Greenhouse Crop Residue and Its Derived Biochar: Potential as Adsorbent of Cobalt from Aqueous Solutions
Abstract
1. Introduction
2. Materials and Methods
2.1. Materials
2.2. Characterization of the Materials
- Elemental analysis
- Proximate analysis
- Point of zero charge (PZC)
- Fourier Transform Infrared Spectroscopy
- Surface analysis
2.3. Cobalt Adsorption Experiments in Batch Systems
- Kinetics study
- Equilibrium study
2.4. Chemical Activation of the Material
- Material 1 (M1)
- Material 2 (M2)
- Material 3 (M3)
- Material 4 (M4)
- Material 5 (M5)
2.5. Thermal Decomposition of the Loaded-Materials
3. Results and Discussion
3.1. Characterization of the Materials
3.1.1. Elemental and Proximate Analysis and Zero Point of Charge
3.1.2. FTIR
3.1.3. BET Surface, Pore Size and Volume
3.2. Cobalt Adsorption by GCR and Biochars Resulting from Its Pyrolysis
3.2.1. Effect of Contact Time and Adsorption Kinetics
3.2.2. Effect of Initial Cobalt Concentration and Adsorption Isotherms
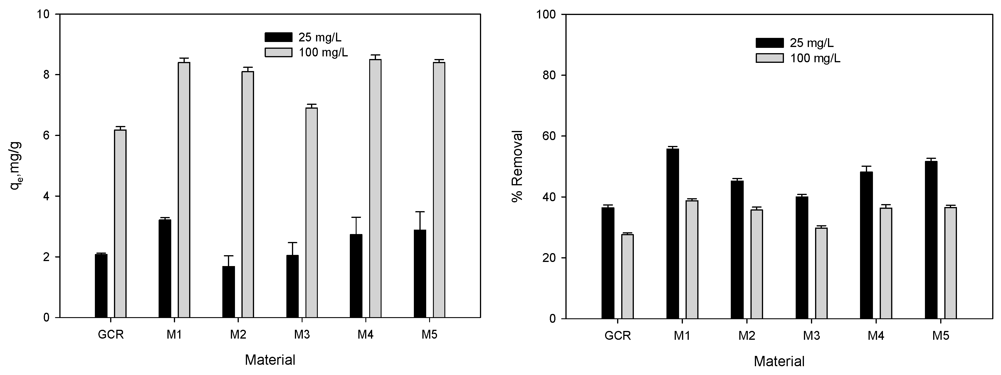
3.2.3. Chemical Activation of the GCR
3.3. Thermal Decomposition of the Cobalt-Loaded GCR
4. Conclusions
Author Contributions
Funding
Conflicts of Interest
References
- Callejón-Ferre, Á.-J.; Martí, B.V.; López-Martínez, J.; Manzano-Agugliaro, F. Greenhouse crop residues: Energy potential and models for the prediction of their higher heating value. Renew. Sustain. Energy Rev. 2011, 15, 948–955. [Google Scholar] [CrossRef]
- Iáñez-Rodríguez, I.; Martín-Lara, M.; Blázquez, G.; Pérez, A.; Calero, M. Effect of torrefaction conditions on greenhouse crop residue: Optimization of conditions to upgrade solid characteristics. Bioresour. Technol. 2017, 244, 741–749. [Google Scholar] [CrossRef]
- Hossain, M.; Ngo, H.-H.; Guo, W.; Nguyen, T.V.; Vigneswaran, S. Performance of cabbage and cauliflower wastes for heavy metals removal. Desalin. Water Treat. 2013, 52, 844–860. [Google Scholar] [CrossRef]
- Abdolali, A.; Ngo, H.-H.; Guo, W.; Zhou, J.L.; Zhang, J.; Liang, S.; Chang, S.W.; Nguyen, D.D.; Liu, Y. Application of a breakthrough biosorbent for removing heavy metals from synthetic and real wastewaters in a lab-scale continuous fixed-bed column. Bioresour. Technol. 2017, 229, 78–87. [Google Scholar] [CrossRef]
- Rao, R.A.K.; Khatoon, A. Aluminate treated Casuarina equisetifolia leaves as potential adsorbent for sequestering Cu(II), Pb(II) and Ni(II) from aqueous solution. J. Clean. Prod. 2017, 165, 1280–1295. [Google Scholar] [CrossRef]
- Martín-Lara, M.; Iáñez-Rodríguez, I.; Blázquez, G.; Quesada, L.; Pérez, A.; Calero, M. Kinetics of thermal decomposition of some biomasses in an inert environment. An investigation of the effect of lead loaded by biosorption. Waste Manag. 2017, 70, 101–113. [Google Scholar] [CrossRef] [PubMed]
