Abstract
Aviation emissions are continuously increasing along with the rapid development of air transportation, and results in the deterioration in regional air quality and the global climate. Accurate emission estimation is of great importance for relevant policies promotion and the sustainable development of the environment. Previous studies focused on the total emissions of a flight and lacked high precision in both spatial and temporal resolutions, especially aviation activities near ground. In this research, we propose an open-sourced emission calculation framework based on actual flight trajectories (TrajEmission), which calculates both the ground and airborne emissions simultaneously according to the configuration parameters, trajectory characteristics, and ambient conditions. We compare the emission results with five emission inventory methods. The results indicate that pollutant (nitrogen oxides, carbon monoxide, and unburned hydrocarbons) emissions in the landing and takeoff (LTO) cycle might usually be underestimated due to a lack of trajectory-based methods. In addition, in the overall results, the method based on the great circle route leads to an overestimation of 56.8% of pollutant emissions compared to the method based on actual routes. We also investigate the extent to which other factors could influence the emission results. To summarize, the TrajEmission framework can build inventories for the whole process of flight movements with high spatial–temporal resolutions and provide solid data support for environmental science and other related fields.
1. Introduction
Economic development leads to growing aviation transportation, which contributes to increasing pollutant emissions including nitrogen oxides (NOx), carbon monoxide (CO), unburned hydrocarbons (HC), sulfur oxides (SOx), particulate matter (PM), etc., all of which have negative impacts on both air quality and climate change [,,]. It is noted in previous studies that aviation emissions can affect the environment at local and global scales. For example, CO may undergo a chemical reaction in the atmosphere that converts it to carbon dioxide, adding more greenhouse gases, increasing positive radiative forcing, and contributing to climate change. NOx can cause acid rain and chemical smog, and it also reacts with ozone, causing damage to the ozone layer in the lower stratospheric layer. Aircraft engines emanate more pollutants, such as hydrocarbons, soot, and carbon monoxide, and further promote the formation of contrails []. Aircraft contrails alter the radiative balance of the atmosphere and have a net warming effect on the climate by reflecting sunlight and absorbing heat from the Earth’s surface. Aircraft contrails also increase cloudiness in the atmosphere, potentially altering local temperature and precipitation patterns [].
Several policies have set a goal to reduce emissions and mitigate environmental impacts [], such as the Intergovernmental Panel on Climate Change (IPCC) reports [], Carbon Offsetting and Reduction Scheme for International Aviation (CORSIA) [,], International Air Transport Association (IATA)’s resolution to reach net zero carbon emissions by 2050 [], and the European Union Emissions Trading System (EU ETS) [].
Aviation emission calculation comprises top-down and bottom-up methods. The top-down methods prefer to use statistical data like annual aviation energy consumption and LTO numbers of airports in an area, but they lack fine results. Meanwhile, the bottom-up methods can fulfill the demand but need more accurate data, like operational procedure parameters, trajectory data, historical scheduled flight databases and so on. In practice, the International Civil Aviation Organization (ICAO) set forward three approaches (simple/advanced/sophisticated) to calculate aviation emissions []. Similarly, the European Environment Agency/European Monitoring and Evaluation Program (EEA/EMEP) proposed Tier 1, Tier 2, and Tier 3 methods to estimate aviation emissions with different model complexity and accuracy [,].
In general, emission models are built for the landing and takeoff (LTO cycle) phase and CCD (climb–cruise–descent) phase. LTO encompasses the takeoff, climb, approach, and idle phases (altitude ≤ 3000 ft), while CCD specifically means the flight trajectories at higher altitude (>3000 ft) []. The simple/Tier 1 approach relies on the number of inbound and outbound flights to calculate LTO emissions at designated airports. The advanced/Tier 2 approach takes into account the operational time (time-in-mode), engine type, and fuel consumption, utilizing empirical databases, like the ICAO Aircraft Engine Emissions Databank (EEDB) []. The sophisticated/Tier 3A approach accurately represents real aircraft emissions utilizing proprietary data and models, which highly depend on actual data, such as aircraft engine thrust, aircraft configuration, real-time speed, and dynamic emission indices derived from the Boeing Fuel Flow Methods 2 (BFFM2) [] or Deutsches Zentrum für Luft- und Raumfahrt Method (DLR) [,]. Tier 3A adds departure and destination airports as model inputs. Some Tier 3B methods use the great circle route as the trajectory data to obtain dynamic parameters []. The simple/Tier 1 and advanced/Tier 2 approaches typically use statistical and empirical data to estimate, which may lack a description of the actual flight status and contain model bias. Their results mostly update annually, and resolution is city-scale and route-scale emissions. The use of flight trajectory can solve the problems to some extent. Some integrated tools based on the above methods are built to calculate emission inventory, like AEIC [] and SAGE []. But at the same time, it also requires high fidelity of input data, so it could not be applied widely until actual trajectory data were easily accessible.
As aviation trajectory data have become available to the public recently, some studies demonstrated the feasibility of using them to meet the requirements of dynamic updating and fine-grained modeling for aviation emissions []. One typical case of those datasets is Automatic Dependent Surveillance–Broadcast (ADS-B) data. ADS-B records flight trajectory waypoints and can be accessed on open websites such as OpenSky [,], Flightaware [], or Flightradar24 []. Zhang used ADS-B data to identify real routes and distances instead of the great circle routes, which effectively reduces the uncertainty of the emission inventories []. Quadros used airline schedules and ADS-B data from Flightradar24 and OpenSky to establish global aviation emission inventory monthly from 2017 to 2020 []. Filippone used ADS-B data and Mode-S data from OpenSky to calculate non-LTO emissions and verified the advantages of real-time flight data on emission modeling [,]. Teoh used flight trajectories derived from ADS-B telemetry and reanalysis weather data to develop the global aviation emissions inventory, and captured the spatiotemporal distribution of aviation activity and emissions during 2019–2021 []. Considering the significant spatiotemporal variation in aviation emissions, utilizing actual trajectory data, on the one hand, enables the capturing of variations in routes, fuel costs, and emissions due to weather and air traffic management. On the other hand, it replaces the great circle trajectory and obtains spatial–temporal emission results with higher accuracy. The open-sourced ADS-B dataset also makes it possible to be widely applied in aviation emission evaluations, like the sophisticated approach/Tier 3B method.
Nevertheless, there are still some disadvantages in the previous trajectory-based methods. Firstly, there are few calculations using ground trajectories directly. Actually, real LTO trajectories will have significant impacts on overall emission results, especially for short-haul flights, due to the higher proportion the LTO phase takes in whole flights. Secondly, the potential of aviation trajectories has not been fully exploited. ADS-B trajectories can record altitude and speed, which can help to calculate real-time aircraft mass, vertical climb rate, heading angle, dynamic engine parameters, and route inefficiency in each flight segment nearly in real time. Those factors will affect emission results in different ways []. Furthermore, fuel flow reflects the magnitude of thrust with a non-linear relationship. However, in some aircraft performance models (e.g., BADA) [], it is usually treated as a linear one. It inevitably results in deviations in fuel consumption, for thrust is far higher at takeoff and quite lower when cruising []. Additionally, a higher heading angle of an airplane will result in a higher fuel flow. As such, these factors have not been fully considered and may increase the uncertainties in aviation emission inventories.
To solve the above problems, this paper proposes a technical framework named TrajEmission for civil aviation emission modeling, with real three-dimensional flight trajectories and a fully open-sourced aircraft performance model, openAP []. TrajEmission considers the spatiotemporal characteristics for the whole aircraft procedure from ground to the air and aggregates the fuel costs and pollutant emissions in flight segments with regard to the aircraft type, aircraft mass, and trajectory characteristics. It is argued that the proposed framework can not only correct the actual LTO emissions using ground tracks, but also support the timely calculation of the fuel consumption and emissions, so as to improve the model accuracy and spatial–temporal resolution of the results.
This paper is organized as follows. Section 2 describes the data and methodology. The experiments are conducted with real flight data and the results are analyzed in Section 3 compared with some baseline methods. Section 4 investigates the factors that may affect the emission results. Finally, Section 5 draws the conclusion and carries out discussion on the implications and future work.
2. Materials and Methods
2.1. Data
The ADS-B system is widely used in aeronautical monitoring. It makes aircrafts automatically send flight-related information to the ground stations, from which the status of aircrafts can be effectively monitored []. In this study, ADS-B trajectory data are from Flightradar24, and used to obtain actual flight operation process and trajectory records for both the LTO and CCD phases. Each aircraft continuously generates location records by global navigation satellite systems (GNSS) every 30–45 s during flight. Every record contains the ICAO code, real-time coordinates of the aircraft, timestamp, altitude, ground speed, etc. Flight information is also derived from flight schedules in Flightradar24 including the ICAO code, flight time, departure and landing airport code, operating aircraft type, engine manufacturer, engine number, etc. The ICAO code is used to join the two databases and generate a complete dataset to facilitate the emission calculation. Data samples are shown in Table 1 and Table 2 and some ADS-B waypoints’ spatial distribution is shown in Figure 1. Table 1 presents part of the flight schedule information in the data samples. Table 2 shows the attributes in the ADS-B trajectory, where each flight corresponds to one set of trajectories.

