Temporal and Spatial Variation of Soil Moisture and Its Possible Impact on Regional Air Temperature in China
Abstract
1. Introduction
2. Materials and Methods
2.1. Study Area
2.2. Data Resources
2.3. Data Analysis Methodology
2.3.1. Regression Analysis
2.3.2. Mann–Kendall Nonparametric Test
2.3.3. Pearson’s Correlation Coefficient Calculation
2.3.4. Spatial Visualization Tools
3. Results
3.1. Spatial Characteristic of Soil Moisture Variation
3.2. Temporal Characteristic of Soil Moisture Variation
3.3. Mutation Period of Soil Moisture Change
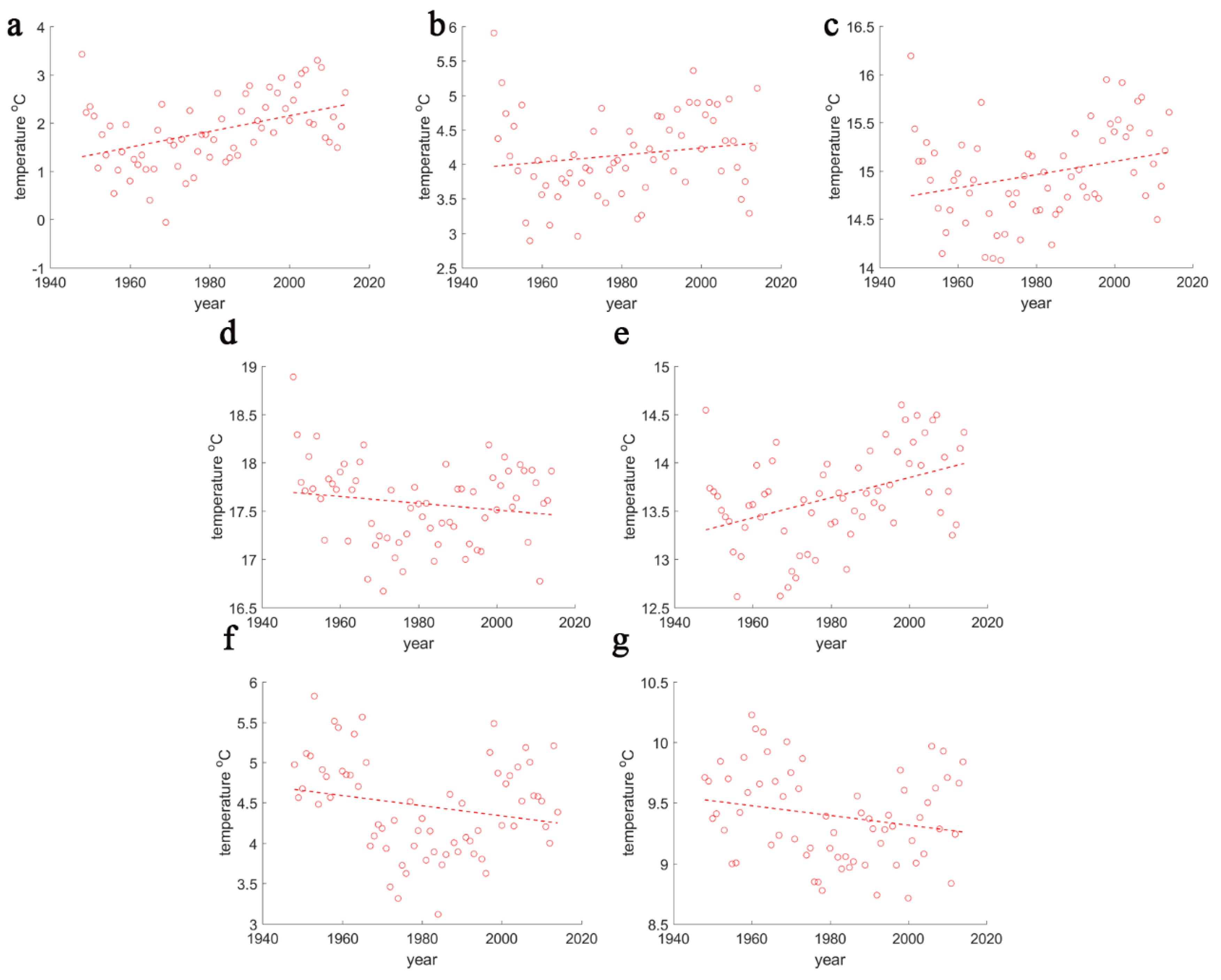
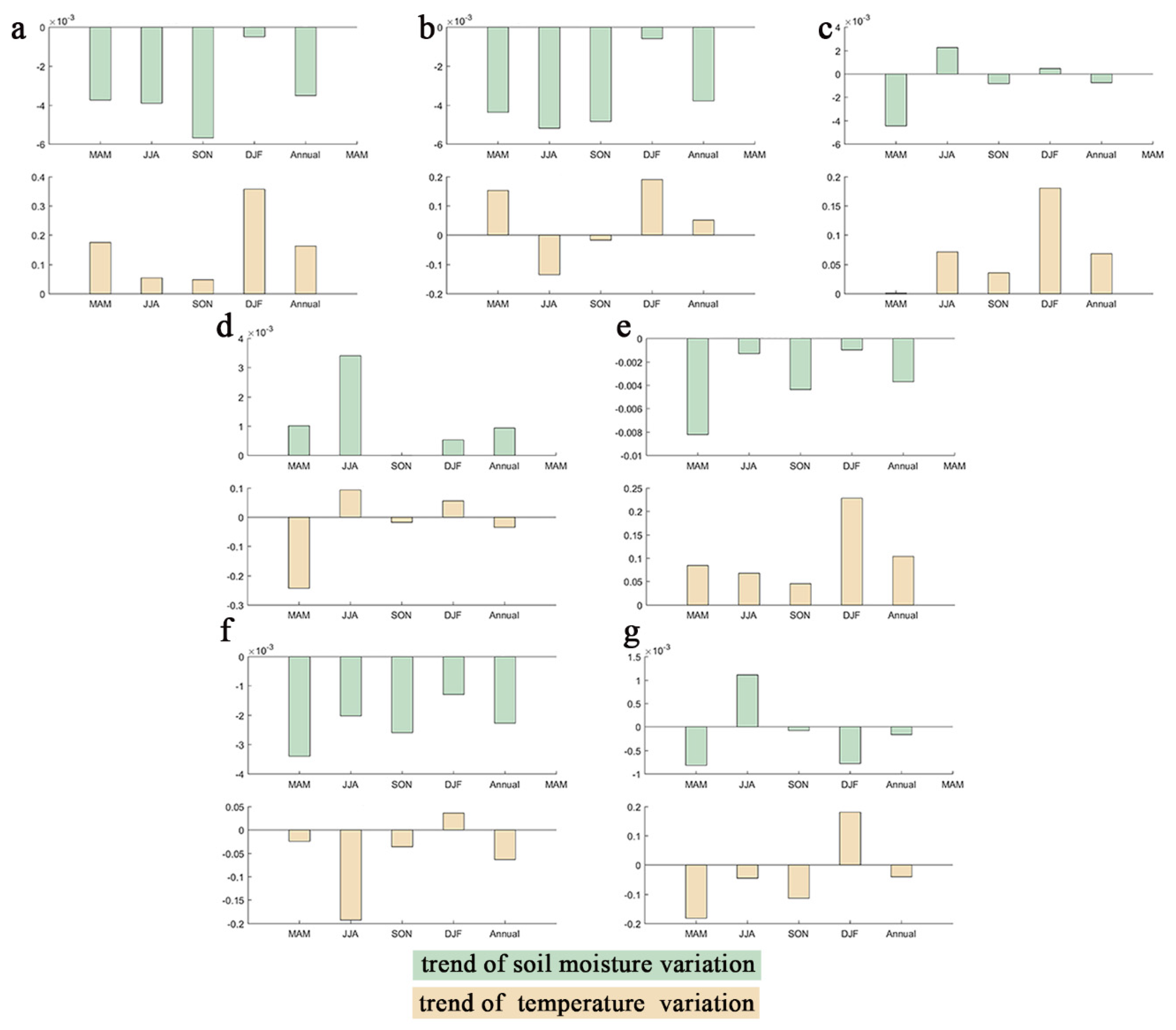
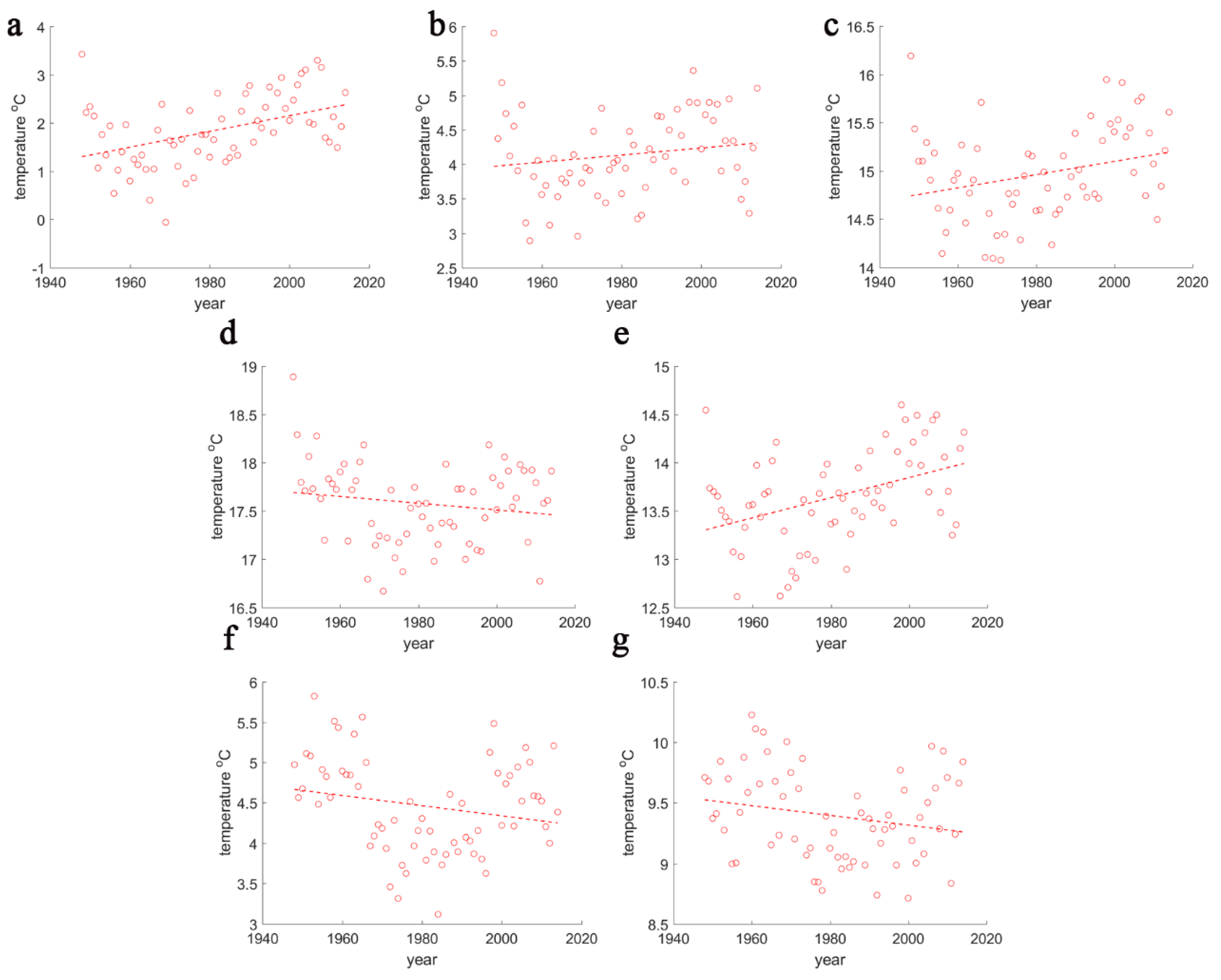
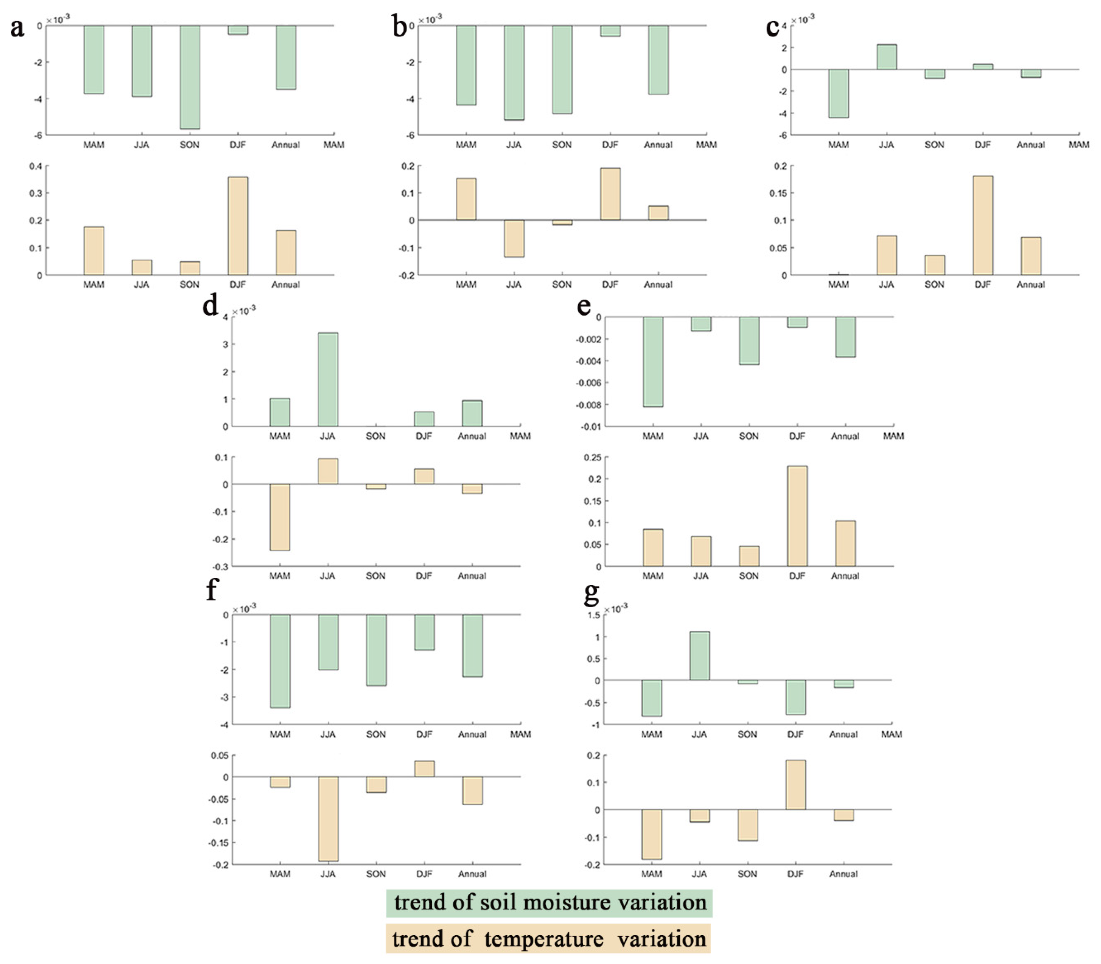
3.4. The Relationship between Soil Moisture and Air Temperature
4. Discussion
4.1. The Accuracy of the Dataset
4.2. The Correlation between Soil Moisture and Air Temperature
4.3. The Reasons for Soil Moisture Decline
5. Conclusions
Author Contributions
Funding
Conflicts of Interest
References
- Seneviratne, S.I.; Corti, T.; Davin, E.L.; Hirschi, M.; Jaeger, E.B.; Lehner, I.; Orlowsky, B.; Teuling, A.J. Investigating soil moisture–climate interactions in a changing climate: A review. Earth-Sci. Rev. 2010, 99, 125–161. [Google Scholar] [CrossRef]
- Deng, Y.; Wang, S.; Bai, X.; Luo, G.; Wu, L.; Cao, Y.; Li, H.; Li, C.; Yang, Y.; Hu, Z.; et al. Variation trend of global soil moisture and its cause analysis. Ecol. Indic. 2020, 110, 105939. [Google Scholar] [CrossRef]
