Evaluation of Rainfall-Triggered Debris Flows under the Impact of Extreme Events: A Chenyulan Watershed Case Study, Taiwan
Abstract
:1. Introduction
2. Study Area and Extreme Events
3. Debris Flow Occurrence Associated with Rainfall Return Period
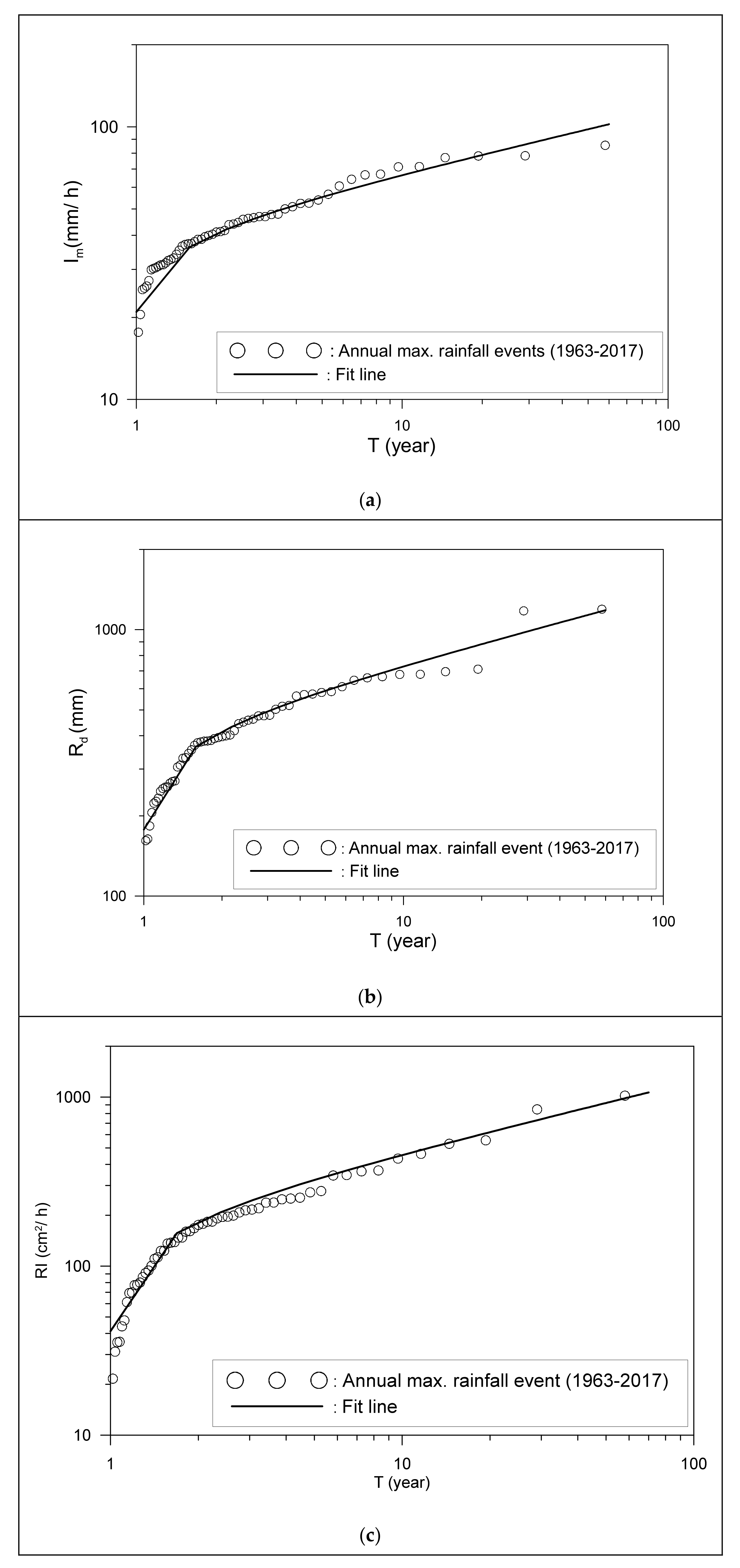
3.1. Rainfall Return Period
3.2. Debris Flow Events Related to the Rainfall Return Period
4. Models for Evaluating Probability of Debris Flow Occurrence
4.1. Probability of Debris Flow Occurrence (P)
4.2. Relationship between Probability of Debris Flow Occurrence (P) and Rainfall Return Period (T)
5. Discussion
5.1. Procedures
- The hourly rainfall data from three metrological stations was input and the regional hourly rainfall was evaluated using Equation (1).
