Machine Learning for Optimising Renewable Energy and Grid Efficiency
Abstract
1. Introduction
2. Methodology
2.1. Data Collection and Preparation
2.2. Data Sanitisation and Preparation
2.3. Machine Learning Models and Algorithms
2.3.1. Optimisation Models
2.3.2. Anomaly Detection Models
2.4. Evaluation Metrics
2.4.1. Regression Metrics
2.4.2. Classification Metrics
2.4.3. Optimisation Metrics
3. Experimental Results and Analysis
3.1. Analysis of Renewable Energy Systems
3.1.1. Temporal and Spatial Variations in Energy Generation
3.1.2. Energy Consumption Patterns
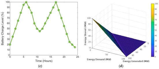
3.1.3. Grid Efficiency and Energy Storage
3.2. Predictive Performance of Machine Learning Models
3.2.1. Energy Generation Forecasting
3.2.2. Energy Demand Prediction
3.2.3. Grid and Storage Optimisation
3.3. Insights for Achieving Net Zero Targets
3.3.1. Optimisation of Renewable Energy Integration
3.3.2. Improving Energy Efficiency
3.3.3. Enhanced Decision-Making for Policymakers and Investors
3.3.4. Scaling Machine Learning for Global Impact
4. Results and Discussion
4.1. Implications of Findings
4.2. Challenges in Implementing Machine Learning for Net Zero
4.3. Opportunities for Machine Learning in Renewable Energy
5. Conclusions
Author Contributions
Funding
Institutional Review Board Statement
Informed Consent Statement
Data Availability Statement
Conflicts of Interest
References
- Net Zero: A Short History|Net Zero Tracker. Available online: https://zerotracker.net/insights/net-zero-short-history (accessed on 1 July 2023).
- Race to Net Zero: Carbon Neutral Goals by Country. Available online: https://www.visualcapitalist.com/sp/race-to-net-zero-carbon-neutral-goals-by-country/ (accessed on 1 July 2023).
- Net Zero Tracker|Welcome. Available online: https://zerotracker.net/ (accessed on 29 June 2023).
- Yang, J.; Xu, W.; Ma, K.; Li, C. A Three-Stage Multi-Energy Trading Strategy Based on P2P Trading Mode. IEEE Trans. Sustain. Energy 2023, 14, 233–241. [Google Scholar] [CrossRef]
- Net Zero by 2050—Analysis—IEA. Available online: https://www.iea.org/reports/net-zero-by-2050 (accessed on 29 June 2023).
- Post-COP26 Snapshot|Net Zero Tracker. Available online: https://zerotracker.net/analysis/post-cop26-snapshot (accessed on 29 June 2023).
- Oladapo, B.I.; Bowoto, O.K.; Adebiyi, V.A.; Ikumapayi, O.M. Net zero on 3D printing filament recycling: A sustainable analysis. Sci. Total Environ. 2023, 894, 165046. [Google Scholar] [CrossRef] [PubMed]
- Ma, K.; Yu, Y.; Yang, B.; Yang, J. Demand-Side Energy Management Considering Price Oscillations for Residential Building Heating and Ventilation Systems. IEEE Trans. Ind. Inform. 2019, 15, 4742–4752. [Google Scholar] [CrossRef]
- Pollard, S. Imagining the net zero emissions city: Urban climate governance in the city of Melbourne, Australia. In The Role of Non-State Actors in the Green Transition: Building a Sustainable Future; Taylor Francis: Abingdon, UK, 2019; pp. 211–229. [Google Scholar] [CrossRef]
- Zheng, C.; Chen, H. Revisiting the linkage between financial inclusion and energy productivity: Technology implications for climate change. Sustain. Energy Technol. Assess. 2023, 57, 103275. [Google Scholar] [CrossRef]
