Temporal Variations of Submarine Groundwater Discharge into a Tide-Dominated Coastal Wetland (Gaomei Wetland, Western Taiwan) Indicated by Radon and Radium Isotopes
Abstract
1. Introduction
2. Materials and Methods
2.1. Study Area
2.2. Field Work
2.3. Analytical Techniques
2.3.1. Measurement of 222Rn in Water
2.3.2. Extraction and Measurement of Ra Isotopes in Water
2.3.3. Analyses of δ18O and δD of Water
3. Results
3.1. Groundwater, Fluvial Water, and Offshore Seawater
3.2. Time-Series Observations of Coastal Water
3.2.1. Variations of Hydrographic Features
3.2.2. Variations of 222Rn, 224Raex, 228Ra, δ18O, and δD
3.3. Time-Series Observations of Pore Water
4. Discussion
4.1. Observations of δD and δ18O
4.2. Excess 224Raex and 228Ra in the Coastal Water
4.3. 222Rn mass Balance for SGD Rate Estimation
4.3.1. The Temporal Variations of net 222Rn fluxes
4.3.2. Atmospheric loss
4.3.3. Diffusion Flux from Bottom Sediments
4.3.4. Tidal Effect on Import and Export of 222Rn
4.3.5. 222Rn Input from the Da-Chia River
4.3.6. SGD Rate Estimating
4.3.7. Uncertainty Analysis
4.4. SGD-born DIC and Nutrient Fluxes
5. Summary
- A.
