Impacts of Climate Change on Streamflow to Ban Chat Reservoir
Abstract
1. Introduction
2. Materials and Methods
2.1. Study Area
2.2. Data Collection
2.2.1. Hydrometeorological Data
2.2.2. CMIP6 Data
2.3. Quantile Delta Mapping
2.4. HEC-HMS Model Description
2.5. Evaluation of Bias Correction Performance
3. Results and Discussions
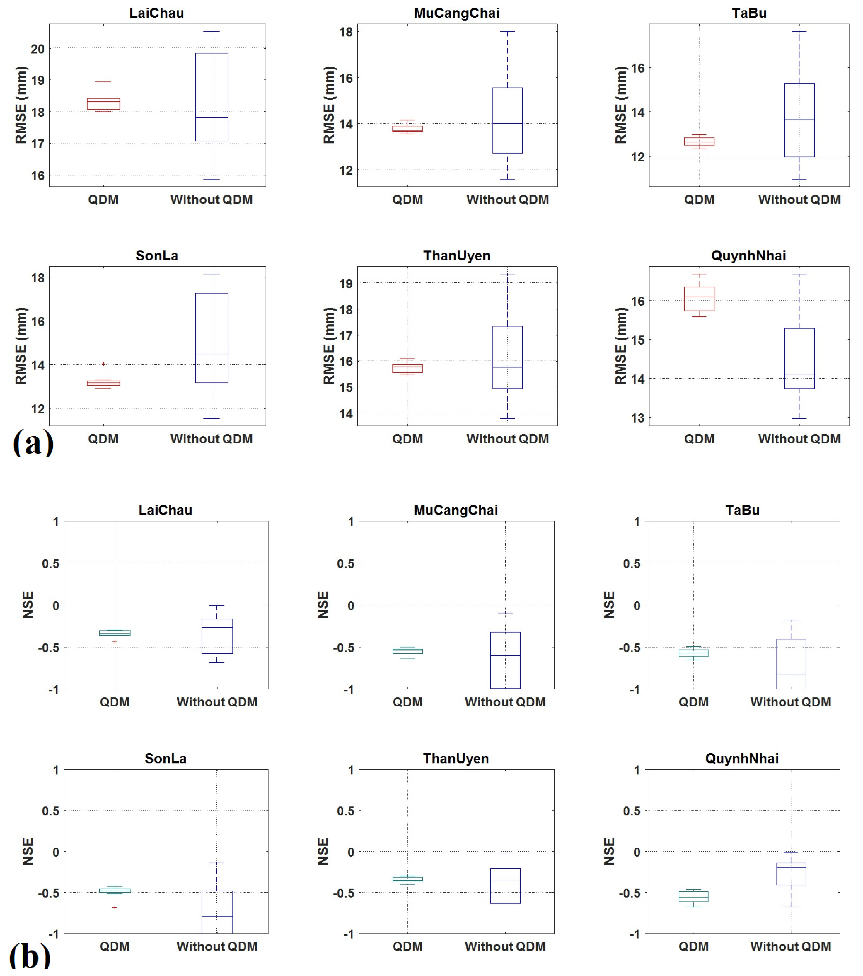
3.1. Bias Correction
3.2. Hydrologic Model Performance
3.3. Impact of Climate Change on Streamflow
4. Conclusions
Author Contributions
Funding
Institutional Review Board Statement
Informed Consent Statement
Data Availability Statement
Conflicts of Interest
References
- IPCC AR4 WG1; Solomon, S.; Qin, D.; Manning, M.; Chen, Z.; Marquis, M.; Averyt, K.B.; Tignor, M.; Miller, H.L. (Eds.) Climate Change 2007: The Physical Science Basis, Contribution of Working Group I to the Fourth Assessment Report of the Intergovernmental Panel on Climate Change; Cambridge University Press: Cambridge, UK, 2007; ISBN 978-0-521-88009-1. [Google Scholar]
- IPCC AR5. Climate Change 2014: Synthesis Report. Contribution of Working Groups I, II and III to the Fifth Assessment Report of the Intergovernmental Panel on Climate Change; Core Writing Team, Pachauri, R.K., Meyer, L.A., Eds.; IPCC: Geneva, Switzerland, 2013; p. 151. [Google Scholar]
- IPCC AR6; Masson-Delmotte, V.; Zhai, P.; Pirani, A.; Connors, S.L.; Péan, C.; Berger, S.; Huang, M.; Yelekçi, O.; Zhou, B.; et al. Climate change 2021: The physical science basis. In Contribution of Working Group I to the Sixth Assessment Report of the Intergovernmental Panel on Climate Change; Cambridge University Press: Cambridge, UK, 2021. [Google Scholar]
- Pachauri, R.K.; Allen, M.R.; Barros, V.R.; Broome, J.; Cramer, W.; Christ, R.; Church, J.A.; Clarke, L.; Dahe, Q.; Dasgupta, P.; et al. Climate change 2014: Synthesis report. In Contribution of Working Groups I, II and III to the Fifth Assessment Report of the Intergovernmental Panel on Climate Change; IPCC: Geneva, Switzerland, 2014; p. 151. [Google Scholar]
- Arns, S.; Hellmig, M. Effects of Heavy Rainfall on Construction-Related Infrastructure. In Federal Institute for Research on Building; Urban Affairs and Spatial Development (BBSR): Berlin, Germany, 2018. [Google Scholar]
- Do, V.Q.; Phung, M.L.; Truong, D.T.; Pham, T.T.T.; Dang, V.T.; Nguyen, T.K. The impact of extreme events and climate change on agricultural and fishery enterprises in Central Vietnam. Sustainability 2021, 13, 7121. [Google Scholar] [CrossRef]
- Tahara, R.; Hiraga, Y.; Kazama, S. Climate change effects on the localized heavy rainfall event in northern Japan in 2022: Uncertainties in a pseudo-global warming approach. Atmos. Res. 2025, 314, 107780. [Google Scholar] [CrossRef]
