Probabilistic Model for Real-Time Flood Operation of a Dam Based on a Deterministic Optimization Model
Abstract
1. Introduction
2. Materials and Methods
2.1. The Real-Time Reservoir Operation Problem Approach
2.2. Formulation of a BNet
2.3. Case Study
- Gated spillway located on the left side, with a threshold level 505.9 m and provided with two bays six meters each. The discharge capacity at DFL (fully open) is 284.9 m3/s.
- Fixed crest spillway (emergency spillway), located on the right side of dam, being the threshold level 510 m. The length of the spillway crest is 13.5 m and the discharge capacity is 41 m3/s.
- Bottom outlet with its axe at 475.8 m. The outlet discharge capacity at DFL is 99.55 m3/s.
- Former intake consists in two conduits at 494.6 m, with a discharge capacity at DFL up to 18 m3/s.
- Newest intake (also two conduits) at 476.12 m, having a discharge capacity of 123 m3/s at DFL.
2.4. Stochastic Generation of Hydrological Forcing
2.5. Optimal Reservoir Management
2.6. Construction and Evaluation of a BNet
2.7. BNet Application Strategy
- If , that is, if the input flow is maintained or is increasing.
- ◊
- If , that is, if a maximum of the input hydrograph has not been reached.
- □
- If , that is, if the input flow is less than the threshold value number [Zone 1].
- □
- If , that is, if the input flow is greater than the threshold value number [Zone 2].
- ◊
- If , that is, if a maximum of the input flow has been reached.
- □
- If , that is, if the inflow to the reservoir is less than or equal to the largest peak of the registered inflow [Zone 4].
- □
- If , that is, if the inlet flow is greater than the highest recorded inlet flow peak.
- ▪
- If , that is, if the input flow is less than the threshold value number [Zone 1].
- ▪
- If , that is, if the input flow is greater than the threshold value number [Zone 2].
- If , that is, if the input flow is decreasing [Zone 3].
2.8. VEM
2.9. Overall Risk Index ()
3. Results and Discussion
4. Conclusions
Author Contributions
Funding
Acknowledgments
Conflicts of Interest
References
- Barman, S.D.; Choudhury, P. Downstream Flood Peak Improvement Modeling for a River System Incorporating Ungauged Subbasins. Aquat. Procedia 2015, 4, 1189–1196. [Google Scholar] [CrossRef]
- Zhan, X.; Qin, H.; Liu, Y.; Yao, L.; Xie, W.; Liu, G.; Zhou, J. Variational Bayesian Neural Network for Ensemble Flood Forecasting. Water 2020, 12, 2740. [Google Scholar] [CrossRef]
- Feng, M.; Liu, P. Spillways Scheduling for Flood Control of Three Gorges Reservoir Using Mixed Integer Linear Programming Model. Math. Probl. Eng. 2014, 2014, e921767. [Google Scholar] [CrossRef]
- Pan, L.; Housh, M.; Liu, P.; Cai, X.; Chen, X. Robust stochastic optimization for reservoir operation. Water Resour. Res. 2015, 51, 409–429. [Google Scholar] [CrossRef]
- Wang, L.; Nyunt, C.T.; Koike, T.; Saavedra, O.; Nguyen, L.C.; van Sap, T. Development of an integrated modeling system for improved multi-objective reservoir operation. Front. Archit. Civ. Eng. China 2010, 4, 47–55. [Google Scholar] [CrossRef]
- Wurbs, R.A. Comparative Evaluation of Generalized River/Reservoir System Models; Texas Water Resources Institute: College Station, TX, USA, 2005. [Google Scholar]
- Ahmadi, M.; Bozorg Haddad, O.; Mariño, M.A. Extraction of Flexible Multi-Objective Real-Time Reservoir Operation Rules. Water Resour. Manag. 2014, 28, 131–147. [Google Scholar] [CrossRef]
