Multi-Model Projections of Climate Change in Different RCP Scenarios in an Arid Inland Region, Northwest China
Abstract
1. Introduction
2. Materials and Methods
2.1. Study Area
2.2. Data
2.3. Methods
2.3.1. Multi-Model Adaptive Assessment
2.3.2. The Statistical Downscaling Model
3. Results and Discussion
3.1. CMIP5 Multi-Model Adaptive Assessment
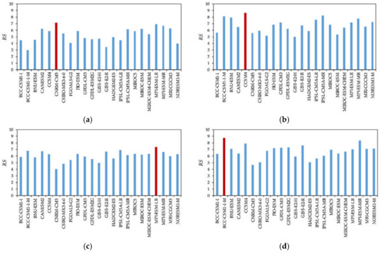
3.1.1. Rank Scoring of Different Climate Variables
3.1.2. Sensitivity Analysis on Score-Based Evaluation Results
3.2. Projection of Future Climate Change
3.2.1. Screen Predictors
3.2.2. SDSM Calibration and Validation
3.2.3. Future Precipitation Scenarios
3.2.4. Future Maximum Air Temperature Scenarios
3.2.5. Future Minimum Air Temperature Scenarios
4. Conclusions
Author Contributions
Funding
Acknowledgments
Conflicts of Interest
References
- Ma, Y.; Liu, H.Z.; Jin, L. Development and research progress for regional climate model. Gansu Sci. Technol. 2006, 22, 137–139. (In Chinese) [Google Scholar]
- Ministry of Water Resources of the People’s Republic of China. Recent Management Plan for the Heihe River Basin; China Water Conservancy and Hydropower Press: Beijing, China, 2001. (In Chinese)
- Zhao, C.Y.; Nan, Z.R.; Cheng, G.D.; Zou, S.B.; Zhang, Y.Z. Prediction of the trend of the future climate change in Northwestern China by statistical downscaling. J. Lanzhou Univ. 2008, 44, 12–25. (In Chinese) [Google Scholar]
- Chen, Y.N.; Li, Z.; Fan, Y.T.; Wang, H.J.; Deng, H.J. Progress and prospect prospects of climate change impacts on hydrology in the arid region of northwest China. Environ. Res. 2005, 139, 11–19. [Google Scholar] [CrossRef] [PubMed]
- Chen, Y.N.; Yang, Q.; Luo, Y.; Shen, Y.J.; Pan, X.L.; Li, L.H.; Li, Z.Q. Ponder on the issue of water resources in the arid region of northwest China. Arid Land Geogr. 2012, 35, 1–9. (In Chinese) [Google Scholar]
- Wang, H.J.; Chen, Y.N.; Chen, Z.S. Spatial distribution and temporal trends of mean precipitation and extremes in the arid region, northwest of China, during 1960–2010. Hydrol. Process. 2013, 27, 1807–1818. [Google Scholar] [CrossRef]
- Shang, S.S.; Lian, L.S.; Ma, T.; Han, T. Spatiotemporal variation of temperature and precipitation in northwest China in recent 54 years. Arid Zone Res. 2018, 35, 68–76. (In Chinese) [Google Scholar]
- Xiao, G.J.; Zhang, Q.; Li, Y.; Wang, R.Y.; Yao, Y.B.; Zhao, H.; Bai, H.Z. Impact of temperature increase on the yield of winter wheat at low and high altitudes in semiarid northwestern China. Agric. Water. Manag. 2010, 97, 1360–1364. [Google Scholar] [CrossRef]
- Wang, H.J.; Chen, Y.N.; Li, W.H. Hydrological extreme variability in the headwater of Tarim River: Links with atmospheric teleconnection and regional climate. Stoch. Environ. Res. Risk. Assess. 2014, 28, 443–453. [Google Scholar] [CrossRef]
- Zhao, Y.F.; Zhang, B.; Zhang, Y.N.; Wang, Q.; He, X.Q.; Yin, H.X. Impacts of climate change on agriculture production in the Heihe river basin in recent 50 years. J. Arid Land Res. Environ. 2012, 26, 130–136. (In Chinese) [Google Scholar]