- Tayyeh, H.K.; Mohammed, R. Vulnerability and resilience of hydropower generation under climate change scenarios: Haditha dam reservoir case study. Appl. Energy 2024, 366, 123308. [Google Scholar] [CrossRef]
- Elgendy, M.; Hassini, S.; Coulibaly, P. Review of climate change adaptation strategies in water management. J. Hydrol. Eng. 2024, 29, 03123001. [Google Scholar] [CrossRef]
- Chaves, H.M.L.; da Silva, C.C.; Fonseca, M.R.S. Reservoir reliability as affected by climate change and strategies for adaptation. Water 2023, 15, 2323. [Google Scholar] [CrossRef]
- Ngo, L.A.; Masih, I.; Jiang, Y.; Douven, W. Impact of reservoir operation and climate change on the hydrological regime of the Sesan and Srepok Rivers in the Lower Mekong Basin. Clim. Change 2018, 149, 107–119. [Google Scholar] [CrossRef]
- Sun, Z.; Xiang, F.; Chu, X. Assessing the impacts of reservoir operation on downstream water diversions using a simplified flow model. Hydrol. Sci. J. 2019, 64, 1488–1503. [Google Scholar] [CrossRef]
- Nguyen, T.T.; Nguyen, T.S.; Nguyen, D.M. Performance of Hourly Rainfall Simulations using WRF Meteorological Model for Calculation of Streamflow to Ta Trach Reservoir During 2020 Flood Season. VNU J. Sci. Earth Environ. Sci. 2023, 39, 42–52. [Google Scholar] [CrossRef]
- Hai, B.T.; Son, L.V. Research on the application of IFAS model and remote sensing data in simulating transboundary flood flows in the Thao river basin. J. Hydrometeorol. 2020, 24–36. [Google Scholar] [CrossRef]
- Boucher, O.; Servonnat, J.; Albright, A.L.; Aumont, O.; Balkanski, Y.; Bastrikov, V.; Bekki, S.; Bonnet, R.; Bony, S.; Bopp, L.; et al. Presentation and evaluation of the IPSL-CM6A-LR climate model. J. Adv. Model. Earth Syst. 2020, 12, e2019MS002010. [Google Scholar] [CrossRef]
- Giorgetta, M.A.; Jungclaus, J.; Reick, C.H.; Legutke, S.; Bader, J.; Böttinger, M.; Brovkin, V.; Crueger, T.; Esch, M.; Fieg, K.; et al. Climate and carbon cycle changes from 1850 to 2100 in MPI-ESM simulations for the Coupled Model Intercomparison Project phase 5. J. Adv. Model. Earth Syst. 2013, 5, 572–597. [Google Scholar] [CrossRef]
- Mauritsen, T.; Bader, J.; Becker, T.; Behrens, J.; Bittner, M.; Brokopf, R.; Brovkin, V.; Claussen, M.; Crueger, T.; Esch, M.; et al. Developments in the MPI-M Earth System Model version 1.2 (MPI-ESM1. 2) and its response to increasing CO2. J. Adv. Model. Earth Syst. 2019, 11, 998–1038. [Google Scholar] [CrossRef] [PubMed]
