Characteristics of Soil Temperature Change in Lhasa in the Face of Climate Change
Abstract
1. Introduction
2. Materials and Methods
2.1. Study Area
2.2. Data Source
2.3. Methods
2.3.1. Linear Tendency Estimation Method
2.3.2. Mann–Kendall Nonparametric Test
2.3.3. Wavelet Analysis
2.3.4. Pearson Correlation Coefficient
3. Results
3.1. Time Variation of Soil Temperature
3.1.1. Mutability Analysis
3.1.2. Periodic Analysis
3.1.3. Trend Analysis
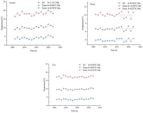
3.2. Response of Soil Temperature to Climate Change
3.2.1. Response of Soil Temperature to Air Temperature Change
3.2.2. Response of Soil Temperature to Snow Depth Change
4. Discussion
5. Conclusions
Author Contributions
Funding
Institutional Review Board Statement
Informed Consent Statement
Data Availability Statement
Conflicts of Interest
References
- Koster, R.D.; Guo, Z.C.; Yang, R.Q.; Dirmeyer, P.A.; Mitchell, K.; Puma, M.J. On the Nature of Soil Moisture in Land Surface Models. J. Clim. 2009, 22, 4322–4335. [Google Scholar] [CrossRef]
- Zhang, Y.L.; Cheng, G.D.; Li, X.; Jin, H.J.; Yang, D.W.; Flerchinger, G.N.; Chang, X.L.; Bense, V.F.; Han, X.J.; Liang, J. Influences of Frozen Ground and Climate Change on Hydrological Processes in an Alpine Watershed: A Case Study in the Upstream Area of the Hei’he River, Northwest China. Permafr. Periglac. Process. 2017, 28, 420–432. [Google Scholar] [CrossRef]
- Zhang, Y.; Chen, W.; Smith, S.L.; Riseborough, D.W.; Cihlar, J. Soil temperature in Canada during the twentieth century: Complex responses to atmospheric climate change. J. Geophys. Res. Atmos. 2005, 110. [Google Scholar] [CrossRef]
- Wundram, D.; Pape, R.; Löffler, J. Alpine Soil Temperature Variability at Multiple Scales. Arct. Antarct. Alp. Res. 2010, 42, 117–128. [Google Scholar] [CrossRef]
- Ullah, A.; Bano, A.; Khan, N. Climate Change and Salinity Effects on Crops and Chemical Communication between Plants and Plant Growth-Promoting Microorganisms under Stress. Front. Sustain. Food Syst. 2021, 5, 618092. [Google Scholar] [CrossRef]
- Zhang, T.; Barry, R.G.; Gilichinsky, D.; Bykhovets, S.S.; Sorokovikov, V.A.; Change, Y.J.C. An amplified signal of climatic change in soil temperatures during the last century at Irkutsk, Russia. Clim. Chang. 2001, 49, 41–76. [Google Scholar] [CrossRef]
- Corwin, D.L. Climate change impacts on soil salinity in agricultural areas. Eur. J. Soil Sci. 2021, 72, 842–862. [Google Scholar] [CrossRef]
- Malhi, Y.; Franklin, J.; Seddon, N.; Solan, M.; Turner, M.G.; Field, C.B.; Knowlton, N. Climate change and ecosystems: Threats, opportunities and solutions. Philos. Trans. R. Soc. B Biol. Sci. 2020, 375, 20190104. [Google Scholar] [CrossRef]
- Balybina, A.S.; Trofimova, I.E. Soil Temperature Dynamics in Transbaikalia under Changing Climate Conditions. Russ. Meteorol. Hydrol. 2019, 44, 712–717. [Google Scholar] [CrossRef]