- Im, Rd, and RI were determined from regional rainfall data.
- T was determined using Equation (4) with Im, Rd, or RI.
- P was determined using the P–T relationship. There are three P–T relationships with different empirical coefficients based on various periods (Equation (6) and Table 2).
5.2. Results
6. Conclusions
- The rainfall indices of Im, Rd, and RI associated with T were analyzed. The advantages of using T are as follows: (1) it can reflect the long-term rainfall variation characteristics of a region and adjust with rainfall variability, and (2) the concept of T can be easily combined with hydrological analysis to facilitate the subsequent engineering design. Most debris flow events occurred with T > 1 year, excluding debris flow events affected by the CCE, while the T of extreme events triggering numerous debris flows could exceed approximately 5 years. T affected by the CCE for debris-flow-triggering rainfall was < 1 year, (i.e., much smaller than that affected by other extreme rainfall events).
- The rainfall indices of Im, Rd, and RI can be used to determine the relationship between P and T. Four empirical models of the P‒T relationship were developed (i.e., CEAP, ERAP, WP, and UEEP models). The P values, affected or unaffected by extreme events (such as the CCE or extreme rainfall), can be evaluated at various T values (or different rainfall conditions) using the P‒T relationship.
- P increased significantly after extreme rainfall events or the CCE, with the same T. In particular, the P value of periods influenced by CCE was higher than that during periods influenced by extreme rainfall events. The P during a period affected by the CCE can reach up to approximately twice that of a period that is unaffected by extreme events, while P of periods affected by extreme rainfall events can be approximately 80% higher than the P of a period that is unaffected by extreme events at the same T.
- A model relating P and T was applied to estimate P during recent rainfall events (2009–2020) after the extreme rainfall of Typhoon Morakot, which showed that a model using the Rd or RI index was reasonably accurate at predicting debris flow occurrence.
- An empirical model for evaluating P was developed based on the regional characteristics of the Chenyulan watershed, and may not be applicable to areas with different hydrogeological properties. The suitability of this model must be assessed, and empirical coefficients will most likely be required for calibration if the model is applied to other areas. In addition, the RI index was derived empirically, and further studies on the association of the RI index with physical mechanisms are needed.
Author Contributions
Funding
Acknowledgments
Conflicts of Interest
Abbreviations
| CCE | Chi-Chi earthquake |
| CEAP | Chi-Chi earthquake-affected period |
| ERAP | Extreme rainfall-affected period |
| HR | Heavy rainstorm in 2006 |
| TH | Typhoon Herb |
| TM | Typhoon Morakot |
| TMi | Typhoon Mindulle |
| TT | Typhoon Toraji |
| UEEP | Unaffected by extreme events period |
| WP | Whole period, 1985–2017 |
| List of symbols | |
| a, b, and c | Empirical coefficients in Equations (3) and (4). |
| I | Region hourly rainfall. |
| I1, I2, and I3 | Hourly rainfall record from the Sun Moon Lake, Yushan, and Alisan meteorological stations, respectively. |
| Im | Maximum hourly rainfall during each rainfall event. |
| MW | Moment magnitude. |
| m | Rank of a value in a list ordered by descending magnitude. |
| ND | Number of rainfall events that have triggered debris flows. |
| NR | Number of rainfall events. |
