Sign in to use this feature.

Years

Between: -

Subjects

remove_circle_outline
remove_circle_outline
remove_circle_outline
remove_circle_outline
remove_circle_outline
remove_circle_outline
remove_circle_outline
remove_circle_outline
remove_circle_outline

Journals

remove_circle_outline
remove_circle_outline
remove_circle_outline
remove_circle_outline
remove_circle_outline
remove_circle_outline
remove_circle_outline

Article Types

Countries / Regions

remove_circle_outline
remove_circle_outline
remove_circle_outline
remove_circle_outline
remove_circle_outline
remove_circle_outline
remove_circle_outline

Search Results (1,005)

Search Parameters:
Keywords = CMIP6

Order results
Result details
Results per page
Select all
Export citation of selected articles as:
27 pages, 2273 KB  
Article
Climate Trends and Future Scenarios in Afghanistan: Implications for Greenhouse Gas Emissions, Renewable Energy Potential, and Sustainable Development
by Noor Ahmad Akhundzadah
Energies 2026, 19(4), 1067; https://doi.org/10.3390/en19041067 - 19 Feb 2026
Viewed by 104
Abstract
Although Afghanistan’s contribution to global and regional greenhouse gas (GHG) emissions is minimal, it remains among the countries most vulnerable to the impacts of climate change. Rising temperatures and decreasing precipitation have significantly disrupted the country’s natural resources, including water supplies, agriculture, forests, [...] Read more.
Although Afghanistan’s contribution to global and regional greenhouse gas (GHG) emissions is minimal, it remains among the countries most vulnerable to the impacts of climate change. Rising temperatures and decreasing precipitation have significantly disrupted the country’s natural resources, including water supplies, agriculture, forests, rangelands, and ecosystems, threatening its agrarian economy and socio-economic stability. Simultaneously, Afghanistan has substantial untapped renewable energy potential, especially in hydropower, solar, wind, and biomass. This study analyzes historical (1970–2014) and projected (2015–2099) climate trends across Afghanistan by examining mean annual temperature and precipitation using the Mann–Kendall test and Sen’s Slope estimator. Results indicate a significant warming trend, with a 1.58 °C rise in temperature and a 36 mm decrease in annual precipitation over the past five decades. Future projections based on Shared Socioeconomic Pathways (SSPs) from the Coupled Model Intercomparison Project Phase 6 (CMIP6) suggest continued temperature increases, while precipitation trends vary geographically and over time, showing increases, decreases, or little change. The study also evaluates Afghanistan’s GHG emissions, which are negligible on regional and global scales. Despite its abundant renewable energy resources, the country still depends heavily on electricity imports from neighboring nations, leaving much of its domestic potential untapped. Harnessing these renewable resources can provide a practical path toward energy independence, zero-emission energy generation, and sustainable long-term development. This research emphasizes the urgent need for Afghanistan to strategically develop its renewable energy sector to boost climate resilience, enhance energy security, and promote sustainable economic growth. Full article
Show Figures

Figure 1

22 pages, 12611 KB  
Article
Projecting the Potential Shift of Larix principis-rupprechtii in Response to Future Climate Change: A Regional Analysis of the Haihe Basin in Northern China
by Desheng Cai, Shengping Wang, Wenxin Li, Kewen Wang, Guoping Zhu, Zhiqiang Zhang, Siyi Qu and Yiyao Liu
Forests 2026, 17(2), 278; https://doi.org/10.3390/f17020278 - 19 Feb 2026
Viewed by 56
Abstract
Projections of species distribution shifts induced by climate change are essential for adaptive management, yet regional-scale projections that explicitly address uncertainty remain underexplored. Future habitat suitability for Larix principis-rupprechtii in the Haihe Basin is projected using ensemble MaxEnt analysis driven by 13 CMIP6 [...] Read more.
Projections of species distribution shifts induced by climate change are essential for adaptive management, yet regional-scale projections that explicitly address uncertainty remain underexplored. Future habitat suitability for Larix principis-rupprechtii in the Haihe Basin is projected using ensemble MaxEnt analysis driven by 13 CMIP6 climate simulations under contrasting emission scenarios (SSP1-2.6 and SSP5-8.5). The MaxEnt demonstrates strong performance, with a mean AUC of 0.874. Future scenarios show that climatically favorable habitat for larch expands by over 20% and shifts approximately 42 km southwestward relative to the baseline, while high-suitability areas increase by 109%–181%. However, substantial uncertainty, quantified by the coefficient of variation (CV), persists in the low-suitability areas and intensifies with longer time horizons and higher emission pathways. Crucially, local topographic heterogeneity (elevation, slope, and shallow soil moisture) explains over 84% of the distribution variance, overriding broad-scale climatic drivers. We conclude that adaptive revegetation strategies at the regional basin scale should prioritize topographic controls, while the uncertainty in habitat suitability induced by climate change must not be overlooked. Full article
(This article belongs to the Section Forest Meteorology and Climate Change)
Show Figures

