Mechanistic Links Between Freeze–Thaw Cycles and Topsoil Erosion on the Qinghai–Tibet Plateau
Abstract
1. Introduction
2. Materials and Methods
2.1. Materials
2.2. Freeze–Thaw Experiment
2.3. Soil Properties and Structure
2.3.1. Measurement of Soil Properties
2.3.2. Microscopic Experiments and Image Processing
2.3.3. Freeze–Thaw Deformation Behavior Parameters
3. Results
3.1. Physical Property of Soil by Freezing and Thawing
3.1.1. Moisture
3.1.2. Soil Capacity
3.1.3. Soil Porosity
3.1.4. Soil Aggregates
3.2. Soil Surface Microstructural Changes
3.2.1. Surface Porosity
3.2.2. Fractal Shape Parameters
3.2.3. Particle Directionality
3.3. Effect of Loads in the Freeze–Thaw Cycle Process on the Relative Deformation Behavior
3.3.1. Frost Heave
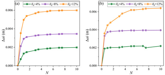
3.3.2. Relative Deformation and Deformation Rate
3.3.3. Rate of Change in Volume
3.3.4. Frost Heave Pressure
4. Discussion
4.1. Mechanisms of Soil Erosion by Freeze–Thaw Action
4.2. Freeze–Thaw Action and Land Use
5. Conclusions
- Freeze–thaw cycles gradually reduce soil moisture content while increasing porosity. Soil bulk density shows the opposite trend. Ice crystal expansion disrupts soil cohesion, leading to a continued decline in aggregate stability. Lower initial moisture content is associated with weaker aggregate stability, a conclusion verified by MWD and GMD indicators.
- Cyclic water–ice phase transitions generate axial frost heave stress, which is the primary initiator of soil structural degradation in cold regions. This stress disrupts cohesion, rearranges particles, and increases surface porosity, progressively compromising soil stability. The most pronounced changes in geometric indices occur during the initial freeze–thaw cycles.
- Initial moisture content critically governs damage severity: higher moisture intensifies frost heave stress and accelerates porosity expansion. External loading suppresses cryogenic dynamics, directly attenuating erosion—representing a key intervention strategy.
- External loading exerts an inhibitory effect that mitigates changes in frost heave forces, thereby reducing soil erosion. Our research findings deepen our understanding of the mechanisms of freeze–thaw erosion. Future research can be used to disperse freeze–thaw stresses and reduce soil loss. In highland pastoral areas, houses and weather stations do not necessarily have a negative impact on agricultural development. To a certain extent, they can inhibit freeze–thaw erosion. The suppressive effect of external loads on frost heave dynamics points to a practical method for controlling soil erosion. Land managers could consider utilizing natural or artificial loading techniques to dampen cryo-genic activity and enhance erosion resistance.
Author Contributions
Funding
Institutional Review Board Statement
Informed Consent Statement
Data Availability Statement
Conflicts of Interest
References
- Qiu, J. China: The third pole. Nature 2008, 454, 393–397. [Google Scholar] [CrossRef]
- Yao, T.D.; Wu, F.Y.; Ding, L.; Sun, J.M.; Zhu, L.P.; Piao, S.L.; Deng, T.; Ni, X.J.; Zheng, H.B.; Ouyang, H. Multispherical interactions and their effects on the Tibetan Plateau’s earth system: A review of the recent researches. Natl. Sci. Rev. 2015, 2, 468–488. [Google Scholar] [CrossRef]
- Chen, F.H.; Ding, L.; Piao, S.L.; Zhou, T.J.; Xu, B.Q.; Yao, T.D.; Li, X. The Tibetan Plateau as the engine for Asian environmental change: The Tibetan Plateau Earth system research into a new era. Sci. Bull. 2021, 1566, 1263–1266. [Google Scholar] [CrossRef] [PubMed]