- Li, Y.; Guo, S.; Guo, J.; Wang, Y.; Li, T.; Chen, J. Deriving the optimal refill rule for multi-purpose reservoir considering flood control risk. J. Hydro Environ. Res. 2014, 8, 248–259. [Google Scholar] [CrossRef]
- Farhangi, M.; Bozorg-Haddad, O.; Mariño, M.A. Evaluation of simulation and optimization models for WRP with PIs. In Proceedings of the Institution of Civil Engineers-Water Management; Thomas Telford Ltd.: London, UK, 2012; Volume 165, pp. 265–276. [Google Scholar] [CrossRef]
- Molina, M.; Fuentetaja, R.; Garrote, L. Hydrologic Models for Emergency Decision Support Using Bayesian Networks. In Proceedings of the Symbolic and Quantitative Approaches to Reasoning with Uncertainty, Barcelona, Spain, 6–8 July 2005; Godo, L., Ed.; Springer: Berlin/Heidelberg, Germany, 2005; pp. 88–99. [Google Scholar]
- Chen, J.; Zhong, P.; Xu, B.; Zhao, Y. Risk Analysis for Real-Time Flood Control Operation of a Reservoir. J. Water Resour. Plan. Manag. 2015, 141, 04014092. [Google Scholar] [CrossRef]
- Bianucci, P.; Sordo-Ward, Á.; Moralo, J.; Garrote, L. Probabilistic-Multiobjective Comparison of User-Defined Operating Rules. Case Study: Hydropower Dam in Spain. Water 2015, 7, 956–974. [Google Scholar] [CrossRef]
- Girón, F. The evacuation of Floods during the Operation of Reservoirs. In Transactions Sixteenth International Congress on Large Dams; Report 75; International Commission on Large Dams (ICOLD): San Francisco, CA, USA, 1988; Volume 4, pp. 1261–1283. [Google Scholar]
- Chen, J.; Zhong, P.; Wang, M.; Zhu, F.; Wan, X.; Zhang, Y. A Risk-Based Model for Real-Time Flood Control Operation of a Cascade Reservoir System under Emergency Conditions. Water 2018, 10, 167. [Google Scholar] [CrossRef]
- Gioia, A. Reservoir Routing on Double-Peak Design Flood. Water 2016, 8, 553. [Google Scholar] [CrossRef]
- Liu, P.; Lin, K.; Wei, X. A two-stage method of quantitative flood risk analysis for reservoir real-time operation using ensemble-based hydrologic forecasts. Stoch. Environ. Res. Risk Assess. 2015, 29, 803–813. [Google Scholar] [CrossRef]
- Choong, S.-M.; El-Shafie, A. State-of-the-Art for Modelling Reservoir Inflows and Management Optimization. Water Resour. Manag. 2015, 29, 1267–1282. [Google Scholar] [CrossRef]
- Hossain, M.S.; El-shafie, A. Intelligent Systems in Optimizing Reservoir Operation Policy: A Review. Water Resour. Manag. 2013, 27, 3387–3407. [Google Scholar] [CrossRef]
- El-Shafie, A.; El-Shafie, A.H.; Mukhlisin, M. New Approach: Integrated Risk-Stochastic Dynamic Model for Dam and Reservoir Optimization. Water Resour. Manag. 2014, 28, 2093–2107. [Google Scholar] [CrossRef]
- Hosseini-Moghari, S.-M.; Morovati, R.; Moghadas, M.; Araghinejad, S. Optimum Operation of Reservoir Using Two Evolutionary Algorithms: Imperialist Competitive Algorithm (ICA) and Cuckoo Optimization Algorithm (COA). Water Resour. Manag. 2015, 29, 3749–3769. [Google Scholar] [CrossRef]
- Bianucci, P.; Sordo-Ward, A.; Pérez, J.I.; García-Palacios, J.; Mediero, L.; Garrote, L. Risk-based methodology for parameter calibration of a reservoir flood control model. Nat. Hazards Earth Syst. Sci. 2013, 13, 965–981. [Google Scholar] [CrossRef]
- Heydari, M.; Othman, F.; Qaderi, K. Developing Optimal Reservoir Operation for Multiple and Multipurpose Reservoirs Using Mathematical Programming. Math. Probl. Eng. 2015, 2015, e435752. [Google Scholar] [CrossRef]