Table 1.
Flight schedule information data samples. (Org = origin, Dst = destination).

Table 2.
ADS-B trajectory data samples.

Figure 1.
ADS-B waypoint samples in PEK airport (Date: 16 October 2021). TO_Traj means the takeoff and climb waypoints and AP_Traj means the approach and idle waypoints in reality. The location of Beijing Capital International Airport (PEK) (a). Inbound and outbound flight trajectories at PEK (horizontal view) (b). Inbound and outbound flight trajectories at PEK (3D view) (c).
Here, to demonstrate our method, we use all the flights between Beijing Capital International Airport (PEK) and Shanghai Hongqiao International Airport (SHA) from 16 to 22 October 2021 to conduct experiments. Figure 2 illustrates the number of flights for each aircraft type on the PEK-SHA route. A333 accounts for 29%, while B773 represents 22%, together comprising 51% of total flights. Additionally, A359 flights make up 12%, and both B77W and B789 each account for 8%.

Figure 2.
Aircraft type combination on PEK-SHA route. (Colors imply different aircraft types).
Data preprocessing is conducted to deal with the inevitable trajectory record mistakes or missing by gross error detection and imputation.
2.2. Methodology
The technical framework of TrajEmission is shown in Figure 3. Firstly, flight schedule information and ADS-B trajectories are integrated. The trajectory dataset is filtered by missing field values and preprocessed to interpolate the missing parts and reconstruct trajectories. Secondly, overall fuel consumption is calculated with parameters depending on the flight status, by aggregating the flight segment fuel cost. Thirdly, real-time emissions will be estimated based on fuel consumption, with emission indices affected by aviation pollutant types, air speed, and altitude. Subsequently, we examine the impact of the model parameters on the emission results.

Figure 3.
The technical framework of TrajEmission.
2.2.1. Three-Dimensional Flight Trajectory Imputation
The recorded waypoints suffer from discontinuity due to the incomplete station coverage. To ensure trajectory integrity, we interpolate the missing trajectory segments utilizing an open-source toolkit openAP []. The kinematic aircraft performance model (WRAP) in openAP is used for operational parameter estimation and simulated trajectory generation. It proposes distinct methods for modeling each flight phase, and shows better performance in estimating real-time engine thrust, air speed, vertical rate, altitude, and travel distance []. Before data processing, we use linear regression to fill blank field values. If the total flight track has a climb–cruise–approach phase but is missing some parts, we will use linear regression to interpolate missing coordinates and other fields, to reduce computational costs. If the flight phase is not complete, WRAP can help to simulate it if the trajectory segments miss a lot and linear interpolation does not work well. The example of trajectory imputation is shown in Figure 4. Specific steps are as follows:

Figure 4.
The example of trajectory imputation. Blue line denotes trajectory after processing. Orange line denotes trajectory before processing.
- (1)
- Identify flight phase integrity and determine whether to use linear regression or WRAP.
- (2)
- For the idle and takeoff phase missing part (altitude ≤ 200 m), assign the start point of the runway in the departure airport, and the end point of the runway in the landing airport as the start and end points of the flight trajectory. If there is a gap between the first/last observation point and the start/end point, missing waypoints will be filled by simulated takeoff/landing trajectory vertically and great circle trajectory horizontally.
- (3)
- For the idle phase, add the airport average idle time as a variable parameter because some flights lack the internal trajectory in the airport from the runway to the apron. Thus, we can adjust the idle time of the specific airport to supplement the ground emission part. The PEK and SHA average is set as 900 s.
- (4)
- If the flight phase type is less than 3, which means the missing waypoints are too many, these flight records will be replaced by the simulation trajectory on the whole, according to the maximum cruise altitude. Since the maximum cruise altitude varies between aircraft types, it is set to the empirical altitude from actual ADS-B data. Simulation time interval is set as 30 s.
2.2.2. Fuel Consumption on Flight Trajectories
Fuel flow indicates the amount of fuel consumed by the engine per unit time, in kg/s. It is related to the aircraft type, engine parameters, flight operational time (time-in-mode), flight time. The calculations of fuel consumption and fuel flow are shown as Formulas (1) and (2) [,]. Fuel flow varies in terms of the aircraft mass, true air speed, and flight mode. An aircraft will likely have maximum fuel flow at takeoff and less at cruise. The physical meaning of each parameter is shown in Figure 5.
where denotes the fuel consumption of all phases for a flight. It is the aggregated results of each flight segment. represents fuel flow in the flight phase , with engine type eng, and altitude . is the engine number for type eng. Time-in-mode is up to the operation procedure. And means aircraft mass, means true air speed, and means trajectory path angle.