- Yang, M.; Nelson, F.E.; Shiklomanov, N.I.; Guo, D.L.; Wan, G.N. Permafrost degradation and its environmental effects on the Tibetan Plateau: A review of recent research. Earth-Sci. Rev. 2010, 103, 31–44. [Google Scholar] [CrossRef]
- Ala, M.A.; Liu, Y.; Wang, A.Z.; Niu, C.Y. Characteristics of soil freeze-thaw cycles and their effects on water enrichment in the rhizosphere. Soil Sci. 2023, 188, 123–135. [Google Scholar]
- Li, G.Y.; Fan, H.M. Effect of Freeze-Thaw on Water Stability of Aggregates in a Black Soil of Northeast China. Pedosphere 2014, 24, 285–290. [Google Scholar] [CrossRef]
- Foltz, G.R.; McPhaden, M.J. Impact of Saharan dust on tropical North Atlantic SST. J. Clim. 2008, 21, 5048–5060. [Google Scholar] [CrossRef]
- Luca, M.D. Govern our soils. Nature 2015, 528, 32–33. [Google Scholar] [CrossRef]
- Mostaghimi, S.; Young, R.A.; Wilts, A.R.; Kenimer, A.L. Effects of frost action on soil aggregate stability. Trans. ASABE 1987, 30, 435–439. [Google Scholar] [CrossRef]
- Sun, B.Y.; Ren, F.P.; Ding, W.F.; Zhang, G.H.; Huang, J.Q.; Li, J.M.; Zhang, L. Effects of freeze-thaw on soil properties and water erosion. Soil Water Res. 2021, 16, 205–219. [Google Scholar] [CrossRef]
- Ban, Y.; Lei, T.W.; Liu, Z.; Chen, C. Comparison of rill flow velocity over frozen and thawed slopes with electrolyte tracer method. J. Hydrol. 2016, 534, 630–637. [Google Scholar] [CrossRef]
- Zhang, X.; Sun, S.F. The impact of soil freezing/thawing process on water and energy balances. Adv. Atmos. Sci. 2011, 28, 169–177. [Google Scholar] [CrossRef]
- Fu, Q.; Hou, R.J.; Li, T.X.; Ma, Z.; Peng, L. Soil moisture-heat transfer and its action mechanism of freezing and thawing soil. Trans. Chin. Soc. Agric. 2016, 47, 99–110. [Google Scholar]
- Nan, J.J.; Peng, J.B.; Zhu, F.J.; Ma, P.H.; Liu, R.; Leng, Y.Q.; Meng, Z.J. Shear behavior and microstructural variation in loess from the Yan′an area, China. Eng. Geol. 2021, 280, 105964. [Google Scholar] [CrossRef]
- Tian, H.H.; Wei, C.F.; Tan, L. Effect of freezing-thawing cycles on the microstructure of soils: A two-dimensional NMR relaxation analysis. Cold Reg. Sci. Technol. 2019, 158, 106–116. [Google Scholar] [CrossRef]
- Wen, B.P.; Yan, Y.J. Influence of structure on shear characteristics of the unsaturated loess in Lanzhou, China. Eng. Geol. 2014, 168, 46–58. [Google Scholar] [CrossRef]
- Dagesse, D.F. Freezing-induced bulk soil volume changes. Can. J. Soil Sci. 2010, 90, 389–401. [Google Scholar] [CrossRef]
- Karumanchi, M.; Suseela, A.; Habibunnisa, S.; Nerella, R. An analysis of freeze-thaw cycles on geotechnical properties of soft-soil. Mater. Today Proc. 2020, 27, 1304–1309. [Google Scholar]
- Barthes, B.; Roose, E. Aggregate stability as an indicator of soil susceptibility to runoff and erosion, validation at several levels. Catena 2002, 47, 133–149. [Google Scholar] [CrossRef]
- Zádorová, T.; Jakšík, O.; Kodešová, R.; Penížek, V. Influence of terrain attributes and soil properties on soil aggregate stability. Soil Water Res. 2011, 6, 111–119. [Google Scholar] [CrossRef]
- Oztas, T.; Fayetorbay, F. Effect of freezing and thawing processes on soil aggregate stability. Catena 2003, 52, 1–8. [Google Scholar] [CrossRef]
- Blanco-Canqui, H.; Ruis, S.J. No-tillage and soil physical environment. Geoderma 2018, 326, 164–200. [Google Scholar] [CrossRef]