Figure 1

22 pages, 17293 KB  
Article
Simulating Vegetation Dynamics and Quantifying Uncertainties on the Tibetan Plateau Under Climate Scenarios
by Haoran Li, Xiaotong Ding, Yufan Sun and Xiaoyi Ma
Remote Sens. 2026, 18(4), 632; https://doi.org/10.3390/rs18040632 - 17 Feb 2026
Viewed by 212
Abstract
Under global climate change, the Tibetan Plateau, as a sensitive and ecologically vulnerable region, exhibits vegetation dynamics that significantly influence regional ecological security and hydrological cycles. This study aims to project the dynamic changes in vegetation on the Tibetan Plateau under climate change [...] Read more.
Under global climate change, the Tibetan Plateau, as a sensitive and ecologically vulnerable region, exhibits vegetation dynamics that significantly influence regional ecological security and hydrological cycles. This study aims to project the dynamic changes in vegetation on the Tibetan Plateau under climate change and assess the associated uncertainties in projections. Coupled Model Intercomparison Project Phase 6 (CMIP6) models were used to provide climate change outputs in the future under different greenhouse gas emission scenarios. The vegetation dynamics were described by the Global Inventory Modeling and Mapping Studies (GIMMS) Normalized Difference Vegetation Index (NDVI) data. By integrating a Random Forest model with the output climate data of CMIP6 models and training the model based on the historical observation data, NDVI changes under future emission scenarios were simulated and evaluated. The key findings of this study are as follows: (1) The multimodel ensemble (MME) performed best in simulating environmental variables, while certain individual models showed significant deviations in simulating specific variables; the Random Forest model demonstrated reliable capability in NDVI simulation and prediction. (2) The future NDVI was projected to increase persistently in the central and eastern plateau but decrease along the northern and southeastern margins, with variability in the trend projections between different models. (3) The MME model indicated an overall NDVI increase in the future, with higher values under SSP245 before the 2060s and stronger increases under SSP585 thereafter; humid basins exhibited more pronounced increases, while arid/semiarid basins showed limited changes. (4) The uncertainty in the NDVI projections showed a sustained increasing trend under both scenarios, with a stronger rise under the SSP585 scenario; spatially, the uncertainty remained low across most of the Tibetan Plateau but was relatively higher in the central–eastern region and major humid basins. These results provide a scientific basis for understanding alpine ecosystem responses to future climate change and for regional ecological risk management. Full article
(This article belongs to the Section Ecological Remote Sensing)
Show Figures

Figure 1

24 pages, 3136 KB  
Article
Building Climate-Resilient Solar–Wind Hybrid Energy Systems Across Monsoon-Affected Regions of Vietnam, Thailand, the Philippines, and Indonesia
by Guozu Hao, Lihong Wu, Xinfa Tang, Yujia Zhang and Musa Dirane Nubea
Processes 2026, 14(4), 682; https://doi.org/10.3390/pr14040682 - 17 Feb 2026
Viewed by 134
Abstract
Climate change-induced monsoon variability increasingly threatens the economic viability of renewable energy systems in Southeast Asia. While solar–wind hybrid systems are considered a promising solution, their economic resilience under dynamic monsoon conditions remains poorly understood—a critical research gap for climate-adaptive energy planning in [...] Read more.
Climate change-induced monsoon variability increasingly threatens the economic viability of renewable energy systems in Southeast Asia. While solar–wind hybrid systems are considered a promising solution, their economic resilience under dynamic monsoon conditions remains poorly understood—a critical research gap for climate-adaptive energy planning in monsoon-affected regions. This study aims to develop an integrated climate–technology–economics framework to assess the economic resilience of solar–wind hybrid systems under projected monsoon variability. The framework combines ERA5 reanalysis data, CMIP6 climate projections, techno-economic optimization via HOMER Pro, and a quantitative resilience assessment covering resistance (ΔLCOE%), robustness (CV~NPV~), and adaptive potential. The methodology is applied to representative ASEAN regions—Vietnam, Thailand, the Philippines, and Indonesia—to evaluate how monsoon-induced changes in solar and wind resources affect system performance. Results indicate that intensified monsoon variability reduces photovoltaic output during the rainy season by up to 15%, increases the levelized cost of energy (LCOE) by an average of 12.5%, and extends project payback periods by 2–4 years. Inland areas exhibit significantly higher vulnerability than coastal regions. However, optimized system configurations—particularly adjustments to the solar–wind capacity ratio and integration of battery energy storage—improve economic resilience by more than 20%. These findings provide quantitative evidence and actionable guidance for climate-resilient renewable energy planning in monsoon-affected ASEAN countries. Full article
(This article belongs to the Section Sustainable Processes)
Show Figures

