Response of Eutrophication Development to Variations in Nutrients and Hydrological Regime: A Case Study in the Changjiang River (Yangtze) Basin
Abstract
1. Introduction
2. Methods and Materials
3. Results and Discussions
3.1. Trophic Status and Developed Trends
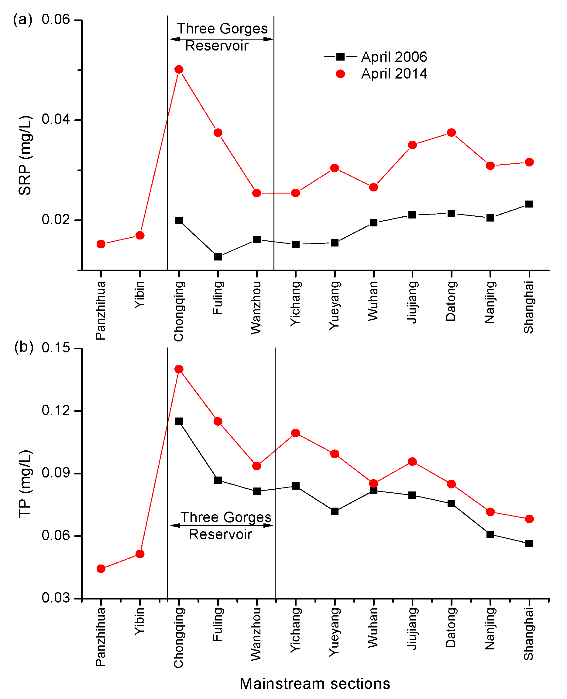
3.1.1. Basin Nutrient Loads
3.1.2. Eutrophic Trends for Various Water Bodies
3.2. Nutrient Discharge Dynamics in the Basin
3.2.1. Wastewater Discharge
3.2.2. Chemical Fertilizer Loss
3.2.3. Aquaculture
3.2.4. Internal Sediment Nutrient Accumulation
3.3. Response of Eutrophication to Hydrologic Regime Variation
3.3.1. Flow Velocity
3.3.2. Flow Rate
3.3.3. Water Network Connectivity
3.3.4. Sediment Transport
3.4. Other Factors Related to Eutrophication Development
3.4.1. Atmospheric Deposition
3.4.2. Meteorological Conditions
3.4.3. Environmental Management Policy
4. Countermeasures for Basin Eutrophication Control
4.1. Nutrient Management at the Basin Level
4.2. Harmonize the Transportation of Runoff, Sediment, and Nutrients
4.3. Coordinated Governance between Region and Basin
5. Concluding Remarks and Further Research Needs
Supplementary Materials
Author Contributions
Funding
Conflicts of Interest
References
- Zang, X.P.; Wu, G.P.; Tu, M. Algae bloom control countermeasures for the lakes and reservoirs in the Yangtze Basin. Yangtze River 2009, 40, 5–9. (In Mandarin) [Google Scholar]
- Ji, D.; Wells, S.A.; Yang, Z.; Liu, D.; Huang, Y.; Ma, J.; Berger, C. Impacts of water level rise on algal bloom prevention in the tributary of Three Gorges Reservoir, China. Ecol. Eng. 2017, 98, 70–81. [Google Scholar] [CrossRef]
- Zhu, K.; Bi, Y.; Hu, Z. Responses of phytoplankton functional groups to the hydrologic regime in the Daning River, a tributary of Three Gorges Reservoir, China. Sci. Total Environ. 2013, 450–451, 169–177. [Google Scholar] [CrossRef] [PubMed]
- Tang, X.; Wu, M.; Li, R. Distribution, sedimentation, and bioavailability of particulate phosphorus in the mainstream of the Three Gorges Reservoir. Water Res. 2018, 140, 44–55. [Google Scholar] [CrossRef] [PubMed]
- Fukushima, M.; Takamura, N.; Sun, L.; Nakagawa, M.; Matsushige, K.; Xie, P. Changes in the plankton community following introduction of filter-feeding planktivorous fish. Freshw. Biol. 1999, 42, 719–735. [Google Scholar] [CrossRef]
- Duan, W.; Li, X.; He, T. First national water concervancy survey of rivers and lakes in Changjiang River Basin. Yangtze River 2014, 45, 93–97. (In Mandarin) [Google Scholar]
- Mao, H.M.; Liu, S.H.; Zhou, H.Y. Preliminary study on sediment concentration distribution in the Three Gorges Reservoir. Hydro-Sci. Eng. 2012, 5, 67–71. (In Mandarin) [Google Scholar]
- Gao, J.X. Protection and promote the protection in the Changjiang River Economy protection based on the delimit of the ecology red line. Environ. Prot. 2016, 44, 21–24. (In Mandarin) [Google Scholar]
- CWRC (Changjiang Water Resource Commission). Water Resources Bulletin of Changjiang River Basin and Rivers in the Southwest; Changjiang Press: Wuhan, China, 2018. (In Mandarin) [Google Scholar]