- Rafatullah, M.; Sulaiman, O.; Hashim, R.; Ahmad, A. Adsorption of copper (II), chromium (III), nickel (II) and lead (II) ions from aqueous solutions by meranti sawdust. J. Hazard. Mater. 2009, 170, 969–977. [Google Scholar] [CrossRef] [PubMed]
- Oliveira, W.E.; Franca, A.S.; Oliveira, L.S.; Rocha, S.D. Untreated coffee husks as biosorbents for the removal of heavy metals from aqueous solutions. J. Hazard. Mater. 2008, 152, 1073–1081. [Google Scholar] [CrossRef] [PubMed]
- Martín-Lara, M.; Blázquez, G.; Calero, M.; Almendros, A.; Ronda, A. Binary biosorption of copper and lead onto pine cone shell in batch reactors and in fixed bed columns. Int. J. Miner. Process. 2016, 148, 72–82. [Google Scholar] [CrossRef]
- Godoy, V.; Iáñez-Rodríguez, I.; Pérez, A.; Martín-Lara, M.; Blázquez, G. Neural fuzzy modelization of copper removal from water by biosorption in fixed-bed columns using olive stone and pinion shell. Bioresour. Technol. 2018, 252, 100–109. [Google Scholar] [CrossRef]
- Pellera, F.-M.; Giannis, A.; Kalderis, D.; Anastasiadou, K.; Stegmann, R.; Wang, J.-Y.; Gidarakos, E. Adsorption of Cu(II) ions from aqueous solutions on biochars prepared from agricultural by-products. J. Environ. Manag. 2012, 96, 35–42. [Google Scholar] [CrossRef] [PubMed]
- Wang, Q.; Lai, Z.; Mu, J.; Chu, D.; Zang, X. Converting industrial waste cork to biochar as Cu (II) adsorbent via slow pyrolysis. Waste Manag. 2020, 105, 102–109. [Google Scholar] [CrossRef]
- Martín-Lara, M.; Pérez, A.; Vico-Pérez, M.; Godoy, V.; Blázquez, G. The role of temperature on slow pyrolysis of olive cake for the production of solid fuels and adsorbents. Process. Saf. Environ. Prot. 2019, 121, 209–220. [Google Scholar] [CrossRef]
- Gai, X.; Wang, H.; Liu, J.; Zhai, L.; Liu, S.; Ren, T.; Liu, H. Effects of Feedstock and Pyrolysis Temperature on Biochar Adsorption of Ammonium and Nitrate. PLoS ONE 2014, 9, 113888. [Google Scholar] [CrossRef] [PubMed]
- Liu, J.; Huang, S.; Chen, K.; Wang, T.; Mei, M.; Li, J. Preparation of biochar from food waste digestate: Pyrolysis behavior and product properties. Bioresour. Technol. 2020, 302, 122841. [Google Scholar] [CrossRef]
- Feng, D.; Bai, B.; Wang, H.; Suo, Y. Thermo-chemical modification to produce citric acid–yeast superabsorbent composites for ketoprofen delivery. RSC Adv. 2015, 5, 104756–104768. [Google Scholar] [CrossRef]
- Romero-Cano, L.A.; García-Rosero, H.; Gonzalez-Gutierrez, L.; Baldenegro-Pérez, L.A.; Carrasco-Marín, F. Functionalized adsorbents prepared from fruit peels: Equilibrium, kinetic and thermodynamic studies for copper adsorption in aqueous solution. J. Clean. Prod. 2017, 162, 195–204. [Google Scholar] [CrossRef]