Figure 1

19 pages, 6412 KB  
Article
Changes in Potentially Suitable Habitats and Priority Conservation Zones of Prunus sibirica L. in China Under Climate Change
by Junxing Chen, Lin Wang, Dun Ao, Ming Ma, Ru Yi, Shuning Zhang and Wenquan Bao
Forests 2026, 17(2), 266; https://doi.org/10.3390/f17020266 - 16 Feb 2026
Viewed by 174
Abstract
Prunus sibirica L. is a key ecological and economic tree species in northern China that is threatened by habitat degradation due to climate change and human activities. To address the gaps of incomplete historical dynamics and lack of conservation integration in existing studies, [...] Read more.
Prunus sibirica L. is a key ecological and economic tree species in northern China that is threatened by habitat degradation due to climate change and human activities. To address the gaps of incomplete historical dynamics and lack of conservation integration in existing studies, we integrated MaxEnt and Zonation v4.0 to predict its suitable habitat across five periods (LIG to 2090s) and three CMIP6 SSP scenarios, identifying key drivers and priority conservation zones. The model showed high prediction accuracy (mean AUC > 0.9). Results indicated that Human Footprint (HFP), Precipitation Seasonality (Bio15), Annual Mean Temperature (Bio1), Elevation (ELEV), and Mean Temperature of the Coldest Quarter (Bio11) were the key environmental factors (cumulative contribution 91.4%), with Bio1, Bio15, Temperature Seasonality (Bio4), and HFP confirmed as major drivers (AUC > 0.8) via jackknife test. Spatiotemporally, the species’ suitable habitat contracted from the Last Interglacial to the Last Glacial Maximum and expanded to the current total suitable area of 506,620.1 km2. Under future SSP scenarios, suitable habitats expanded continuously under SSP126 and SSP245 but showed a “first expansion then contraction” trend under SSP585, with a persistent northeastward migration of the habitat centroid. The vertical (altitudinal) distribution of P. sibirica showed a trend of moving to higher elevations under future warming scenarios, especially in the SSP585 scenario. High-priority conservation zones are concentrated in northern China with insufficient existing protection. It is emphasized that this study contributes to improving the adaptive capacity and genetic characterization of P. sibirica almond populations to future climate. Full article
(This article belongs to the Section Forest Ecology and Management)
Show Figures