- Xie, P.; Dou, M.; Xia, J. Analysis to occurrence probability of water bloom in Hanjiang river under different water transfer schemes of the middle route of China’s south-to-north water transfer project. Acta Scien Circum 2005, 10, 1343–1348. (In Mandarin) [Google Scholar]
- Liu, D.; Yang, Z.; Ji, D.; Ma, J.; Cui, Y.; Song, L. A review on the mechanism and its controlling methods of the algal blooms in the tributaries of Three Gorges Reservoir. J. Hydraul. Eng. 2016, 47, 443–454. (In Mandarin) [Google Scholar]
- Li, L.; Lu, S.; Meng, W.; Liu, X.; Guo, X.; Wan, Z. Eutrophication and control measures of key lakes in the Yangtze River Basin. Sci. Technol. Rev. 2017, 35, 13–22. (In Mandarin) [Google Scholar]
- Yao, Q.Z.; Yu, Z.G.; Chen, H.T.; Liu, P.X.; Mi, T.Z. Phosphorus transport and speciation in the Changjiang (Yangtze River) system. Appl. Geochem. 2009, 24, 2186–2194. [Google Scholar] [CrossRef]
- Liang, C.; Xian, W. Changjiang nutrient distribution and transportation and their impacts on the estuary. Cont. Shelf Res. 2018, 165, 137–145. [Google Scholar] [CrossRef]
- Xu, Y.; Wu, X.; Lu, R.; Yang, W.; Zhao, Y. Total phosphorus pollution, countermeasures and suggestions of the Yangtze River Economic Belt. Environ. Conform. Assess 2018, 1, 69–73. (In Mandarin) [Google Scholar]
- Wei, J.F.; Chen, H.T.; Liu, P.X.; Li, R.H.; Yu, Z.G. Phosphorus forms in suspended particulate matter of the Yangtze River. Adv. Water Sci. 2010, 21, 107–112. (In Mandarin) [Google Scholar]
- Yang, H.F.; Yang, S.L.; Xu, K.H.; Milliman, J.D.; Wang, H.; Yang, Z.; Chen, Z.; Zhang, C.Y. Human impacts on sediment in the Yangtze River: A review and new perspectives. Glob. Planet Chang. 2018, 162, 8–17. [Google Scholar] [CrossRef]
- Zhuo, H.; Shen, R.; Wang, R.; Lan, J.; Zhai, W.; Ouyang, X.; Zang, X. Evaluation and trend analysis on water resources quality of Yangtze River Basin. Yangtze River 2019, 50, 122–130. (In Mandarin) [Google Scholar]
- Lu, L.; Pei, Z.P.; Zhou, Q.; Xiong, Y. Water quality spatio-temporal analysis and eutrophication assessment for the mainstream of the Changjiang River. In Proceedings of the 2018 Academic Conference of the Chinese Hydraulic Engineering Society, Nanchang, China, 20–22 October 2018; Wang, D.H., Zhang, S.J., Eds.; China Water Power Press, Chinese Hydraulic Engineering Society: Nanchang, China, 2018; Volume 12, pp. 438–443. (In Mandarin). [Google Scholar]
- Wang, J.; Wang, J.; Xu, J.; Qian, B. Causes analysis of water bloom in middle and lower reaches of Hanjiang River in 2018 and its countermeasures. Yangtze River 2018, 49, 7–11. (In Mandarin) [Google Scholar]
- Huang, Y.; Ji, D.; Long, L.; Liu, D.; Song, L.; Su, Q. The variance analysis of characteristics and blooms of the typical tributaries of the Three Gorges Reservoir in spring. Resour. Environ. Yangtze Basin 2017, 26, 461–470. (In Mandarin) [Google Scholar]
- Zhang, M.; Yang, Z.; Shi, X. Expansion and drivers of cyanobacterial blooms in Lake Taihu. J. Lake Sci. 2019, 31, 336–344. (In Mandarin) [Google Scholar]