- In the wet season, 224Raex and 228Ra activities in the coastal waters were high (>20 dpm 100 L−1) during the low-tide period, but relatively low (<10 dpm 100 L−1) during the high-tide one; whereas an opposite trend was displayed in the dry season. The much higher 224Raex and 228Ra activities in the low-tide water in the wet season might not have resulted from the contribution of Ra desorption from marine suspended particles; coupled with the δ18O and δD signatures of water, it indicated a source of RSGD.
- B.
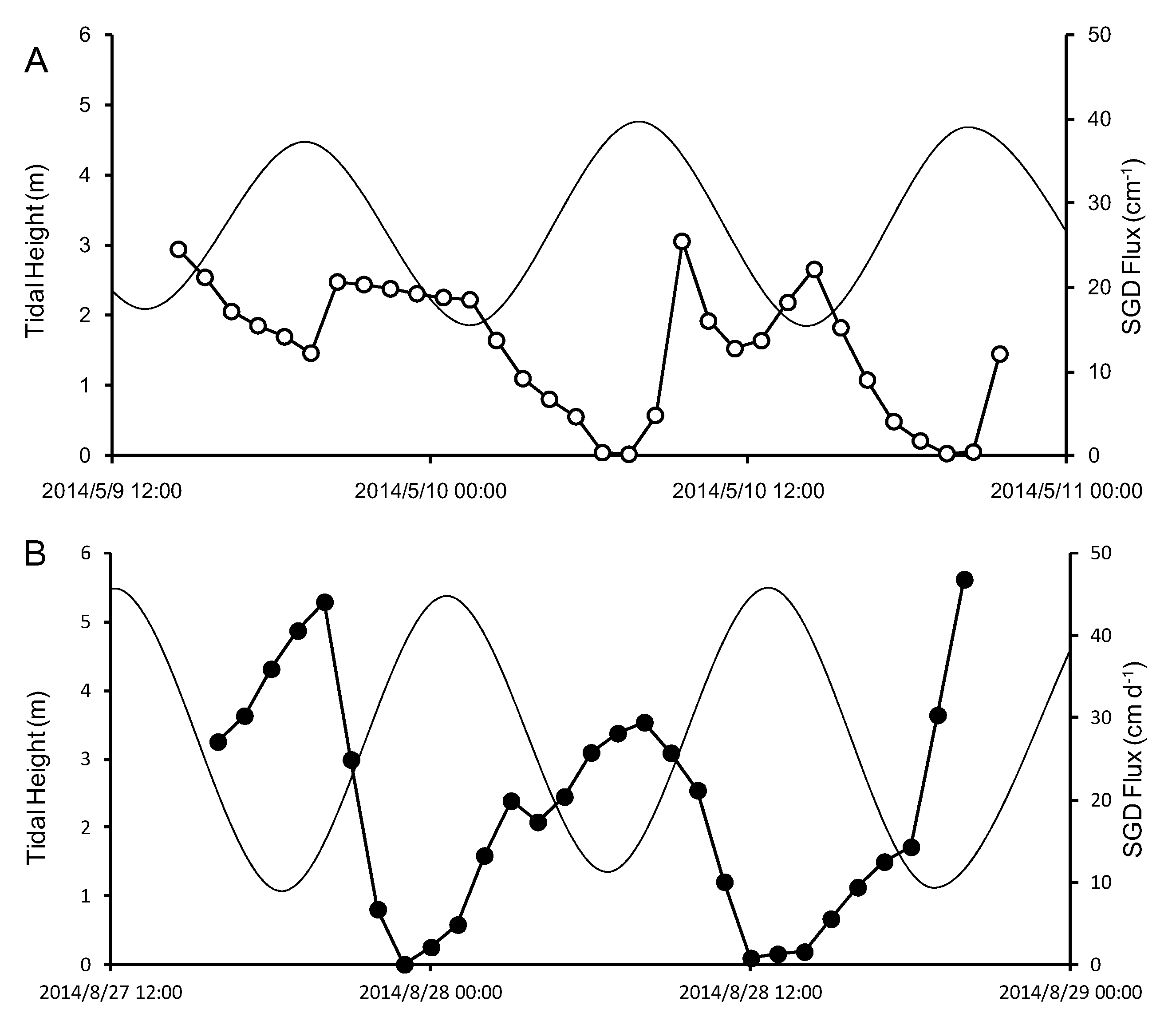
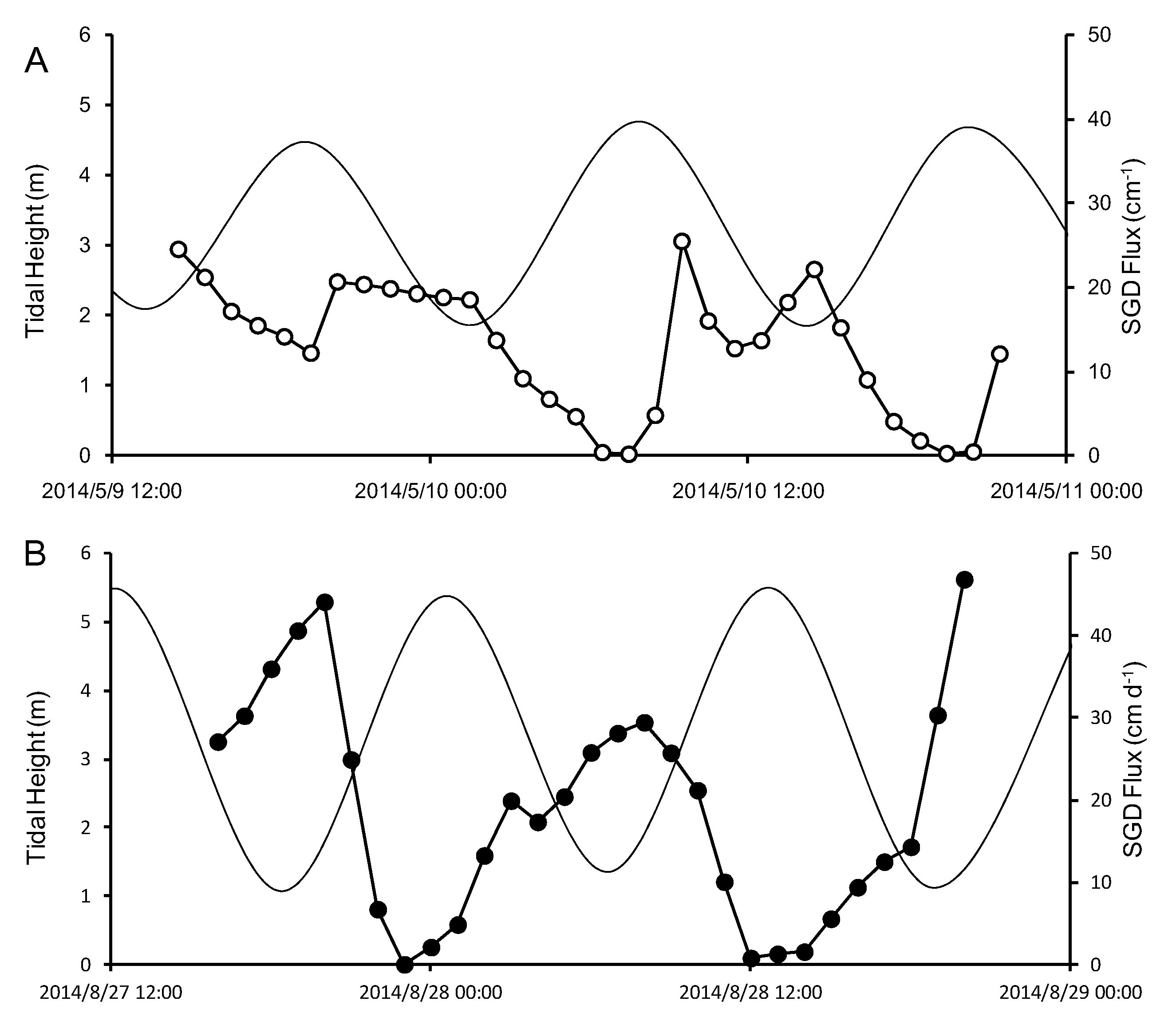
- The time-series observations of 222Rn showed the same trends regardless of wet and dry seasons, with higher activities at low tides and lower ones at high tides. Based on a 222Rn mass balance model taking all sources and sinks into account, we estimated an SGD flux into the Gaomei Wetland, ranging from 0.1 to 47 cm d−1, which varied with tide fluctuation, with low rate during the high-tide period, but a high one during the low-tide period. This confirmed the importance of tidal pumping in driving SGD. The slightly higher fluxes during the wet season (average SGD flux = 19.0 ± 13.6 cm d−1) compared to the dry season (average SGD flux = 12.9 ± 7.7 cm d−1) indicated a stronger tidal pumping coupled with a large hydraulic gradient in land.