- Romero-Cano, L.A.; Gonzalez-Gutierrez, L.; Baldenegro-Pérez, L.A.; Carrasco-Marín, F. Grapefruit peels as biosorbent: Characterization and use in batch and fixed bed column for Cu(II) uptake from wastewater. J. Chem. Technol. Biotechnol. 2017, 92, 1650–1658. [Google Scholar] [CrossRef]
- Abdi, O.; Kazemi, M. A review study of biosorption of heavy metals and comparison between different biosorbents. J. Mater. Environ. Sci. 2015, 6, 1386–1399. [Google Scholar]
- Fernández-González, R.; Martín-Lara, M.; Iáñez-Rodríguez, I.; Calero, M. Removal of heavy metals from acid mining effluents by hydrolyzed olive cake. Bioresour. Technol. 2018, 268, 169–175. [Google Scholar] [CrossRef]
- Escobar Barrios, V.A.; Rangel Méndez, J.R.; Pérez Aguilar, N.V.; Andrade Espinosa, G.; Dávila Rodríguez, J.L. FTIR—An Essential Characterization Technique for Polymeric Materials. Infrared Spectroscopy—Materials Science, Engineering and Technology, 2012. Available online: http://www.intechopen.com/books/infrared-spectroscopy-materials-science-engineering-and-technology/ftir-an-essential-characterization-technique-for-polymeric-materials (accessed on 30 April 2020).
- Naderi, M. Chapter Fourteen-Surface Area: Brunauer-Emmett-Teller (BET). In Progress in Filtration and Separation; Academic Press: Cambridge, MA, USA, 2015; pp. 585–608. [Google Scholar]
- Romero-Cano, L.A.; González-Gutiérrez, L.V.; Baldenegro-Pérez, L.A.; Medina-Montes, M.I. Preparation of orange peles by instant controlled pressure drop and chemical modification for its use as biosorbent of organic pollutants. Revista Mexicana Ingeniería Química 2016, 15, 481–491. [Google Scholar]
- Zhang, C.; Zhang, Z.; Zhang, L.; Li, Q.; Li, C.; Chen, G.; Zhang, S.; Liu, Q.; Hu, X. Evolution of the functionalities and structures of biochar in pyrolysis of poplar in a wide temperature range. Bioresour. Technol. 2020, 304, 123002. [Google Scholar] [CrossRef] [PubMed]
- Sánchez, F.; Araus, K.; Domínguez, M.P.; San Miguel, G. Thermochemical Transformation of Residual Avocado Seeds: Torrefaction and Carbonization. Waste Biomass Valoriz. 2017, 8, 2495–2510. [Google Scholar] [CrossRef]
- Alkurdi, S.S.; Al-Juboori, R.A.; Bundschuh, J.; Bowtell, L.; McKnight, S. Effect of pyrolysis conditions on bone char characterization and its ability for arsenic and fluoride removal. Environ. Pollut. 2020, 262, 114221. [Google Scholar] [CrossRef]
- Menya, E.; Olupot, P.W.; Storz, H.; Lubwama, M.; Kiros, Y.; John, M.J. Optimization of pyrolysis conditions for char production from rice husks and its characterization as a precursor for production of activated carbon. Biomass Convers. Biorefin. 2019, 10, 57–72. [Google Scholar] [CrossRef]
- Shakya, A.; Agarwal, T. Removal of Cr(VI) from water using pineapple peel derived biochars: Adsorption potential and re-usability assessment. J. Mol. Liq. 2019, 293, 111497. [Google Scholar] [CrossRef]