- Li, L.; Han, Y.; Li, Q.; Chen, W. Multi-Dimensional Economy-Durability Optimization Method for Integrated Energy and Transportation System of Net-Zero Energy Buildings. IEEE Trans. Sustain. Energy 2024, 15, 146–159. [Google Scholar] [CrossRef]
- Mazumdar, S.; Thakker, D.; Hayes, J.; Matos, N.; Bate, P. Towards achieving net zero by 2050 in the UK—Stakeholder perspectives in integrated urban planning. Futures 2023, 152, 103197. Available online: https://www.sciencedirect.com/science/article/pii/S0016328723001015 (accessed on 1 July 2023). [CrossRef]
- Xu, A.; Song, M.; Wu, Y.; Luo, Y.; Zhu, Y.; Qiu, K. Effects of new urbanisation on China’s carbon emissions: A quasi-natural experiment based on the improved PSM-DID model. Technol. Forecast. Soc. Chang. 2024, 200, 123164. [Google Scholar] [CrossRef]
- Audioundwerbung. The Road to Net Zero Study on the Strategic Deployment of Battery-Electric Vehicles and Fuel Cell-Electric Vehicles Infrastructure; Publications Office of the European Union: Luxemburg, 2022. [Google Scholar] [CrossRef]
- Qin, C.; Shi, G.; Tao, J.; Yu, H.; Jin, Y.; Xiao, D.; Liu, C. RCLSTMNet: A Residual-convolutional-LSTM Neural Network for Forecasting Cutterhead Torque in Shield Machine. Int. J. Control Autom. Syst. 2024, 22, 705–721. [Google Scholar] [CrossRef]
- Nuclear Power Capacity Additions and Retirements in Selected Countries and Regions by Decade in the Net Zero Scenario—Charts—Data & Statistics—IEA. Available online: https://www.iea.org/data-and-statistics/charts/nuclear-power-capacity-additions-and-retirements-in-selected-countries-and-regions-by-decade-in-the-net-zero-scenario (accessed on 1 July 2023).
- Qin, C.; Huang, G.; Yu, H.; Zhang, Z.; Tao, J.; Liu, C. Adaptive VMD and multi-stage stabilised transformer-based long-distance forecasting for multiple shield machine tunneling parameters. Autom. Constr. 2024, 165, 105563. [Google Scholar] [CrossRef]
- Gallego-Madrid, J.; Sanchez-Iborra, R.; Ruiz, P.M.; Skarmeta, A.F. Machine learning-based zero-touch network and service management: A survey. Digit. Commun. Netw. 2022, 8, 105–123. [Google Scholar] [CrossRef]
- Vardon, D.R.; Sherbacow, B.J.; Guan, K.; Heyne, J.S.; Abdullah, Z. Realising “net-zero-carbon” sustainable aviation fuel. Future Energy 2022, 6, 16–21. [Google Scholar]
- Gong, Q.; Wu, J.; Jiang, Z.; Hu, M.; Chen, J.; Cao, Z. An integrated design method for remanufacturing scheme considering carbon emission and customer demands. J. Clean. Prod. 2024, 476, 143681. [Google Scholar] [CrossRef]
- Ashraf, W.M.; Uddin, G.M.; Ahmad, H.A.; Jamil, M.A.; Tariq, R.; Shahzad, M.W.; Dua, V. Artificial intelligence-enabled efficient power generation and emissions reduction underpinning net-zero goal from the coal-based power plants. Energy Convers. Manag. 2022, 268, 116025. [Google Scholar] [CrossRef]
- Li, T.; Yu, L.; Ma, Y.; Duan, T.; Huang, W.; Zhou, Y.; Jin, D.; Li, Y.; Jiang, T. Carbon emissions of 5G mobile networks in China. Nat. Sustain. 2023, 6, 1620–1631. [Google Scholar] [CrossRef]
- Mousavi, S.; Villarreal-Marroquín, M.G.; Hajiaghaei-Keshteli, M.; Smith, N.R. Data-driven prediction and optimisation toward net-zero and positive-energy buildings: A systematic review. Build. Environ. 2023, 242, 110578. [Google Scholar] [CrossRef]