Figure 5.
The physical meaning of enroute dynamic parameters is crucial for understanding their impact on flight operations.
In this study, considering we only use domestic flights as the experiment dataset, is replaced by ground speed for computational efficiency and default engine type of different aircraft types as type eng in openAP. Aircraft mass also has great impacts on fuel consumption. It involves passenger occupancy, belly cargo, and aviation kerosene mass. We employ 100%, 70%, and 50% max takeoff mass (MTOW) as inputs to compare results. Meanwhile, aviation kerosene mass will be subtracted sequentially by fuel burn at each flight segment. The path angle also determines fuel consumption. During the climb phase, the greater the path angle, the more fuel is burned. We use it as the input to correct the fuel consumption calculation.
2.2.3. Emission Model
Aviation emission is a function of fuel consumption and emission indices (). Meanwhile, in air pollution and emission inventory fields, emission factors (EF) are used more often. To be clear, we use in this study.
As shown in Formula (3), represents the total amount of aviation emission of specific pollutant for all the flight trajectories. means the fuel consumption for trajectory . means the emission indices of pollutant with trajectory . NOx, CO, and HC are involved as the typical pollutants for emission modeling.
depicts the emission intensity under certain conditions. They are considered as functions affected by temperature, humidity, and pressure. The dynamic emission indices are evaluated referring to the DLR correction model in openAP-Emission model []. Firstly, the corresponding atmospheric condition for flight trajectories is transformed to the International Standard Atmospheric condition (ISA) at sea level. Then, a parabolic model is used as the fuel flow–emission indices reference function. Finally, is multiple by reference factors and is converted to at a certain altitude []. is mach number. denotes the ratio of the actual temperature and standard temperature (288.15 K). is fuel flow, are the parameters to help correct under the ISA condition. represents emission indices at the sea level and is the correction result. The formulas are as follows:
TrajEmission accounts for dynamic emission index (EI) values across various temperatures and pressures at multiple altitudes. We apply the DLR method to correct the static values in ISA. For example, A333 has the highest number of flights on the PEK-SHA route. Table 3 presents the EI values for the ICAO advanced approach sourced from the ICAO Emission Estimation Database (EEDB). It only has the values for the LTO cycle. To accurately adjust the EI values during cruise, we correct the for each flight segment based on the actual flight status, as illustrated in Figure 6. Here, in Figure 7, as the altitude and flight speed increase, gradually decreases. In contrast to , the and exhibit distinct trends. Under low-altitude and low-speed conditions, the HC and CO emission indices are higher, corresponding to a greater proportion of emissions that may occur at the approach and idle phase.

Table 3.
ICAO advanced method: LTO NOx\CO\HC EI (Aircraft: A333, Engine: Trent 772).

Figure 6.
The actual flight status. Altitude, speed, and path angle vary as the aircraft moves.

Figure 7.
Pollutant EI varies under different flight phases.
3. Results
3.1. Experimental Results
In total, the PEK-SHA route emitted 64,300 kg of pollutant emissions during the LTO phase and 365,200 kg of pollutant emissions during the CCD phase. As shown in Figure 8a, the average daily emissions during the weekend (Date: 16 and 17 October) are lower than the emissions on working days (Date: 18–22 October). LTO emissions account for 10–20% of the total emissions. The total amount of NOx emissions is the 40.7t, followed by 21.5 t of CO and 2.1 t of HC. In terms of the phase share in the LTO cycle from Figure 8b, NOx is emitted most at takeoff, then the climb phase, and emitted less at the approach and idle phase. This is due to the fact that at the beginning of takeoff, the aircraft requires more thrust. The engine power efficiency is higher at this time and ultra-high temperatures promote NOx conversion. When the aircraft starts to land and idle, less thrust is required, and the NOx emission share reduces. In contrast, CO and HC emissions are higher while descending and taxiing. It is probably because when the engine power reduces as the aircraft lands, aviation kerosene incomplete combustion leads to more CO and HC [].

Figure 8.
Total average daily pollutant emissions from PEK-SHA route (a). Percentage of each pollutant emitted in LTO cycle (b).
3.2. Uncertainty Analysis
Typically, the 95% confidence interval is used to assess the uncertainty of emission inventories, but it will have a bias given the non-normal distribution. We use Bootstrap to analyze the uncertainty in the estimation of the aviation emission results here. The effectiveness of this method for uncertainty analysis of carbon emissions has been demonstrated []. The advantage of Bootstrap is that it does not depend on the distributional assumptions of the data, but rather generates a large number of bootstrap samples from the target dataset, and then calculates the statistic for each bootstrap sample to construct a distribution of the statistics [,]. We take 1000 samples of the fuel and emission results of each flight, select the statistics as the mean, and calculate the 95% confidence interval of the results. Figure 9 represents the bootstrap samples’ probability density distribution for one flight. On the PEK-SHA route, the fuel consumption is between 11,959.3 kg and 12,319.2 kg/per flight, the NOx emission is between 402.0 kg and 420.3 kg/per flight, the CO emission is between 110.7 kg and 115.7 kg/per flight, and the HC emission is between 8.8 kg and 9.3 kg/per flight within the 95% confidence interval. Therefore, the uncertainty of the estimation of fuel ranges ±185 kg/per flight on the PEK-SHA route using TrajEmission, and NOx uncertainty ranges ±8.9 kg/per flight. CO uncertainty ranges ±2.6 kg/per flight. HC uncertainty ranges ±0.25 kg/per flight.