- Cheng, S.; Guan, X.; Huang, J.; Ji, F.; Guo, R. Long-term trend and variability of soil moisture over East Asia. J. Geophys. Res. Atmos. 2015, 120, 8658–8670. [Google Scholar] [CrossRef]
- Robinson, D.A.; Campbell, C.S.; Hopmans, J.W.; Hornbuckle, B.K.; Jones, S.B.; Knight, R.; Ogden, F.L.; Selker, J.S.; Wendroth, O. Soil Moisture Measurement for Ecological and Hydrological Watershed-Scale Observatories: A Review. Vadose Zone J. 2008, 7, 358–389. [Google Scholar] [CrossRef]
- Fierer, N.; Schimel, J.P. Effects of drying–rewetting frequency on soil carbon and nitrogen transformations. Soil Biol. Biochem. 2002, 34, 777–787. [Google Scholar] [CrossRef]
- Lai, X.; Wen, J.; Cen, S.; Huang, X.; Tian, H.; Shi, X. Spatial and Temporal Soil Moisture Variations over China from Simulations and Observations. Adv. Meteorol. 2016, 2016, 4587687. [Google Scholar] [CrossRef]
- Wang, S.; Mo, X.; Liu, S.; Lin, Z.; Hu, S. Validation and trend analysis of ECV soil moisture data on cropland in North China Plain during 1981–2010. Int. J. Appl. Earth Obs. Geoinf. 2016, 48, 110–121. [Google Scholar] [CrossRef]
- Chen, Y.; Li, Z.; Fan, Y.; Wang, H.; Deng, H. Progress and prospects of climate change impacts on hydrology in the arid region of northwest China. Environ. Res. 2015, 139, 11–19. [Google Scholar] [CrossRef]
- Chahine, M.T. The hydrological cycle and its influence on climate. Nature 1992, 359, 373–380. [Google Scholar] [CrossRef]
- McColl, K.A.; Alemohammad, S.H.; Akbar, R.; Konings, A.G.; Yueh, S.; Entekhabi, D. The global distribution and dynamics of surface soil moisture. Nat. Geosci. 2017, 10, 100–104. [Google Scholar] [CrossRef]
