The dashed red lines show the linear least-squares regression of the data, whereas the middle solid blue lines are the quantile regressions of the median (0.50 quantile). The solid gray lines show the quantile regression at τ = 0.05, 0.25, 0.75 and 0.95 from the bottom to the top.
Figure 5. The regression relations between precipitation and ET0 and climate indices. (a,b) represented the regression relationships between annual precipitation and NINO3 index obtained by frequentist quantile regression and Bayesian quantile regression, respectively. (c,d) showed the correlations between winter precipitation and corresponding AO and EAWR index, respectively. (e,f) represented the relationships between summer precipitation and corresponding NINO3 and AO index, respectively. (g,h) showed the correlations between spring ET0 and AMO and EAWR index, respectively. (i) represented the relationships between summer ET0 and NAO index. (ci) were derived from the frequentist quantile regression. The dashed red lines show the linear least-squares regression of the data, whereas the middle solid blue lines are the quantile regressions of the median (0.50 quantile). The solid gray lines show the quantile regression at τ = 0.05, 0.25, 0.75 and 0.95 from the bottom to the top.
Water 13 02789 g005
Figure 6. The regression coefficients between the series of precipitation and ET0 and climate indices based on the frequentist quantile regression. * Statistically significant at the 0.05 level.
Figure 6. The regression coefficients between the series of precipitation and ET0 and climate indices based on the frequentist quantile regression. * Statistically significant at the 0.05 level.
Water 13 02789 g006
Figure 7. Precipitation and ET0 anomalies in JHP during the El Niño years. A detailed description of the subgraphs is shown in Table 4.
Figure 7. Precipitation and ET0 anomalies in JHP during the El Niño years. A detailed description of the subgraphs is shown in Table 4.
Water 13 02789 g007
Figure 8. Correlations between annual precipitation and AWC in JHP and its counties.
Figure 8. Correlations between annual precipitation and AWC in JHP and its counties.
Water 13 02789 g008
Figure 9. Correlations between annual ET0 and yields of main crops in JHP and its counties.
Figure 9. Correlations between annual ET0 and yields of main crops in JHP and its counties.
Water 13 02789 g009
Table 1. Summary 1 of the weather stations where meteorological data were obtained for the study.
Table 1. Summary 1 of the weather stations where meteorological data were obtained for the study.
IDStation NameLatitude (°N)Longitude (°E)Elevation (EL. m)Pmean (mm)ET0mean (mm)
1Xiangyang(XY)32.00112.08163.4837.99934.46
2Zhongxiang(ZX)31.20112.63108.0986.59938.30
3Suizhou(SZ)31.62113.33106.5983.91900.28
4Macheng(MC)31.13114.9574.31266.59983.75
5Wufeng(WF)30.15111.07243.21361.52775.76
6Yichang(YC)30.73111.37256.51144.61875.35
7Jingzhou(JZ)30.35112.1531.81081.50913.86
8Xiaogan(XG)30.90113.9525.51152.58923.85
9Tianmen(TM)30.67113.1331.91115.53925.60
10Wuhan(WH)30.60114.0523.61300.311159.92
11Jianli(JL)29.88112.9026.21307.00921.47
12Honghu(HH)29.82113.4527.41415.86973.74
13Jiayu(JY)29.92113.9761.71451.05948.74
14Yangxin(YX)29.90115.2257.01456.41936.48
15Shimen(SM)29.58111.37116.91375.76923.69
16Nanxian(NX)29.37112.4036.01264.55911.56
17Yueyang(YY)29.38113.0853.01356.70988.00
Notes: 1 Pmean and ET0mean are the mean annual precipitation and ET0 for the period from 1977 to 2018, respectively.
Table 2. Testing the validity of models.
Table 2. Testing the validity of models.
RegressionFormulaNCRMSEMRENSE
Linear regressionrq(Pannual ~ NINO3)0.91−1.82%0.15
rq(Pwinter ~ AO)0.91−0.63%0.17
rq(Pwinter ~ EAWR)0.91−2.03%0.17
rq(Psummer ~ NINO3)0.91−7.83%0.12
rq(Psummer ~ AO)0.91−5.11%0.14
rq(ET0spring ~ AMO)0.92−0.27%0.15
rq(ET0spring ~ EAWR)0.89−1.24%0.18
rq(ET0summer ~ NAO)0.930.94%0.12
Multifactorial regressionrq(Pannual ~ ET0annual + NINO3 + AO + EAWR)0.74−0.57%0.46
rq(Pwinter ~ ET0winter + AO + EAWR)0.66−1.82%0.56
rq(Psummer ~ ET0summer + NINO3 + AO)0.74−2.95%0.44
rq(ET0spring ~ Pspring + AMO + EAWR)0.66−0.97%0.55
rq(ET0summer ~ Psummer + NAO)0.76−0.26%0.42
Table 3. The EP-El Niño and CP-El Niño years using the detrended SST for each decade from 1854. (Only the data from 1977 to 2018 were listed. The El Niño years in 2010s derived from the China Meteorological Administration).
Table 3. The EP-El Niño and CP-El Niño years using the detrended SST for each decade from 1854. (Only the data from 1977 to 2018 were listed. The El Niño years in 2010s derived from the China Meteorological Administration).
DecadesEP-El Niño YearsCP-El Niño Years
1970s19791977
1980s1982, 1986, 1987
1990s1991, 19971990, 1994
2000s2003, 20062001, 2002, 2004
2010s2014, 2015, 20162018
Table 4. The description of Figure 7.
Table 4. The description of Figure 7.
Number of SubgraghAgro-Climatic FactorSeasonType of El Niño
aPrecipitationWinterEP
bSpring
cSummer
dAutumn
eWinterCP
fSpring
gSummer
hAutumn
iET0WinterEP
jSpring
kSummer
lAutumn
mWinterCP
nSpring
oSummer
pAutumn
Publisher’s Note: MDPI stays neutral with regard to jurisdictional claims in published maps and institutional affiliations.

Share and Cite

MDPI and ACS Style

Li, W.; Shao, D.; Gu, W.; Miao, D. Regional Agroclimate Characteristic and Its Multiple Teleconnections: A Case Study in the Jianghan Plain (JHP) Region. Water 2021, 13, 2789. https://doi.org/10.3390/w13192789

AMA Style

Li W, Shao D, Gu W, Miao D. Regional Agroclimate Characteristic and Its Multiple Teleconnections: A Case Study in the Jianghan Plain (JHP) Region. Water. 2021; 13(19):2789. https://doi.org/10.3390/w13192789

Chicago/Turabian Style

Li, Wenhui, Dongguo Shao, Wenquan Gu, and Donghao Miao. 2021. "Regional Agroclimate Characteristic and Its Multiple Teleconnections: A Case Study in the Jianghan Plain (JHP) Region" Water 13, no. 19: 2789. https://doi.org/10.3390/w13192789

APA Style

Li, W., Shao, D., Gu, W., & Miao, D. (2021). Regional Agroclimate Characteristic and Its Multiple Teleconnections: A Case Study in the Jianghan Plain (JHP) Region. Water, 13(19), 2789. https://doi.org/10.3390/w13192789

Note that from the first issue of 2016, this journal uses article numbers instead of page numbers. See further details here.

Article Metrics

Back to TopTop