- C.
- The DIC fluxes via SGD into the Gaomei Wetland were estimated to be 1.5 × 106 and 2.2 × 106 mol d−1 in the dry and wet seasons, respectively, ~26% of the river-borne DIC flux from the Da-Chia River. In addition, the SGD-derived nutrient fluxes were 53.5 × 103 and 1.71 × 103 mole d−1 for N and P, respectively, which were about 57% for N and 70% for P, as compared to those exported from the Da-Chia River. Such exports of nutrients and the DIC fluxes via SGD could have had an impact on the coastal biogeochemistry in the Gaomei Wetland.
Author Contributions
Funding
Acknowledgments
Conflicts of Interest
References
- Sonrel, L. Le Fond de la mer. L; Hachette et Cie: Paris, France, 1868; p. 340. [Google Scholar]
- Moore, W.S. Large groundwater inputs to coastal waters revealed by 226Ra enrichments. Nature 1996, 380, 612–614. [Google Scholar] [CrossRef]
- Taniguchi, M.; Burnett, W.C.; Cable, J.E.; Turner, J.V. Investigations of submarine groundwater discharge. Hydrol. Process. 2002, 16, 2115–2129. [Google Scholar] [CrossRef]
- Burnett, W.C.; Bokuniewicz, H.; Huettel, M.; Moore, W.S.; Taniguchi, M. Groundwater and pore water inputs to the coastal zone. Biochemistry 2003, 66, 3–33. [Google Scholar] [CrossRef]
- Moore, W.S. The effect of submarine groundwater discharge on the ocean. Annu. Rev. Mar. Sci. 2010, 2, 59–88. [Google Scholar] [CrossRef]
- Michael, H.A.; Mulligan, A.E.; Harvey, C.E. Seasonal oscillations in water exchange between aquifers and the coastal ocean. Nature 2005, 436, 1145–1148. [Google Scholar] [CrossRef]
- Santos, I.R.; Eyre, B.D.; Huuettel, M. The driving forces of pore water and groundwater flow in permeable coastal sediments: A review. Estuar. Coast. Shelf Sci. 2012, 98, 1–15. [Google Scholar] [CrossRef]
- Robinson, C.; Li, L.; Barry, D.A. Effect of tidal forcing on a subterranean estuary. Adv. Water Resour. 2007, 30, 851–865. [Google Scholar] [CrossRef]
- Robinson, C.; Brovelli, A.; Barry, D.A.; Li, L. Tidal influence on BTEX biodegradation in sandy aquifers. Adv. Water Resour. 2009, 32, 16–28. [Google Scholar] [CrossRef]
- Michael, H.A.; Charette, M.A.; Harvey, C.F. Patterns and variability of groundwater flow and radium activity at the coast: A case study from Waquoit Bay, Massachusetts. Mar. Chem. 2011, 127, 100–124. [Google Scholar] [CrossRef]
- Taniguchi, M. Tidal effects on submarine groundwater discharge into the ocean. Geophys. Res. Lett. 2002, 29. [Google Scholar] [CrossRef]
- Liu, Y.; Jiao, J.-J.; Liang, W.-Z. Tidal Fluctuation Influenced Physicochemical Parameter Dynamics in Coastal Groundwater Mixing Zone. Estuaries Coasts 2018, 14, 988–1001. [Google Scholar] [CrossRef]
- Cai, W.-J.; Wang, C.-Y.; Krest, J.; Moore, W.S. The geochemistry of dissolved inorganic carbon in a surficial groundwater aquifer in North Inlet, South Carolina, and the carbon fluxes to the coastal ocean. Geochim. Cosmochim. Acta 2003, 67, 631–639. [Google Scholar] [CrossRef]
- Liu, Q.; Dai, M.; Chen, W.; Huh, C.-A.; Wang, G.; Li, Q.; Charette, M.A. How significant is submarine groundwater discharge and its associated dissolved inorganic carbon in a river-dominated shelf system? Biogeosciences 2012, 9, 1–19. [Google Scholar] [CrossRef]
- Hu, C.-M.; Muller-karger, F.E.; Swarzenski, P. Hurricanes, submarine groundwater discharge, and Florida’s red tides. J. Geophys. Res. 2006, 33, L11601. [Google Scholar] [CrossRef]