- Ugbaje, S.U.; Bishop, T.F. Hydrological Control of Vegetation Greenness Dynamics in Africa: A Multivariate Analysis Using Satellite Observed Soil Moisture, Terrestrial Water Storage and Precipitation. Land 2020, 9, 15. [Google Scholar] [CrossRef]
- Cho, E.; Choi, M. Regional scale spatio-temporal variability of soil moisture and its relationship with meteorological factors over the Korean peninsula. J. Hydrol. 2014, 516, 317–329. [Google Scholar] [CrossRef]
- Zuo, Z.; Zhang, R. Influence of soil moisture in eastern China on the East Asian summer monsoon. Adv. Atmos. Sci. 2015, 33, 151–163. [Google Scholar] [CrossRef]
- Wei, W.; Shi, Z.; Yang, X.; Wei, Z.; Liu, Y.; Zhang, Z.; Ge, G.; Zhang, X.; Guo, H.; Zhang, K.; et al. Response of summer air temperature in China to soil moisture anomalies in East Asia and its statistical assessment. J. Meteorol. Sci. 2016, 36, 581–592. (In Chinese) [Google Scholar]
- Zhang, J.; Liu, Z.; Chen, L. Reduced soil moisture contributes to more intense and more frequent heat waves in northern China. Adv. Atmos. Sci. 2015, 32, 1197–1207. [Google Scholar] [CrossRef]
- Gentine, P.; Entekhabi, D.; Heusinkveld, B. Systematic errors in ground heat flux estimation and their correction. Water Resour. Res. 2012, 48, W09541. [Google Scholar] [CrossRef]
- Su, B.; Wang, A.; Wang, G.; Wang, Y.; Jiang, T. Spatiotemporal variations of soil moisture in the Tarim River basin, China. Int. J. Appl. Earth Obs. Geoinf. 2016, 48, 122–130. [Google Scholar] [CrossRef]