- Wang, Y.H.; Li, Z.L.; Zhao, W. Non-stationary frequency analysis of extreme high temperature in the Heihe River Basin. Geogr. Res. 2017, 36, 755–764. (In Chinese) [Google Scholar]
- Foley, A.; Kelman, I. EURO-CORDEX regional climate model simulation of precipitation on Scottish islands (1971–2000): Model performance and implications for decision-making in topographically complex regions. Int. J. Climatol. 2018, 38, 1087–1095. [Google Scholar] [CrossRef]
- Gao, X.J.; Wang, M.L.; Giorgi, F. Climate change over China in the 21st century as simulated by BCC_CSM1.1-RegCM4.0. Atmos Ocean. Sci. Lett. 2013, 6, 381–386. [Google Scholar]
- Wang, X.Y.; Yang, T.; Shao, Q.X.; Acharya, K.; Wang, W.G.; Yu, Z.B. Statistical downscaling of extremes of precipitation and temperature and construction of their future scenarios in an elevated and cold zone. Stoch. Environ. Res. Risk. Assess. 2012, 26, 405–418. [Google Scholar] [CrossRef]
- Khalili, M.; Van Nguyen, V.T. An efficient statistical approach to multi-site downscaling of daily precipitation series in the context of climate change. Clim. Dyn. 2017, 49, 2261–2278. [Google Scholar] [CrossRef]
- Wilby, R.L.; Dawson, C.W.; Barrow, E.M. SDSM—A decision support tool for the assessment of regional climate change impacts. Environ. Modell. Softw. 2002, 17, 145–157. [Google Scholar] [CrossRef]
- Stennett-Brown, R.K.; Jones, J.J.P.; Stephenson, T.S.; Taylor, M.A. Future Caribbean temperature and rainfall extremes from statistical downscaling. Int. J. Climatol. 2017, 37, 4828–4845. [Google Scholar] [CrossRef]
- Tang, J.P.; Niu, X.R.; Wang, S.Y.; Gao, H.X.; Wang, X.Y.; Wu, J. Statistical downscaling and dynamical downscaling of regional climate in China: Present climate evaluations and future climate projections. J. Geophys. Res.-Atmos. 2016, 121, 2110–2129. [Google Scholar] [CrossRef]
- Gulacha, M.M.; Mulungu, D.M.M. Generation of climate change scenarios for precipitation and temperature at local scales using SDSM in Wami-Ruvu River Basin Tanzania. Phys. Chem. Earth Parts A/B/C 2017, 100, 62–72. [Google Scholar] [CrossRef]
- Hoan, N.X.; Khoi, D.N.; Nhi, P.T.T. Uncertainty assessment of streamflow projection under the impact of climate change in the Lower Mekong Basin: A case study of the Srepok River Basin, Vietnam. Water Environ. J. 2018, 32, 1–12. [Google Scholar] [CrossRef]
- Hassan, Z.; Shamsudin, S.; Harun, S. Application of SDSM and LARS-WG for simulating and downscaling of rainfall and temperature. Theor. Appl Climatol. 2014, 116, 243–257. [Google Scholar] [CrossRef]
- Badou, D.F.; Diekkrüger, B.; Kapangaziwiri, E.; Mbaye, M.L.; Yira, Y.; Lawin, E.A.; Oyerinde, G.T.; Afouda, A. Modelling blue and green water availability under climate change in the Beninese Basin of the Niger River Basin, West Africa. Hydrol. Process. 2018, 32, 2526–2542. [Google Scholar] [CrossRef]
- Chen, J.; Brissette, F.P.; Annie, P.; Leconte, R. Overall uncertainty study of the hydrological impacts of climate change for a Canadian watershed. Water. Resour. Res. 2011, 47, 1–16. [Google Scholar] [CrossRef]