- Lee, Y.-W.; Kim, G. Linking groundwater-borne nutrients and dinoflagellate red-tide outbreaks in the southern sea of Korea using a Ra tracer. Estuar. Coast. Shelf Sci. 2007, 71, 309–317. [Google Scholar] [CrossRef]
- Su, N.; Burnett, W.C.; MacIntyre, H.L.; Liefer, J.D.; Peterson, R.N.; Viso, R. Natural radon and radium isotopes for assessing groundwater discharge into Little Lagoon, AL: Implication for harmful algal blooms. Estuaries Coasts 2014, 37, 893–910. [Google Scholar] [CrossRef]
- Ting, C.-S. Groundwater Resources Evaluation and Management for Pingtung Plain, Taiwan. Ph.D. Thesis, Vrije Universiteit Amsterdam, Amsterdam, The Netherlands, 1997; p. 199. [Google Scholar]
- Central Geological Survey (CGS). Taiwan groundwater monitoring network project phase I: Pingtung. Final Summary of Hydrogeology Investigation; Ministry of Economic Affairs: Taipei, Taiwan, 2002; p. 172. (In Chinese) [Google Scholar]
- Peng, T.-R.; Chen, C.-T.A.; Wang, C.-H.; Zhang, J.; Lin, Y.-J. Assessment of terrestrial factors controlling the submarine groundwater discharge in water shortage and highly deformed Island of Taiwan, Western Pacific Ocean. J. Oceanogr. 2008, 64, 323–337. [Google Scholar] [CrossRef]
- Chiang, H.-C.; Tong, L.-T.; Chen, K.-Y.; Lu, W.-C.; Liao, J.-W.; Tsai, M.-F.; Wu, P.-J. The spatial variation of principal chemical constituents in groundwater of Cho-Shui Chi Basin, Central Taiwan. J. Taiwan Agric. Eng. 2013, 59, 165–171, (In Chinese with English Abstract). [Google Scholar]
- Chen, C.-T.A.; Zhang, J.; Peng, T.R.; Hagiwara, T. Exploratory sampling of submarine groundwater discharge in Taiwan. Geochemistry 2005, 39, 165–171. [Google Scholar]
- Chen, C.-T.A.; Zhang, J.; Peng, T.R.; Kandasamy, S.; Wang, D.; Lin, Y.-J. Submarine groundwater discharge around Taiwan. Acta Oceanol. Sin. 2018, 37, 18–22. [Google Scholar] [CrossRef]
- Lin, Y.-J. Preliminary Measurement of Submarine Groundwater Discharge in Taiwan. MS Thesis, National Sun Yat-Sen University, Kaohsiung, Taiwan, 2007; p. 139, (In Chinese with English Abstract). [Google Scholar]
- Lin, I.-T.; Wang, C.-H.; You, C.-F.; Lin, S.; Huang, K.-F.; Chen, Y.-G. Deep submarine groundwater discharge indicated by tracers of oxygen, strontium isotopes and barium content in the Pingtung coastal zone, southern Taiwan. Mar. Chem. 2010, 122, 51–58. [Google Scholar] [CrossRef]
- Lin, I.-T.; Wang, C.-H.; Lin, S.; Chen, Y.-G. Groundwater -seawater interactions off the coast of southern Taiwan: Evidence from environmental isotopes. J. Asian Earth Sci. 2011, 41, 250–262. [Google Scholar] [CrossRef]
- Zavialov, P.O.; Kao, R.-C.; Kremenetskiy, V.V.; Peresypkin, V.I.; Ding, C.-F.; Hsu, J.-T.; Kopelevich, O.V.; Korotenko, K.A.; Wu, Y.-S.; Chen, P. Evidence for submarine groundwater discharge on the southwestern shelf of Taiwan. Cont. Shelf Res. 2012, 34, 18–25. [Google Scholar] [CrossRef]
- Kao, R.-C.; Zavialov, P.O.; Ding, C.-F. Investigation and assessment of submarine groundwater discharge of Ping-Tung nearshore area in southwestern Taiwan. Irrig. Drain. 2013, 62, 10–17. [Google Scholar] [CrossRef]
- Wang, S.-L.; Chen, C.-T.A.; Huang, T.-H.; Tseng, H.-C.; Lui, H.-K.; Peng, T.-R.; Kandasamy, S.; Zhang, J.; Yang, L.; Gao, X.; et al. Submarine groundwater discharge helps making nearshore waters heterotrophic. Sci. Rep. 2018. [Google Scholar] [CrossRef]