- de Oliveira, J.A.T.; C’assaro, F.A.M.; Pires, L.F. Quantification of the pore size distribution of a Rhodic Hapludox under different management systems with X-ray microtomography and computational simulation. Soil Tillage Res. 2021, 209, 104941. [Google Scholar] [CrossRef]
- Sahin, U.; Angin, I.; Kiziloglu, F.M. Effect of freezing and thawing processes on some physical properties of saline–sodic soils mixed with sewage sludge or fly ash. Soil Tillage Res. 2008, 99, 254–260. [Google Scholar] [CrossRef]
- Tang, L.; Cong, S.Y.; Geng, L.; Ling, X.Z.; Gan, F.D. The effect of freeze-thaw cycling on the mechanical properties of expansive soils. Cold Reg. Sci. Technol. 2018, 145, 197–207. [Google Scholar] [CrossRef]
- Huang, L.; Sheng, Y.; Wu, J.C.; He, B.B.; Huang, X.B.; Zhang, X.Y. Experimental study on frost heaving behavior of soil under different loading paths. Cold Reg. Sci. Technol. 2020, 169, 102905. [Google Scholar] [CrossRef]
- Zhang, X.Y.; Zhang, M.Y.; Lu, J.G.; Pei, W.S.; Yan, Z.R. Effect of hydro-thermal behavior on the frost heave of a saturated silty clay under different applied pressures. Appl. Therm. Eng. 2017, 117, 462–467. [Google Scholar] [CrossRef]
- Lai, Y.M.; Pei, W.S.; Zhang, M.Y.; Zhou, J.Z. Study on theory model of hydro-thermal–mechanical interaction process in saturated freezing silty soil. Int. J. Heat Mass Transf. 2014, 78, 805–819. [Google Scholar] [CrossRef]
- Kaczy’nski, R.; Grabowska-Olszewska, B. Soil mechanics of the potentially expansive clays in Poland. Appl. Clay Sci. 1997, 11, 337–355. [Google Scholar] [CrossRef]
- Beskow, D.G.; Fil, B. Soil Freezing and Frost Heaving with Special Application to Roads and Railroads. Soil Sci. 2013, 65, 355. [Google Scholar]
- Ge, Z.H.; Li, G.; Dun, H.C.; Huang, N. Freeze-thaw characteristics and deformation monitoring of topsoil in highland pastoral areas under the influence of snow accumulation. Heliyon 2024, 10–13, e33652. [Google Scholar] [CrossRef]
- Li, N.; Cuo, L.; Zhang, Y.X. On the freeze–thaw cycles of shallow soil and connections with environmental factors over the Tibetan Plateau. Clim. Dyn. 2021, 57, 3183–3206. [Google Scholar] [CrossRef]
- Tanner, S.; Katra, I.; Haim, A.; Zaady, E. Short-term soil loss by aeolian erosion in response to conventional and organic agricultural practices. Soil Tillage Res. 2016, 155, 149–156. [Google Scholar] [CrossRef]
- Gardner, W.R. Representation of soil aggregate-size distribution by a logarithmic-normal distribution. Soil Sci. Soc. Am. J. 1956, 20, 151–153. [Google Scholar] [CrossRef]
- Liu, C.; Shi, B.; Zhou, J.; Tang, C.S. Quantification and characterization of microporosity by image processing, geometric measurement and statistical methods: Application on SEM images of clay materials. Appl. Clay Sci. 2011, 54, 97–106. [Google Scholar] [CrossRef]
- Liu, C.; Tang, C.S.; Shi, B.; Suo, W.B. Automatic quantification of crack patterns by image processing. Comput. Geosci. 2013, 57, 77–80. [Google Scholar] [CrossRef]
- Li, T.G.; Kong, L.W.; Guo, A.G. The deformation and microstructure characteristics of expansive soil under freeze–thaw cycles with loads. Cold Reg. Sci. Technol. 2021, 192, 103393. [Google Scholar] [CrossRef]
- Konrad, J.M.; Morgenstern, N.R. The segregation potential of a freezing soil. Can. Geotech. J. 1981, 18, 482–491. [Google Scholar] [CrossRef]
- Peng, Z.Y.; Huang, J.S.; Zeng, W.Z.; Guo, H. Water Movement Regularities of Seasonal Freezing-Thawing Soil. Eng. J. Wuhan Univ. 2011, 44, 696–700. [Google Scholar]