- Tang, X.; Shen, M.; Duan, H. Temporal and spatial distribution of algal blooms in Lake Chaohu, 2000–2015. J. Lake Sci. 2017, 29, 276–284. (In Mandarin) [Google Scholar]
- Wang, J.; He, L.; Yang, C.; Dao, G.; Du, J.; Han, Y.; Wu, G.; Wu, Q.; Hu, H. Comparison of algal bloom related meteorological and water quality factors and algal bloom conditions among Lakes Taihu, Chaohu, and Dianchi (1981–2015). J. Lake Sci. 2018, 30, 897–906. (In Mandarin) [Google Scholar]
- Qin, B. Approaches to mechanisms and control of eutrophication of shallow lakes in the middle and lower reaches of the Yangze River. J. Lake Sci. 2005, 14, 193–202. (In Mandarin) [Google Scholar]
- Tang, X.; Guo, W.; Wu, M.; Li, R. Functional deterioration and restoration measures for rural small reservoirs. J. Yangtze River Sci. Res. Inst. 2018, 35, 13–17. (In Mandarin) [Google Scholar]
- Chen, X.; Strokal, M.; Kroeze, C.; Ma, L.; Shen, Z.; Wu, J.; Chen, X.; Shi, X. Seasonality in river export of nitrogen: A modelling approach for the Yangtze River. Sci. Total Environ. 2019, 671, 1282–1292. [Google Scholar] [CrossRef]
- Tong, Y.; Li, J.; Qi, M.; Zhang, X.; Wang, M.; Liu, X.; Zhang, W.; Wang, X.; Lu, Y.; Lin, Y. Impacts of water residence time on nitrogen budget of lakes and reservoirs. Sci. Total Environ. 2019, 646, 75–83. [Google Scholar] [CrossRef]
- Liu, R.; Yang, Z.; Shen, Z.; Yu, S.; Ding, X.; Wu, X.; Liu, F. Estimating nonpoint source pollution in the upper Yangtze River using the export coefficient model, remote sensing, and geographical information system. J. Hydraul. Eng. 2009, 135, 698–704. [Google Scholar] [CrossRef]
- Liu, X.; Beusen, A.H.W.; van Beek, L.P.H.; Mogollón, J.M.; Ran, X.; Bouwman, A.F. Exploring spatiotemporal changes of the Yangtze River (Changiang) nitrogen and phosphorus sources, retention and export to the East China Sea and Yellow Sea. Water Res. 2018, 142, 246–255. [Google Scholar] [CrossRef]
- Ma, K.; Diao, G. Research on the contribution rate of fertilizer to grain yield in China. Plant Nutr. Fertilizer Sci. 2018, 24, 1113–1120. (In Mandarin) [Google Scholar]
- Bouwman, L.; Goldewijk, K.; Van Der Hoek, K.W.; Beusen, A.H.W.; Van Vuuren, D.P.; Willems, J.; Rufino, M.C.; Stehfest, E. Exploring global changes in nitrogen and phosphorus cycles in agriculture induced by livestock production over the 1900–2050 period. Proc. Natl. Acad. Sci. USA 2013, 110, 20882–20887. [Google Scholar] [CrossRef]
- Yuan, Z.W.; Jiang, S.Y.; Sheng, H.; Liu, X.; Hua, H.; Liu, X.; Zhang, Y. Human perturbation of the global phosphorus cycle: Changes and consequences. Environ. Sci. Technol. 2018, 52, 2438–2450. [Google Scholar] [CrossRef] [PubMed]
- Liu, Y. Dynamic Characteristics of Net Anthropogenic Phosphorus Inputs and Phosphorus Export in the Yangtze River Basin from 1980 to 2015. Master’s Thesis, Zhejiang University, Hangzhou, China, 2019. (In Mandarin). [Google Scholar]
- Liu, H. Yangtze biodiversity change: Fish. Man Biosph. 2010, 5, 22–23. (In Mandarin) [Google Scholar]
- Wu, M.; Huang, S.; Zang, C.; Du, S.; Scholz, M. Release of nutrient from fish food and effects on Microcystis aeruginosa growth. Aquac. Res. 2012, 43, 1460–1470. [Google Scholar] [CrossRef]