Figure 1

26 pages, 17190 KB  
Article
What Dominates the Variation in Habitat Quality from a “Future” Perspective Based on Interpretable Machine Learning: Evidence from the Mid-Section of the Tianshan Mountains (MSTM), China
by Keqi Li, Qingwu Yan, Fei Li, Andong Guo, Minghao Yi, Xiaosong Ma, Zihao Wu and Guie Li
ISPRS Int. J. Geo-Inf. 2026, 15(2), 79; https://doi.org/10.3390/ijgi15020079 - 14 Feb 2026
Viewed by 162
Abstract
Exploring future habitat quality changes in the Mid-Section of the Tianshan Mountains (MSTM) is crucial for regional biodiversity conservation. This study utilizes climate projection data from CMIP6 and integrates the SD-PLUS-InVEST analytical framework to simulate future LULC and habitat quality under three distinct [...] Read more.
Exploring future habitat quality changes in the Mid-Section of the Tianshan Mountains (MSTM) is crucial for regional biodiversity conservation. This study utilizes climate projection data from CMIP6 and integrates the SD-PLUS-InVEST analytical framework to simulate future LULC and habitat quality under three distinct future scenarios. Additionally, the XGBoost-SHAP model is applied to identify and interpret the key regulatory factors within the modeling framework that influence habitat quality spatial heterogeneity. The results show the following: (1) the projections under the three 2035 scenarios generally follow the development trend of 2020, with continued spread of dry land and construction land, but general reduction in the ecological land, reflecting an intensifying conflict between land development and ecological preservation. (2) Habitat quality varies significantly across scenarios, generally exhibiting a “U-shaped” distribution pattern characterized by larger areas of high and low quality and smaller areas of moderate quality. Within the SSP5–8.5 scenario, habitat quality is relatively poor, accompanied by pronounced spatial heterogeneity and imbalance. (3) NDVI is identified as the dominant factor influencing habitat quality spatial heterogeneity, followed by GDP, TEM, and DEM. Although the influence of these factors varies slightly across scenarios, their relative importance remains generally consistent, reflecting the structural stability and response coherence of the ecosystem. Full article
(This article belongs to the Special Issue Spatial Data Science and Knowledge Discovery)
33 pages, 5550 KB  
Article
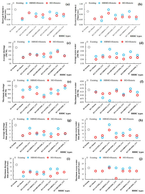
Integrated WEAP–Hippopotamus Optimization Framework for Climate-Resilience Reservoir Operation: A Case Study of Ubolrat Reservoir, Thailand
by Haris Prasanchum, Rattana Hormwichian, Rapeepat Techarungruengsakul, Anongrit Kangrang, Siwa Kaewplang, Ratsuda Ngamsert, Jirawat Supakosol, Krit Sriworamas and Sarayut Wongsasri
Water 2026, 18(4), 477; https://doi.org/10.3390/w18040477 - 12 Feb 2026
Viewed by 350
Abstract
Climate change results in reservoir management challenges, especially in areas with a high risk of drought and flooding. Traditional reservoir rule curves are insufficient for addressing variations in reservoir inflow. This study presents a framework combining GCMs from CMIP6 (ACCESS-CM2, MIROC6, and MPI-ESM1-2-LR) [...] Read more.
Climate change results in reservoir management challenges, especially in areas with a high risk of drought and flooding. Traditional reservoir rule curves are insufficient for addressing variations in reservoir inflow. This study presents a framework combining GCMs from CMIP6 (ACCESS-CM2, MIROC6, and MPI-ESM1-2-LR) under SSP2-4.5 and SSP5-8.5 scenarios and WEAP, the accuracy of which has been validated for reservoir inflow and storage capacity. This framework is integrated with Hippopotamus Optimization (HO) to develop a resilience reservoir rule curve (RRRC) for the Ubolrat Reservoir for 2024–2055, employing a dual-objective function that emphasizes reducing water shortages and water excess. The results indicate that the RRRC developed via HO is more efficient and suitable than Honeybee Mating Optimization (HBMO) and existing rule curves. When tested with historical inflow data, HO reduced the average water shortage by 50% and the maximum shortage period by 79% compared to the existing rule curve. Under future climate scenarios (SSP2-4.5 and SSP5-8.5), efficiency improved significantly, achieving a water shortage reduction of 95–98% and a shortage period reduction of 83–88%. Additionally, HO demonstrated outstanding efficiency in water excess management, with a 7–11% reduction in average excess water. This potential reflects its adaptability in the context of future variations in hydrological conditions. This crucial finding illustrates that the integrated framework can develop resilient rule curves even under uncertainty. HO integrated with various models can be implemented as an optimal framework with high potential for reservoir operation planning under climate change. The developed methodology can be implemented in other reservoirs to investigate additional factors for the sustainable promotion of water resource resilience. Full article
(This article belongs to the Section Water and Climate Change)
Show Figures