- Yukimoto, S.; Kawai, H.; Koshiro, T.; Oshima, N.; Yoshida, K.; Urakawa, S.; Tsujino, H.; Deushi, M.; Tanaka, T.; Hosaka, M.; et al. The Meteorological Research Institute Earth System Model version 2.0, MRI-ESM2. 0: Description and basic evaluation of the physical component. J. Meteorol. Soc. Jpn. Ser. II 2019, 97, 931–965. [Google Scholar] [CrossRef]
- Tatebe, H.; Ogura, T.; Nitta, T.; Komuro, Y.; Ogochi, K.; Takemura, T.; Sudo, K.; Sekiguchi, M.; Abe, M.; Saito, F.; et al. Description and basic evaluation of simulated mean state, internal variability, and climate sensitivity in MIROC6. Geosci. Model Dev. 2019, 12, 2727–2765. [Google Scholar] [CrossRef]
- Seland, Ø.; Bentsen, M.; Seland Graff, L.; Olivié, D.; Toniazzo, T.; Gjermundsen, A.; Debernard, J.B.; Gupta, A.K.; He, Y.-C.; Kirkevåg, A.; et al. The Norwegian Earth system model, NorESM2–evaluation of theCMIP6 DECK and historical simulations. Geosci. Model Dev. Discuss. 2020, 2020, 1–68. [Google Scholar]
- Wu, Z.; Shen, C.; Van Den Hengel, A. Wider or deeper: Revisiting the resnet model for visual recognition. Pattern Recog. 2019, 90, 119–133. [Google Scholar] [CrossRef]
- Cherchi, A.; Fogli, P.G.; Lovato, T.; Peano, D.; Iovino, D.; Gualdi, S.; Masina, S.; Scoccimarro, E.; Materia, S.; Bellucci, A.; et al. Global mean climate and main patterns of variability in the CMCC-CM2 coupled model. J. Adv. Model. Earth Syst. 2018, 11, 185–209. [Google Scholar] [CrossRef]
- Voldoire, A.; Saint-Martin, D.; Sénési, S.; Decharme, B.; Alias, A.; Chevallier, M.; Colin, J.; Guérémy, J.-F.; Michou, M.; Moine, M.-P.; et al. Evaluation of CMIP6 deck experiments with CNRM-CM6-1. J. Adv. Model. Earth Syst. 2019, 11, 2177–2213. [Google Scholar] [CrossRef]
- Williams, B.; Mancia, G.; Spiering, W.; Agabiti Rosei, E.; Azizi, M.; Burnier, M.; Clement, D.L.; Coca, A.; de Simone, G.; Dominiczak, A.; et al. 2018 ESC/ESH Guidelines for the management of arterial hypertension: The Task Force for the management of arterial hypertension of the European Society of Cardiology (ESC) and the European Society of Hypertension (ESH). Eur. Heart J. 2018, 39, 3021–3104. [Google Scholar] [CrossRef]
- Schmidli, J.; Frei, C.; Vidale, P.L. Downscaling from GCM precipitation: A benchmark for dynamical and statistical downscaling methods. Int. J. Climatol. J. R. Meteorol. Soc. 2006, 26, 679–689. [Google Scholar] [CrossRef]
- Teutschbein, C.; Seibert, J. Bias correction of regional climate model simulations for hydrological climate-change impact studies: Review and evaluation of different methods. J. Hydrol. 2012, 456–457, 12–29. [Google Scholar] [CrossRef]
- Themeßl, M.J.; Gobiet, A.; Heinrich, G. Empirical-statistical downscaling and error correction of regional climate models and its impact on the climate change signal. Clim. Change 2012, 112, 449–468. [Google Scholar] [CrossRef]