- Elguindi, N.; Grundstein, A.; Feddema, J.J. Assessment of CMIP5 global model simulations and climate change projections for the 21st century using a modified Thornthwaite climate classification. Clim. Chang. 2014, 122, 523–538. [Google Scholar] [CrossRef]
- Shi, Y.; Gao, X.J.; Zhang, D.F.; Giorgi, F. Climate change over the Yarlung Zangbo-Brahmaputra River Basin in the 21st century as simulated by a high resolution regional climate model. Quatern. Int. 2011, 244, 159–168. [Google Scholar] [CrossRef]
- Dessai, S.; Hulme, M. Assessing the robustness of adaptation decisions to climate change uncertainties: A case study on water resources management in the East of England. Glob. Environ. Chang. 2007, 17, 59–72. [Google Scholar] [CrossRef]
- Fu, G.B.; Liu, Z.F.; Charles, S.P.; Xu, Z.X.; Yao, Z.Y. A score-based method for assessing the performance of GCMs: A case study of southeastern Australia. J. Geophys. Res.-Atmos. 2013, 118, 4154–4167. [Google Scholar] [CrossRef]
- Zhang, L.; Nan, Z.T.; Yu, W.J.; Ge, Y.C. Modeling Land-Use and Land-Cover Change and Hydrological Responses under Consistent Climate Change Scenarios in the Heihe River Basin, China. Water. Resour. Manag. 2015, 29, 4701–4717. [Google Scholar] [CrossRef]
- Zang, C.F.; Liu, J.G. Spatial and temporal pattern difference of blue-green water flows in typical reference years in the Heihe river basin, northwestern China. J. Beijing Forest. Univ. 2013, 35, 1–10. (In Chinese) [Google Scholar]
- Wu, F.; Zhan, J.Y.; Wang, Z.; Zhang, Q. Streamflow variation due to glacier melting and climate change in upstream Heihe River Basin, Northwest China. Phys. Chem. Earth. 2015, 79–82, 11–19. [Google Scholar] [CrossRef]
- Zhang, A.J.; Zheng, C.M.; Yao, Y.Y. Analysis of streamflow variations in the Heihe River Basin, northwest China: Trends, abrupt changes, driving factors and ecological influences. J. Hydrol. Reg. Study 2015, 3, 106–124. [Google Scholar] [CrossRef]
- Bao, X.H.; Zhang, F.Q. Evaluation of NCEP-CFSR, NCEP-NCAR, ERA-Interim, and ERA-40 reanalysis datasets against independent sounding observations over the Tibetan Plateau. J. Clim. 2013, 26, 206–214. [Google Scholar] [CrossRef]
- Frauenfeld, O.W.; Zhang, T.J.; Serreze, M.C. Climate change and variability using European Centre for Medium-Range Weather Forecasts reanalysis (ERA-40) temperatures on the Tibetan Plateau. J. Geophys. Res.-Atmos. 2005, 110, D02101. [Google Scholar] [CrossRef]
- Hu, L.S.; Huang, G.; Hu, K.M. The performance of multiple datasets in characterizing the changes of extreme air temperature over China during 1979 to 2012. Theor. Appl. Climatol. 2018, 133, 619–632. [Google Scholar] [CrossRef]
- Van Vuuren, D.P.; Edmonds, J.; Kainuma, M.; Riahi, K.; Thomson, A.; Hibbard, K.; Hurtt, G.C.; Kram, T.; Krey, V.; Lamarque, J.F.; et al. The representative concentration pathways: An overview. Clim. Chang. 2011, 109, 5–31. [Google Scholar] [CrossRef]