- Burnett, W.C.; Dulaiova, H. Estimating the dynamics of groundwater input into the coastal zone via continuous radon-222 measurements. J. Environ. Radioact. 2003, 69, 21–35. [Google Scholar] [CrossRef]
- Mulligan, A.E.; Charette, M.A. Intercomparison of submarine groundwater discharge estimates from a sandy unconfined aquifer. J. Hydrol. 2005, 327, 411–425. [Google Scholar] [CrossRef]
- Li, Y.-H.; Mathieu, G.; Biscaye, P.; Simpson, H.J. The flux of 226Ra from estuarine and continental shelf sediments. Earth Planet. Sci. Lett. 1977, 37, 237–241. [Google Scholar] [CrossRef]
- Li, Y.-H.; Chan, L.-H. Desorption of Ba and 226Ra from river-borne sediments in the Hudson estuary. Earth Planet. Sci. Lett. 1979, 43, 343–350. [Google Scholar] [CrossRef]
- Taniguchi, M.; Nakayama, T.; Tase, N.; Shimada, J. Stable isotope studies of precipitation and river water in the Lake Biwa basin, Japan. Hydrol. Process. 2000, 14, 539–556. [Google Scholar] [CrossRef]
- Povinec, P.P.; Bokuniewicz, H.; Burnett, W.C.; Cable, J.; Charette, M.; Comanducci, J.-F.; Kontar, E.A.; Moore, W.S.; Oberdorfer, J.A.; Oliveira, J.; et al. Isotope tracing of submarine groundwater discharge offshore Ubatuba, Brazil: Results of the IAEA-UNESCO SGD project. J. Environ. Radioact. 2008, 89, 81–101. [Google Scholar] [CrossRef] [PubMed]
- Povinec, P.P.; Oliveira, J.; Braga, E.S.; Comanducci, J.-F.; Gastaud, J.; Groening, M.; Levy-Palomo, I.; Morgenstern, U.; Top, Z. Isotopic, trace element and nutrient characterization of coastal waters from Ubatuba inner shelf area, southeastern Brazil. Estuar. Coast. Shelf Sci. 2008, 76, 522–542. [Google Scholar] [CrossRef]
- Schiavo, M.A.; Hauser, S.; Povinec, P.P. Stable isotopes of water as a tool to study groundwatereseawater interactions in coastal south-eastern Sicily. J. Hydrol. 2009, 364, 40–49. [Google Scholar] [CrossRef]
- Povinec, P.P.; Burnett, W.C.; Beck, A.; Bokuniewicz, H.; Charette, M.; Gonneea, M.E.; Groening, M.; Ishitobi, T.; Kontar, E.; Liong Wee Kwong, L.; et al. Isotopic, geophysical and biogeochemical investigation of submarine groundwater discharge: IAEA-UNESCO intercomparison exercise at Mauritius Island. J. Environ. Radioact. 2012, 104, 24–45. [Google Scholar] [CrossRef]
- Water Resources Agency (WRA). Hydrological Year Book of Taiwan, 2014: Part II-River Stage and Discharge; Water Resources Agency, Ministry of Economic Affairs: Taipei, Taiwan, 2015; p. 579. (In Chinese) [Google Scholar]
- Lee, C.-H.; Chen, W.-P.; Lee, R.-H. Estimation of groundwater recharge using water balance coupled with base-flow-record estimation and stable-base-flow analysis. Environ. Geol. 2006, 51, 73–82. [Google Scholar] [CrossRef]
- Water Resources Agency (WRA). Assessment of the Impacts on Groundwater Environment Caused by Conjunctive Use of Taan and Dajia Rivers Water Resource; Water Resources Agency, Ministry of Economic Affairs: Taipei, Taiwan, 2008; p. 257. (In Chinese) [Google Scholar]
- Xu, B.-C.; Burnett, W.; Lane-Smith, D.; Yu, Z.-G. A simple laboratory-based radon calibration system. J. Radioanal. Nucl. Chem. 2010, 283, 457–463. [Google Scholar] [CrossRef]
- Moore, W.S. Sampling 228Ra in the deep ocean. Deep Sea Res. 1976, 23, 647–651. [Google Scholar] [CrossRef]
- Moore, W.S. Fifteen years experience in measuring 224Ra and 223Ra by delayed-coincidence counting. Mar. Chem. 2008, 109, 188–197. [Google Scholar] [CrossRef]