- Rani, D.; Moreira, M.M. Simulation–Optimization Modeling: A Survey and Potential Application in Reservoir Systems Operation. Water Resour. Manag. 2010, 24, 1107–1138. [Google Scholar] [CrossRef]
- Labadie John, W. Optimal Operation of Multireservoir Systems: State-of-the-Art Review. J. Water Resour. Plan. Manag. 2004, 130, 93–111. [Google Scholar] [CrossRef]
- Yeh, W.W.-G. Reservoir Management and Operations Models: A State-of-the-Art Review. Water Resour. Res. 1985, 21, 1797–1818. [Google Scholar] [CrossRef]
- Wurbs Ralph, A. Reservoir-System Simulation and Optimization Models. J. Water Resour. Plan. Manag. 1993, 119, 455–472. [Google Scholar] [CrossRef]
- Afshar, A.; Mariño, M.A. Multi-objective Coverage-based ACO Model for Quality Monitoring in Large Water Networks. Water Resour. Manag. 2012, 26, 2159–2176. [Google Scholar] [CrossRef]
- Díaz, F.J.; Contreras, J.; Muñoz, J.I.; Pozo, D. Optimal Scheduling of a Price-Taker Cascaded Reservoir System in a Pool-Based Electricity Market. IEEE Trans. Power Syst. 2011, 26, 604–615. [Google Scholar] [CrossRef]
- Windsor, J.S. Optimization model for the operation of flood control systems. Water Resour. Res. 1973, 9, 1219–1226. [Google Scholar] [CrossRef]
- Needham Jason, T.; Watkins David, W.; Lund Jay, R.; Nanda, S.K. Linear Programming for Flood Control in the Iowa and Des Moines Rivers. J. Water Resour. Plan. Manag. 2000, 126, 118–127. [Google Scholar] [CrossRef]
- Beneyto, C.; Aranda, J.A.; Benito, G.; Francés, F. Metodología basada en generadores meteorológicos para la estimación de avenidas extremas. Ingeniería del Agua 2019, 23, 259–273. [Google Scholar] [CrossRef]
- Ahmed, E.-S.M.S.; Mays, L.W. Model for determining real-time optimal dam releases during flooding conditions. Nat. Hazards 2013, 65, 1849–1861. [Google Scholar] [CrossRef]
- Jones, D. Application of Mixed-Integer Programming for Flood Control in the Sacramento Valley: Insights & Limitations. Master’s Thesis, University of California, Davis, CA, USA, 1999. [Google Scholar]
- Wei, C.-C.; Hsu, N.-S. Multireservoir real-time operations for flood control using balanced water level index method. J. Environ. Manag. 2008, 88, 1624–1639. [Google Scholar] [CrossRef]
- Che, D.; Mays, L.W. Application of an Optimization/Simulation Model for Real-Time Flood-Control Operation of River-Reservoirs Systems. Water Resour. Manag. 2017, 31, 2285–2297. [Google Scholar] [CrossRef]
- Mediero, L.; Garrote, L.; Martín-Carrasco, F. A probabilistic model to support reservoir operation decisions during flash floods. Hydrol. Sci. J. 2007, 52, 523–537. [Google Scholar] [CrossRef]
- Gabriel-Martin, I.; Sordo-Ward, A.; Garrote, L.; Castillo, L.G. Influence of initial reservoir level and gate failure in dam safety analysis. Stochastic approach. J. Hydrol. 2017, 550, 669–684. [Google Scholar] [CrossRef]
- Khalil, A.; McKee, M.; Kemblowski, M.; Asefa, T. Sparse Bayesian learning machine for real-time management of reservoir releases. Water Resour. Res. 2005, 41. [Google Scholar] [CrossRef]
- Zacchei, E.; Molina, J.L. Shape Optimization of Double-Arch Dams by Using Parameters Obtained Through Bayesian Estimators. Iran. J. Sci. Technol. Trans. Civ. Eng. 2019, 43, 649–662. [Google Scholar] [CrossRef]
- Zacchei, E.; Molina, J.L. Optimization of Geometric Parameters for Double-Arch Dams through Bayesian Implementation. J. Struct. Eng. 2020, 146, 04020264. [Google Scholar] [CrossRef]