- Goncharova, O.Y.; Matyshak, G.V.; Epstein, H.E.; Sefilian, A.R.; Bobrik, A.A. Influence of snow cover on soil temperatures: Meso- and micro-scale topographic effects (a case study from the northern West Siberia discontinuous permafrost zone). Catena 2019, 183, 104224. [Google Scholar] [CrossRef]
- Tsilingiridis, G.; Papakostas, K. Investigating the relationship between air and ground temperature variations in shallow depths in northern Greece. Energy 2014, 73, 1007–1016. [Google Scholar] [CrossRef]
- Qian, B.D.; Gregorich, E.G.; Gameda, S.; Hopkins, D.W.; Wang, X.L.L. Observed soil temperature trends associated with climate change in Canada. J. Geophys. Res.-Atmos. 2011, 116, D0210. [Google Scholar] [CrossRef]
- Wang, X.; Guo, W.; Zhong, Z.; Cui, X. Long Term Trends of Soil Moisture and Temperature Change in East China in Relationship with Climate Background. Adv. Earth Sci. 2009, 24, 181–191. [Google Scholar] [CrossRef]
- Guo, D.; Li, D.; Liu, G.J.Q.S. Simulated change in soil temperature on the Tibetan Plateau from 1901 to 2010. Quat. Sci. 2017, 37, 1102–1110. [Google Scholar] [CrossRef]
- Qingbai, W.; Yongzhi, L. Ground temperature monitoring and its recent change in Qinghai–Tibet Plateau. Cold Reg. Sci. Technol. 2004, 38, 85–92. [Google Scholar] [CrossRef]
- Qin, Y.H.; Liu, W.F.; Guo, Z.H.; Xue, S.B. Spatial and temporal variations in soil temperatures over the Qinghai-Tibet Plateau from 1980 to 2017 based on reanalysis products. Theor. Appl. Climatol. 2020, 140, 1055–1069. [Google Scholar] [CrossRef]
- Huang, F.; Zhan, W.F.; Ju, W.M.; Wang, Z.H. Improved reconstruction of soil thermal field using two-depth measurements of soil temperature. J. Hydrol. 2014, 519, 711–719. [Google Scholar] [CrossRef]
- Yang, S.H.; Li, R.; Wu, T.H.; Hu, G.J.; Xiao, Y.; Du, Y.Z.; Zhu, X.F.; Ni, J.; Ma, J.J.; Zhang, Y.X.; et al. Evaluation of reanalysis soil temperature and soil moisture products in permafrost regions on the Qinghai-Tibetan Plateau. Geoderma 2020, 377, 114583. [Google Scholar] [CrossRef]
- Duan, A.; Xiao, Z.J. Does the climate warming hiatus exist over the Tibetan Plateau? Sci. Rep. 2015, 5, 13711. [Google Scholar] [CrossRef]
- Lin, L.; Gao, M.; Liu, J.T.; Wang, J.R.; Wang, S.H.; Chen, X.; Liu, H. Understanding the effects of climate warming on streamflow and active groundwater storage in an alpine catchment: The upper Lhasa River. Hydrol. Earth Syst. Sci. 2020, 24, 1145–1157. [Google Scholar] [CrossRef]
- Liu, X.; Chen, B. Climatic warming in the Tibetan Plateau during recent decades. Int. J. Climatol. J. R. Meteorol. Soc. 2000, 20, 1729–1742. [Google Scholar] [CrossRef]
- Liu, J.T.; Gao, Z.J.; Wang, M.; Li, Y.Z.; Ma, Y.Y.; Shi, M.J.; Zhang, H.Y. Study on the dynamic characteristics of groundwater in the valley plain of Lhasa City. Environ. Earth Sci. 2018, 77, 646. [Google Scholar] [CrossRef]