- Piao, S.; Ciais, P.; Huang, Y.; Shen, Z.; Peng, S.; Li, J.; Zhou, L.; Liu, H.; Ma, Y.; Ding, Y.; et al. The impacts of climate change on water resources and agriculture in China. Nature 2010, 467, 43–51. [Google Scholar] [CrossRef]
- Cheng, S.; Huang, J. Enhanced soil moisture drying in transitional regions under a warming climate. J. Geophys. Res. Atmos. 2016, 121, 2542–2555. [Google Scholar] [CrossRef]
- Liu, Y.; Pan, Z.; Zhuang, Q.; Miralles, D.G.; Teuling, A.J.; Zhang, T.; An, P.; Dong, Z.; Zhang, J.; He, D.; et al. Agriculture intensifies soil moisture decline in Northern China. Sci. Rep. 2015, 5, 11261. [Google Scholar] [CrossRef]
- Kalnay, E.; Kanamitsu, M.; Kistler, R.; Collins, W.; Deaven, D.; Gandin, L.; Iredell, M.; Saha, S.; White, G.; Woollen, J.; et al. The NCEP/NCAR reanalysis 40-year project. Bull. Am. Meteorol. Soc. 1996, 77, 437–472. [Google Scholar] [CrossRef]
- Mann, H.B. Non-Parametric Test Against Trend. Econometrica 1945, 13, 245–259. [Google Scholar] [CrossRef]
- Kendall, M.G. Rank Correlation Methods; Griffin: London, UK, 1975. [Google Scholar]
- Gocic, M.; Trajkovic, S. Analysis of changes in meteorological variables using Mann-Kendall and Sen’s slope estimator statistical tests in Serbia. Glob. Planet. Chang. 2013, 100, 172–182. [Google Scholar] [CrossRef]
- Lu, C.-H.; Kanamitsu, M.; Roads, J.O.; Ebisuzaki, W.; Mitchell, K.E.; Lohmann, D. Evaluation of Soil Moisture in the NCEP–NCAR and NCEP–DOE Global Reanalyses. J. Hydrometeorol. 2005, 6, 391–408. [Google Scholar] [CrossRef]