Figure 9.
95% confidence interval of fuel consumption and emissions per flight on PEK-SHA route.
3.3. Comparison with Other Emission Inventory Methods
We compare five different emission calculation methods for the PEK-SHA route using the same dataset. These methods are designed to quantify emissions based on various data types and levels of granularity.
The ICAO simple approach/EMEP Tier 1 utilizes the number of flights in the LTO at specific airports to estimate emissions. This method can allow for a quick result, but only estimates LTO emissions at the airport level, and does not distinguish between aircraft types. As a realization of this approach, we select reference average emission parameters from the Technical Guidelines for the Preparation of Emission Inventories for Non-Road Mobile Sources (Trial) [] and calculate the PEK and SHA airport emissions, separately. The emission parameters for NOx, CO, and HC are 16.29, 9.14, and 2.68 kg/per LTO, respectively.
The ICAO advanced approach estimates emissions in each phase of a flight, with specific aircraft types. The LTO cycle is divided into four phases, takeoff, climb, approach, and idle. The time-in-mode of them is 0.7 min, 2.2 min, 4 min, and 26 min. The thrust setting is 100%, 85%, 30%, and 7%. The fuel flow and EI values are related to aircraft and engine types, which can be found in the EEDB based on empirical statistical data. In this way, the advanced approach takes full account of the flight phase and aircraft type differences and improves the emission accuracy. The EI value examples are shown in Table 3.
The EMEP Tier 2 method is similar to the ICAO advanced approach; in addition, it also distinguishes between domestic flights and international flights. If it does not do so, the LTO will be overestimated. The EMEP methods are for use in the European area, so for emission background information consistency, we choose a similar airport, Heathrow Airport, as the background setting, which is also a 4F airport like PEK, and the average emission statistics of several aircrafts are utilized as inputs. Table 4 present the emissions per aircraft in the EMEP Tier 2 method. Table 5 shows the emissions per aircraft in the EMEP Tier 3A method. In these methods, pollutant emissions per aircraft are provided using average emission factors.

Table 4.
(a). Emission values in EMEP Tier 2 method (LTO). (b). Emission values in EMEP Tier 2 method (CCD).

Table 5.
Emission values in EMEP Tier 3A method (Aircraft type: A333).
In addition to exploiting the reference parameters, the real flight condition can also be used in the emission model. The EMEP Tier 3A method takes into account the origin and destination (OD), and the distance of the CCD phases. In this study, the distance for the PEK-SHA route is 998 km.
The EMEP Tier 3B method uses full flight trajectory information, a real one such as Quick Access Record (QAR) and ADS-B, or a simulated one from the aircraft performance model. To compare with the actual trajectory results, in this study, the great circle distance is employed as the flight distance in conjunction with the simulation vertical profiles from openAP for the implementation of this method.
To summarize, the ICAO simple approach/EMEP Tier 1 uses numbers from the LTO. The ICAO advanced approach is able to distinguish between aircraft types in each flight but uses empirical parameters in EEDB. Both of those methods can only estimate LTO emissions. The EMEP Tier 2 method and EMEP Tier 3A method can estimate emissions using flight schedule information. All of the methods described depend on statistics data or flight schedule information. As for the EMEP Tier 3B method and TrajEmission, these two methods are both based on trajectories; the difference is one is based on the simulated trajectory, and another is based on the actual trajectory. We aim to compare TrajEmission with both the statistical methods and trajectory methods and analyze the differences.
The results based on the above methodologies are shown in Table 6. The ICAO simple approach has overall lower pollutant emissions than the other approaches. In the CCD phase, the results show that bottom-up methods, such as EMEP Tier 3B and TrajEmission, usually give higher results than top-down methods, such as EMEP Tier 2. Moreover, emissions using the actual trajectories are lower than the simulated ones. This is because, in reality, airlines are more willing to use fuel-efficient routes to reduce costs. Although the simulated trajectory is optimal in the idealistic condition, it is not necessarily the most fuel-efficient route.

Table 6.
Comparison of emission inventory methodologies (PEK-SHA route).
Possible reasons for the methodological deviations are as follows: There is a discrepancy between the actual flight status and ideal situation. Top-down approaches are inadequate in accounting for the variations in the actual flight process, and obviously, fine-scale bottom-up emission methods exhibiting a biased fit to the actual circumstances are superior to them. For example, the real flight time may change at different airports in a given year. The PEK average idle time is 15 min, but the ICAO advanced methods consider 26 min for all airports. Furthermore, the actual trajectory exhibits non-typical acceleration or deceleration behavior, as well as other temporary detours, which directly lead to fuel consumption fluctuation. As a comparison, simulated trajectories are generated in the ideal condition and lack representation of the real circumstances, like speed and emission intensity variation.
3.4. Emission Impact Factors
Many factors can lead to deviations in emission evaluations. We will quantify the impacts of aircraft types, flight trajectory characteristics, and aircraft mass, those which are inputs in TrajEmission, to better understand the extent to which these factors affect the emission results.
3.4.1. Aircraft Types
TrajEmission entails aircraft types in emission modeling, and we posit that the contribution of different aircraft engines and specifications varies considerably. On the PEK-SHA route, aircraft A333, B773, and A359 cover more than 50% of the entire flights, as shown in Figure 2.
Taking the small- and medium-sized aircraft A320, A321, medium-sized A333, and large-sized B77W as examples, Figure 10 describes the emission distinctions of these aircrafts. We conduct bootstrap sampling on the results. After sampling 1000 times, with a confidence interval of 95%, the fuel consumption of a small- and medium-sized flight is 4.5~5.3 t/per flight, that of a medium-sized flight is 11.4~13.2 t/per flight, and that of a large aircraft is 14.3~17.0 t/per flight. The fuel consumption and emission distribution for small- and medium-sized aircraft is more concentrated, with less variation in the emission results per flight compared to large aircraft. Large-sized aircraft consume between 12.5 t and 20 t fuel per flight, which is approximately 3~4 times higher than that of small- and medium-sized aircraft.