- Giffin, C.; Kaufman, A.; Broecker, W. Delayed coincidence counter for the assay of action and thoron. J. Geophys. Res. 1963, 68, 1749–1757. [Google Scholar] [CrossRef]
- Moore, W.S.; Arnold, R. Measurement of 223Ra and 224Ra in coastal water using a delayed coincidence counter. J. Geophys. Res. 1996, 101, 1321–1329. [Google Scholar] [CrossRef]
- Garcia-Solsona, E.; Garcia-Orellana, J.; Masqué, P.; Dulaiova, H. Uncertainties associated with 223Ra and 224Ra measurements in water via a Delayed Coincidence Counter (RaDeCC). Mar. Chem. 2008, 109, 198–219. [Google Scholar] [CrossRef]
- Chang, Y.-L. Estimating SGD Flux in the Pingtung Plain Coastal Area Using Radon and Radium Isotopes. MS Thesis, National Taiwan University, Taipei, Taiwan, 2015; p. 68, (In Chinese with English Abstract). [Google Scholar]
- Lin, C.-Y. Spatial Distribution of Radon-in-Water around Taiwan: A Preliminary Result. MS Thesis, National Taiwan University, Taipei, Taiwan, 2012; p. 65, (In Chinese with English Abstract). [Google Scholar]
- Central Weather Bureau (CWB). Tidal Observation Data Annual Report, 2014; Central Weather Bureau, Ministry of Transportation and Communications: Taipei, Taiwan, 2015; p. 636. [Google Scholar]
- International Atomic Energy Agency (IAEA). Statistical Treatment of Data on Environmental Isotopes in Precipitation; Technical Report Series No. 337; International Atomic Energy Agency: Vienna, Austria, 1992; p. 781. [Google Scholar]
- Wang, C.-H.; Kuo, C.-H.; Peng, T.-R.; Chen, W.-F.; Liu, T.-K.; Chiang, C.-J.; Liu, W.-C.; Hung, J.-J. Isotope characteristics of Taiwan groundwaters. West. Pac. Earth Sci. 2001, 1, 415–428. [Google Scholar]
- Craig, H. Isotopic variations in meteoric water. Science 1961, 133, 1702–1703. [Google Scholar] [CrossRef] [PubMed]
- Garcia-Solsona, E.; Masqué, P.; Garcia-Orellana, J.; Rapaglia, J.; Beck, A.J.; Cochran, J.K.; Bokuniewicz, H.J.; Zaggia, L.; Collavini, F. Estimating submarine groundwater discharge around Isola La Cura, northern Venice Lagoon (Italy), by using the radium quartet. Mar. Chem. 2008, 109, 292–306. [Google Scholar] [CrossRef]
- Rapaglia, J.; Ferrarin, C.; Zaggia, L.; Moore, W.S.; Umgiesser, G.; Garcia-Solsona, E.; Garcia-Orellana, J.; Masqué, P. Investigation of residence time and groundwater flux in Venice Lagoon: Comparing radium isotope and hydrodynamical models. J. Environ. Radioact. 2010, 101, 571–581. [Google Scholar] [CrossRef]
- Hancock, G.J. The Effect of Salinity on the Concentrations of Radium and Thorium in Sediments. Master’s Thesis, Australian National University, Canberra, Australia, 1993; p. 128. [Google Scholar]
- Webster, I.T.; Hancock, G.J.; Murray, A.S. Modelling the effect of salinity on radium desorption from sediments. Geochimica et Cosmochimica Acta 1995, 59, 2469–2476. [Google Scholar] [CrossRef]
- Krest, J.M.; Moore, W.S.; Rama. 226Ra and 228Ra in the mixing zones of the Mississippi and Atchafalaya Rivers: Indicators of groundwater input. Mar. Chem. 1999, 64, 129–154. [Google Scholar] [CrossRef]
- Hsu, F.-H. Submarine Groundwater Discharge along the Coast of the Taiwan Strait Indicated by Source and Sink Transport of Radium. Ph.D. Thesis, National Taiwan University, Taipei, Taiwan, 2018; p. 119. (In English). [Google Scholar]
- Lambert, M.J.; Burnett, W.C. Submarine groundwater discharge estimates at a Florida coastal site based on continuous radon measurements. Biogeochemistry 2003, 66, 55–73. [Google Scholar] [CrossRef]