- Vogel, K.; Weise, L.; Schröter, K.; Thieken, A.H. Identifying Driving Factors in Flood-Damaging Processes Using Graphical Models. Water Resour. Res. 2018, 54, 8864–8889. [Google Scholar] [CrossRef]
- Molina, J.-L.; Zazo, S.; Martín, A.-M. Causal Reasoning: Towards Dynamic Predictive Models for Runoff Temporal Behavior of High Dependence Rivers. Water 2019, 11, 877. [Google Scholar] [CrossRef]
- Molina, J.-L.; Zazo, S. Assessment of Temporally Conditioned Runoff Fractions in Unregulated Rivers. J. Hydrol. Eng. 2018, 23, 04018015. [Google Scholar] [CrossRef]
- Wu, J.; Fang, W.; Hu, Z.; Hong, B. Application of Bayesian Approach to Dynamic Assessment of Floodin Urban Underground Spaces. Water 2018, 10, 1112. [Google Scholar] [CrossRef]
- Wang, J.; Liang, Z.; Jiang, X.; Li, B.; Chen, L. Bayesian Theory Based Self-Adapting Real-Time Correction Model for Flood Forecasting. Water 2016, 8, 75. [Google Scholar] [CrossRef]
- Cu Thi, P.; Ball, J.; Dao, N. Uncertainty Estimation Using the Glue and Bayesian Approaches in Flood Estimation: A case Study—Ba River, Vietnam. Water 2018, 10, 1641. [Google Scholar] [CrossRef]
- Malekmohammadi, B.; Kerachian, R.; Zahraie, B. Developing monthly operating rules for a cascade system of reservoirs: Application of Bayesian Networks. Environ. Model. Softw. 2009, 24, 1420–1432. [Google Scholar] [CrossRef]
- Li, P.; Liang, C. Risk Analysis for Cascade Reservoirs Collapse Based on Bayesian Network sunder the Combined Action of Flood and Land slide Surge. Math. Probl. Eng. 2016, 2016, 1–13. [Google Scholar] [CrossRef]
- Chen, J.; Zhong, P.-A.; An, R.; Zhu, F.; Xu, B. Risk analysis for real-time flood control operation of a multi-reservoir system using a dynamic Bayesian network. Environ. Model. Softw. 2019, 111, 409–420. [Google Scholar] [CrossRef]
- Lu, Q.; Zhong, P.; Xu, B.; Zhu, F.; Ma, Y.; Wang, H.; Xu, S. Risk analysis for reservoir flood control operation considering two-dimensional uncertainties based on Bayesian network. J. Hydrol. 2020, 589, 125353. [Google Scholar] [CrossRef]
- Chen, Y.; Lin, P. Bayesian network of risk assessment for a super-large dam exposed to multiple natural risk sources. Stoch. Environ. Res. Risk Assess. 2019, 33, 581–592. [Google Scholar] [CrossRef]
- Neapolitan, R.E. Learning Bayesian Networks; Prentice-Hall, Inc.: Upper Saddle River, NJ, USA, 2003; ISBN 978-0-13-012534-7. [Google Scholar]
- Stephenson, T.A. An Introduction to Bayesian Network Theory and Usage; IDIAP: Valais, Switzerland, 2000. [Google Scholar]
- Lauritzen, S.L. The EM algorithm for graphical association models with missing data. Comput. Stat. Data Anal. 1995, 19, 191–201. [Google Scholar] [CrossRef]
- Sordo-Ward, A.; Garrote, L.; Martín-Carrasco, F.; Dolores Bejarano, M. Extreme flood abatement in large dams with fixed-crest spillways. J. Hydrol. 2012, 466–467, 60–72. [Google Scholar] [CrossRef]
- Sordo-Ward, A.; Garrote, L.; Bejarano, M.D.; Castillo, L.G. Extreme flood abatement in large dams with gate-controlled spillways. J. Hydrol. 2013, 498, 113–123. [Google Scholar] [CrossRef]
- Etoh, T.; Murota, A.; Nakanishi, M. SQRT-Exponential Type Distribution of Maximum. In Proceedings of the Hydrologic Frequency Modeling, Louisiana State University, Baton Rouge, MS, USA, 14–17 May 1986; Singh, V.P., Ed.; Springer: Dordrecht, The Netherlands, 1987; pp. 253–264. [Google Scholar]
- Ministerio de Fomento. Máximas Lluvias Diarias en la España Peninsular; Dirección General de Carreteras: Madrid, España, 1999.