- Wei, N.N.; Ma, C.L.; Liu, J.W.; Wang, G.H.; Liu, W.; Zhuoga, D.Q.; Xiao, D.T.; Yao, J. Size-Segregated Characteristics of Carbonaceous Aerosols during the Monsoon and Non-Monsoon Seasons in Lhasa in the Tibetan Plateau. Atmosphere 2019, 10, 157. [Google Scholar] [CrossRef]
- Du, J.; Li, C.; Liao, J.; Lhak, P.; Lu, H. Responses of Climatic Change on Soil Temperature at Shallow Layers in Lhasa from 1961 to 2005. Meteorol. Mon. 2007, 33, 61–67. [Google Scholar] [CrossRef]
- Chen, T.T.; Lang, W.; Chan, E.; Philipp, C.H. Lhasa: Urbanising China in the frontier regions. Cities 2018, 74, 343–353. [Google Scholar] [CrossRef]
- Li, N.; Zhou, C.Y.; Zhao, P. The Validation of Soil Moisture from Various Sources and Its Influence Factors in the Tibetan Plateau. Remote Sens. 2022, 14, 4109. [Google Scholar] [CrossRef]
- Ji, L.; Senay, G.B.; Verdin, J.P. Evaluation of the Global Land Data Assimilation System (GLDAS) Air Temperature Data Products. J. Hydrometeorol. 2015, 16, 2463–2480. [Google Scholar] [CrossRef]
- Liebl, D.; Rameseder, S.; Rust, C. Improving Estimation in Functional Linear Regression with Points of Impact: Insights into Google AdWords. J. Comput. Graph. Stat. 2020, 29, 814–826. [Google Scholar] [CrossRef]
- Wang, S.J.; Zhang, X.L. Long-term trend analysis for temperature in the Jinsha River Basin in China. Theor. Appl. Climatol. 2012, 109, 591–603. [Google Scholar] [CrossRef]
- Basarir, A.; Arman, H.; Hussein, S.; Murad, A.; Aldahan, A.; Al-Abri, M.A. Trend Detection in Climate Change Indicators Using Non-Parametric Statistics: A Case Study of Abu Dhabi, United Arab Emirates. Acta Phys. Pol. A 2017, 132, 655–657. [Google Scholar] [CrossRef]
- Bora, S.L.; Bhuyan, K.; Hazarika, P.J.; Gogoi, J.; Goswami, K. Analysis of rainfall trend using non-parametric methods and innovative trend analysis during 1901–2020 in seven states of North East India. Curr. Sci. 2022, 122, 801–811. [Google Scholar] [CrossRef]
- Cunderlik, J.M.; Burn, D.H. Non-stationary pooled flood frequency analysis. J. Hydrol. 2003, 276, 210–223. [Google Scholar] [CrossRef]
- Hamed, K.H.; Ramachandra Rao, A. A modified Mann-Kendall trend test for autocorrelated data. J. Hydrol. 1998, 204, 182–196. [Google Scholar] [CrossRef]
- Volvach, A.; Kurbasova, G.; Volvach, L. Wavelets in the analysis of local time series of the Earth’s surface air. Heliyon 2024, 10, e23237. [Google Scholar] [CrossRef]
- Rouyer, T.; Fromentin, J.M.; Stenseth, N.C.; Cazelles, B. Analysing multiple time series and extending significance testing in wavelet analysis. Mar. Ecol. Prog. Ser. 2008, 359, 11–23. [Google Scholar] [CrossRef]
- Edelmann, D.; Móri, T.F.; Székely, G.J. On relationships between the Pearson and the distance correlation coefficients. Stat. Probab. Lett. 2021, 169, 108960. [Google Scholar] [CrossRef]
- Liu, Y.; Wang, L.; Liu, B.H.; Henderson, M. Observed changes in shallow soil temperatures in Northeast China, 1960–2007. Clim. Res. 2016, 67, 31–42. [Google Scholar] [CrossRef]