Figure 10.
Emission distinction of different aircraft types on PEK-SHA route.
Regarding NOx, small- and medium-sized aircraft emit less than 200 kg, medium-sized aircraft emit between 300 and 500 kg, and large aircraft emit between 600 and 800 kg. For CO, large aircraft have an average emission of around 200 kg, whereas smaller aircraft emit less than 150 kg. Similarly, large aircrafts’ average HC emissions are 18 kg, while smaller aircrafts’ are less than 12.5 kg.
3.4.2. Flight Trajectory Characteristics
TrajEmission can use trajectory characteristics to improve emission model accuracy. In this part, we will discuss the impact of flight routes, dynamic engine parameters, and path angles when evaluating pollutant emissions.
Differences in flight routes can also result in variations in emission calculations. Many studies have taken the great circle trajectories between the OD airports as the flight paths to calculate aviation emissions, whereas in reality, airlines tend to follow fuel-efficient or safer routes. Moreover, if temporary air traffic control is encountered, a flight path could be diverted accordingly. The different assumptions underlying the emission calculation methods can lead to biased estimates of real flight emissions.
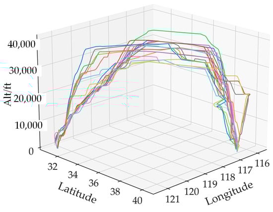
Taking the PEK-SHA route as an example, we used both the simulated great circle trajectory and the real flight trajectories to conduct the experiments. The route comparison is shown in Figure 11. A total of 761.6 t of pollutant emissions were generated following the great circle trajectory. By contrast, a total of 432.4 t of pollutant emissions were generated on the real flight trajectories, which are only 56.8% of the great circle trajectory. We argue that the methods based on the great circle trajectory will generally overestimate the aviation emissions.

Figure 11.
Actual flight trajectories on PEK-SHA route. Each flight is characterized by its own particular trajectory. Each color means a single flight.
As far as different phases are concerned, the LTO emission for the PEK-SHA route is 49.5 t on the great circle trajectory, which is lower than the 64.2 t on the real trajectory. The difference is mainly caused by the extended time-in-mode in practice under the requirements from air traffic management. Meanwhile, the CCD emission for the PEK-SHA route is 712.2 t on the great circle trajectory, contrasted with 368.2 t on the actual trajectories. The deviation is caused by the tendency of the flights to favor the fuel-efficient trajectories that take advantage of prevailing winds. The great circle trajectory usually gives the shortest flight distance between a city pair, but it does not mean it is the most fuel-efficient.
Also, inconsistencies in the actual paths lead to differences in emissions. The discrepancy resulting from real circumstances cannot be conveyed through great circle trajectories. Pollutant emissions are generally overestimated, as shown in Figure 12a. Median emissions per flight in the great circle trajectory (585.5 kg) are 14.8% higher than the actual trajectory results (510.0 kg). Nevertheless, the maximum and minimum values differ considerably, which are 3252 kg vs. 1104 kg and 152 kg vs. 112 kg, respectively. Outliers are fewer when using actual data. Figure 12b indicates that the round-trip trajectory emission results are biased in reality, but the simulated trajectory results will not change in the same city pairs. It is possible that the choice of route, or the traffic status at airports before landing, leads to bias all together. Actual flights will have more trajectory variation due to severe weather, air traffic congestion, or temporary air control. Busier airports have more cases of holding patterns before landing. A multitude of factors contribute to the inherent uncertainty of emission results.

Figure 12.
TrajEmission results (traj_type = actual) compared with Tier 3B method results (traj_type = simu) of each flight on PEK-SHA route (a). The probability distributions of emissions show a bias for round trips calculated with actual flight trajectories. Emission results are not exactly the same for the same city pair (b).
In addition to the discrepancies in trajectories, the engine parameters along with flight status are also influenced. Figure 13 shows summary statistics that the average emission parameters change with altitudes. The EI can indicate the emission per fuel consumption unit.

Figure 13.
Dynamic parameters at different altitudes. x-axis is parameter value and y-axis is altitude.
The non-linear fuel consumption model is employed for the calculation of fuel consumption pertaining to the variation with altitude and speed. As illustrated in Figure 14, A333, the aircraft with the highest flight numbers on the PEK-SHA route, is taken as an example. In the initial low-altitude phase, below 5000 ft, the fuel flow demonstrates a gradual increase with altitude, followed by a subsequent gradual decrease. This indicates that during the takeoff and climb stages, the corresponding engine fuel consumption is elevated due to the larger thrust requirements. As the altitude rises, the engine transitions to the smooth, high-speed flight phase, and the thrust diminishes, resulting in a corresponding decline in the fuel flow. Additionally, a distinct phenomenon arises during the low-altitude and low-speed phase, wherein the fuel flow exhibits a markedly elevated level compared to that observed in the idle phase. At this juncture, the aircraft appears to be in a stop-and-go condition at the airport, with the highest fuel flow. It can be seen that the implementation of a well-designed landing approach and departure procedure, which minimizes the aircraft’s idling time, can effectively reduce the aircraft’s fuel consumption and emissions.

Figure 14.
Scaled fuel flow decreases with increasing altitude and speed. (Fuel flow data from A333) z-axis represents fuel flow after data normalization. Point size represents fuel flow value. Smaller size means smaller fuel flow.
Changes in the path angle can also result in alterations to emissions. The discussion of the path angle’s impact on emissions is rarely mentioned in previous studies. In general, the higher the path angle, the higher the fuel flow when ascending. Pollutant emissions are 0.081 t less than in scenarios using the path angle in the trajectory.
3.4.3. Aircraft Mass
Aircraft mass can also affect fuel consumption and emissions. Some research points out that different initial payloads can affect the final emissions results []. These factors are not fully taken into account by the above methods. Some methods assume the 100% takeoff weight (MTOW) as the aircraft weight. Domestic flights did not exceed 80% seat occupancy rate in 2021 []. In order to measure the impact of weight on flight emissions, we use 100%, 70%, and 50% MTOW as the initial aircraft mass. Indeed, aircraft mass also decreases gradually over the course of the flight. In order to avoid mass bias, TrajEmission subtracts the weight of the fuel consumed on the previous flight segment in the process of calculating the next segment, updating the aircraft mass in real time.
Overall fuel consumption using 100% mass, 70%, and 50% mass is 9842 t, 8741 t, and 8211 t. The 50% mass fuel is 16.6% lower than the 100% one and the 70% result is 11.2% lower. As for NOx emissions, the 50% mass result is 26.8% lower than the 100% one, and the 70% mass result is 19.0% lower than the 100% mass result. The frequency distribution discrepancy is shown in Figure 15, taking A320 as an example. Emissions will be exaggerated if the aircraft mass bias is not taken into account.