Figure 1

22 pages, 8372 KB  
Article
Evaluation of an Australian Regional Climate Modeling System for Air Quality Application
by Kevin K. W. Cheung, Alea Yeasmin, Khalia Monk, Jing Kong, Ningbo Jiang, Fei Ji, Lisa T.-C. Chang, Md. Wahiduzzaman, Hiep Duc Nguyen, Azzi Merched, Giovanni Di Virgilio and Matthew L. Riley
Climate 2026, 14(2), 54; https://doi.org/10.3390/cli14020054 - 12 Feb 2026
Viewed by 175
Abstract
Estimating future air quality under the warming climate is an urgent task for all populated regions. Often, climate models are evaluated with respect to air temperature and precipitation, but without a focus on other air quality-related meteorological variables. This study evaluated a regional [...] Read more.
Estimating future air quality under the warming climate is an urgent task for all populated regions. Often, climate models are evaluated with respect to air temperature and precipitation, but without a focus on other air quality-related meteorological variables. This study evaluated a regional ensemble system over the southeast Australian region driven by five selected CMIP6 global climate models (downscaled by two regional models, making the ensemble size ten) in terms of a range of surface variables relevant for air quality from seasonal to diurnal timescales. Results showed that the two regional climate models, although only differing in their planetary boundary layer (PBL) parameterizations, performed quite differently. In general, the regional model with the MYNN2 PBL scheme (named R3) performed better than the other. While most meteorological variables, including surface wind speed, were verified well, wind direction showed large biases and variability among models. When downscaled (~4 km resolution) atmospheric variables were applied to drive the Community Multiscale Air Quality (CMAQ) model, the ensemble members, particularly the two versions of the regional model, resulted in different chemical species concentrations. A model ranking scheme was developed based on various spatiotemporal timescales and identified slightly superior performance by the regional model R3. The findings provide a valuable reference for selecting optimized model members for future air quality projections. Full article
(This article belongs to the Special Issue Recent Climate Change Impacts in Australia)
Show Figures

Figure 1

18 pages, 5804 KB  
Article
Avoidable Economic Losses from Influential Tropical Cyclones in a Warming China
by Shanshan Wen, Chenyu Wang, Litong Zhao and Jianqing Zhai
Sustainability 2026, 18(4), 1845; https://doi.org/10.3390/su18041845 - 11 Feb 2026
Viewed by 318
Abstract
Tropical cyclones (TCs) are a major driver of weather-related economic disruption in China, yet the magnitude of losses that could be avoided under strong climate mitigation remains poorly quantified. This study estimates how direct economic losses from influential tropical cyclones (ITCs) change at [...] Read more.
Tropical cyclones (TCs) are a major driver of weather-related economic disruption in China, yet the magnitude of losses that could be avoided under strong climate mitigation remains poorly quantified. This study estimates how direct economic losses from influential tropical cyclones (ITCs) change at global warming levels of 1.5 °C, 2 °C, 3 °C and 4 °C. CMIP6 multi-model simulations are combined with gridded population and GDP projections and time-varying vulnerability to assess ITC-related losses during 2021–2100 relative to the 1995–2014 reference period. Results show modest changes in national-scale ITC frequency, but more intense ITC-associated precipitation and progressively higher losses with warming. Mean annual losses increase from 231.17 billion CNY at 1.5 °C to 317.72 billion CNY at 2 °C, 375.94 billion CNY at 3 °C, and 448.79 billion CNY at 4 °C (constant 2020 prices). Relative to 4 °C warming, limiting warming to 2 °C reduces mean annual losses by 131.07 billion CNY, and further limiting warming to 1.5 °C reduces losses by an additional 86.55 billion CNY. These findings quantify the avoidable component of future losses under lower warming outcomes and provide evidence that supports climate-resilient and economically sustainable development through combined mitigation and adaptation. Full article
(This article belongs to the Section Air, Climate Change and Sustainability)
Show Figures