- Guerrero, M.; Ruiz, M.P.; Millera, A.; Alzueta, M.; Bilbao, R. Characterization of Biomass Chars Formed under Different Devolatilization Conditions: Differences between Rice Husk and Eucalyptus. Energy Fuels 2008, 22, 1275–1284. [Google Scholar] [CrossRef]
- Ji, B.; Zhu, L.; Song, H.; Chen, W.; Guo, S.; Chen, F. Adsorption of Methylene Blue onto Novel Biochars Prepared from Magnolia grandiflora Linn Fallen Leaves at Three Pyrolysis Temperatures. Water Air Soil Pollut. 2019, 230, 281. [Google Scholar] [CrossRef]
- Vafajoo, L.; Cheraghi, R.; Dabbagh, R.; McKay, G. Removal of cobalt (II) ions from aqueous solutions utilizing the pre-treated 2-Hypnea Valentiae algae: Equilibrium, thermodynamic, and dynamic studies. Chem. Eng. J. 2018, 331, 39–47. [Google Scholar] [CrossRef]
- Angın, D.; Şensöz, S. Effect of Pyrolysis Temperature on Chemical and Surface Properties of Biochar of Rapeseed (Brassica napus L.). Int. J. Phytoremediation 2014, 16, 684–693. [Google Scholar] [CrossRef]
- Patel, S.; Han, J.; Qiu, W.; Gao, W. Synthesis and characterisation of mesoporous bone char obtained by pyrolysis of animal bones, for environmental application. J. Environ. Chem. Eng. 2015, 3, 2368–2377. [Google Scholar] [CrossRef]
- Zhang, P.; Zheng, S.; Liu, J.; Wang, B.; Liu, F.; Feng, Y. Surface properties of activated sludge-derived biochar determine the facilitating effects on Geobacter co-cultures. Water Res. 2018, 142, 441–451. [Google Scholar] [CrossRef]
- King, P.; Rakesh, N.; Beenalahari, S.; Prasanna Kumar, Y.; Prasad, V.S.R.K. Removal of lead from aqueous solution using Syzygium cumini L.: Equilibrium and kinetic studies. J. Hazard. Mater. 2007, 142, 340–347. [Google Scholar] [CrossRef] [PubMed]
- Da Silva, D.C.C.; Pietrobelli, J.M.T.D.A. Residual biomass of chia seeds (Salvia hispanica) oil extraction as low cost and eco-friendly biosorbent for effective reactive yellow B2R textile dye removal: Characterization, kinetic, thermodynamic and isotherm studies. J. Environ. Chem. Eng. 2019, 7, 103008. [Google Scholar] [CrossRef]
- Kostas, K.; Dimitra, Z.; Ioannis, P.; Despina, V.; Georgios, B. Assessment of pistachio shell biochar quality and its potential for adsorption of heavy metals. Waste Biomass Valoriz. 2015, 6, 805–816. [Google Scholar]
- Lagergren, S.K. About the theory of so-called adsorption of soluble substances. Sven. Vetenskapsakad. Handl. 1898, 24, 1–39. [Google Scholar]
- Ho, Y.S.; McKay, G. Sorption of dye from aqueous solution by peat. Chem. Eng. J. 1998, 70, 115–124. [Google Scholar] [CrossRef]
- Liu, J.; Huang, Z.; Chen, Z.; Sun, J.; Gao, Y.; Wu, E. Resource utilization of swine sludge to prepare modified biochar adsorbent for the efficient removal of Pb(II) from water. J. Clean. Prod. 2020, 257, 120332. [Google Scholar] [CrossRef]