- Wang, L.; Liu, D. Influence of cage culture on water quality in Panjiakou Reservoir. Hebei Fish. 2008, 6, 42–44. [Google Scholar]
- Guo, L.; Li, Z. Effects of nitrogen and phosphorus from fish cage-culture on the communities of a shallow lake in middle Yangtze River Basin of China. Aquaculture 2003, 226, 201–212. [Google Scholar] [CrossRef]
- Yang, Y.; Gao, B.; Hao, H.; Zhou, H.; Lu, J. Nitrogen and phosphorus in sediments in china: A national- scale assessment and review. Sci. Total Environ. 2017, 576, 840–849. [Google Scholar] [CrossRef]
- Wang, L.; Zheng, B.; Zhang, L.; Liu, X.; Wu, G. Effects on euthrophication and hydrodynamics of Daning River after impoundment of Three Gorges Reservoir. J. Lake Sci. 2012, 24, 232–237. (In Mandarin) [Google Scholar]
- Huang, C.; Zhong, C.H.; Deng, C.G.; Xing, Z.G.; Li, Y.J.; Wang, D.R.; Meng, W.L. Preliminary study on correlation between flow velocity and algae along Daning River’s backwater region at sluice initial stages in the Three Gorges Reservoir. J. Agro-Environ. Sci. 2006, 25, 453–457. (In Mandarin) [Google Scholar]
- Wu, X.; Yin, D.; Li, C.; Chen, L.; Li, Y.; Zhao, Y. Analysis of Factors Influencing Diatom Blooms in the Middle and Lower Hanjiang River. J. Hydro Ecol. 2017, 38, 19–26. (In Mandarin) [Google Scholar]
- Yin, D.; Yin, Z.; Yang, C.; Wang, D. Threshold values of the key hydrological parameters and regulation mode for restraining the spring diatom bloom in the middle and lower reaches of the Hanjiang River. China Water Resour. 2017, 9, 31–34. (In Mandarin) [Google Scholar]
- Xin, X.; Wang, Y.; Hu, S.; Li, J. Cause analysis of diatom bloom of lower reaches of Hanjiang River in 2018. Water Resour. Power 2019, 37, 25–28. (In Mandarin) [Google Scholar]
- Liu, X.; Zhang, Y.; Shi, K.; Lin, J.; Zhou, Y.; Qin, B. Determining critical light and hydrologic conditions for macrophyte presence in a large shallow lake: The ratio of euphotic depth to water depth. Ecol. Indic. 2016, 71, 317–326. [Google Scholar] [CrossRef]
- Hu, W.; Zhai, S.; Zhu, Z.; Han, H. Impacts of the Yangtze river water transfer on the restoration of lake Taihu. Ecol. Eng. 2008, 34, 30–49. [Google Scholar] [CrossRef]
- Tang, X.; Wu, M.; Li, R. Phosphorus distribution and bioavailability dynamics in the mainstream water and surface sediment of the Three Gorges Reservoir between 2003 and 2010. Water Res. 2018, 145, 321–331. [Google Scholar] [CrossRef] [PubMed]
- Cao, Z.; Zhang, X.; Nanshan, A.I. Effect of sediment on concentration of dissolved phosphorus in the three gorges reservoir. Int. J. Sediment Res. 2011, 26, 87–95. [Google Scholar] [CrossRef]
- Yan, W.; Zhang, S. The composition and bioavailability of phosphorus transport through the Changjiang (Yangtze) River during the 1998 flood. Biogeochemistry 2003, 65, 179–194. [Google Scholar] [CrossRef]
- Duan, S.; Liang, T.; Zhang, S.; Wang, L.; Zhang, X.; Chen, X. Seasonal changes in nitrogen and phosphorus transport in the lower Changjiang River before the construction of the Three Gorges Dam. Estuar. Coast. Shelf Sci. 2008, 79, 239–250. [Google Scholar] [CrossRef]