Figure 1

32 pages, 10361 KB  
Article
Investigation of Sudden Stratospheric Warming (SSW) Events Between 1980 and 2100
by Simla Durmus, Deniz Demirhan, Ismail Gultepe and Onur Durmus
Forecasting 2026, 8(1), 13; https://doi.org/10.3390/forecast8010013 - 10 Feb 2026
Viewed by 188
Abstract
The main objective of this work is to characterize Sudden Stratospheric Warming (SSW) conditions and their impact on local weather forecasting and climate change, using SSW definition criteria. The SSWs strongly affect Arctic vortex structure and midlatitude weather conditions. This work evaluates the [...] Read more.
The main objective of this work is to characterize Sudden Stratospheric Warming (SSW) conditions and their impact on local weather forecasting and climate change, using SSW definition criteria. The SSWs strongly affect Arctic vortex structure and midlatitude weather conditions. This work evaluates the frequency, amplitude, and dynamical–thermal characteristics of SSWs under historical and Representative Concentration Pathway (RCP) 4.5 scenarios, focusing on stratospheric air temperature (Ts) and zonal wind speed (Uh) at the 10° N and 60° N latitudes. The fifth-generation ECMWF atmospheric reanalysis (ERA5) is employed as the reference dataset. Simulations of five Coupled Model Intercomparison Project Phase 5 (CMIP5) models, represented by M1 to M5, are analyzed. The primary group of models included 1) the Australian Community Climate and Earth-System Simulator, version 1.3 (ACCESS1-3, M1), 2) the Hadley Center Global Environmental Model, version 2—Carbon Cycle (HadGEM2-CC, M2), and 3) the Max Planck Institute Earth System Model—Medium Resolution (MPI-ESM-MR, M3). The analysis period covers SSW events related to the Quasi-Biennial Oscillation (QBO) in the Northern Hemisphere (NH) from 1980 to 2100. The key findings indicate that while M1, M2, and M3 simulate SSW occurrence correctly for the 21st century, they exhibit significant systematic deficiencies in capturing the structural dynamics of SSW events. Specifically, the M1, M2, and M3 models underestimate the polar stratospheric temperature amplitude (Tamp) by approximately 75–80% and zonal wind amplitude (Uamp) by more than 60% compared to the ERA5 analysis. Furthermore, ERA5 exhibits a strong negative correlation (R ≈ −0.8) between Uh and Ts that is not estimated accurately using the present models. The importance of the horizontal resolution of the models and wave–mean flow interactions in determining SSW intensity and occurrence is also found to be a critical metric. Results suggest that SSW definition criteria affect Arctic and midlatitude weather system prediction at a rate of 61–82%. It is concluded that the primary configurations of CMIP5 models for accurately capturing the dynamical structure and evolution of QBO–SSW interactions are needed, and that they affect future projections of SSW events. Full article
(This article belongs to the Section Weather and Forecasting)
Show Figures

Figure 1

30 pages, 15178 KB  
Article
Spatiotemporal Evolution of Glacier Mass Balance and Runoff Response in a High Mountain Basin Under Climate Change
by Chaonan Zhang, Fulong Chen, Chaofei He, Fan Wu, Tongxia Wang and Aihua Long
Atmosphere 2026, 17(2), 178; https://doi.org/10.3390/atmos17020178 - 9 Feb 2026
Viewed by 236
Abstract
Under the context of global warming, accelerated glacier melting poses a severe threat to regional water security, necessitating systematic quantification of the spatiotemporal evolution of glacier mass balance (GMB) and its impacts on runoff. This study employed the Spatial Processes in Hydrology (SPHY) [...] Read more.
Under the context of global warming, accelerated glacier melting poses a severe threat to regional water security, necessitating systematic quantification of the spatiotemporal evolution of glacier mass balance (GMB) and its impacts on runoff. This study employed the Spatial Processes in Hydrology (SPHY) distributed hydrological model, integrated with remote sensing data, meteorological observations, and Coupled Model Intercomparison Project Phase 6 (CMIP6) climate scenarios, to reconstruct the spatiotemporal evolution of glacier mass balance in the Manas River Basin on the northern slope of Tianshan Mountains from 2000 to 2014, quantify the coupling relationships between glacier mass balance and climate factors as well as glacier meltwater runoff, and project future trends from 2015 to 2045. Results showed that glaciers in the basin experienced persistent negative mass balance during the study period, with a 15-year mean glacier mass balance of −0.87 m w.e.·a1, cumulative loss of 12.16 m w.e., and glacier area shrinkage of 11.9%. Glacier mass balance exhibited significant spatiotemporal heterogeneity, with the most severe mass loss occurring in steep south-facing slopes, and glacier thickness change displayed a “single-peak” altitudinal dependence with the ablation peak elevation stabilized at approximately 4400 m. Glacier mass balance showed a significant negative correlation with melt-season positive accumulated temperature (r = −0.9, p < 0.01), with a temperature sensitivity coefficient of 55.17 %·°C−1. The contribution rate of glacier meltwater runoff increased from 19.93% to 29.50%, showing a significant negative correlation with glacier mass balance (r = −0.73, p < 0.01), revealing the phenomenon of “compensatory runoff increase”. Under three future scenarios, glacier mass balance loss exhibited an intensifying trend, with the most severe loss in high-altitude areas, and glacier meltwater runoff continued to increase but demonstrated unsustainability. This study provides a scientific basis for predicting “peak water” timing and adaptive water resource management in high mountain glacierized basins under climate change. Full article
Show Figures