- Jing, G.C.; Ren, X.P.; Liu, X.J.; Liu, B.Y.; Zhang, L.H.; Yang, Y.J.; Wang, Y.J. Relationship between freeze-thaw action and soil moisture for northeast black soil region of China. Sci. Soil Water Conserv. 2008, 6, 32–36. [Google Scholar]
- Perfect, E.; van Loon, W.K.P.; Kay, B.D.; Groenevelt, P.H. Influence of Ice Segregation and Solutes on Soil Structural Stability. Can. J. Soil Sci. 1990, 79, 571–581. [Google Scholar] [CrossRef]
- Krumbach, A.W., Jr.; White, D.P. Moisture, pore space, and bulk density changes in frozen soil. Soil Sci. Soc. Am. J. 1964, 28, 422–425. [Google Scholar] [CrossRef]
- Jie, Z.; Tang, Y.Q. Experimental inference on dual-porosity aggravation of soft clay after freeze-thaw by fractal and probability analysis. Cold Reg. Sci. Technol. 2018, 153, 181–196. [Google Scholar]
- Jiang, Y.; Fan, H.M.; Hou, Y.Q.; Liu, B.; Guo, X.Y.; Ma, R.M. Characterization of aggregate microstructure of black soil with different number of freeze-thaw cycles by synchrotron-based micro-computed tomography. Acta Ecol. Sin. 2019, 39, 4080–4087. [Google Scholar]
- Zhao, Y.D.; Hu, X. Influence of Freeze-thaw on CT Measured Soil Pore Structure of Alpine Meadow. J. Soil Water Conserv. 2020, 34, 352–367. [Google Scholar]
- Wang, E.Y.; Zhao, Y.S.; Chen, X.W. Effects of seasonal freeze-thaw cycle on soil aggregate characters in typical phaeozem region of Northeast China. Chin. J. Appl. Ecol. 2010, 21, 889–894. [Google Scholar]
- Henry, H.A. Soil freeze–thaw cycle experiments: Trends, methodological weaknesses and suggested improvements. Soil Biol. Biochem. 2007, 39, 977–986. [Google Scholar] [CrossRef]
- Wang, D.Y.; Ma, W.; Niu, Y.H.; Chang, X.X.; Wen, Z. Effects of cyclic freezing and thawing on mechanical properties of Qinghai-Tibet clay. Cold Reg. Sci. Technol. 2007, 48, 34–43. [Google Scholar] [CrossRef]
- Ma, R.M.; Jiang, Y.; Liu, B.; Fan, H.M. Effects of pore structure characterized by synchrotron-based micro-computed tomography on aggregate stability of black soil under freeze-thaw cycles. Soil Tillage Res. 2021, 207, 104855. [Google Scholar] [CrossRef]
- Edwards, L.M. The Effect of Alternate Freezing and Thawing on Aggregate Stability and Aggregate Size Distribution of Some Prince Edward Island Soils. Eur. J. Soil Sci. 2010, 42, 193–204. [Google Scholar] [CrossRef]
- Voltoini, M.; Tas, N.; Wang, S.; Brodie, E.L.; Ajo-Franklin, J.B. Quantitative Characterization of Soil Micro-aggregates: New Opportunities from Sub-micron Resolution Synchrotron X-ray Microtomography. Geoderma 2017, 305, 382–393. [Google Scholar] [CrossRef]
- Liu, X.J.; Jing, G.C.; Yang, Y.J. Effects of Alternate Freezing and Thawing on the Structure of Black Topsoil. Sci. Soil Water Conserv. 2015, 13, 42–46. [Google Scholar]
- Zhang, Z.; Ma, W.; Qi, J.L. Structure Evolution and Mechanism of Engineering Properties Change of Soils under Effect of Freeze-Thaw Cycle. J. Jilin Univ. Earth Sci. Ed. 2013, 43, 1904–1914. [Google Scholar]
- Liu, H.; Yang, Y.; Zhang, K.; Sun, C. Soil Erosion as Affected by Freeze-Thaw Regime and Initial Soil Moisture Content. Soil Sci. Soc. Am. J. 2017, 81, 459–467. [Google Scholar] [CrossRef]
- Miller, R. Frost Heaving in Non-colloidal Soils. In Proceedings of the Third International Conference on Permafrost, Edmonton, AB, Canada, 10–13 July 1978; Volume 1. [Google Scholar]
- Zhang, Q.; Song, Z.; Li, X.; Wang, J.; Liu, L. Deformation Behaviors and Meso-Structure Characteristics Variation of the Weathered Soil of Pisha Sandstone Caused by Freezing–Thawing Effect. Cold Reg. Sci. Technol. 2019, 167, 102864. [Google Scholar] [CrossRef]