- Lai, X.; Wen, J.; Cen, S.X.; Song, H.Q.; Tian, H.; Shi, X.K.; He, Y.; Huang, X. Numerical simulation and evaluation study of soil moisture over China by suing CLM4.0 Model. Adv. Meteorol. 2014, 38, 499–512. (In Chinese) [Google Scholar]
- Zhu, G.; Pan, H.; Zhang, Y.; Guo, H.; Yong, L.; Wan, Q.; Ma, H.; Li, S. Spatial-temporal characteristics of soil moisture in China. Acta Geogr. Sin. 2016, 9, 1494–1508. (In Chinese) [Google Scholar]
- Li, M.; Ma, Z. Soil moisture drought detection and multi-temporal variability across China. Sci. China Earth Sci. 2015, 58, 1798–1813. [Google Scholar] [CrossRef]
- Hale, R.C.; Gallo, K.P.; Owen, T.W.; Loveland, T.R. Land use/land cover change effects on temperature trends at U.S. Climate Normals stations. Geophys. Res. Lett. 2006, 33, L11703. [Google Scholar] [CrossRef]
- Marshall, C.H.; Pielke Sr, R.A.; Steyaert, L.T.; Willard, D.A. The Impact of Anthropogenic Land-Cover Change on the Florida Peninsula Sea Breezes and Warm Season Sensible Weather. Mon. Weather. Rev. 2004, 132, 28–52. [Google Scholar] [CrossRef]
- Zhou, S.; Williams, A.P.; Berg, A.M.; Cook, B.I.; Zhang, Y.; Hagemann, S.; Lorenz, R.; Seneviratne, S.I.; Gentine, P. Land-atmosphere feedbacks exacerbate concurrent soil drought and atmospheric aridity. Proc. Natl. Acad. Sci. USA 2019, 116, 18848–18853. [Google Scholar] [CrossRef] [PubMed]
- Huang, J.; Yu, H.; Dai, A.; Wei, Y.; Kang, L. Drylands face potential threat under 2 degree global warming target. Nat. Clim. Chang. 2017, 7, 417–422. [Google Scholar] [CrossRef]