- Saletnik, B.; Zagula, G.; Grabek-Lejko, D.; Kasprzyk, I.; Bajcar, M.; Czernicka, M.; Puchalski, C. Biosorption of cadmium (II), lead (II) and cobalt (II) from aqueous solution by biochar from cones of larch (Larix decidua Mill. Subsp. Decidua) and spruce (Picea abies L. H. Karst). Environ. Earth Sci. 2017, 76, 574. [Google Scholar]
- Langmuir, I. The adsorption of gases on plane surfaces of glass, mica and platinum. J. Am. Chem. Soc. 1918, 40, 1361–1403. [Google Scholar] [CrossRef]
- Freundlich, H. Colloid and Capillary Chemistry; Methuen: London, UK, 1926. [Google Scholar]
- Farnane, M.; Tounsadi, H.; Elmoubarki, R.; Mahjoubi, F.; Elhalil, A.; Saqrane, S.; Abdennouri, M.; Qourzal, S.; Barka, N. Alkaline treated carob shells as sustainable biosorbent for clean recovery of heavy metals: Kinetics, equilibrium, ions interference and process optimisation. Ecol. Eng. 2017, 101, 9–20. [Google Scholar] [CrossRef]
- Parab, H.; Joshi, S.; Shenoy, N.; Lali, A.; Sarma, U.; Sudersanan, M. Determination of kinetic and equilibrium parameters of the batch adsorption of Co(II), Cr(III) and Ni(II) onto coir pith. Process. Biochem. 2006, 41, 609–615. [Google Scholar] [CrossRef]
- Tounsadi, H.; Khalidi, A.; Abdennouri, M.; Barka, N. Biosorption potential of Diplotaxis harra and Glebionis coronaria L. biomasses for the removal of Cd(II) and Co(II) from aqueous solutions. J. Environ. Chem. Eng. 2015, 3, 822–830. [Google Scholar] [CrossRef]
- Bhatnagar, A.; Minocha, A.; Sillanpää, M. Adsorptive removal of cobalt from aqueous solution by utilizing lemon peel as biosorbent. Biochem. Eng. J. 2010, 48, 181–186. [Google Scholar] [CrossRef]
- Vijayaraghavan, K.; Jegan, J.; Palanivelu, K.; Velan, M. Biosorption of cobalt(II) and nickel(II) by seaweeds: Batch and column studies. Sep. Purif. Technol. 2005, 44, 53–59. [Google Scholar] [CrossRef]
- Tofan, L.; Teodosiu, C.; Păduraru, C.; Wenkert, R. Cobalt (II) removal from aqueous solutions by natural hemp fibers: Batch and fixed-bed column studies. Appl. Surf. Sci. 2013, 285, 33–39. [Google Scholar] [CrossRef]
- Güzel, F.; Yakut, H.; Topal, G. Determination of kinetic and equilibrium parameters of the bath adsorption of Mn(II), Co(II), Ni(II) and Cu(II) from aqueous solution by black carrot (Daucus carota L.) residues. J. Hazard. Mater. 2008, 153, 1275–1287. [Google Scholar] [CrossRef]
- Ibrahim, W.M. Biosorption of heavy metal ions from aqueous solution by red macroalgae. J. Hazard. Mater. 2011, 192, 1827–1835. [Google Scholar] [CrossRef]
- Javed, M.A.; Bhatti, H.N.; Hanifa, M.A.; Nadeem, R. Kinetic and Equilibrium Modeling of Pb(II) and Co(II) Sorption onto Rose Waste Biomass. Sep. Sci. Technol. 2007, 42, 3641–3656. [Google Scholar] [CrossRef]