- Johnson, F.; Sharma, A. A nesting model for bias correction of variability at multiple time scales in general circulation model precipitation simulations. Water. Resour. Res. 2012, 48, W01504. [Google Scholar] [CrossRef]
- Rosenberg, E.A.; Keys, P.W.; Booth, D.B.; Hartley, D.; Burkey, J.; Steinemann, A.C.; Lettenmaier, D.P. Precipitation extremes and the impacts of climate change on stormwater infrastructure in Washington State. Clim. Chang. 2010, 102, 319–349. [Google Scholar] [CrossRef]
- Chen, J.; Chen, H.; Guo, S.L. Multi-site precipitation downscaling using a stochastic weather generator. Clim. Dyn. 2017, 50, 1975–1992. [Google Scholar] [CrossRef]
- Kudo, R.; Yoshida, T.; Masumoto, T. Uncertainty analysis of impacts of climate change on snow processes: Case study of interactions of GCM uncertainty and an impact model. J. Hydrol. 2017, 548, 196–207. [Google Scholar] [CrossRef]
- Vetter, T.; Reinhardt, J.; Floerke, M.; Van Griensven, A.; Hattermann, F.; Huang, S.C.; Koch, H.; Pechlivanidis, I.G.; Plӧtner, S.; Seidou, O.; et al. Evaluation of sources of uncertainty in projected hydrological changes under climate change in 12 large-scale river basins. Clim. Chang. 2017, 141, 419–433. [Google Scholar] [CrossRef]
- Harvey, L.D.D.; Wigley, T.M.L. Characterizing and comparing control-run variability of eight coupled AOGCMs and of observations. Part 1: Temperature. Clim. Dyn. 2003, 21, 619–646. [Google Scholar] [CrossRef]
- Nyeko-Ogiramoi, P.; Ngirane-Katashaya, G.; Willems, P.; Ntegeka, V. Evaluation and inter-comparison of Global Climate Models’ performance over Katonga and Ruizi catchments in Lake Victoria basin. Phys. Chem. Earth 2010, 35, 618–633. [Google Scholar] [CrossRef]
- Wilby, R.L.; Hay, L.E.; Leavesley, G.H. A comparison of downscaled and raw GCM output: Implications for climate change scenarios in the San Juan River basin, Colorado. J. Hydrol. 1999, 225, 67–91. [Google Scholar] [CrossRef]
- Wilby, R.L.; Hassan, H.; Hanaki, K. Statistical downscaling of hydrometeorological variables using general circulation model output. J. Hydrol. 1998, 205, 1–19. [Google Scholar] [CrossRef]
- Xu, Y.; Wang, S.J.; Bai, X.Y.; Li, X.Y.; Shi, X.M.; Tian, Y.C.; Wu, L.H. Simulation of future scenarios of climate change in the middle and upper reaches of the Peal River using the Statistical Down Scaling Model (SDSM). Carsol. Sin. 2018, 37, 228–237. (In Chinese) [Google Scholar]
- Wilby, R.L.; Wigley, T.M.L. Precipitation predictors for downscaling: Observed and general circulation model relationships. Int. J. Climatol. 2000, 20, 641–661. [Google Scholar] [CrossRef]
- Hessami, M.; Gachon, P.; Ouarda, T.; St-Hilaire, A. Automated regression-based statistical downscaling tool. Environ. Modell. Softw. 2008, 23, 813–834. [Google Scholar] [CrossRef]
- Guo, Z.Z. Evaluation of Water Productivity in Irrigated Areas of the Middle Heihe River Basin under Climate Change. Master’s Thesis, China Agricultural University, Beijing, China, 2017. (In Chinese). [Google Scholar]
- Cavazos, T.; Hewitson, B.C. Performance of NCEP-NCAR reanalysis variables in statistical downscaling of daily precipitation. Clim. Res. 2005, 28, 95–107. [Google Scholar]