- Li, T.; Li, Y. Artificial intelligence for reducing the carbon emissions of 5G networks in China. Nat. Sustain. 2023, 6, 1522–1523. [Google Scholar] [CrossRef]
- Sachdeva, S.; Hsu, A.; French, I.; Lim, E. A computational approach to analysing climate strategies of cities pledging net zero. Npj Urban Sustain. 2022, 2, 21. [Google Scholar] [CrossRef]
- Vu, T.T.H.; Delinchant, B.; Phan, A.T.; Bui, V.C.; Nguyen, D.Q. A Practical Approach to Launch the Low-Cost Monitoring Platforms for Nearly Net-Zero Energy Buildings in Vietnam. Energies 2022, 15, 4924. [Google Scholar] [CrossRef]
- Pearson, S.; Camacho-Villa, T.C.; Valluru, R.; Gaju, O.; Rai, M.C.; Gould, I.; Brewer, S.; Sklar, E. Robotics and autonomous systems for net zero agriculture. Curr. Robot. Rep. 2022, 3, 57–64. [Google Scholar] [CrossRef]
- Hashemi, M. Enlarging smaller images before inputting into convolutional neural network: Zero-padding vs. interpolation. J. Big Data 2019, 6, 1–13. [Google Scholar] [CrossRef]
- Luo, J.; Wang, Y.; Li, G. The innovation effect of administrative hierarchy on intercity connection: The machine learning of twin cities. J. Innov. Knowl. 2023, 8, 100293. [Google Scholar] [CrossRef]
- Haghighi, M.S.; Farivar, F.; Jolfaei, A. A machine learning-based approach to build zero false-positive IPSs for industrial IoT and CPS with a case study on power grids security. IEEE Trans. Ind. Appl. 2020, 60, 920–928. [Google Scholar]
- Heo, S.; Ko, J.; Kim, S.; Jeong, C.; Hwangbo, S.; Yoo, C. Explainable AI-driven net-zero carbon roadmap for petrochemical industry considering stochastic scenarios of remotely sensed offshore wind energy. J. Clean. Prod. 2022, 379, 134793. [Google Scholar] [CrossRef]
- Machine Learning Net Zero—Google Scholar. Available online: https://scholar.google.com/scholar?start=40&q=Machine+learning+Net+Zero&hl=en&as_sdt=0,5 (accessed on 14 July 2023).
- Yang, M.; Jayaprakash, B.; Eagon, M.; Jung, H.; Northrop, W.F.; Shekhar, S. Data Mining Challenges and Opportunities to Achieve Net Zero Carbon Emissions: Focus on Electrified Vehicles. In Proceedings of the 2023 SIAM International Conference on Data Mining (SDM), Minneapolis-St. Paul Twin Cities, MN, USA, 27–29 April 2023. [Google Scholar]
- Hsu, A.; Logan, K.; Qadir, M.; Booysen, M.T.; Montero, A.M.; Tong, K.K.; Broadbent, G.; Wiedmann, T.; Woon, V.K.; Good, C.; et al. Opportunities and barriers to net-zero cities. One Earth 2022, 5, 739–744. [Google Scholar] [CrossRef]
- Ma, Z.; Cheah, W.Y.; Ng, I.S.; Chang, J.S.; Zhao, M.; Show, P.L. Microalgae-based biotechnological sequestration of carbon dioxide for net zero emissions. Trends Biotechnol. 2022, 40, 1439–1453. [Google Scholar] [CrossRef]
- Ak, E.; Duran, K.; Dobre, O.A.; Duong, T.Q.; Canberk, B. T6conf: Digital twin networking framework for ipv6-enabled net-zero smart cities. IEEE Commun. Mag. 2023, 61, 36–42. [Google Scholar] [CrossRef]
- Nathanael, A.J.; Kannaiyan, K.; Kunhiraman, A.K.; Ramakrishna, S.; Kumaravel, V. Global opportunities and challenges on net-zero CO2 emissions towards a sustainable future. React. Chem. Eng. 2021, 6, 2226–2247. [Google Scholar] [CrossRef]