- Oguz, E.; Ersoy, M. Biosorption of cobalt(II) with sunflower biomass from aqueous solutions in a fixed bed column and neural networks modelling. Ecotoxicol. Environ. Saf. 2014, 99, 54–60. [Google Scholar] [CrossRef]
- Demirbaş, E. Adsorption of Cobalt(II) Ions from Aqueous Solution onto Activated Carbon Prepared from Hazelnut Shells. Adsorpt. Sci. Technol. 2003, 21, 951–963. [Google Scholar] [CrossRef]







| Test Number | 1 | 2 | 3 | 4 |
|---|---|---|---|---|
| Concentration, mg/L | 25 | 50 | 100 | 200 |
| Contact time, min | 0, 5, 10, 15, 30, 60, 90, 120 | |||
| pH | <6–6.5 | |||
| Adsorbent dose, g/L | 5 | |||
| Temperature, °C | 25 | |||
| Volume, mL | 150 | |||
| Test Number | 1 | 2 | 3 | 4 | 5 | 6 |
|---|---|---|---|---|---|---|
| Concentration, mg/L | 50 | 100 | 200 | 400 | 800 | 1200 |
| Contact time, min | 0, 120 | |||||
| pH | <6–6.5 | |||||
| Adsorbent dose, g/L | 5 | |||||
| Temperature, °C | 25 | |||||
| Volume, mL | 150 | |||||
| Analysis | Greenhouse Crop Residue | 250 °C | 350 °C | 450 °C | 550 °C | |
|---|---|---|---|---|---|---|
| Proximate Analysis | % Moisture | 7.43 ± 0.37 | 1.89 ± 0.09 | 4.31 ± 0.19 | 4.33 ± 0.21 | 3.00 ± 0.12 |
| % Volatile matter (VM) | 56.66 ± 2.80 | 52.31 ± 2.14 | 41.11 ± 2.06 | 21.43 ± 1.01 | 15.36 ± 0.56 | |
| % Ashes | 23.97 ± 1.09 | 30.31 ± 1.21 | 38.34 ± 1.45 | 52.35 ± 2.12 | 55.41 ± 1.87 | |
| % Fixed carbon (FC) | 11.95 ± 0.49 | 15.49 ± 0.70 | 16.23 ± 0.68 | 21.88 ± 0.87 | 26.24 ± 1.13 | |
| VM/FC ratio | 4.74 | 3.38 | 2.53 | 0.98 | 0.59 | |
| Elemental Analysis | % C | 34.02 ± 1.70 | 35.29 ± 1.67 | 34.29 ± 1.41 | 28.84 ± 1.44 | 21.34 ± 1.01 |
| % H | 5.89 ± 0.92 | 4.83 ± 0.24 | 4.59 ± 0.32 | 1.39 ± 0.07 | 0.77 ± 0.03 | |
| % O | 32.95 ± 1.56 | 28.08 ± 1.04 | 20.27 ± 1.10 | 16.22 ± 0.81 | 21.29 ± 1.60 | |
| % S | 0.02 ± 0.00 | 0.02 ± 0.00 | 0.02 ± 0.00 | 0.03 ± 0.01 | 0.05 ± 0.01 | |
| % N | 3.15 ± 0.16 | 1.47 ± 0.07 | 2.39 ± 0.21 | 1.17 ± 0.60 | 1.14 ± 0.08 | |
| C/H ratio | 5.78 | 7.31 | 7.47 | 20.75 | 27.71 | |
| Point of Zero Charge (PZC) | 6.30 ± 0.25 | 6.28 ± 0.14 | 7.22 ± 0.30 | 7.77 ± 0.22 | 9.23 ± 0.18 | |
| Material | BET Surface Area, m2/g | Average Pore Diameter, Å | Total Pore Volume, cm3/g |
|---|---|---|---|
| GCR | 6.2 ± 0.31 | 47.5 ± 2.83 | 0.0073 ± 0.0004 |
| GCR 250-15 | 7.3 ± 0.73 | 45.6 ± 2.28 | 0.0116 ± 0.0005 |
| GCR 350-15 | 9.1 ± 0.41 | 57.1 ± 2.68 | 0.0105 ± 0.0006 |
| GCR 450-15 | 9.2 ± 0.64 | 62.7 ± 3.41 | 0.0142 ± 0.0010 |
| GCR 550-15 | 7.5 ± 0.93 | 73.2 ± 3.36 | 0.0138 ± 0.0013 |
| Material | Pseudo-First Order | Pseudo-Second Order | ||||
|---|---|---|---|---|---|---|
| qe | k1 | R2 | qe | k2 | R2 | |
| GCR | 2.036 | 0.162 | 0.987 | 2.057 | 0.243 | 0.998 |