- Chen, F. Net Anthropogenic Nitrogen Inputs in the Changjiang River Basin and Its Eco-Environmental Effect Analysis. Master’s Thesis, Central China Normal University, Wuhan, China, 2016. (In Mandarin). [Google Scholar]
- Luo, X.; Hang, X.; Cao, Y.; Hang, R.; Li, Y. Dominant meteorological factors affecting cyanobacterial blooms under eutrophication in Lake Taihu. J. Lake Sci. 2019, 31, 1248–1258. (In Mandarin) [Google Scholar]
- Sinha, E.; Michalak, A.M.; Balaji, V. Eutrophication will increase during the 21st century as a result of precipitation changes. Science 2017, 357, 405–408. [Google Scholar] [CrossRef]
- Tong, Y.; Qiao, Z.; Wang, X.; Liu, X.; Chen, G.; Zhang, W.; Dong, X.; Yan, Z.; Han, W.; Wang, R.; et al. Human activities altered water N: P ratios in the populated regions of China. Chemosphere 2018, 210, 1070–1081. [Google Scholar] [CrossRef]
- Wang, X.; Hao, F.; Cheng, H.; Yang, S.; Zhang, X.; Bu, Q. Estimating non-point source pollutant loads for the large-scale basin of the Yangtze River in china. Environ. Earth Sci. 2011, 63, 1079–1092. [Google Scholar] [CrossRef]
- Tong, Y.; Bu, X.; Chen, J.; Zhou, F.; Ni, J. Estimation of nutrient discharge from the Yangtze River to the east china sea and the identification of nutrient sources. J. Hazard Mater. 2016, 321, 728–736. [Google Scholar] [CrossRef] [PubMed]
- Tian, W.; Yu, M.; Wang, G.; Guo, C. The appointed standard functional achievability analysis of the main rivers in Jilin Province. China Environ. Sci. 1998, 18, 180–183. (In Mandarin) [Google Scholar]
- Chen, M. Effectiveness and suggestions of reservoir ecological regulation in the Yangtze River Basin. Changjiang Technol. Econ. 2018, 2, 36–40. (In Mandarin) [Google Scholar]
- Qiao, Y.; Liao, H.; Cai, Y.; Xu, W. Practice and prospects of ecological regulation of large reservoirs. Yangtze River 2014, 45, 22–26. (In Mandarin) [Google Scholar]
- She, Y.; Liu, Y.; Jiang, L.; Yuan, H. Is China’s River Chief Policy effective? Evidence from a quasi-natural experiment in the Yangtze River Economic Belt, China. J. Clean. Prod. 2019, 220, 919–930. [Google Scholar] [CrossRef]








| Class | En | TP (mg/L) | TN (mg/L) | Chl-a (mg/L) | CODMn (mg/L) | SD (m) |
|---|---|---|---|---|---|---|
| Oligotrophic 0 ≤ EI ≤ 20 | 10 | 0.001 | 0.020 | 0.0005 | 0.15 | 10 |
| 20 | 0.004 | 0.050 | 0.0010 | 0.4 | 5.0 | |
| Mesotrophic 20 < EI ≤ 50 | 30 | 0.010 | 0.10 | 0.0020 | 1.0 | 3.0 |
| 40 | 0.025 | 0.30 | 0.0040 | 2.0 | 1.5 | |
| 50 | 0.050 | 0.50 | 0.010 | 4.0 | 1.0 | |
| Slight eutrophic 50 < EI ≤ 60 | 60 | 0.10 | 1.0 | 0.026 | 8.0 | 0.5 |
| Moderate eutrophic 60 < EI ≤ 80 | 70 | 0.20 | 2.0 | 0.064 | 10 | 0.4 |
| 80 | 0.60 | 6.0 | 0.16 | 25 | 0.3 | |
| Hypereutrophic 80 < EI ≤ 100 | 90 | 0.90 | 9.0 | 0.40 | 40 | 0.2 |
| 100 | 1.3 | 16.0 | 1.0 | 60 | 0.12 |
| Water Bodies | Dominating Algae Species | First Outburst | Frequent Outburst Period | Duration and Scope | Major Driving Forces |
|---|---|---|---|---|---|