| n | Number of years in the record. |
| P | Probability of debris flow occurrence. |
| Rd | Maximum 24-h rainfall amount during each rainfall event. |
| R2 | Determination coefficient. |
| RI | Rainfall index, RI = Rd Im. |
| T | Return period of rainfall. |
| , and | Empirical coefficients in Equation (6). |
References
- Evans, S.G.; Clague, J.J. Recent climatic change and catastrophic geomorphic processes in mountain environments. Geomorphology 1994, 10, 107–128. [Google Scholar] [CrossRef]
- Clarke, M.; Rendell, H. Climate, Extreme Events and Land Degradation. In Climate and Land Degradation, Environmental Science and Engineering; Springer: Berlin/Heidelberg, Germany, 2007; pp. 137–152. [Google Scholar]
- Petley, D.N.; Hearn, G.J.; Hart, A.; Rosser, N.J.; Dunning, S.A.; Oven, K.; Mitchell, W.A. Trends in landslide occurrence in Nepal. Nat. Hazards 2007, 43, 23–44. [Google Scholar] [CrossRef]
- Hilker, N.; Badoux, A.; Hegg, C. The Swiss flood and landslide damage database 1972–2007. Nat. Hazards Earth Syst. Sci. 2009, 9, 913–925. [Google Scholar] [CrossRef] [Green Version]
- Djalante, R.; Thomalla, F. Disaster risk reduction and climate change adaptation in Indonesia: Institutional challenges and opportunities for integration. Int. J. Disaster Resil. Built Environ. 2012, 3, 166–180. [Google Scholar] [CrossRef]
- Chen, J.C.; Huang, W.S.; Jan, C.D.; Yang, Y.H. Recent changes in the number of rainfall events related to debris flow occurrence in the Chenyulan Stream Watershed, Taiwan. Nat. Hazards Earth Syst. Sci. 2012, 12, 1539–1549. [Google Scholar] [CrossRef]
- Mechler, R.; Bouwer, L.M.; Linnerooth-Bayer, J.; Hochrainer-Stigler, S.; Aerts, J.C.J.H.; Surminski, S.; Williges, K. Managing unnatural disaster risk from climate extremes. Nat. Clim. Chang. 2014, 4, 235–237. [Google Scholar] [CrossRef]
- Joshi, V.; Kumar, K. Extreme rainfall events and associated natural hazards in Alaknanda Valley, Indian Himalayan Region. J. Mt. Sci. 2006, 3, 228–236. [Google Scholar] [CrossRef]
- Borga, M.; Stoffel, M.; Marchi, L.; Marra, F.; Jakob, M. Hydrogeomorphic response to extreme rainfall in headwater systems: Flash floods and debris flows. J. Hydrol. 2014, 518, 194–205. [Google Scholar] [CrossRef]
- Wang, F.; Wu, Y.H.; Yang, H.; Tanida, Y.; Kamei, A. Preliminary investigation of the 20 August 2014 debris flows triggered by a severe rainstorm in Hiroshima City, Japan. Geoenviron. Disasters 2015, 2, 17. [Google Scholar] [CrossRef] [Green Version]
- Joe, E.J.; Tongkul, F.; Roslee, R. Relationship Between Rainfall and Debris Flow Occurrence in the Crocker Range of Sabah, Malaysia. Malays. J. Geosci. 2018, 2, 18–29. [Google Scholar] [CrossRef]
- Nam, D.H.; Lee, S.H.; Kim, B.S. Development of Nomogram for Debris Flow Forecasting Based on Critical Accumulated Rainfall in South Korea. Water 2019, 11, 2181. [Google Scholar] [CrossRef] [Green Version]
- Gong, X.L.; Chen, K.T.; Chen, X.Q.; You, Y.; Chen, J.G.; Zhao, W.Y.; Lang, J. Characteristics of a Debris Flow Disaster and Its Mitigation Countermeasures in Zechawa Gully, Jiuzhaigou Valley, China. Water 2020, 12, 1256. [Google Scholar] [CrossRef]
- Chen, J.C.; Chuang, M.R. Discharge of landslide-induced debris flows: Case studies of Typhoon Morakot in southern Taiwan. Nat. Hazards Earth Syst. Sci. 2014, 14, 1719–1730. [Google Scholar] [CrossRef] [Green Version]
- Destro, E.; Marra, F.; Nikolopoulos, E.I.; Zoccatelli, D.; Creutin, J.D.; Borga, M. Spatial estimation of debris flows-triggering rainfall and its dependence on rainfall return period. Geomorphology 2017, 278, 269–279. [Google Scholar] [CrossRef]