- Ministerio de Obras Públicas y Urbanismo (MOPU). Instrucción de Carreteras 5.2-IC Drenaje Superficial; Dirección General de Carreteras: Madrid, España, 1990.
- Spanish National Committee on Large Dams (SPANCOLD). Guía Técnica de Seguridad de Presas N°4; Avenida de Proyecto: Madrid, Spain, 1997. [Google Scholar]
- Bras, R.L.; Rodriguez-Iturbe, I. Random Functions and Hydrology; Dover Publications: New York, NY, USA, 1994; ISBN 978-0-486-67626-5. [Google Scholar]
- Toth, E.; Brath, A.; Montanari, A. Comparison of short-term rainfall prediction models for real-time flood forecasting. J. Hydrol. 2000, 239, 132–147. [Google Scholar] [CrossRef]
- Bocchiola, D.; Rosso, R. The use of scale recursive estimation for short term quantitative precipitation forecast. Phys. Chem. Earth Parts A/B/C 2006, 31, 1228–1239. [Google Scholar] [CrossRef]
- De Salas, L.; Fernández, J.A. “In-site” regionalization to estimate an intensity-duration-frequency law: A solution to scarce spatial data in Spain. Hydrol. Process. 2007, 21, 3507–3513. [Google Scholar] [CrossRef]
- Rodríguez-Iturbe, I.; de Power, B.F.; Valdés, J.B. Rectangular pulses point process models for rainfall: Analysis of empirical data. J. Geophys. Res. 1987, 92, 9645. [Google Scholar] [CrossRef]
- Mockus, V. Chapter 21. Design Hydrographs. In National Engineering Handbook, Section 4, Hydrology; SCS, Ed.; SCS: Washington, DC, USA, 1972. [Google Scholar]
- McCarthy, G.T. The unit hydrograph and flood routing. In Proceedings of the Conference of North Atlantic Division; US Army Corps of Engineers: Vicksburg, MS, USA, 1938; pp. 608–609. [Google Scholar]
- Herskovits, E.H.; Cooper, G.F. Kutato: An Entropy-Driven System for Construction of Probabilistic Expert Systems from Databases; Knowledge Systems Laboratory, Medical Computer Science; Stanford University: Stanford, CA, USA, 1990. [Google Scholar]
- Romero Díaz, A.; Maurandi Guirado, A. Las inundaciones en la cuenca del Segura en las dos últimas décadas del siglo XX: Actuaciones de prevención. Ser. Geogr. 2000, 9, 93–120. [Google Scholar]
- Carvajal, C.; Peyras, L.; Arnaud, P.; Boissier, D.; Royet, P. Probabilistic Modeling of Flood water Level for Dam Reservoirs. J. Hydrol. Eng. 2009, 14, 223–232. [Google Scholar] [CrossRef]
- Gabriel-Martin, I.; Sordo-Ward, A.; Garrote, L. Influencia del nivel inicial en la definición de resguardos estacionales en presas. Ingeniería del Agua 2018, 22, 225–238. [Google Scholar] [CrossRef]
- Mason, S.J.; Graham, N.E. Conditional Probabilities, Relative Operating Characteristics, and Relative Operating Levels. Weather Forecast. 1999, 14, 14. [Google Scholar] [CrossRef]
- Wilks, D.S. Statistical Methods in the Atmospheric Sciences; Academic Press: Cambridge, MA, USA, 2011; ISBN 978-0-12-385022-5. [Google Scholar]
- Sordo-Ward, A.; Gabriel-Martin, I.; Bianucci, P.; Garrote, L. A Parametric Flood Control Method for Dams with Gate-Controlled Spillways. Water 2017, 9, 237. [Google Scholar] [CrossRef]
- Chow, V.T. Handbook of Applied Hydrology: A Compendium of Water-Resources Technology, 1st ed.; McGraw-Hill: New York, NY, USA, 1964; ISBN 978-0-07-010774-8. [Google Scholar]











| Symbol | Description | Water Level (m) | Volume (hm3) |
|---|---|---|---|
| TCP | Top of conservation pool (maximum normal operative level) | 508.9 | 31.9 |