| GCR 250-15 | 1.855 | 0.145 | 0.963 | 1.933 | 0.164 | 0.999 |
| GCR 350-15 | 3.745 | 0.196 | 0.975 | 3.842 | 0.138 | 0.998 |
| GCR 450-15 | 3.846 | 0.112 | 0.959 | 4.086 | 0.051 | 0.998 |
| GCR 550-15 | 2.905 | 0.107 | 0.959 | 3.177 | 0.045 | 0.998 |
| Material | Langmuir Model | Freundlich Model | ||||||
|---|---|---|---|---|---|---|---|---|
| qm, mg/g | Loss of Mass, % | qmcor, mg/g | b, L/mg | R2 | n | KF, (mg/g)·(L/mg)1/n | R2 | |
| GCR | 13.584 | 0.000 | -- | 0.010 | 0.985 | 2.259 | 0.706 | 0.850 |
| GCR 250-15 | 14.339 | 8.960 | 13.054 | 0.005 | 0.980 | 1.778 | 0.304 | 0.899 |
| GCR 350-15 | 12.289 | 50.740 | 6.054 | 0.012 | 0.997 | 2.525 | 0.857 | 0.897 |
| GCR 450-15 | 30.984 | 55.100 | 13.912 | 0.007 | 0.997 | 2.090 | 1.157 | 0.948 |
| GCR 550-15 | 25.548 | 59.080 | 10.454 | 0.009 | 0.993 | 2.419 | 1.459 | 0.963 |
| Material | qm, mg/g | Reference |
|---|---|---|
| Treated carob shells | 17.41 | Farnane et al. [44] |
| Coir pith | 12.82 | Parab et al. [45] |
| Glebionis coronaria L. | 24.52 | Tounsadi et al. [46] |
| Diplotaxis harra | 33.02 | Tounsadi et al. [46] |
| Lemon peel | 22.00 | Bhatnagar et al. [47] |
| Seaweed | 20.63 | Vijayaraghavan et al. [48] |
| Hemp fibers | 13.58 | Tofan et al. [49] |
| Black carrots | 5.35 | Güzel et al. [50] |
| P. Capillacea | 52.60 | Ibrahim [51] |
| Rose waste biomass | 13.90 | Javeda et al. [52] |
| Sunflowers | 11.68 | Oguz and Ersoy [53] |
| Activated carbon prepared from hazelnut shells | 11.57 | Demirbas [54] |
| Greenhouse crop residue | 13.58 | This work |
© 2020 by the authors. Licensee MDPI, Basel, Switzerland. This article is an open access article distributed under the terms and conditions of the Creative Commons Attribution (CC BY) license (http://creativecommons.org/licenses/by/4.0/).
Share and Cite
Iáñez-Rodríguez, I.; Calero, M.; Blázquez, G.; Martín-Lara, M.Á. Greenhouse Crop Residue and Its Derived Biochar: Potential as Adsorbent of Cobalt from Aqueous Solutions. Water 2020, 12, 1282. https://doi.org/10.3390/w12051282
Iáñez-Rodríguez I, Calero M, Blázquez G, Martín-Lara MÁ. Greenhouse Crop Residue and Its Derived Biochar: Potential as Adsorbent of Cobalt from Aqueous Solutions. Water. 2020; 12(5):1282. https://doi.org/10.3390/w12051282
Chicago/Turabian StyleIáñez-Rodríguez, Irene, Mónica Calero, Gabriel Blázquez, and María Ángeles Martín-Lara. 2020. "Greenhouse Crop Residue and Its Derived Biochar: Potential as Adsorbent of Cobalt from Aqueous Solutions" Water 12, no. 5: 1282. https://doi.org/10.3390/w12051282
APA StyleIáñez-Rodríguez, I., Calero, M., Blázquez, G., & Martín-Lara, M. Á. (2020). Greenhouse Crop Residue and Its Derived Biochar: Potential as Adsorbent of Cobalt from Aqueous Solutions. Water, 12(5), 1282. https://doi.org/10.3390/w12051282