Figure 15.
Frequency distribution of fuel consumption and NOx emissions of different aircraft mass (A320) on PEK-SHA route.
4. Discussion
Table 6 presents various estimation methods. The ICAO simple method relies on statistical data and does not differentiate between aircraft types. Consequently, it yields lower LTO estimates compared to other methods, primarily due to average emission factors. As indicated in Figure 10, the fuel consumption and pollutant emissions from large aircraft are significantly higher than those from smaller and medium-sized aircraft. On the PEK-SHA route in this study, which is predominantly operated by medium–small-sized aircrafts, the actual average emission factor should be lower than the empirical parameters provided in the manual, leading to the observed lower results. In other methods of LTO estimation, the results are consistently lower than those obtained using TrajEmission.
We quantified the flight characteristics of the actual trajectories individually, aiming to accurately assess the flight conditions and thereby enhance the accuracy of the emission estimates. We considered the aircraft type, flight speed, rate of climb, trajectory distance, and flight angle as input variables. We modeled dynamic fuel consumption using the flight speed and altitude to reflect changes in the flight status and modeled the EI using the temperature and pressure to represent the impact of environmental changes. The experimental results indicate that LTO emissions under TrajEmission account for 10–20% of the total emissions, which is a little bit higher than in previous studies [,]. This leads us to question whether using empirical emission factors as parameters might underestimate pollutant emissions, reflecting the potential long-term underestimation of emissions in the LTO cycle.
As for CCD emissions, approaches based on trajectory (EMEP Tier 3B method and TrajEmission) are higher than those without using actual waypoints. It indicates that incorporating trajectories can add actual information and improve the accuracy of CCD emission estimation, but it may also lead to overestimations. For example, the EMEP Tier 3B method uses great circle routes and simulated vertical profiles. Although these trajectories represent the shortest distance route in an ideal condition, they are not necessarily the most fuel-efficient []. In reality, airspace planning and monsoon belts are considered cost factors in airline routing []. Therefore, we use real routes to partially correct for the overestimation of CCD emissions. In Section 3.2, we also highlight the uncertainties analysis of TrajEmission, providing a reference for researchers. We should also include a comparison with the BADA-related methods, but, due to license application, this comparison was not included.
In addition, TrajEmission also has some parts to improve. Firstly, a more complicated model may improve the accuracy of the missing attribute complementation, but this will also result in computational burden. It is necessary to identify an appropriate balance between the computational cost and accuracy.
Secondly, the trajectory from runway to tarmac is absent in some cases. It represents the genuine response to the efficiency of an airport. We utilize the airport latitude and longitude as the coordinates for the apron, calculating the shortest distance as the ground track. If airport internal data are available, the ground trajectory can be reconstructed.
Thirdly, the aircraft performance model also has its limitations, such as being unable to explain the flight characteristics of new aircrafts, such as the C919. As a result, those have to be replaced by similar aircraft models. In fact, some methods, like deep learning, can also be utilized to extract features of the actual trajectory, combined with the flight parameters to reconstruct the 3D trajectory. They try to solve dependency with empirical aircraft data. This can be further studied in 3D trajectory interpolation and prediction.
Wind effects should be taken into consideration in calculating the flight emissions. It is estimated that wind may generate an impact of approximately 20% on the fuel consumption of flights []. Actually, airline companies prefer to design fuel-efficient routes considering the influence of wind so as to obtain fuel-saving routes typically longer than great circle routes. Furthermore, true air speed should be employed as an input to the aircraft performance model. However, only ground speed is used in this study as input to the WRAP model. It may result in accuracy bias in the emission calculation.
5. Conclusions
In this study, we set forward a technical framework TrajEmission for a fine-scale aviation emission calculation using both ground and airborne trajectories. ADS-B waypoints, flight schedule information, and dynamic engine parameters are integrated to estimate pollutant emissions.
The PEK-SHA route generates approximately 64,300 kg of emissions during LTO in a week, and 365,200 kg during CCD. LTO emissions account for 10–20% of the total emissions. In terms of flight phases, NOx emissions are higher during the takeoff and climb phases compared to the approach and idle phases, while CO and HC emissions exhibit the opposite trend: lower during the takeoff and climb phases and higher during the descent and idle phases. This difference arises from the increased thrust required during ascent, which leads to higher temperatures and subsequently greater NOx emissions. In contrast, when descending, incomplete combustion of fuel leads to higher CO and HC emissions.
Analysis of the uncertainty of TrajEmission. On the PEK-SHA route, the uncertainties of fuel consumption, NOx, CO, and HC are ±185 kg per flight, ±8.9 kg per flight, 2.6 kg per flight, and ±0.25 kg per flight, respectively.
We compared the results of five other emission inventory methods with TrajEmission. In this study, we used trajectory-based estimation for the LTO phase, and all other inventory results were lower than those of this study, indicating a potential underestimation of ground emissions. For the CCD estimation, the results from non-trajectory methods are lower than those from trajectory estimation methods. In trajectory calculations, estimates based on great circle routes are significantly higher than those based on actual routes by 56.8%. This is because actual routes tend to be fuel-efficient routes. Therefore, the estimation results of this study reduce the uncertainty of other inventory methods and are closer to real flight conditions.