- Cannon, A.J.; Sobie, S.R.; Murdock, T.Q. Bias correction of GCM precipitation by quantile mapping: How well do methods preserve changes in quantiles and extremes? J. Clim. 2015, 28, 6938–6959. [Google Scholar] [CrossRef]
- Xavier, A.C.F.; Martins, L.L.; Rudke, A.P.; de Morais, M.V.B.; Martins, J.A.; Blain, G.C. Evaluation of Quantile Delta Mapping as a bias-correction method in maximum rainfall dataset from downscaled models in São Paulo state (Brazil). Int. J. Clim. 2022, 42, 175–190. [Google Scholar] [CrossRef]
- Moriasi, D.N.; Arnold, J.G.; van Liew, M.W.; Bingner, R.L.; Harmel, R.D.; Veith, T.L. Model evaluation guidelines for systematic quantification of accuracy in watershed simulations. Trans. ASABE 2007, 50, 885–900. [Google Scholar] [CrossRef]
- Willmott, C.J. On the evaluation of model performance in physical geography. In Spatial Statistics and Models; Springer: Dordrecht, The Netherlands, 1984; pp. 443–460. [Google Scholar]
- Legates, D.R.; McCabe, G.J., Jr. Evaluating the use of “goodness-of-fit” measures in hydrologic and hydroclimatic model validation. Water Resour. Res. 1999, 35, 233–241. [Google Scholar] [CrossRef]
- Gupta, H.V.; Sorooshian, S.; Yapo, P.O. Status of automatic calibration for hydrologic models: Comparison with multilevel expert calibration. J. Hydrol. Eng. 1999, 4, 135–143. [Google Scholar] [CrossRef]
- Knoben, W.J.; Freer, J.E.; Woods, R.A. Inherent benchmark or not? Comparing Nash–Sutcliffe and Kling–Gupta efficiency scores. Hydrol. Earth Syst. Sci. 2019, 23, 4323–4331. [Google Scholar] [CrossRef]
- Nash, J.E.; Sutcliffe, J.V. River flow forecasting through conceptual models part I—A discussion of principles. J. Hydrol. 1970, 10, 282–290. [Google Scholar] [CrossRef]
- Mendoza, P.A.; Clark, M.P.; Barlage, M.; Rajagopalan, B.; Samaniego, L.; Abramowitz, G.; Gupta, H. Are we unnecessarily constraining the agility of complex process-based models? Water Resour. Res. 2015, 51, 716–728. [Google Scholar] [CrossRef]
- Milly, P.C.; Betancourt, J.; Falkenmark, M.; Hirsch, R.M.; Kundzewicz, Z.W.; Lettenmaier, D.P.; Stouffer, R.J. Stationarity is dead: Whither water management? Science 2008, 319, 573–574. [Google Scholar] [CrossRef] [PubMed]
- Li, X.; Li, Z. Assessment of bias correction methods for high resolution daily precipitation projections with CMIP6 models: A Canadian case study. J. Hydrol. Reg. Stud. 2025, 58, 102223. [Google Scholar] [CrossRef]
- Hoang, L.P.; Lauri, H.; Kummu, M.; Koponen, J.; van Vliet, M.T.; Supit, I.; Hoanh, C.T. Mekong River flow and hydropower development in the context of climate change. J. Hydrol. Reg. Stud. 2019, 25, 100624. [Google Scholar]