- Chen, X.G.; Li, Y.; Chau, H.W.; Zhao, H.C.; Li, M.; Lei, T.J.; Zou, Y.F. The spatiotemporal variations of soil water content and soil temperature and the influences of precipitation and air temperature at the daily, monthly, and annual timescales in China. Theor. Appl. Climatol. 2020, 140, 429–451. [Google Scholar] [CrossRef]
- Fang, X.W.; Luo, S.Q.; Lyu, S.H. Observed soil temperature trends associated with climate change in the Tibetan Plateau, 1960–2014. Theor. Appl. Climatol. 2019, 135, 169–181. [Google Scholar] [CrossRef]
- Zhu, F.X.; Cuo, L.; Zhang, Y.X.; Luo, J.J.; Lettenmaier, D.P.; Lin, Y.M.; Liu, Z. Spatiotemporal variations of annual shallow soil temperature on the Tibetan Plateau during 1983–2013. Clim. Dyn. 2018, 51, 2209–2227. [Google Scholar] [CrossRef]
- Fassnacht, S.R.; Brown, K.S.J.; Blumberg, E.J.; Moreno, J.I.L.; Covino, T.P.; Kappas, M.; Huang, Y.; Leone, V.; Kashipazha, A.H. Distribution of snow depth variability. Front. Earth Sci. 2018, 12, 683–692. [Google Scholar] [CrossRef]
- Shen, M.G.; Piao, S.L.; Jeong, S.J.; Zhou, L.M.; Zeng, Z.Z.; Ciais, P.; Chen, D.L.; Huang, M.T.; Jin, C.S.; Li, L.Z.X.; et al. Evaporative cooling over the Tibetan Plateau induced by vegetation growth. Proc. Natl. Acad. Sci. USA 2015, 112, 9299–9304. [Google Scholar] [CrossRef]
- Grünberg, I.; Wilcox, E.J.; Zwieback, S.; Marsh, P.; Boike, J. Linking tundra vegetation, snow, soil temperature, and permafrost. Biogeosciences 2020, 17, 4261–4279. [Google Scholar] [CrossRef]
- Zhan, M.J.; Xia, L.J.; Zhan, L.F.; Wang, Y.H. Evaluation and Analysis of Soil Temperature Data over Poyang Lake Basin, China. Adv. Meteorol. 2020, 2020, 8839111. [Google Scholar] [CrossRef]
- Li, N.; Cuo, L.; Zhang, Y.X. On the freeze-thaw cycles of shallow soil and connections with environmental factors over the Tibetan Plateau. Clim. Dyn. 2021, 57, 3183–3206. [Google Scholar] [CrossRef]
- García-Suárez, A.M.; Butler, C.J. Soil temperatures at Armagh observatory, Northern Ireland, from 1904 to 2002. Int. J. Climatol. J. R. Meteorol. Soc. 2006, 26, 1075–1089. [Google Scholar] [CrossRef]
- Zhan, M.J.; Xia, L.J.; Zhan, L.F.; Wang, Y.H. Recognition of Changes in Air and Soil Temperatures at a Station Typical of China’s Subtropical Monsoon Region (1961–2018). Adv. Meteorol. 2019, 2019, 6927045. [Google Scholar] [CrossRef]
- Cuo, L.; Zhang, Y.X.; Bohn, T.J.; Zhao, L.; Li, J.L.; Liu, Q.M.; Zhou, B.R. Frozen soil degradation and its effects on surface hydrology in the northern Tibetan Plateau. J. Geophys. Res. -Atmos. 2015, 120, 8276–8298. [Google Scholar] [CrossRef]
- Li, X.; Cheng, G.; Lu, L.J.A.A.; Research, A. Spatial Analysis of Air Temperature in the Qinghai-Tibet Plateau. Arct. Antarct. Alp. Res. 2005, 37, 246–252. [Google Scholar] [CrossRef]








| Index | Spring | Summer | Autumn | Winter | Year |
|---|---|---|---|---|---|