- Fan, L.J.; Fu, Z.B.; Chen, D.L. Review on creating future climate change scenarios by statistical downscaling techniques. Adv. Earth science. 2005, 20, 320–329. (In Chinese) [Google Scholar]
- Qi, X.F.; L, W.P.; Li, H.T.; Liu, H.W. Future climate change prediction of arid inland river basin based on CMIP5 model. Arid Land Geogr. 2017, 40, 987–996. (In Chinese) [Google Scholar]
- Hao, L.N.; Su, X.L.; Wang, N. Future spatial and temporal changes of temperature and precipitation in Hexi corridor based on SDSM. Nat. Sci. Ed. 2015, 43, 119–228. (In Chinese) [Google Scholar]
- Lioubimtseva, E.; Cole, R. Uncertainties of climate change in arid environments of Central Asia. Rev. Fish. Sci. 2006, 14, 29–49. [Google Scholar] [CrossRef]
- Liu, Z.F. Impacts of Climate Change on Main Hydrological Factors: In the Source Region of the Tarim River Basin. Ph.D. Thesis, Beijing Normal University, Beijing, China, 2010. (In Chinese). [Google Scholar]









| GCM | Model | Source | Spatial Resolution |
|---|---|---|---|
| 1 | BCC-CSM 1-1 | Beijing Climate Center, China Meteorological Administration, China | 2.7906° × 2.8125° |
| 2 | BCC-CSM1-1-M | Beijing Climate Center, China Meteorological Administration, China | 1.125° × 1.125° |
| 3 | BNU-ESM | Beijing Normal University, China | 2.7906° × 2.8125° |
| 4 | CanESM2 | Canadian Centre for Climate Modelling and Analysis, Canada | 2.7906° × 2.8125° |
| 5 | CCSM4 | National Center for Atmospheric Research (NCAR), USA | 0.9424° × 1.25° |
| 6 | CNRM-CM5 | Centre National de Recherches Meteorologiques, Meteo-France, France | 1.4005° × 1.4065° |
| 7 | CSIRO-Mk3.6.0 | Australian Commonwealth Scientific and Industrial Research Organization, Australia | 1.8653° × 1.875° |
| 8 | FGOALS-g2 | Institute of Atmospheric Physics, Chinese Academy of Sciences, China | 2.7906° × 2.8125° |
| 9 | FIO-ESM | The First Institute of Oceanography, SOA, China | 2.7906° × 2.8125° |
| 10 | GFDL-CM3 | Geophysical Fluid Dynamics Laboratory, USA | 2° × 2.5° |
| 11 | GFDL-ESM2G | Geophysical Fluid Dynamics Laboratory, USA | 2° × 2.5° |
| 12 | GISS-E2-H | NASA Goddard Institute for Space Studies, USA | 2° × 2.5° |
| 13 | GISS-E2-R | NASA Goddard Institute for Space Studies, USA | 2° × 2.5° |
| 14 | HadGEM2-ES | Met Office Hadley Centre, UK | 1.25° × 1.875° |
| 15 | IPSL-CM5A-LR | Institut Pierre-Simon Laplace, France | 1.8947° × 3.75° |
| 16 | IPSL-CM5A-MR | Institut Pierre-Simon Laplace, France | 1.2676° × 2.5° |
| 17 | MIROC5 | Atmosphere and Ocean Research Institute (The University of Tokyo), National Institute for Environmental Studies, and Japan Agency for Marine-Earth Science and Technology, Japan | 1.4005° × 1.4065° |
| 18 | MIROC-ESM | Atmosphere and Ocean Research Institute (The University of Tokyo), National Institute for Environmental Studies, and Japan Agency for Marine-Earth Science and Technology, Japan | 2.7906° × 2.8125° |
| 19 | MIROC-ESM-CHEM | Atmosphere and Ocean Research Institute (The University of Tokyo), National Institute for Environmental Studies, and Japan Agency for Marine-Earth Science and Technology, Japan | 2.7906° × 2.8125° |