- Liang, L.; Liu, M.; Martin, C.; Sun, W. A machine learning approach as a surrogate of finite element analysis–based inverse method to estimate the zero-pressure geometry of human thoracic aorta. Int. J. Numer. Methods Biomed. Eng. 2018, 34, e3103. [Google Scholar] [CrossRef]
- Hsu, A.W.; Serrão, R.G. U-Net CNN in APL: Exploring Zero-Framework, Zero-Library Machine Learning. In Proceedings of the 9th ACM SIGPLAN International Workshop on Libraries, Languages and Compilers for Array Programming, Orlando, FL, USA, 18 June 2023. [Google Scholar] [CrossRef]
- Kang, C.; Jung, H.; Lee, Y. Towards machine learning with zero real-world data. In Proceedings of the 5th ACM Workshop on Wearable Systems and Applications, Seoul, Republic of Korea, 21 June 2019; pp. 41–46. [Google Scholar] [CrossRef]
- Lacoste, A.; Luccioni, A.; Schmidt, V.; Dandres, T. Quantifying the carbon emissions of machine learning. arXiv 2019, arXiv:1910.09700. [Google Scholar]
- Guo, Y. A review of Machine Learning-based zero-day attack detection: Challenges and future directions. Comput. Commun. 2023, 198, 175–185. [Google Scholar] [CrossRef]
- Sharma, N.; De, P.K. Application of Machine Learning to Predict CO2 Emission from Transport Sector to Mitigate Climate Change. In Towards Net-Zero Targets; Springer: Berlin/Heidelberg, Germany, 2022. [Google Scholar]
- de Sousa, N.F.; Islam, M.T.; Mustafa, R.U.; Perez, D.A.; Rothenberg, C.E.; Gomes, P.H. Machine learning-assisted closed-control loops for beyond 5G multi-domain zero-touch networks. J. Netw. Syst. Manag. 2022, 30, 46. [Google Scholar] [CrossRef]
- Bellatreche, L.; Garcia, F.; Pham, D.N.; Jiménez, P.Q. SONDER: A data-driven methodology for designing net-zero energy public buildings. In Proceedings of the International Conference on Big Data Analytics and Knowledge Discovery, Bratislava, Slovakia, 14–17 September 2020. [Google Scholar]
- Sakshi, D.; Nikhil, D.; Preyansh, J.; Anant, K.; Ravi, S. 10 A Review of Technologies in Net Zero Energy Building for Islanded Operation; River Publishers: Kolkata, India, 2023. [Google Scholar]
- Kezunovic, M.; Baembitov, R.; Khoshjahan, M. Data-driven state of risk prediction and mitigation in support of the net-zero carbon electric grid. arXiv 2022, arXiv:2207.03472. [Google Scholar]
- Kim, J.; Kang, J. Development of hazard capacity factor design model for net-zero: Evaluation of the flood adaptation effects considering green-gray infrastructure interaction. Sustain. Cities Soc. 2023, 96, 104625. [Google Scholar] [CrossRef]
- Mills, N.; Rathnayaka, P.; Moraliyage, H.; De Silva, D.; Jennings, A. Cloud Edge Architecture Leveraging Artificial Intelligence and Analytics for Microgrid Energy Optimisation and Net Zero Carbon Emissions. In Proceedings of the 2022 15th International Conference on Human System Interaction (HSI), Melbourne, Australia, 28–31 July 2022. [Google Scholar]
- Xu, B.; Guo, Y. A novel DVL calibration method based on robust invariant extended Kalman filter. IEEE Trans. Veh. Technol. 2022, 71, 9422–9434. [Google Scholar] [CrossRef]
- Najar, T.; Aldo, C. NetZero Insight: The Role of Data Analytics and Machine Learning in Combating Climate Change. Master’s Thesis, Rochester Institute of Technology, Rochester, UK, 2023. [Google Scholar]