Figure 1

24 pages, 4620 KB  
Article
Quasi-Global (50° S–50° N) of Soil Moisture and Precipitation Extremes
by Aoqi Shi, Jun Liu, Taoyu Jin, Zhuhe Li, Wenfu Yang, Wenwen Wang and Wenmin Zhang
Hydrology 2026, 13(2), 67; https://doi.org/10.3390/hydrology13020067 - 9 Feb 2026
Viewed by 380
Abstract
Clarifying the interplay between extreme soil moisture (SM) and precipitation (P) is imperative to understand the impacts of extreme events on ecosystems in a changing climate. However, the detailed relationships, pathways, and quantitative characterization of SM-P extremes at a quasi-global (50° S–50° N) [...] Read more.
Clarifying the interplay between extreme soil moisture (SM) and precipitation (P) is imperative to understand the impacts of extreme events on ecosystems in a changing climate. However, the detailed relationships, pathways, and quantitative characterization of SM-P extremes at a quasi-global (50° S–50° N) scale remain unclear. Here, we systematically evaluated the co-occurrence and temporal dependencies of SM-P extremes from 2000 to 2022, quantified their synchronous probability, used statistical modeling to reveal the directional pathways among evapotranspiration (ET), P, and SM, and detected long-term trends in P and SM extremes. Our results show a significant increase in the co-occurrence frequency of SM-P extremes globally, with strong spatiotemporal co-occurrence patterns. A lower conditional probability (62%) of extreme SM anomalies was observed within a short term (34 days) after P extremes occurred, while a significantly higher conditional probability (88%) of P extremes was found following extreme SM anomalies. Path analysis (structural equation modeling) indicates a strong direct positive pathway from P to SM, whereas SM influences P indirectly through ET. Compared to satellite-based observations, the BCC-ESM1 model within the CMIP6 framework reproduces the synchrony of SM-P extremes reasonably well, offering a feasible alternative for predicting SM-P relationships in regions lacking satellite observations and aiding future projections of their trends. Our study broadens the perspective on land–atmosphere interactions and coupling mechanisms, providing a solid theoretical basis for predicting and managing the effects of extreme events on ecosystems. Full article
(This article belongs to the Topic Advances in Hydrogeological Research)
Show Figures

Graphical abstract

32 pages, 10349 KB  
Article
Terrain–Climate–Human Couplings of Net Primary Productivity in the Chengdu–Chongqing Economic Circle Revealed by Optimal GeoDetector and Explainable Machine Learning
by Sijie Zhuo, Bin Yang, Pan Jiang, Yingchao Sha, Yuxi Wang, Xinchen Gu and Yuhan Zhang
Forests 2026, 17(2), 231; https://doi.org/10.3390/f17020231 - 8 Feb 2026
Viewed by 163
Abstract
Terrestrial net primary productivity (NPP) integrates vegetation responses to climate, terrain, and human activities, yet their combined effects in mountainous–basin regions remain unclear. Focusing on the Chengdu–Chongqing Economic Circle (CCEC) in southwest China, we build a framework that couples spatial diagnosis, interaction-aware attribution, [...] Read more.
Terrestrial net primary productivity (NPP) integrates vegetation responses to climate, terrain, and human activities, yet their combined effects in mountainous–basin regions remain unclear. Focusing on the Chengdu–Chongqing Economic Circle (CCEC) in southwest China, we build a framework that couples spatial diagnosis, interaction-aware attribution, and scenario-based projection. Using 500 m MODIS NPP (2000–2020) with climatic, topographic, land-use, and socio-economic data, we quantify NPP trends, use optimal-parameter GeoDetector and partial correlations to separate driver contributions and interactions, and train a random forest (RF)–SHAP model driven by CMIP6–SSP climate projections to 2050. The CCEC shows strong greening: 85.17% of the area exhibits increasing NPP and 68.56% shows extremely significant increases, with productivity peaking at mid-elevations (~1950 m) and intermediate slopes. Elevation, NDVI, and temperature dominate, while precipitation, slope, and soil moisture are secondary, and enhancement-type interactions, especially between elevation and precipitation, prevail. Land-use statistics and NPP transfer matrices highlight cropland-to-forest/grassland conversion as the main greening source. CMIP6-based simulations indicate stable or modestly higher NPP through 2050, with western mountain forests remaining key carbon sinks and basin lowlands constrained by warming and land-use pressure. Full article
Show Figures