- Fu, Q.; Feng, S. Responses of terrestrial aridity to global warming. J. Geophys. Res. Atmos. 2014, 119, 7863–7875. [Google Scholar] [CrossRef]
- Dirmeyer, P.A. The terrestrial segment of soil moisture-climate coupling. Geophys. Res. Lett. 2011, 38, 136. [Google Scholar] [CrossRef]
- Diffenbaugh, N.S.; Pal, J.S.; Giorgi, F.; Gao, X. Heat stress intensification in the Mediterranean climate change hotspot. Geophys. Res. Lett. 2007, 34, 224–238. [Google Scholar] [CrossRef]
- Zhang, J.; Yang, J.; An, P.; Ren, W.; Pan, Z.; Dong, Z.; Han, G.; Pan, Y.; Pan, S.; Tian, H. Enhancing soil drought induced by climate change and agricultural practices: Observational and experimental evidence from the semiarid area of northern China. Agric. Meteorol. 2017, 243, 74–83. [Google Scholar] [CrossRef]
- Samaniego, L.; Thober, S.; Kumar, R.; Wanders, N.; Rakovec, O.; Pan, M.; Zink, M.; Sheffield, J.; Wood, E.F.; Marx, A. Anthropogenic warming exacerbates European soil moisture droughts. Nat. Clim. Chang. 2018, 8, 421–426. [Google Scholar] [CrossRef]
- Marvel, K.; Cook, B.I.; Bonfils, C.J.W.; Durack, P.J.; Smerdon, J.E.; Williams, A.P. Twentieth-century hydroclimate changes consistent with human influence. Nature 2019, 569, 59–65. [Google Scholar] [CrossRef]
- Matson, P.A.; Parton, W.J.; Power, A.G.; Swift, M.J. Agricultural Intensification and Ecosystem Properties. Science 1997, 277, 504–509. [Google Scholar] [CrossRef]








| Partition | Annual | Spring (MAM) | Summer (JJA) | Autumn (SON) | Winter (DJF) | |||||
|---|---|---|---|---|---|---|---|---|---|---|