- Čurčić, T.; Kalloe, R.R.; Kreszner, M.A.; Van Luijk, O.; Puertas Puchol, S.; Caba Batuecas, E.; Salcedo Rahola, T.B. Gaining insights into dwelling characteristics using machine learning for policy making on nearly zero-energy buildings with the use of smart meter and weather data. J. Sustain. Dev. Energy Water Environ. Syst. 2022, 10, 1–13. [Google Scholar] [CrossRef]
- Marteau, T.M.; Chater, N.; Garnett, E.E. Changing behaviour for net zero 2050. BMJ 2021, 7, 375. [Google Scholar] [CrossRef]
- Ramezanpour, K.; Jagannath, J. Intelligent zero trust architecture for 5G/6G networks: Principles, challenges, and the role of machine learning in the context of O-RAN. Comput. Netw. 2022, 217, 109358. [Google Scholar] [CrossRef]
- Liu, W.; Shen, Y.; Aungkulanon, P.; Ghalandari, M.; Le, B.N.; Alviz-Meza, A.; Cárdenas-Escrocia, Y. Machine learning applications for photovoltaic system optimisation in zero green energy buildings. Energy Rep. 2023, 9, 2787–2796. [Google Scholar] [CrossRef]
- Oviedo-Cepeda, J.C.; Amara, F.Z.; Athienitis, A.K. Model Predictive Control Horizon Impact Over the Flexibility of a Net Zero Energy Building. In Proceedings of the InIECON 2021–47th Annual Conference of the IEEE Industrial Electronics Society, Toronto, ON, Canada, 13–16 October 2021. [Google Scholar]
- Friesen, M.; Wisniewski, L.; Jasperneite, J. Machine Learning for Zero-Touch Management in Heterogeneous Industrial Networks-A Review. In Proceedings of the 2022 IEEE 18th International Conference on Factory Communication Systems (WFCS), Pavia, Italy, 27–29 April 2022. [Google Scholar] [CrossRef]
- Schmidt, J.; Hoffmann, N.; Wang, H.C.; Borlido, P.; Carriço, P.J.; Cerqueira, T.F.; Botti, S.; Marques, M.A. Machine-Learning-Assisted Determination of the Global Zero-Temperature Phase Diagram of Materials. Adv. Mater. 2023, 35, 2210788. [Google Scholar] [CrossRef]
- Zhou, Q.; Pezaros, D. Evaluation of Machine Learning Classifiers for Zero-Day Intrusion Detection—An Analysis on CIC-AWS-2018 dataset. arXiv 2019, arXiv:1905.03685. [Google Scholar]
- Weng, C.; Yang, K.; Xie, X.; Katz, J.; Wang, X. Mystique: Efficient conversions for {Zero-Knowledge} proofs with applications to machine learning. In Proceedings of the 30th USENIX Security Symposium (USENIX Security 21), Vancouver, BC, Canada, 11–13 August 2021. [Google Scholar]
- Ohene, E.; Chan, A.P.; Darko, A. Review of global research advances towards net-zero emissions buildings. Energy Build. 2022, 266, 112142. [Google Scholar] [CrossRef]
- Ashraf, W.M.; Uddin, G.M.; Tariq, R.; Ahmed, A.; Farhan, M.; Nazeer, M.A.; Hassan, R.U.; Naeem, A.; Jamil, H.; Krzywanski, J.; et al. Artificial Intelligence Modeling-Based Optimisation of an Industrial-Scale Steam Turbine for Moving toward Net-Zero in the Energy Sector. ACS Omega 2023, 8, 21709–21725. [Google Scholar] [CrossRef]
- Moraliyage, H.; Dahanayake, S.; De Silva, D.; Mills, N.; Rathnayaka, P.; Nguyen, S.; Alahakoon, D.; Jennings, A. A robust artificial intelligence approach with explainability for measurement and verification of energy efficient infrastructure for net zero carbon emissions. Sensors 2022, 22, 9503. [Google Scholar] [CrossRef] [PubMed]