- Lauri, H.; De Moel, H.; Ward, P.J.; Räsänen, T.A.; Keskinen, M.; Kummu, M. Future changes in Mekong River hydrology: Impact of climate change and reservoir operation on discharge. Hydrol. Earth Syst. Sci. 2012, 16, 4603–4619. [Google Scholar] [CrossRef]
- Nepal, S.; Shrestha, A.B.; Shrestha, M. Future hydrological extremes in the Upper Indus, Ganges, and Brahmaputra River basins. Clim. Change 2021, 165, 1–20. [Google Scholar]
- Immerzeel, W.W.; Van Beek, L.P.; Bierkens, M.F. Climate change will affect the Asian water towers. Science 2013, 328, 1382–1385. [Google Scholar] [CrossRef] [PubMed]





| Model | Abbreviation | Spatial Resolution (°) | Grid Size (km) | Temporal Resolution |
|---|---|---|---|---|
| IPSL-CM6A-LR | IPS | ~2.5° × 1.3° | ~250 km | Daily |
| MPI-ESM1-2-LR | MPI | ~1.9° × 1.9° | ~200 km | Daily |
| MRI-ESM2-0 | MRI | ~1.1° × 1.1° | ~110 km | Daily |
| MIROC6 | MIR | ~1.4° × 1.4° | ~140 km | Daily |
| NorESM2-MM | NOR | ~1.9° × 1.9° | ~200 km | Daily |
| BCC-CSM2-MR | BCC | ~1.1° × 1.1° | ~110 km | Daily |
| CMCC-ESM2 | CMC | ~1.0° × 1.0° | ~100 km | Daily |
| CNRM-CM6-1-HR | CNR | ~0.5° × 0.5° | ~50 km | Daily |
| HadGEM3-GC31-MM | HAD | ~0.83° × 0.56° | ~60–90 km | Daily |
| Metric | Rang | Advantages | Disadvantages | Reference |
|---|---|---|---|---|
| R2 (Coefficient of Determination) | [0, 1] (perfect = 1) | Simple interpretation, widely used. | Insensitive to systematic bias. | [30] |
| RMSE (Root Mean Square Error) | [0, ∞) (Perfect = 0) | Penalizes large deviations. | Sensitive to outliers. | [31] |
| MAE (Mean Absolute Error) | [0, ∞) (Perfect = 0) | Easy to interpret, less sensitive to outliers than RMSE. | Does not reflect error direction. | [32] |
| PBIAS (Percent Bias) | (–∞, ∞) (Perfect = 0) | Useful for assessing systematic bias. | Sensitive to extreme values and skewed distributions. | [33] |
| KGE (Kling-Gupta Efficiency) | [–∞, 1] (Perfect = 1) | Comprehensive performance evaluation. | Requires careful interpretation of components. | [34] |
| NSE (Nash–Sutcliffe Efficiency) | (–∞, 1] (Perfect = 1) | Widely used in hydrology. | Sensitive to extreme values. | [35] |
| Indices | MAE | PBIAS | KGE | ||||
|---|---|---|---|---|---|---|---|
| Station | With QDM | Without QDM | With QDM | Without QDM | With QDM | Without QDM | |
| Lai Chau | 8.26 | 8.18 | −5.51 | −14.89 | 0.15 | 0.07 | |
| Mu Cang Chai | 6.32 | 6.53 | −4.39 | 5.13 | 0.15 | 0.13 | |
| Ta Bu | 5.49 | 6.18 | 10.97 | 34.07 | 0.12 | 0.04 | |
| Son La | 5.65 | 6.80 | −0.97 | 34.07 | 0.11 | 0.04 | |
| Than Uyen | 7.19 | 7.22 | −7.22 | −4.17 | 0.12 | 0.10 | |