| ST1 | 2008, 2018, 2019, 2021 | 2008, 2019, 2020 | 2009, 2010, 2011, 2013 | 2007, 2021 | 2007 |
| ST2 | 2008, 2019, 2020 | 2008 | 2009 | 2007, 2018, 2019 | 2007 |
| ST3 | 2008 | 2007, 2019, 2021 | 2008 | 2009, 2010, 2013 | 2008 |
| ST4 | 2008 | 2008, 2020 | 2008 | 2013 | 2008 |
| Climate Trend Rate (°C/Decade) | Spring | Summer | Autumn | Winter | Year |
|---|---|---|---|---|---|
| ST1 | 0.65 | 0.25 | 1.1 | 0.83 | 0.58 |
| ST2 | 0.70 | 0.42 | 0.76 | 0.87 | 0.63 |
| ST3 | 0.72 | 0.56 | 0.58 | 0.78 | 0.64 |
| ST4 | 0.71 | 0.82 | 0.61 | 0.38 | 0.65 |
| Season | Meteorological Factor | ST1 | ST2 | ST3 | ST4 |
|---|---|---|---|---|---|
| Spring | MAT | 0.783 ** | 0.706 ** | 0.506 * | 0.203 |
| Tmax | 0.673 ** | 0.581 * | 0.365 | 0.061 | |
| Tmin | 0.767 ** | 0.716 ** | 0.551 * | 0.288 | |
| SD | −0.636 ** | −0.489 * | −0.249 | 0.119 | |
| Summer | MAT | 0.187 | 0.162 | 0.119 | 0.077 |
| Tmax | 0.219 | 0.183 | 0.131 | 0.066 | |
| Tmin | 0.159 | 0.152 | 0.133 | 0.113 | |
| SD | −0.522 * | −0.569 * | −0.576 * | −0.543 * | |
| Autumn | MAT | 0.771 ** | 0.676 ** | 0.461 | 0.288 |
| Tmax | 0.731 ** | 0.666 ** | 0.478 | 0.306 | |
| Tmin | 0.690 ** | 0.554 * | 0.306 | 0.105 | |
| SD | −0.519 * | −0.379 | −0.163 | −0.033 | |
| Winter | MAT | 0.826 ** | 0.730 ** | 0.596 * | 0.232 |
| Tmax | 0.771 ** | 0.619 ** | 0.438 | 0.029 | |
| Tmin | 0.738 ** | 0.683 ** | 0.576 * | 0.265 | |
| SD | −0.585 * | −0.419 | −0.238 | 0.131 |
Disclaimer/Publisher’s Note: The statements, opinions and data contained in all publications are solely those of the individual author(s) and contributor(s) and not of MDPI and/or the editor(s). MDPI and/or the editor(s) disclaim responsibility for any injury to people or property resulting from any ideas, methods, instructions or products referred to in the content. |
© 2024 by the authors. Licensee MDPI, Basel, Switzerland. This article is an open access article distributed under the terms and conditions of the Creative Commons Attribution (CC BY) license (https://creativecommons.org/licenses/by/4.0/).
Share and Cite
Jia, M.; Dai, C.; Yu, M.; Yang, H.; Li, R.; Feng, X. Characteristics of Soil Temperature Change in Lhasa in the Face of Climate Change. Atmosphere 2024, 15, 450. https://doi.org/10.3390/atmos15040450
Jia M, Dai C, Yu M, Yang H, Li R, Feng X. Characteristics of Soil Temperature Change in Lhasa in the Face of Climate Change. Atmosphere. 2024; 15(4):450. https://doi.org/10.3390/atmos15040450
Chicago/Turabian StyleJia, Minghui, Changlei Dai, Miao Yu, Hongnan Yang, Ruotong Li, and Xue Feng. 2024. "Characteristics of Soil Temperature Change in Lhasa in the Face of Climate Change" Atmosphere 15, no. 4: 450. https://doi.org/10.3390/atmos15040450
APA StyleJia, M., Dai, C., Yu, M., Yang, H., Li, R., & Feng, X. (2024). Characteristics of Soil Temperature Change in Lhasa in the Face of Climate Change. Atmosphere, 15(4), 450. https://doi.org/10.3390/atmos15040450