| Three Gorges Reservoir [21] | Cyanobacteria (Aphanizomenon flos-aquae and Dolichospermum), Chlorophyta (Coelastrum) and Dinoflagellate | 2003 | Spring and autumn | Approximately 30 days per year in nearly 10 km of river reaches | Sufficient nutrient supply and slow water flow of 0.1–0.3 m/s |
| Taihu Lake [22] | Cyanobacteria (Microcystis aeruginosa) | 1950s | Spring, autumn and winter | 75–320 days per year with a water surface area of 67–1150 km2 | Sufficient nutrient supply (0.064–0.111 mg/L of TP and 1.80–2.04 mg/L of TN), wind wave–promoted sediment nutrient release and algae aggregation |
| Chaohu Lake [23] | Cyanobacteria (Anabaena in spring and Microcystis aeruginosa in summer and autumn) | 1980s | April–November, peaking in September | 34–318 days per year with a maximal water surface area of 500 km2 | Sufficient nutrient supply (0.088–0.109 mg/L of TP and 1.55–3.14 mg/L of TN), wind wave–promoted sediment nutrient release and algae aggregation |
| Hanjiang River [24] | Bacillariophyta (Cyclotella and Stephanodiscus ehrenberg) | 1992 | Early February to beginning of March | 6–30 days with a maximal river reach of 200 km | Sufficient nutrient supply (0.07–0.17 mg/L of TP and 1.09–2.40 mg/L of TN) and flow velocity and runoff under critical minimum values of 0.225 m/s and 500 m3/s, respectively |
| Water Bodies | TP (mg/kg) | TN (mg/kg) |
|---|---|---|
| Rivers (22) | 245–1145 (738 ± 273) | 789–1616 (1114 ± 266) |
| Reservoirs (35) | 490–1220 (743 ± 189) | 1340–4950 (3017 ± 934) |
| Reservoirs * (10) | 2657–8133 (4719 ± 2534) | 3100–4200 (3700 ± 497) |
| Lakes (18) | 457–2608 (914 ± 510) | 533–12390 (2346 ± 2473) |
| Period | SS Concentration (kg/m3) | SS Grain Size (mm) | ||
|---|---|---|---|---|
| Hankou | Datong | Hankou | Datong | |
| Pre-TGR (1954–2000) | 0.573 | 0.486 | 0.01 | 0.009 |
| Post-TGR (2003–2018) | 0.145 | 0.154 | 0.015 | 0.011 |
© 2020 by the authors. Licensee MDPI, Basel, Switzerland. This article is an open access article distributed under the terms and conditions of the Creative Commons Attribution (CC BY) license (http://creativecommons.org/licenses/by/4.0/).
Share and Cite
Tang, X.; Li, R.; Han, D.; Scholz, M. Response of Eutrophication Development to Variations in Nutrients and Hydrological Regime: A Case Study in the Changjiang River (Yangtze) Basin. Water 2020, 12, 1634. https://doi.org/10.3390/w12061634
Tang X, Li R, Han D, Scholz M. Response of Eutrophication Development to Variations in Nutrients and Hydrological Regime: A Case Study in the Changjiang River (Yangtze) Basin. Water. 2020; 12(6):1634. https://doi.org/10.3390/w12061634
Chicago/Turabian StyleTang, Xianqiang, Rui Li, Ding Han, and Miklas Scholz. 2020. "Response of Eutrophication Development to Variations in Nutrients and Hydrological Regime: A Case Study in the Changjiang River (Yangtze) Basin" Water 12, no. 6: 1634. https://doi.org/10.3390/w12061634
APA StyleTang, X., Li, R., Han, D., & Scholz, M. (2020). Response of Eutrophication Development to Variations in Nutrients and Hydrological Regime: A Case Study in the Changjiang River (Yangtze) Basin. Water, 12(6), 1634. https://doi.org/10.3390/w12061634