- Usman, I.M.; Ho, Y.C.; Baloo, L.; Lam, M.K.; Sujarwo, W. A comprehensive review on the advances of bioproducts from biomass towards meeting net zero carbon emissions (NZCE). Bioresour. Technol. 2022, 366, 128167. [Google Scholar]
- Cao, L.; Hu, P.; Li, X.; Sun, H.; Zhang, J.; Zhang, C. Digital technologies for net-zero energy transition: A preliminary study. Carbon Neutrality 2023, 2, 7. [Google Scholar] [CrossRef]
- Achieving net zero emissions with machine learning: The challenge ahead. Nat. Mach. Intell. 2022, 4, 661–662. [CrossRef]
- Wu, X.; Feng, Z.; Chen, H.; Qin, Y.; Zheng, S.; Wang, L.; Liu, Y.; Skibniewski, M.J. Intelligent optimisation framework of near zero energy consumption building performance based on a hybrid machine learning algorithm. Renew. Sustain. Energy Rev. 2022, 167, 112703. [Google Scholar] [CrossRef]
- Thompson, J.S.; Fletcher, S.; Friderikos, V.; Gao, Y.; Hanzo, L.; Nakhai, M.R.; O’Farrell, T.; Wells, P.D. Editorial A Decade of Green Radio and the Path to “Net Zero”: A United Kingdom Perspective. IEEE Trans. Green Commun. Netw. 2022, 6, 657–664. [Google Scholar] [CrossRef]
- Sarhan, M.; Layeghy, S.; Gallagher, M.; Portmann, M. From zero-shot machine learning to zero-day attack detection. Int. J. Inf. Secur. 2023, 22, 947–959. [Google Scholar] [CrossRef]
- Real, E.; Liang, C.; So, D.; Le, Q. Automl-zero: Evolving machine learning algorithms from scratch. In Proceedings of the 37th International Conference on Machine Learning, Virtual, 13–18 July 2020. [Google Scholar]
- Mbona, I.; Eloff, J.H. Detecting zero-day intrusion attacks using semi-supervised machine learning approaches. IEEE Access 2022, 10, 69822–69838. [Google Scholar] [CrossRef]
- Zeiler, W. Brains for Buildings to Achieve Net Zero. In Towards Net Zero Carbon Emissions in the Building Industry; Springer International Publishing: Cham, Switzerland, 2022; pp. 63–89. [Google Scholar]










Disclaimer/Publisher’s Note: The statements, opinions and data contained in all publications are solely those of the individual author(s) and contributor(s) and not of MDPI and/or the editor(s). MDPI and/or the editor(s) disclaim responsibility for any injury to people or property resulting from any ideas, methods, instructions or products referred to in the content. |
© 2024 by the authors. Licensee MDPI, Basel, Switzerland. This article is an open access article distributed under the terms and conditions of the Creative Commons Attribution (CC BY) license (https://creativecommons.org/licenses/by/4.0/).
Share and Cite
Oladapo, B.I.; Olawumi, M.A.; Omigbodun, F.T. Machine Learning for Optimising Renewable Energy and Grid Efficiency. Atmosphere 2024, 15, 1250. https://doi.org/10.3390/atmos15101250
Oladapo BI, Olawumi MA, Omigbodun FT. Machine Learning for Optimising Renewable Energy and Grid Efficiency. Atmosphere. 2024; 15(10):1250. https://doi.org/10.3390/atmos15101250
Chicago/Turabian StyleOladapo, Bankole I., Mattew A. Olawumi, and Francis T. Omigbodun. 2024. "Machine Learning for Optimising Renewable Energy and Grid Efficiency" Atmosphere 15, no. 10: 1250. https://doi.org/10.3390/atmos15101250
APA StyleOladapo, B. I., Olawumi, M. A., & Omigbodun, F. T. (2024). Machine Learning for Optimising Renewable Energy and Grid Efficiency. Atmosphere, 15(10), 1250. https://doi.org/10.3390/atmos15101250