Figure 1

20 pages, 3022 KB  
Article
Near-Future Climate Change Impacts on Sado River (Southern Portugal) Flow Rates Using CMIP6-HSPF Modelling
by André M. Claro, André R. Fonseca, António Fernandes, Christoph Menz, Carina Almeida, Helder Fraga and João A. Santos
Water 2026, 18(4), 442; https://doi.org/10.3390/w18040442 - 7 Feb 2026
Viewed by 394
Abstract
Climate change impacts on the Sado River (southwest Portugal) flow rates (FRs) were assessed for the first time under the 2041–2060 Shared Socioeconomic Pathways: 1–2.6 W/m2 (SSP1-2.6), 3–7.0 W/m2 (SSP3-7.0), and 5–8.5 W/m2 (SSP5-8.5), using bias-adjusted and downscaled General Circulation [...] Read more.
Climate change impacts on the Sado River (southwest Portugal) flow rates (FRs) were assessed for the first time under the 2041–2060 Shared Socioeconomic Pathways: 1–2.6 W/m2 (SSP1-2.6), 3–7.0 W/m2 (SSP3-7.0), and 5–8.5 W/m2 (SSP5-8.5), using bias-adjusted and downscaled General Circulation Model (GCM) ensemble projections from the Inter-Sectoral Impact Model Intercomparison Project (ISIMIP3b-Sado). ISIMIP3b-Sado was used to estimate future precipitation and temperature changes, and as input for Hydrological Simulation Program—FORTRAN (HSPF) simulations. The HSPF projected decreases in the Sado FRs, mainly under SSP3-7.0 and SSP5-8.5, due to temperature increases and autumn/spring precipitation decreases. The FR decreases may lead to 29%/33% reductions in yearly accumulated riverine water volume under SSP3-7.0/SSP5-8.5 and a 31% summertime riverine water deficit increase under SSP3-7.0. Surface-water demand fulfilment in the Sado Basin could suffer a 22-day delay, and the wintertime precipitation range is projected to increase. Hence, in the near-future, summertime surface-water needs and reservoir recharge in the Sado Basin could become more dependent on wintertime precipitation. With Sado being an agricultural region, our results should prompt agriculture stakeholders and decision makers to improve wintertime surface water storage and management to sustain summertime crop irrigation needs. Full article
Show Figures

Figure 1

21 pages, 4464 KB  
Article
Future Climate Change Increases Streamflow and Risks of Hydrological Hazards in the Pearl River Basin
by Haoyuan Yu, Qichun Yang, Liuqian Yu, Xia Li, Minyang Li and Yingxian Yang
Water 2026, 18(3), 436; https://doi.org/10.3390/w18030436 - 6 Feb 2026
Viewed by 350
Abstract
Understanding and predicting climate change impacts on the terrestrial water cycle is essential for water resources management and hazard prevention. This study aims to project future runoff of a densely-populated river basin, the Pearl River Basin (PRB), under different Shared Socioeconomic Pahway (SSP) [...] Read more.
Understanding and predicting climate change impacts on the terrestrial water cycle is essential for water resources management and hazard prevention. This study aims to project future runoff of a densely-populated river basin, the Pearl River Basin (PRB), under different Shared Socioeconomic Pahway (SSP) scenarios, by combining the Soil and Water Assessment Tool (SWAT) model and the CMIP6 climate projections. Results show that climate change will significantly increase the runoff of the PRB, with changing rates of 0.21, 0.20, 0.11, and 0.17 mm/month/year for low- to high-emission scenarios SSP126, SSP245, SSP370, and SSP585, respectively. Future runoff exhibits strong seasonal and spatial variability due to complex changes in precipitation and potential evapotranspiration across the basin. The PRB may experience higher flood risks during the wet season under all SSP scenarios, driven by a ~15% increase in runoff during the wettest month during 2061–2100 relative to that of 2021–2060. Conversely, drought risks may escalate in the East River Sub-basin of the PRB during the dry season under the high-emission scenarios (SSP370 and SSP585), with a ~20% reduction in runoff during the driest month during 2061–2100 relative to that of 2021–2060. The highest-emission scenario (SSP585) may lead to the most drastic hydrological changes, including increased risks of flooding and drought across different parts of the PRB. Our findings suggest intensified water cycling and increased hydrological risks in the PRB under a changing climate, highlighting the necessity of future water resource management to consider potential climate change impacts to mitigate the risks of floods and droughts effectively. Full article
Show Figures

Figure 1

Back to TopTop