- Shi, F.; Zhang, C.; Zhang, J.; Zhang, X.; Yao, J. The Changing Pore Size Distribution of Swelling and Shrinking Soil Revealed by Nuclear Magnetic Resonance Relaxometry. J. Soils Sediments 2017, 17, 61–69. [Google Scholar] [CrossRef]
- Sun, B.Y.; Xiao, J.; Li, Z.; Ma, B.; Zhang, L.; Huang, Y.; Bai, L. An analysis of soil detachment capacity under freeze-thaw conditions using the Taguchi method. Catena 2018, 162, 100–107. [Google Scholar] [CrossRef]
- Jian, X.; Cheng, Y.L.; Zhang, Q.W.; Jian, W.J.; Jun, Y. Experimental analysis on the mechanism of shear strength deterioration of undisturbed loess during the freeze-thaw process. J. Civ. Archit. Environ. Eng. 2016, 38, 90–98. [Google Scholar]
- Xie, S.B.; Qu, J.J.; Xu, X.T.; Pang, Y.J. Interactions between freeze–thaw actions, wind erosion desertification, and permafrost in the Qinghai–Tibet Plateau. Nat. Hazard. 2017, 85, 829–850. [Google Scholar] [CrossRef]
- Zhai, Y.Y.; Fang, H.Y. Spatiotemporal variations of freeze-thaw erosion risk during 1991–2020 in the black soil region, northeastern China. Ecol. Indic. 2023, 148, 110149. [Google Scholar] [CrossRef]
- Grogan, P.; Michelsen, A.; Ambus, P.; Jonasson, S. Freeze-thaw regime effects on carbon and nitrogen dynamics in sub-arctic health tundra mesocosms. Soil Biol. Biochem. 2004, 36, 641–654. [Google Scholar] [CrossRef]
- Gao, M.; Li, Y.; Zhang, X.; Zhang, F.; Liu, B.; Gao, S.; Chen, X. Influence of freeze-thaw process on soil physical, chemical and biological properties: A review. J. Agroenviron. Sci. 2016, 35, 2269–2274. [Google Scholar]
- Chen, S.Y.; Zhang, X.Y.; Shao, L.W.; Sun, H.Y.; Niu, J.F.; Liu, X.W. Effects of straw and manure management on soil and crop performance in North China Plain. Catena 2020, 187, 104359. [Google Scholar] [CrossRef]

















Disclaimer/Publisher’s Note: The statements, opinions and data contained in all publications are solely those of the individual author(s) and contributor(s) and not of MDPI and/or the editor(s). MDPI and/or the editor(s) disclaim responsibility for any injury to people or property resulting from any ideas, methods, instructions or products referred to in the content. |
© 2025 by the authors. Licensee MDPI, Basel, Switzerland. This article is an open access article distributed under the terms and conditions of the Creative Commons Attribution (CC BY) license (https://creativecommons.org/licenses/by/4.0/).
Share and Cite
Ge, Z.; Gao, K.; Dun, H.; Huang, N.; Pakzad, R.; Meng, Y. Mechanistic Links Between Freeze–Thaw Cycles and Topsoil Erosion on the Qinghai–Tibet Plateau. Atmosphere 2025, 16, 1053. https://doi.org/10.3390/atmos16091053
Ge Z, Gao K, Dun H, Huang N, Pakzad R, Meng Y. Mechanistic Links Between Freeze–Thaw Cycles and Topsoil Erosion on the Qinghai–Tibet Plateau. Atmosphere. 2025; 16(9):1053. https://doi.org/10.3390/atmos16091053
Chicago/Turabian StyleGe, Zhenghu, Kang Gao, Hongchao Dun, Ning Huang, Rezaali Pakzad, and Yang Meng. 2025. "Mechanistic Links Between Freeze–Thaw Cycles and Topsoil Erosion on the Qinghai–Tibet Plateau" Atmosphere 16, no. 9: 1053. https://doi.org/10.3390/atmos16091053
APA StyleGe, Z., Gao, K., Dun, H., Huang, N., Pakzad, R., & Meng, Y. (2025). Mechanistic Links Between Freeze–Thaw Cycles and Topsoil Erosion on the Qinghai–Tibet Plateau. Atmosphere, 16(9), 1053. https://doi.org/10.3390/atmos16091053