| Quynh Nhai | 7.05 | 6.27 | 7.43 | −16.56 | 0.12 | 0.02 | |
| SSP1-2.6 | Qo (m3/s) | Wo (106 m3) | Qflood (m3/s) | Wflood (106 m3) | Qdry (m3/s) | Wdry (106 m3) |
|---|---|---|---|---|---|---|
| Baseline | 131.7 | 4155.8 | 208.9 | 2761.8 | 69.5 | 1628.1 |
| 2021–2040 | 131.7 | 4156.5 | 213.2 | 2818.1 | 70.9 | 1274.7 |
| 2041–2060 | 139.7 | 4407.7 | 224.2 | 2963.2 | 78.7 | 1390.5 |
| 2061–2080 | 141.5 | 4464.6 | 224.3 | 2965.0 | 80.4 | 1439.5 |
| SSP2-4.5 | Qo (m3/s) | Wo (106 m3) | Qflood (m3/s) | Wflood (106 m3) | Qdry (m3/s) | Wdry (106 m3) |
|---|---|---|---|---|---|---|
| Baseline | 131.7 | 4155.8 | 208.9 | 2761.8 | 69.5 | 1628.1 |
| 2021–2040 | 129.8 | 4095.2 | 210.7 | 2785.3 | 70.5 | 1257.4 |
| 2041–2060 | 133.3 | 4207.6 | 218.8 | 2891.8 | 71.0 | 1266.5 |
| 2061–2080 | 133.8 | 4221.8 | 216.5 | 2861.9 | 73.7 | 1309.2 |
| SSP5-8.5 | Qo (m3/s) | Wo (106 m3) | Qflood (m3/s) | Wflood (106 m3) | Qdry (m3/s) | Wdry (106 m3) |
|---|---|---|---|---|---|---|
| Baseline | 131.7 | 4155.8 | 208.9 | 2761.8 | 69.5 | 1628.1 |
| 2021–2040 | 132.1 | 4167.4 | 204.7 | 2706.2 | 78.4 | 1408.2 |
| 2041–2060 | 139.0 | 4387.4 | 202.1 | 2671.9 | 93.5 | 1651.7 |
| 2061–2080 | 142.3 | 4491.9 | 227.6 | 3008.4 | 79.8 | 1423.6 |
Disclaimer/Publisher’s Note: The statements, opinions and data contained in all publications are solely those of the individual author(s) and contributor(s) and not of MDPI and/or the editor(s). MDPI and/or the editor(s) disclaim responsibility for any injury to people or property resulting from any ideas, methods, instructions or products referred to in the content. |
© 2025 by the authors. Licensee MDPI, Basel, Switzerland. This article is an open access article distributed under the terms and conditions of the Creative Commons Attribution (CC BY) license (https://creativecommons.org/licenses/by/4.0/).
Share and Cite
Thac, T.K.; Thanh, N.T.; Son, N.H.; Hue, V.T.M. Impacts of Climate Change on Streamflow to Ban Chat Reservoir. Atmosphere 2025, 16, 1054. https://doi.org/10.3390/atmos16091054
Thac TK, Thanh NT, Son NH, Hue VTM. Impacts of Climate Change on Streamflow to Ban Chat Reservoir. Atmosphere. 2025; 16(9):1054. https://doi.org/10.3390/atmos16091054
Chicago/Turabian StyleThac, Tran Khac, Nguyen Tien Thanh, Nguyen Hoang Son, and Vu Thi Minh Hue. 2025. "Impacts of Climate Change on Streamflow to Ban Chat Reservoir" Atmosphere 16, no. 9: 1054. https://doi.org/10.3390/atmos16091054
APA StyleThac, T. K., Thanh, N. T., Son, N. H., & Hue, V. T. M. (2025). Impacts of Climate Change on Streamflow to Ban Chat Reservoir. Atmosphere, 16(9), 1054. https://doi.org/10.3390/atmos16091054