- Caine, N. The rainfall intensity-duration control of shallow landslides and debris flow. Geogr. Ann. Ser. A Phys. Geogr. 1980, 62A, 23–27. [Google Scholar]
- Wieczorek, G.F. Effect of rainfall intensity and during in debris flows in central Santa Cruz Mountain, California. Eng. Geol. 1987, 7, 93–104. [Google Scholar]
- Jan, C.D.; Chen, C.L. Debris flow caused by Typhoon Herb in Taiwan. In Chapter 21, Debris-Flow Hazards and Related Phenomena; Jakob, M., Hungr, O., Eds.; Praxis: Chichester, UK, 2005; pp. 539–563. [Google Scholar]
- Shieh, C.L.; Chen, Y.S.; Tsai, Y.J.; Wu, J.H. Variability in rainfall threshold for debris flow after the Chi-Chi earthquake in central Taiwan, China. Int. J. Sediment Res. 2009, 24, 177–188. [Google Scholar] [CrossRef]
- Chen, J.C.; Huang, W.S.; Jan, C.D.; Tsai, Y.F. Rainfall conditions for the initiation of debris flows during Typhoon Morakot in the Chen-Yu-Lan watershed in central Taiwan. In Proceedings of the 5th International Conference on Debris-Flow Hazards Mitigation: Mechanics, Prediction, and Assessment, Padua, Italy, 14–17 June 2011; pp. 31–36. [Google Scholar]
- Guzzetti, F.; Peruccacci, S.; Rossi, M.; Stark, C.P. Rainfall thresholds for the initiation of landslides in central and southern Europe. Meteorog. Atmos. Phys. 2007, 98, 239–267. [Google Scholar] [CrossRef]
- Chen, J.C.; Jan, C.D. Probabilistic Analysis of Landslide Potential of an Inclined Uniform Soil Layer of Infinite Length—Application. Environ. Geol. 2008, 54, 1175–1183. [Google Scholar] [CrossRef]
- Chen, N.S.; Yang, C.L.; Zhou, W.; Hu, G.S.; Li, H.; Hand, D. The Critical Rainfall Characteristics for Torrents and Debris Flows in the Wenchuan Earthquake Stricken Area. J. Mt. Sci. 2009, 6, 362–372. [Google Scholar] [CrossRef]
- Tang, C.; Zhu, J.; Li, W.L. Rainfall-triggered debris flows following the Wenchuan earthquake. Bull. Eng. Geol. Environ. 2009, 68, 187–194. [Google Scholar] [CrossRef]
- Chen, J.C. Variability of impact of earthquake on debris flow triggering conditions: Case study of Chen-Yu-Lan Watershed, Taiwan. Environ. Earth Sci. 2011, 64, 1787–1794. [Google Scholar] [CrossRef]
- Chen, J.C.; Jan, C.D.; Huang, W.S. Characteristics of rainfall triggering of debris flows in the Chenyulan watershed, Taiwan. Nat. Hazards Earth Syst. Sci. 2013, 13, 1015–1023. [Google Scholar] [CrossRef]
- Pan, H.L.; Jiang, Y.J.; Wang, J.; Ou, G.Q. Rainfall threshold calculation for debris flow early warning in areas with scarcity of data. Nat. Hazards Earth Syst. Sci. 2018, 18, 1395–1409. [Google Scholar] [CrossRef] [Green Version]
- Chen, J.C.; Huang, W.S.; Tsai, Y.F. Variability in the characteristics of extreme rainfall events triggering debris flows: A case study in the Chenyulan watershed, Taiwan. Nat. Hazards 2020, 102, 887–908. [Google Scholar] [CrossRef]
- Guzzetti, F.; Peruccacci, S.; Rossi, M.; Stark, C.P. The rainfall intensity–duration control of shallow landslides and debris flows: An update. Landslides 2008, 5, 3–17. [Google Scholar] [CrossRef]
- Nikolopoulos, E.I.; Crema, S.; Marchi, L.; Marra, F.; Guzzetti, F.; Borga, M. Impact of uncertainty in rainfall estimation on the identification of rainfall thresholds for debris flow occurrence. Geomorphology 2014, 221, 286–297. [Google Scholar] [CrossRef]
- Lin, M.L.; Jeng, F.S. Characteristics of hazards induced by extremely heavy rainfall in central Taiwan—Typhoon Herb. Eng. Geol. 2000, 58, 191–207. [Google Scholar] [CrossRef]