- Dimova, N.T.; Burnett, W.C. Evaluation of groundwater discharge into small lakes based on the temporal distribution of radon-222. Limnol. Oceanogr. 2011, 56, 486–494. [Google Scholar] [CrossRef]
- Zhang, Y.; Li, H.; Wang, X.; Zeng, C.; Wang, C.; Xiao, K.; Wan, L.; Wang, X.; Jiang, X.; Guo, H. Estimation of submarine groundwater discharge and associated nutrient fluxes in eastern Laizhou Bay, China using 222Rn. J. Hydrol. 2016, 533, 103–113. [Google Scholar] [CrossRef]
- MacIntyre, S.; Wanninkhof, R.; Chanton, J. Trace gas exchange across the air-water interface in freshwater and coastal marine environments. In Biogenic Trace Gases: Measuring Emissions from Soil and Water; Matson, P.A., Hariss, C., Eds.; Blackwell Science: New York, NY, USA, 1995; pp. 52–97. [Google Scholar]
- Mei, C.T.Y.; Wu, C.F.; Weng, P.S. Monitoring of environmental Radon-222 in selected areas of Taiwan province of the republic of China. In Radiation Protection: A Systematic Approach to Safety; International Radiation Protection Association: Washington, DC, USA, 1980; pp. 1119–1122. [Google Scholar]
- Pond, S. The exchange of momentum, heat and moisture at the ocean-atmosphere interface. Proceedings of the Symposium. In Numerical Models of Ocean Circulation; National Academy of Sciences: Washington, DC, USA, 1975; pp. 26–28. [Google Scholar]
- Peng, T.H.; Takatashi, T.; Broecker, W.S. Surface radon measurements in the North Pacific Ocean station Papa. J. Geophys. Res. 1974, 79, 1772–1780. [Google Scholar] [CrossRef]
- Ullman, W.J.; Aller, R.C. Diffusion coefficients in nearshore marine sediments. Limnol. Oceanogr. 1982, 27, 552–556. [Google Scholar] [CrossRef]
- Seeton, C.J. Viscosity-temperature correlation for liquids. Tribol. Lett. 2006, 22, 67–78. [Google Scholar] [CrossRef]
- Martens, C.S.; Kipphut, G.W.; Klump, Y.V. Sediment-Water Chemical Exchange in the Coastal Zone Traced by in situ Radon-222 Flux Measurements. Science 1980, 208, 285–288. [Google Scholar] [CrossRef]
- Luketina, D. Simple tidal prism models revisited. Estuar. Coast. Shelf Sci. 1998, 46, 385–393. [Google Scholar] [CrossRef]
- Sanford, L.; Boicourt, W.; Rives, S. Model for estimating tidal flushing of small embayments. J. Waterw. Port Coast. Ocean Eng. 1992, 118, 635–654. [Google Scholar] [CrossRef]
- Moore, W.S.; Blanton, J.O.; Joye, S.B. Estimates of flushing times, submarine groundwater discharge, and nutrient fluxes to Okatee Estuary, South Carolina. J. Geophys. Res. 2006, 111, C09006. [Google Scholar] [CrossRef]
- Burnett, W.C.; Aggarwal, P.K.; Aureli, A.; Bokuniewicz, H.; Cable, J.E.; Charette, M.A.; Kontar, E.; Krupa, S.; Kulkarni, K.M.; Loveless, A.; et al. Quantifying submarine groundwater discharge in the coastal zone via multiple methods. Sci. Total Environ. 2006, 367, 498–543. [Google Scholar] [CrossRef]
- Redfield, A.C. On the proportions of organic derivatives in sea water and their relation to the composition of plankton. In James Johnstone Memorial Volume; University Press of Liverpool: Liverpool, UK, 1934; Volume 176, pp. 177–192. [Google Scholar]








| Station ID | Sampling Time | Salinity | 222Rn (Bq m−3) | 224Raex (dpm 100L−1) | 228Ra (dpm 100L−1) | δ18O (‰) | δD (‰) |
|---|---|---|---|---|---|---|---|
| Groundwater | |||||||
| Artesian Well | |||||||