Additionally, we analyze the effects of features extracted from the trajectory data on the emission results. For example, large-sized aircraft have 3–4 times more emissions than small–medium-sized aircrafts. Different route choices can also impact on the emission results. Round trips actually have different emissions, but in listed emission inventory methods, they are always considered the same. Dynamic EIs can vary under distinct altitudes. Fuel flow has a non-linear relation with altitude and speed. In terms of aircraft mass, a 50% mass reduction can reduce fuel consumption by 16.6% and a 30% mass reduction by 11.2%.
TrajEmission can be widely applied to the calculation of aviation emissions, providing an open-source framework. It provides more possibilities for further study such as the following: (1) emission model for regional and global aviation estimation, (2) emission results at multiple scales for numerical analysis, (3) analysis of 4D pollutant dispersion in the vicinity of airports, and (4) analysis of emission patterns in the regional area.
Author Contributions
Conceptualization, J.W. and H.Z.; methodology, J.W. and H.Z.; software, J.W.; validation, J.W.; formal analysis, J.W.; investigation, J.W. and J.Y.; resources, H.Z. and Y.L.; data curation, J.W.; writing—original draft preparation, J.W.; writing—review and editing, J.W., H.Z. and F.L.; visualization, J.W.; supervision, H.Z. and F.L.; project administration, H.Z. and F.L.; funding acquisition, H.Z. and F.L. All authors have read and agreed to the published version of the manuscript.
Funding
This research was funded by the National Key Research and Development Program of China [Grant No. 2022YFB3904102].
Institutional Review Board Statement
Not applicable.
Informed Consent Statement
Not applicable.
Data Availability Statement
The original contributions presented in the study are included in the article, further inquiries can be directed to the corresponding authors.
Acknowledgments
We thank the anonymous reviewers for their helpful and insightful comments and suggestions on this manuscript. We appreciate the academic guidance and advices from Peixiao Wang. We would like to thank Lin Cong for her technical support.
Conflicts of Interest
The authors declare no conflicts of interest.
References
- Yim, S.H.L.; Lee, G.L.; Lete, I.H.; Allroggen, F.; Ashok, A.; Caiazzo, F.; Eastham, S.D.; Malina, R.; Barrett, S.R.H. Global, regional and local health impacts of civil aviation emissions. Environ. Res. Lett. 2015, 10, 034001. [Google Scholar] [CrossRef]
- Christodoulakis, J.; Karinou, F.; Kelemen, M.; Kouremadas, G.; Fotaki, E.; Varotsos, C. Assessment of air pollution from Athens International Airport and suggestions for adaptation to new aviation emissions restrictions. Atmos. Pollut. Res. 2022, 13, 101441. [Google Scholar] [CrossRef]
- Quadros, F.D.A.; Snellen, M.; Dedoussi, I.C. Regional sensitivities of air quality and human health impacts to aviation emissions. Environ. Res. Lett. 2020, 15, 105013. [Google Scholar] [CrossRef]
- Zhang, X.; Chen, X.; Wang, J. A number-based inventory of size-resolved black carbon particle emissions by global civil aviation. Nat. Commun. 2019, 10, 534. [Google Scholar] [CrossRef]
- Masiol, M.; Harrison, R.M. Aircraft engine exhaust emissions and other airport-related contributions to ambient air pollution: A review. Atmos. Environ. 2014, 95, 409–455. [Google Scholar] [CrossRef]
- Watson, M.; Machado, P.; da Silva, A.; Saltar, Y.; Ribeiro, C.; Nascimento, C.; Dowling, A.; Rivera, Y. Sustainable aviation fuel technologies, costs, emissions, policies, and markets: A critical review. J. Clean. Prod. 2024, 449, 141472. [Google Scholar] [CrossRef]
- Speical Report on Global Warming of 1.5 °C. 2018. Available online: https://www.ipcc.ch/sr15/ (accessed on 10 October 2024).
- Carbon Offsetting and Reduction Scheme for International Aviation (CORSIA). 2016. Available online: https://www.icao.int/environmental-protection/CORSIA/Pages/default.aspx (accessed on 15 October 2024).
- Zhang, J.; Zhang, S.; Wu, R.; Dualn, M.; Zhang, D.; Wu, Y.; Hao, J. The new CORSIA baseline has limited motivation to promote the green recovery of global aviation. Environ. Pollut. 2021, 289, 117833. [Google Scholar] [CrossRef]
- Resolution on The Industry’s Commitment to Reach Net Zero Carbon Emissions by 2050. 2021. Available online: https://www.iata.org/contentassets/d13875e9ed784f75bac90f000760e998/iata-agm-resolution-on-net-zero-carbon-emissions.pdf (accessed on 15 August 2024).
- Efthymiou, M.; Papatheodorou, A. EU Emissions Trading scheme in aviation: Policy analysis and suggestions. J. Clean. Prod. 2019, 237, 117734. [Google Scholar] [CrossRef]
- Kurniawan, J.S.; Khardi, S. Comparison of methodologies estimating emissions of aircraft pollutants, environmental impact assessment around airports. Environ. Impact Assess. Rev. 2011, 31, 240–252. [Google Scholar] [CrossRef]
- Lyu, C.; Liu, X.; Wang, Z.; Yang, L.; Liu, H.; Yang, N.; Xu, S.; Cao, L.; Zhang, Z.; Pang, L.; et al. An emissions inventory using flight information reveals the long-term changes of aviation CO2 emissions in China. Energy 2023, 262, 125513. [Google Scholar] [CrossRef]
- ICAO Aircraft Engine Emissions Databank. 2017. Available online: https://www.easa.europa.eu/en/domains/environment/icao-aircraft-engine-emissions-databank (accessed on 1 September 2024).
- DuBois, D.P.; Paynter, G.C. “Fuel Flow Method2” for Estimating Aircraft Emissions. Sae Trans. 2006, 115, 1–14. [Google Scholar]
- Schaefer, M.; Bartosch, S. Overview on Fuel Flow Correlation Methods for the Calculation of NOx, CO and HC Emissions and Their Implementation into Aircraft Performance Software; 2013. Available online: https://www.researchgate.net/publication/271210746_Overview_on_fuel_flow_correlation_methods_for_the_calculation_of_NOx_CO_and_HC_emissions_and_their_implementation_into_aircraft_performance_software (accessed on 15 October 2024).
- Deidewig, F.; Doepelheuer, A.; Lecht, M. Methods to Assess Aircraft Engine Emissions in Flight. In ICAS PROCEEDINGS; ICAS: Cologne, Germany, 1996. [Google Scholar]
- Simone, N.; Stettler, M.; Eastham, S.; Barrett, S. Aviation Emissions Inventory Code (AEIC), 2013. Available online: https://zenodo.org/records/6461767 (accessed on 1 July 2024).