- Lin, C.W.; Shieh, C.L.; Yuan, B.D.; Shieh, Y.C.; Liu, S.H.; Lee, S.Y. Impact of Chi-Chi earthquake on the occurrence of landslides and debris flows: Example from the Chenyulan River watershed, Nantou, Taiwan. Eng. Geol. 2013, 71, 49–61. [Google Scholar] [CrossRef]
- NCDR (National Science and Technology Center for Disaster Reduction). The Rank of Extreme Rainfall Events over Taiwan; NCDR: Taipei, Taiwan, 2015. (In Chinese) [Google Scholar]
- Chow, V.T.; Maidment, D.R.; Mays, L.W. Applied Hydrology; McGraw-Hill Inc.: Singapore, 1988. [Google Scholar]
- Jan, C.D.; Lee, M.H. A debris-flow rainfall-based warning model. J. Chin. Soil Water Conserv. 2004, 35, 273–283. (In Chinese) [Google Scholar]
- Viessman, W.; Lewis, G.L.; Knapp, J.W. Introduction to Hydrology, 3rd ed.; Harper & Row: New York, NY, USA, 1989. [Google Scholar]
- Makkonen, L. Plotting positions in extreme value analysis. J. Appl. Meteorol. Climatol. 2006, 45, 334–340. [Google Scholar] [CrossRef]










| xi | a | b | c | R2 |
|---|---|---|---|---|
| Im | 40 | 0.94 | 0.23 | 0.91 |
| Rd | 410 | 0.96 | 0.26 | 0.95 |
| RI | 180 | 0.97 | 0.42 | 0.93 |
| Period | Range of Analyzed Rainfall Events | γ | R2 | ||
|---|---|---|---|---|---|
| I. Whole period (WP) | Between 1985–2017 | 0.47 | 0.78 | 0.85 | 0.89 |
| II. Chi-Chi earthquake-affected period (CEAP) | Between CCE and TMi (the period of approximately 5 years after the CCE) | 0.23 | 0.87 | 8.65 | 0.56 |
| III. Extreme rainfall-affected period (ERAP) | 3 years after TH and TM, 2 years after HR, and 1 year after TMi | 0.32 | 0.79 | 2.89 | 0.84 |
| IV. Unaffected by extreme events period (UEEP) | WP excluding CEAP and ERAP | 0.20 | 0.46 | 0.99 | 0.82 |
| No. | Year | Date | Name of Event | Im (mm/h) | Rd (mm) | RI (cm2/h) | Remark |
|---|---|---|---|---|---|---|---|
| 0 | 2009 | 6–11 August | Typhoon Morakot (TM) | 85.5 | 1192.6 | 1019.7 | Extreme rainfall event |
| 1 | 2010 | 23–24 May | Rainstorm | 35.8 | 227.2 | 81.3 | Events within the period affected by extreme rainfall TM |
| 2 | 2011 | 17–20 July | Rainstorm | 33.6 | 256.2 | 86.1 | |
| 3 | 2012 | 9–12 June | Rainstorm | 33.6 | 384.6 | 129.2 | |
| 4 | 2012 | 18–21 June | Typhoon Talim | 22.2 | 243.4 | 54.0 | |
| 5 | 2012 | 1–3 August | Typhoon Saola | 36.4 | 502.2 | 182.8 | |
| 6 | 2013 | 12–13 July | Typhoon Soulik | 52.4 | 661.7 | 346.7 | Events unaffected by TM |
| 7 | 2017 | 1–4 June | Rainstorm | 46.1 | 515.7 | 237.7 |
Publisher’s Note: MDPI stays neutral with regard to jurisdictional claims in published maps and institutional affiliations. |
© 2021 by the authors. Licensee MDPI, Basel, Switzerland. This article is an open access article distributed under the terms and conditions of the Creative Commons Attribution (CC BY) license (https://creativecommons.org/licenses/by/4.0/).
Share and Cite
Chen, J.-C.; Huang, W.-S. Evaluation of Rainfall-Triggered Debris Flows under the Impact of Extreme Events: A Chenyulan Watershed Case Study, Taiwan. Water 2021, 13, 2201. https://doi.org/10.3390/w13162201
Chen J-C, Huang W-S. Evaluation of Rainfall-Triggered Debris Flows under the Impact of Extreme Events: A Chenyulan Watershed Case Study, Taiwan. Water. 2021; 13(16):2201. https://doi.org/10.3390/w13162201
Chicago/Turabian StyleChen, Jinn-Chyi, and Wen-Shun Huang. 2021. "Evaluation of Rainfall-Triggered Debris Flows under the Impact of Extreme Events: A Chenyulan Watershed Case Study, Taiwan" Water 13, no. 16: 2201. https://doi.org/10.3390/w13162201
APA StyleChen, J.-C., & Huang, W.-S. (2021). Evaluation of Rainfall-Triggered Debris Flows under the Impact of Extreme Events: A Chenyulan Watershed Case Study, Taiwan. Water, 13(16), 2201. https://doi.org/10.3390/w13162201