| D | 2014/08/29 15:49 | 0.0 | 6760 ± 517 | - | - | −9.97 ± 0.01 | −68.2 ± 0.09 |
| 2014/08/29 15:54 | 0.0 | 6196 ± 493 | - | - | - | - | |
| 2014/12/18 16:47 | 0.1 | 7837 ± 556 | 1.23 ± 0.16 | 1.62 ± 0.21 | −10.24 ± 0.03 | −68.7 ± 0.15 | |
| 2015/09/09 16:35 | 0.2 | 10,974 ± 665 | 0.84 ± 0.20 | - | −10.65 ± 0.04 | −69.7 ± 0.23 | |
| E | 2014/08/29 15:35 | 0.0 | 13,460 ± 729 | - | - | −9.84 ± 0.01 | −67.0 ± 0.05 |
| 2014/08/29 15:40 | 0.0 | 11,627 ± 670 | - | - | - | - | |
| 2014/12/18 16:35 | 0.1 | 13,712 ± 744 | 0.52 ± 0.08 | 1.37 ± 0.23 | −10.09 ± 0.02 | −66.6 ± 0.03 | |
| F | 2014/12/18 17:10 | 0.0 | 7428 ± 548 | 0.83 ± 0.19 | 0.62 ± 0.09 | −10.26 ± 0.04 | −69.6 ± 0.06 |
| 2015/09/09 17:00 | 0.2 | 4687 ± 432 | 2.06 ± 0.32 | - | −10.55 ± 0.03 | −69.4 ± 0.08 | |
| River water | |||||||
| Qingshui Drainage | |||||||
| B | 2014/12/19 11:48 | 3.2 | 818 ± 178 | 6.82 ± 0.93 | 4.69 ± 0.74 | −7.54 ± 0.02 | −50.2 ± 0.12 |
| 2014/12/19 11:49 | 3.3 | - | - | - | −7.17 ± 0.05 | −49.9 ± 0.03 | |
| 2015/09/09 16:40 | 0.2 | 289 ± 106 | 4.31 ± 0.79 | - | −9.72 ± 0.03 | −64.4 ± 0.14 | |
| Da-Chia River | |||||||
| C | 2014/12/19 10:25 | 0.1 | 1170 ± 214 | 1.97 ± 0.31 | 2.85 ± 0.37 | −9.31 ± 0.05 | −62.8 ± 0.18 |
| 2015/09/09 16:58 | 0.1 | 1202 ± 217 | 1.39 ± 0.31 | - | −9.22 ± 0.03 | −61.1 ± 0.11 | |
| Offshore seawater | |||||||
| G | 2014/03/19 12:13 | 34.7 | N.D. | 1.96 ± 0.33 | 1.34 ± 0.21 | −0.07 ± 0.04 | −0.21 ± 0.19 |
| Item | 224Ra | 228Ra |
|---|---|---|
| Total Ra in sediments (dpm g−1) [59] | 2.18 * | 2.30 |
| Fraction of desorbable Ra [58] | 0.33 | 0.32 |
| Desorbable Ra (dpm g−1) | 0.71 | 0.74 |
| Riverine suspended particle (g 100L−1) [39] | 17 ± 3 | 17 ± 3 |
| Maximum dissolved Ra by desorption from suspended particle (dpm 100L−1) ** | 12.1 ± 2.13 | 12.5 ± 2.22 |
| Approach | Estimated SGD Rate (cm d−1) |
|---|---|
| Lee-type seepage meter | 1.68 [24] |
| Darcy’s Law | 1.20~86.4 * |
| 222Rn mass balance model | 0.2~25 (Dry season) |
| 0.1~47 (Wet season) |
© 2020 by the authors. Licensee MDPI, Basel, Switzerland. This article is an open access article distributed under the terms and conditions of the Creative Commons Attribution (CC BY) license (http://creativecommons.org/licenses/by/4.0/).
Share and Cite
Hsu, F.-H.; Su, C.-C.; Wang, P.-L.; Lin, I.-T. Temporal Variations of Submarine Groundwater Discharge into a Tide-Dominated Coastal Wetland (Gaomei Wetland, Western Taiwan) Indicated by Radon and Radium Isotopes. Water 2020, 12, 1806. https://doi.org/10.3390/w12061806
Hsu F-H, Su C-C, Wang P-L, Lin I-T. Temporal Variations of Submarine Groundwater Discharge into a Tide-Dominated Coastal Wetland (Gaomei Wetland, Western Taiwan) Indicated by Radon and Radium Isotopes. Water. 2020; 12(6):1806. https://doi.org/10.3390/w12061806
Chicago/Turabian StyleHsu, Feng-Hsin, Chih-Chieh Su, Pei-Ling Wang, and In-Tian Lin. 2020. "Temporal Variations of Submarine Groundwater Discharge into a Tide-Dominated Coastal Wetland (Gaomei Wetland, Western Taiwan) Indicated by Radon and Radium Isotopes" Water 12, no. 6: 1806. https://doi.org/10.3390/w12061806
APA StyleHsu, F.-H., Su, C.-C., Wang, P.-L., & Lin, I.-T. (2020). Temporal Variations of Submarine Groundwater Discharge into a Tide-Dominated Coastal Wetland (Gaomei Wetland, Western Taiwan) Indicated by Radon and Radium Isotopes. Water, 12(6), 1806. https://doi.org/10.3390/w12061806