| FCL | Flood control level (top of flood control pool) | 509.9 | 34.8 |
| DFL | Design flood level | 511.3 | 39.1 |
| TOP | Top of dam | 512.4 | 42.5 |
| Symbol | Description | Flow (m3/s) |
|---|---|---|
| AO | Alert outflow (maximum downstream channel capacity) | 100 |
| WO | Warning outflow (mild damage flow) | 150 |
| EO | Emergency outflow (moderate damage flow) | 300 |
| Symbol | Description |
|---|---|
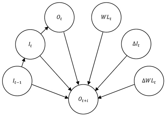
| Inflow to the reservoir at time hour | |
| Inflow to the reservoir at time h | |
| Reservoir water level at time hour | |
| Reservoir water level at time h | |
| Outflow from the reservoir at time t hour | |
| Variation of the inflow to the reservoir between the time and h | |
| Variation of the reservoir water level between the time and h | |
| Outflow from the reservoir at forecast time hour, where is the forecast time step |
| Parameter | BNet | ||||
|---|---|---|---|---|---|
| = 1 h | = 2 h | = 3 h | = 4 h | = 5 h | |
| ROC area | 0.973 | 0.966 | 0.961 | 0.958 | 0.956 |
| RPS index | 0.006 | 0.009 | 0.012 | 0.014 | 0.017 |
| BNet: | = 1 h | = 2 h | = 3 h | = 4 h | = 5 h | |||||
|---|---|---|---|---|---|---|---|---|---|---|
| Quadrant | VEM | MILP | VEM | MILP | VEM | MILP | VEM | MILP | VEM | MILP |
| I | 1% | 5% | 6% | 23% | 15% | 50% | 28% | 69% | 37% | 80% |
| II | 57% | 90% | 53% | 73% | 50% | 48% | 43% | 30% | 38% | 19% |
| III | 39% | 2% | 31% | 1% | 19% | 0% | 12% | 0% | 7% | 0% |
| IV | 3% | 3% | 10% | 3% | 16% | 2% | 17% | 1% | 18% | 1% |
| Symbol | Description | MILP | VEM | BNet | ||||
|---|---|---|---|---|---|---|---|---|
| = 1 h | = 2 h | = 3 h | = 4 h | = 5 h | ||||
| release flow risk index | 0.247 | 0.380 | 0.337 | 0.345 | 0.373 | 0.391 | 0.406 | |
| storage risk index | 0.137 | 0.171 | 0.108 | 0.188 | 0.280 | 0.444 | 0.600 | |
| overall risk index | 0.383 | 0.551 | 0.445 | 0.533 | 0.653 | 0.834 | 1.006 | |
Publisher’s Note: MDPI stays neutral with regard to jurisdictional claims in published maps and institutional affiliations. |
© 2020 by the authors. Licensee MDPI, Basel, Switzerland. This article is an open access article distributed under the terms and conditions of the Creative Commons Attribution (CC BY) license (http://creativecommons.org/licenses/by/4.0/).
Share and Cite
Cuevas-Velásquez, V.; Sordo-Ward, A.; García-Palacios, J.H.; Bianucci, P.; Garrote, L. Probabilistic Model for Real-Time Flood Operation of a Dam Based on a Deterministic Optimization Model. Water 2020, 12, 3206. https://doi.org/10.3390/w12113206
Cuevas-Velásquez V, Sordo-Ward A, García-Palacios JH, Bianucci P, Garrote L. Probabilistic Model for Real-Time Flood Operation of a Dam Based on a Deterministic Optimization Model. Water. 2020; 12(11):3206. https://doi.org/10.3390/w12113206
Chicago/Turabian StyleCuevas-Velásquez, Víctor, Alvaro Sordo-Ward, Jaime H. García-Palacios, Paola Bianucci, and Luis Garrote. 2020. "Probabilistic Model for Real-Time Flood Operation of a Dam Based on a Deterministic Optimization Model" Water 12, no. 11: 3206. https://doi.org/10.3390/w12113206
APA StyleCuevas-Velásquez, V., Sordo-Ward, A., García-Palacios, J. H., Bianucci, P., & Garrote, L. (2020). Probabilistic Model for Real-Time Flood Operation of a Dam Based on a Deterministic Optimization Model. Water, 12(11), 3206. https://doi.org/10.3390/w12113206