| 20 | MPI-ESM-LR | Max Planck Institute for Meteorology, Germany | 1.8653° × 1.875° |
| 21 | MPI-ESM-MR | Max Planck Institute for Meteorology, Germamy | 1.8653° × 1.875° |
| 22 | MRI-CGCM3 | Meteorological Research Institute, Japan | 2.2145° × 1.125° |
| 23 | NorESM1-M | Norwegian Climate Centre, Norway | 1.8947° × 2.5° |
| Statistics of Climate Variables | Methods |
|---|---|
| Mean | Relative Error (%) |
| Standard deviation | Relative Error (%) |
| Temporal variation | NRMSE |
| Monthly distribution(Annual cycle) | Correlation Coefficient |
| Spatial distribution | Correlation Coefficient |
| Trend and its magnitude | Mann-Kendall test Z |
| Mann-Kendall test β | |
| Space-time variability | EOF1 |
| EOF2 | |
| Probability density functions (PDFs) | BS |
| Sscore |
| Stations | Tmax | Tmin | Tmean | Precipitation |
|---|---|---|---|---|
| Jikede | mslp, p5ta, p7ta, p8ta, ta2m | mslp, p5ta, p7ta, p8ta, ta2m, p7hu, p8hu | mslp, p5ta, p7ta, p8ta, ta2m | lspr, mslp, p7ta, p8ta, ta2m, p7hu, p8hu |
| Ejin Banner | mslp, p7ta, p8ta, ta2m | mslp, p5ta, p7ta, p8ta, ta2m, p7hu, p8hu | mslp, p5ta, p7ta, p8ta, ta2m | lspr, p7ta, p8ta, ta2m, p5hu, p7hu, p8hu |
| Guaizihu | mslp, p7ta, p8ta, ta2m | mslp, p5ta, p7ta, p8ta, ta2m | mslp, p7ta, p8ta, ta2m | lspr, p7ta, p8ta, ta2m, p5hu, p7hu, p8hu |
| Yumen Town | mslp, p7ta, p8ta, ta2m | mslp, p5ta, p7ta, p8ta, ta2m, p7hu | mslp, p7ta, p8ta, ta2m | lspr, mslp, p7ta, p8ta, ta2m, p7hu, p8hu |
| Jiuquan | mslp, p7ta, p8ta, ta2m | mslp, p5ta, p7ta, p8ta, ta2m, p7hu | mslp, p7ta, p8ta, ta2m | lspr, mslp, p7ta, p8ta, ta2m, p7hu, p8hu |
| Jinta | mslp, p7ta, p8ta, ta2m | mslp, p5ta, p7ta, p8ta, ta2m, p7hu, p8hu | mslp, p7ta, p8ta, ta2m | lspr, mslp, p7ta, p8ta, ta2m, p7hu, p8hu |
| Dingxin | mslp, p7ta, p8ta, ta2m | mslp, p5ta, p7ta, p8ta, ta2m, p7hu, p8hu | mslp, p7ta, p8ta, ta2m | lspr, mslp, p7ta, p8ta, ta2m, p7hu, p8hu |
| Gaotai | mslp, p7ta, p8ta, ta2m | p5ta, p8ta, ta2m, p7hu, p8hu | mslp, p7ta, p8ta, ta2m | lspr, mslp, p7ta, p8ta, ta2m, p7hu, p8hu |
| Alxa Right Banner | mslp, p7ta, p8ta, ta2m | mslp, p5ta, p7ta, p8ta, ta2m | mslp, p7ta, p8ta, ta2m | lspr, mslp, p7ta, p8ta, ta2m, p7hu, p8hu |
| Tuole | mslp, p5ta, p7ta, p8ta, ta2m | p5ta, ta2m, p8hu | p5ta, p7ta, p8ta, ta2m | lspr, mslp, p7ta, p8ta, ta2m, p8hu |
| Yeniugou | mslp, p5ta, p7ta, p8ta, ta2m | p5ta, ta2m, p5hu, p7hu, p8hu | p5ta, p7ta, p8ta, ta2m | lspr, mslp, p7ta, p8ta, ta2m, p7hu, p8hu |
| Zhangye | mslp, p7ta, p8ta, ta2m | p5ta, ta2m, p5hu, p7hu, p8hu | mslp, p5ta, p7ta, p8ta, ta2m | lspr, mslp, p7ta, p8ta, ta2m, p7hu, p8hu |
| Qilian | mslp, p5ta, p7ta, p8ta, ta2m | ta2m, p5hu, p7hu, p8hu | mslp, p5ta, p7ta, p8ta, ta2m | lspr, mslp, p7ta, p8ta, ta2m, p7hu, p8hu |
| Gangcha | mslp, p5ta, p7ta, p8ta, ta2m | p5ta, ta2m, p5hu, p7hu, p8hu | p5ta, p7ta, p8ta, ta2m | lspr, mslp, p7ta, p8ta, ta2m, p7hu, p8hu |
| Shandan | mslp, p7ta, p8ta, ta2m | p5ta, p8ta, ta2m, p5hu, p7hu, p8hu | mslp, p5ta, p7ta, p8ta, ta2m | lspr, mslp, p7ta, p8ta, ta2m, p7hu, p8hu |