- Kim, B.Y.; Fleming, G.G.; Lee, J.J.; Waitz, I.A.; Clarke, J.-P.; Balasubramanian, S.; Malwitz, A.; Klima, K.; Locke, M.; Holsclaw, C.A.; et al. System for assessing Aviation’s Global Emissions (SAGE), Part 1: Model description and inventory results. Transp. Res. Part D Transp. Environ. 2007, 12, 325–346. [Google Scholar] [CrossRef]
- Lu, B.; Dong, J.; Wang, C.; Sun, H.; Yao, H. High-resolution spatio-temporal estimation of CO2 emissions from China’s civil aviation industry. Appl. Energy 2024, 373, 123907. [Google Scholar] [CrossRef]
- Schäfer, M.; Strohmeier, M.; Lenders, V.; Martinovic, I.; Wilhelm, M. Bringing up OpenSky: A large-scale ADS-B sensor network for research. In Proceedings of the IPSN-14 Proceedings of the 13th International Symposium on Information Processing in Sensor Networks, Berlin, Germany, 15–17 April 2014; pp. 83–94. [Google Scholar]
- Strohmeier, M.; Olive, X.; Lübbe, J.; Schäfer, M.; Lenders, V. Crowdsourced air traffic data from the OpenSky network 2019–2020. Earth Syst. Sci. Data 2020, 13, 357–366. [Google Scholar] [CrossRef]
- Singh, J.; Goyal, G.; Ali, F.; Shah, B.; Pack, S. Estimating fuel-efficient air plane trajectories using machine learning. Comput. Mater. Contin. 2022, 70, 6189. [Google Scholar] [CrossRef]
- Nuryantini, A.Y.; Nuryadin, B.W. Learning vector of motion using FlightRadar24 and Tracker motion analysis. Phys. Educ. 2019, 55, 015019. [Google Scholar] [CrossRef]
- Zhang, J.; Zhang, S.; Zhang, X.; Wang, J.; Wu, Y.; Hao, J. Developing a High-Resolution Emission Inventory of China’s Aviation Sector Using Real-World Flight Trajectory Data. Environ. Sci. Technol. 2022, 56, 5743–5752. [Google Scholar] [CrossRef]
- Quadros, F.D.A.; Snellen, M.; Sun, J.; Dedoussi, I.C. Global Civil Aviation Emissions Estimates for 2017–2020 Using ADS-B Data. J. Aircr. 2022, 59, 1394–1405. [Google Scholar] [CrossRef]
- Filippone, A.; Parkes, B.; Bojdo, N.; Kelly, T. Prediction of aircraft engine emissions using ADS-B flight data. Aeronaut. J. 2021, 125, 988–1012. [Google Scholar] [CrossRef]
- Filippone, A.; Bojdo, N. Statistical model for gas turbine engines exhaust emissions. Transp. Res. Part D Transp. Environ. 2018, 59, 451–463. [Google Scholar] [CrossRef]
- Teoh, R.; Engberg, Z.; Shapiro, M.; Dray, L.; Stettler, M.E.J. The high-resolution Global Aviation emissions Inventory based on ADS-B (GAIA) for 2019–2021. Atmos. Chem. Phys. 2024, 24, 725–744. [Google Scholar] [CrossRef]
- Seymour, K.; Held, M.; Georges, G.; Boulouchos, K. Fuel Estimation in Air Transportation: Modeling global fuel consumption for commercial aviation. Transp. Res. Part D Transp. Environ. 2020, 88, 102528. [Google Scholar] [CrossRef]
- Nuic, A.; Poles, D.; Mouillet, V. BADA: An advanced aircraft performance model for present and future ATM systems. Int. J. Adapt. Control Signal Process 2010, 24, 850–866. [Google Scholar] [CrossRef]
- Wasiuk, D.K.; Lowenberg, M.H.; Shallcross, D.E. An aircraft performance model implementation for the estimation of global and regional commercial aviation fuel burn and emissions. Transp. Res. Part D Transp. Environ. 2015, 35, 142–159. [Google Scholar] [CrossRef]
- Sun, J.; Hoekstra, J.M.; Ellerbroek, J. OpenAP: An Open-Source Aircraft Performance Model for Air Transportation Studies and Simulations. Aerospace 2020, 7, 104. [Google Scholar] [CrossRef]
- Yang, Z.; Kang, X.; Gong, Y.; Wang, J. Aircraft trajectory prediction and aviation safety in ADS-B failure conditions based on neural network. Sci. Rep. 2023, 13, 19677. [Google Scholar] [CrossRef]
- Sun, J.; Ellerbroek, J.; Hoekstra, J.M. WRAP: An open-source kinematic aircraft performance model. Transp. Res. Part C Emerg. Technol. 2019, 98, 118–138. [Google Scholar] [CrossRef]
- openAP: Emission. 2019. Available online: https://openap.dev/emission (accessed on 1 January 2021).
- Yang, L.; Hu, Y.-J.; Wang, H.; Li, C.; Tang, B.-J.; Wang, B.; Cui, H. Uncertainty quantification of CO2 emissions from China’s civil aviation industry to 2050. J. Environ. Manage. 2023, 336, 117624. [Google Scholar] [CrossRef]
- LEE, M.H.; Lee, J.S.; Lee, J.Y.; Kim, Y.H.; Park, Y.S.; Lee, K.M. Uncertainty Analysis of a GHG Emission Model Output Using the Block Bootstrap and Monte Carlo Simulation. Sustainability 2017, 9, 1522. [Google Scholar] [CrossRef]
- Tong, L.-I.; Chang, C.-W.; Jin, S.-E.; Saminathan, R. Quantifying uncertainty of emission estimates in National Greenhouse Gas Inventories using bootstrap confidence intervals. Atmos. Environ. 2012, 56, 80–87. [Google Scholar] [CrossRef]
- Technical Guidelines for Compilation of Emission Inventories for Non-road Mobile Pollution Sources (Trial Implementation). 2014. Available online: https://www.mee.gov.cn/gkml/hbb/bgth/201407/W020140708387895425529.pdf (accessed on 1 January 2021).
- Sun, J.; Tassanbi, A.; Obojski, P.; Plantholt, P. Evaluating Transatlantic Flight Emissions and Inefficiencies Using Space-Based ADS-B Data. In Proceedings of the 13th SESAR Innovation Days, Sevilla, Spain, 27–30 November 2023. [Google Scholar]
- China Aviation Occupancy. 2024. Available online: https://www.ceicdata.com.cn/zh-hans/china/air-passenger-load-factor (accessed on 1 June 2024).
- She, Y.; Deng, Y.; Chen, M. From Takeoff to Touchdown: A Decade’s Review of Carbon Emissions from Civil Aviation in China’s Expanding Megacities. Sustainability 2023, 15, 16558. [Google Scholar] [CrossRef]
- Simorgh, A.; Soler, M.; Dietmüller, S.; Matthes, S.; Yamashita, H.; Castino, F.; Yin, F. Robust 4D climate-optimal aircraft trajectory planning under weather-induced uncertainties: Free-routing airspace. Transp. Res. Part D Transp. Environ. 2024, 131, 104196. [Google Scholar] [CrossRef]
- Alizadeh, A.; Uzun, M.; Koyuncu, E.; Inalhan, G. Optimal En-Route Trajectory Planning based on Wind Information. IFAC-Pap. 2018, 51, 180–185. [Google Scholar] [CrossRef]
Disclaimer/Publisher’s Note: The statements, opinions and data contained in all publications are solely those of the individual author(s) and contributor(s) and not of MDPI and/or the editor(s). MDPI and/or the editor(s) disclaim responsibility for any injury to people or property resulting from any ideas, methods, instructions or products referred to in the content. |
© 2024 by the authors. Licensee MDPI, Basel, Switzerland. This article is an open access article distributed under the terms and conditions of the Creative Commons Attribution (CC BY) license (https://creativecommons.org/licenses/by/4.0/).