| Average | Trend/10 yr | Average | Trend/10 yr | Average | Trend/10 yr | Average | Trend/10 yr | Average | Trend/10 yr | |
| Nation | 0.3005 | −0.0018 ** | 0.3088 | −0.0034 ** | 0.3196 | −0.0008 * | 0.2849 | −0.0026 ** | 0.2888 | −0.0005 * |
| NEC | 0.3214 | −0.0035 ** | 0.3253 | −0.0037 ** | 0.3112 | −0.0039 ** | 0.2961 | −0.0057 ** | 0.3529 | −0.0005 ** |
| NWC | 0.2648 | −0.0023 ** | 0.2884 | −0.0034 ** | 0.2408 | −0.0020 ** | 0.2288 | −0.0026 ** | 0.3013 | −0.0013 ** |
| NC | 0.2721 | −0.0037 ** | 0.2774 | −0.0044 ** | 0.2482 | −0.0052 ** | 0.2440 | −0.0048 ** | 0.3186 | −0.0006 ** |
| CC | 0.2996 | −0.0037 ** | 0.3036 | −0.0082 ** | 0.3485 | −0.0013 | 0.2909 | −0.0044 ** | 0.2554 | −0.001 |
| EC | 0.3044 | −0.0006 | 0.3247 | −0.0044 ** | 0.3498 | 0.0023 ** | 0.2808 | −0.0008 | 0.2623 | 0.0005 |
| SC | 0.3219 | 0.0013 | 0.3407 | 0.001 | 0.3755 | 0.0034 ** | 0.3103 | 0.00001 | 0.2611 | 0.0005 |
| SWC | 0.3195 | −0.0002 | 0.3012 | −0.0008 * | 0.3634 | 0.0011 | 0.3431 | −0.0001 | 0.2700 | −0.0008 |
| Partition | Previous Period | Mutation Period | Late Period | ||||
|---|---|---|---|---|---|---|---|
| Trend/10 yr *10−3 | Average Value (m3/m3) | Std *10−3 | Years | Trend/10 yr *10−3 | Average Value (m3/m3) | Std *10−3 | |
| Nation | −4.48 | 0.3015 | 4.47 | 1980s | −0.99 | 0.2936 | 2.52 |
| NEC | −7.10 | 0.3287 | 8.40 | 1970s | −2.50 | 0.3170 | 6.18 |
| NC | −6.10 | 0.2804 | 9.18 | 1970s | −1.30 | 0.2607 | 3.45 |
| EC | 0.32 | 0.3055 | 7.13 | 2000s | −0.62 | 0.2998 | 3.84 |
| SC | 2.20 | 0.3222 | 10.78 | 2000s | 3.23 | 0.3181 | 8.82 |
| CC | −4.30 | 0.3042 | 11.17 | 1980s | −5.10 | 0.2927 | 6.91 |