| Yongchang | mslp, p7ta, p8ta, ta2m | p5ta, p8ta, ta2m, p5hu, p7hu, p8hu | mslp, p7ta, p8ta, ta2m | lspr, mslp, p7ta, p8ta, ta2m, p7hu, p8hu |
| Menyuan | mslp, p5ta, p7ta, p8ta, ta2m | p5ta, ta2m, p5hu, p7hu, p8hu | mslp, p5ta, p7ta, p8ta, ta2m | lspr, mslp, p7ta, p8ta, ta2m, p7hu, p8hu |
| Stations | Tmax | Tmin | Tmin | Precipitation | ||||
|---|---|---|---|---|---|---|---|---|
| Calibration | Validation | Calibration | Validation | Calibration | Validation | Calibration | Validation | |
| Ejin Banner | 0.985 | 0.989 | 0.952 | 0.959 | 0.983 | 0.987 | 0.379 | 0.626 |
| Jikede | 0.981 | 0.987 | 0.938 | 0.953 | 0.978 | 0.984 | 0.355 | 0.535 |
| Guaizihu | 0.972 | 0.984 | 0.933 | 0.939 | 0.980 | 0.982 | 0.449 | 0.510 |
| Yumenzhen | 0.977 | 0.978 | 0.949 | 0.942 | 0.981 | 0.981 | 0.593 | 0.492 |
| Jiuquan | 0.980 | 0.983 | 0.953 | 0.956 | 0.981 | 0.983 | 0.559 | 0.629 |
| Jinta | 0.978 | 0.978 | 0.960 | 0.950 | 0.982 | 0.979 | 0.637 | 0.711 |
| Dingxin | 0.975 | 0.976 | 0.956 | 0.953 | 0.981 | 0.979 | 0.649 | 0.571 |
| Gaotai | 0.974 | 0.976 | 0.942 | 0.942 | 0.977 | 0.977 | 0.602 | 0.689 |
| Alxa Right Banner | 0.972 | 0.975 | 0.944 | 0.950 | 0.980 | 0.983 | 0.595 | 0.708 |
| Tuole | 0.959 | 0.966 | 0.940 | 0.945 | 0.965 | 0.972 | 0.791 | 0.798 |
| Yeniugou | 0.948 | 0.953 | 0.928 | 0.937 | 0.960 | 0.965 | 0.837 | 0.840 |
| Zhangye | 0.940 | 0.937 | 0.941 | 0.942 | 0.963 | 0.962 | 0.607 | 0.617 |
| Qilian | 0.956 | 0.958 | 0.878 | 0.884 | 0.970 | 0.972 | 0.811 | 0.812 |
| Gangcha | 0.959 | 0.960 | 0.948 | 0.956 | 0.975 | 0.977 | 0.633 | 0.775 |
| Shandan | 0.961 | 0.965 | 0.931 | 0.924 | 0.975 | 0.973 | 0.684 | 0.744 |
| Yongchang | 0.944 | 0.949 | 0.938 | 0.944 | 0.964 | 0.967 | 0.840 | 0.874 |
| Menyuan | 0.921 | 0.927 | 0.906 | 0.916 | 0.954 | 0.957 | 0.806 | 0.796 |
| Stations | Tmax | Tmin | Tmin | Precipitation | ||||
|---|---|---|---|---|---|---|---|---|
| Calibration | Valitation | Calibration | Valitation | Calibration | Valitation | Calibration | Valitation | |
| Ejin Banner | 1.755 | 1.474 | 3.013 | 2.764 | 1.841 | 1.607 | 4.807 | 4.053 |
| Jikede | 1.953 | 1.557 | 3.402 | 2.946 | 2.106 | 1.772 | 4.891 | 2.535 |
| Guaizihu | 2.388 | 1.797 | 3.540 | 3.504 | 1.991 | 1.920 | 5.473 | 5.509 |
| Yumenzhen | 1.829 | 1.818 | 2.492 | 2.614 | 1.633 | 1.654 | 5.579 | 5.294 |
| Jiuquan | 1.802 | 1.587 | 2.566 | 2.435 | 1.689 | 1.585 | 5.113 | 4.984 |
| Jinta | 1.884 | 1.862 | 2.268 | 2.487 | 1.660 | 1.750 | 4.755 | 5.029 |
| Dingxin | 1.882 | 1.820 | 2.296 | 2.357 | 1.610 | 1.656 | 7.083 | 7.087 |
| Gaotai | 1.933 | 1.816 | 2.637 | 2.561 | 1.762 | 1.725 | 8.483 | 6.811 |
| Alxa Right Banner | 2.061 | 1.891 | 2.874 | 2.752 | 1.711 | 1.588 | 9.348 | 7.674 |
| Tuole | 1.903 | 1.790 | 2.760 | 2.662 | 1.953 | 1.773 | 14.057 | 14.814 |
| Yeniugou | 1.987 | 1.921 | 2.975 | 2.789 | 1.974 | 1.860 | 16.776 | 16.742 |
| Zhangye | 2.820 | 2.908 | 2.722 | 2.689 | 2.221 | 2.259 | 9.161 | 8.380 |
| Qilian | 1.938 | 1.900 | 2.866 | 2.566 | 1.675 | 1.637 | 16.701 | 18.339 |
| Gangcha | 2.275 | 2.221 | 2.590 | 2.425 | 1.832 | 1.768 | 12.581 | 9.468 |
| Shandan | 2.039 | 1.945 | 2.638 | 2.764 | 1.644 | 1.681 | 11.571 | 11.940 |
| Yongchang | 1.947 | 1.873 | 2.368 | 2.311 | 1.687 | 1.637 | 14.761 | 13.258 |
| Menyuan | 2.393 | 2.401 | 3.138 | 3.031 | 2.011 | 1.965 | 19.728 | 19.627 |
| Stations | Tmax | Tmin | Tmin | Precipitation | ||||
|---|---|---|---|---|---|---|---|---|
| Calibration | Valitation | Calibration | Valitation | Calibration | Valitation | Calibration | Valitation | |
| Ejin Banner | 0.985 | 0.988 | 0.952 | 0.955 | 0.983 | 0.986 | 0.333 | 0.623 |
| Jikede | 0.981 | 0.987 | 0.938 | 0.948 | 0.978 | 0.983 | 0.354 | 0.538 |
| Guaizihu | 0.972 | 0.983 | 0.933 | 0.932 | 0.980 | 0.981 | 0.411 | 0.450 |
| Yumenzhen | 0.977 | 0.977 | 0.949 | 0.942 | 0.981 | 0.980 | 0.592 | 0.487 |
| Jiuquan | 0.980 | 0.983 | 0.953 | 0.955 | 0.981 | 0.982 | 0.555 | 0.628 |
| Jinta | 0.978 | 0.977 | 0.960 | 0.950 | 0.982 | 0.979 | 0.611 | 0.709 |
| Dingxin | 0.975 | 0.975 | 0.956 | 0.953 | 0.981 | 0.979 | 0.647 | 0.521 |
| Gaotai | 0.974 | 0.975 | 0.942 | 0.942 | 0.977 | 0.976 | 0.584 | 0.676 |
| Alxa Right Banner | 0.972 | 0.975 | 0.944 | 0.946 | 0.980 | 0.982 | 0.593 | 0.707 |
| Tuole | 0.959 | 0.963 | 0.940 | 0.945 | 0.965 | 0.971 | 0.780 | 0.788 |
| Yeniugou | 0.948 | 0.951 | 0.928 | 0.936 | 0.960 | 0.964 | 0.824 | 0.825 |
| Zhangye | 0.940 | 0.933 | 0.941 | 0.941 | 0.963 | 0.961 | 0.572 | 0.614 |
| Qilian | 0.956 | 0.957 | 0.954 | 0.984 | 0.970 | 0.971 | 0.809 | 0.794 |
| Gangcha | 0.959 | 0.958 | 0.948 | 0.949 | 0.975 | 0.974 | 0.622 | 0.766 |
| Shandan | 0.961 | 0.963 | 0.931 | 0.923 | 0.975 | 0.973 | 0.674 | 0.740 |
| Yongchang | 0.944 | 0.949 | 0.938 | 0.942 | 0.964 | 0.967 | 0.838 | 0.873 |
| Menyuan | 0.921 | 0.925 | 0.906 | 0.910 | 0.954 | 0.956 | 0.799 | 0.779 |
© 2019 by the authors. Licensee MDPI, Basel, Switzerland. This article is an open access article distributed under the terms and conditions of the Creative Commons Attribution (CC BY) license (http://creativecommons.org/licenses/by/4.0/).
Share and Cite
Wang, R.; Cheng, Q.; Liu, L.; Yan, C.; Huang, G. Multi-Model Projections of Climate Change in Different RCP Scenarios in an Arid Inland Region, Northwest China. Water 2019, 11, 347. https://doi.org/10.3390/w11020347
Wang R, Cheng Q, Liu L, Yan C, Huang G. Multi-Model Projections of Climate Change in Different RCP Scenarios in an Arid Inland Region, Northwest China. Water. 2019; 11(2):347. https://doi.org/10.3390/w11020347
Chicago/Turabian StyleWang, Ruotong, Qiuya Cheng, Liu Liu, Churui Yan, and Guanhua Huang. 2019. "Multi-Model Projections of Climate Change in Different RCP Scenarios in an Arid Inland Region, Northwest China" Water 11, no. 2: 347. https://doi.org/10.3390/w11020347
APA StyleWang, R., Cheng, Q., Liu, L., Yan, C., & Huang, G. (2019). Multi-Model Projections of Climate Change in Different RCP Scenarios in an Arid Inland Region, Northwest China. Water, 11(2), 347. https://doi.org/10.3390/w11020347