| NW | −1.27 | 0.2730 | 7.47 | 1960s | −0.94 | 0.2623 | 4.05 |
| SW | 0.14 | 0.3198 | 3.52 | 2000s | −0.76 | 0.3181 | 2.07 |
© 2020 by the authors. Licensee MDPI, Basel, Switzerland. This article is an open access article distributed under the terms and conditions of the Creative Commons Attribution (CC BY) license (http://creativecommons.org/licenses/by/4.0/).
Share and Cite
Han, G.; Wang, J.; Pan, Y.; Huang, N.; Zhang, Z.; Peng, R.; Wang, Z.; Sun, G.; Liu, C.; Ma, S.; et al. Temporal and Spatial Variation of Soil Moisture and Its Possible Impact on Regional Air Temperature in China. Water 2020, 12, 1807. https://doi.org/10.3390/w12061807
Han G, Wang J, Pan Y, Huang N, Zhang Z, Peng R, Wang Z, Sun G, Liu C, Ma S, et al. Temporal and Spatial Variation of Soil Moisture and Its Possible Impact on Regional Air Temperature in China. Water. 2020; 12(6):1807. https://doi.org/10.3390/w12061807
Chicago/Turabian StyleHan, Guolin, Jialin Wang, Yuying Pan, Na Huang, Ziyuan Zhang, Ruiqi Peng, Zizhong Wang, Guofeng Sun, Cong Liu, Shangqian Ma, and et al. 2020. "Temporal and Spatial Variation of Soil Moisture and Its Possible Impact on Regional Air Temperature in China" Water 12, no. 6: 1807. https://doi.org/10.3390/w12061807
APA StyleHan, G., Wang, J., Pan, Y., Huang, N., Zhang, Z., Peng, R., Wang, Z., Sun, G., Liu, C., Ma, S., Song, Y., & Pan, Z. (2020). Temporal and Spatial Variation of Soil Moisture and Its Possible Impact on Regional Air Temperature in China. Water, 12(6), 1807. https://doi.org/10.3390/w12061807

