Abstract
Based on the monthly mean reanalysis data from NCEP/NCAR (National Centers for Environmental Prediction/ National Center for Atmospheric Research) and GPCP (Global Precipitation Climatology Project) (1979–2020), the regional characteristics of precipitation in the warm pool side of the Maritime Continent (MC) and the relationships between different precipitation patterns and atmospheric circulations are studied. The results show that there are significant correlations as well as differences between the precipitation in the east of the Philippines (area A) and that in the Pacific Ocean near the Northern Mariana Islands (area B). Precipitation in area A is closely related to the eastern Pacific ENSO (El Nino-Southern Oscillation) and EAP/PJ (East Asia-Pacific/Pacific-Japan) teleconnection pattern, while precipitation in area B is linked to the Indian Ocean basin-wide and the South China Sea summer monsoon. When the precipitation anomaly in area A is positive, the East Asian summer monsoon is weak. A cyclone appears to the northwest of area A at 850 hPa with convergence airflow. After filtering out the effects of precipitation in area B, the cyclone retreats to the west, and an anticyclone appears to the southeast of area A. When the precipitation is above normal in area B, the circulation and water vapor transportation are similar to that in area A but more to the east. The updraft and downdrafts to both north and south sides of area B form two closed meridional vertical circulations. When the influence of area A is moved out, the circulation center in the warm pool area moves eastward. This research contributes to a better understanding of the regional characteristics of the Maritime Continent and the East Asian summer monsoon.
1. Instruction
The area [10° S–20° N, 90° E–150° E] was roughly defined as the Marine Continent (MC) by Ramage in 1968 [1]. This region is crucial to the whole climatic system and is also affected by a variety of meteorological phenomena [2,3,4,5,6,7,8,9]. It divides the tropical Pacific Ocean and the tropical Indian Ocean in the zonal direction and connects them via the Indonesian Throughflow [10,11]. This area also links the Australian monsoon area with the East Asian monsoon zone meridianally [2,12,13]. Daily convective activity in the MC region is especially strong, exhibits significant diurnal variation, and is crucial to the Asian–Australasian monsoon system and the climate in East Asia [14,15,16,17,18,19,20]. The intraseasonal oscillation is very strong in the MC area, which accounts for a sizeable amount of the total disturbance variance in several meteorological variables, and the topography also has substantial backwards impacts on MJO [21,22,23,24,25,26,27,28].
ENSO is the strongest signal of interannual climate change in the tropics. The highest correlation of sea surface temperature with ENSO appears in the Maluku Sea area, the center of the MC region. When the El Nino event occurs, the east wind anomaly in the eastern part of Indonesia is stimulated by the teleconnection of the sea surface temperatures (SST) anomaly in the warm area, which strengthens the SST cold anomaly in the equatorial western Pacific and weakens the Walker circulation [12,29,30,31]. The Indian Ocean Dipole (IOD) reflects the equatorial Indian Ocean’s zonal anomaly in SST, which is also inextricably linked to the climate features of the MC region, and the highest correlation may be seen in the Java Sea [4,32,33,34,35].
The eastern half of the MC area is closely related to the western Pacific warm pool [14,36,37]. Known as one of the areas with the highest SST, the warm pool area has relatively significant convective activities, which constitute the ascending branch of Walker circulation and Hadley circulation. The climate in East Asia is considerably influenced by these large-scale circulations [14,38,39,40].
The concepts of the Pacific Japan teleconnection (PJ) and the East Asia Pacific teleconnection (EAP) wave train patterns were published in 1987 by Nitta and Huang et al., respectively [16,41]. This pattern depicts the “−, +, −” wave train structure in the geopotential height field in the Philippines, central Japan, and near the Okhotsk Sea, which is related to the western Pacific subtropical high and the distribution of rain belts in East Asia [42]. Convection in the Philippines might be seen as a key factor in promoting EAP teleconnection. During the East Asia summer, the warmer SST in the western Pacific warm pool increases the convective activities in the Philippines, resulting in the propagation of quasi-geostrophic planetary waves. The western Pacific subtropical high is strong and shifting north at this moment, whereas the blocking high in Northeast Asia, as well as the Meiyu front in the Jianghuai river basin, are both weak [12,13,38,39,43,44]. Similar wave trains can be produced by the Indian Ocean Dipole (IOD) in the tropics, through inducing vorticity anomalies in the Indochina Peninsula and surrounding areas [34,45].
Based on the previous work published in the Journal of Climate in 2019, the Marine Continent is divided into six key areas through the REOF (Rotated Empirical Orthogonal Function) analysis of summer precipitation (Figure 1) [39]. The fourth and sixth modes explain 6.57% and 4.80% of the total variance, respectively, which correspond to areas A [133° E—141° E, 16° N—19° N] and B [146.25° E—150° E, 12.25° N—18° N]. The correlation between area A and area B reaches 0.45, and the two regions are combined in the previous work. Although the two areas are highly related, 80% of the disturbance variance between them cannot be explained by each other. It implies that the two locations have distinct and substantial climatic features. This paper will further investigate the similarities and differences between these two regions and explore the mechanisms behind them.
Figure 1.
The six main locations of summer precipitation in the MC, as determined by the REOF analysis, including areas A and B [39].
2. Data and Methods
2.1. Data
This investigation mainly used the NCEP reanalysis products, which include the monthly mean specific humidity, winds, surface pressure, and geopotential height from 1979 to 2020 with a gridded resolution of 2.5° × 2.5° and a sea surface temperature (SST) resolution of 2.0° × 2.0° [46,47]. Precipitation was collected from GPCP for the same period with a resolution of 2.5° × 2.5° [48]. High-resolution multi-level ocean analyses were acquired from the NCEP Global Ocean Data Assimilation System (GODAS) [49]. The indices were obtained from the Chinese National Climate Center (http://cmdp.ncc-cma.net/cn/index.htm, accessed on 13 July 2022) and the NOAA earth system research laboratory (http://www.esrl.noaa.gov/, accessed on 3 July 2022). Summer refers to June–September.
2.2. Methods
The MC was divided into subregions based on the REOF reanalysis of summer precipitation [50,51,52]. To expose the periodicities of precipitation in different areas, Morlet wavelet analysis was used [53]. Composite and correlation studies were utilised to examine the connection between precipitation anomalies and other physical parameters. Area A and B are closely related to each other. In order to demonstrate the regional characteristics, the (partial) linear regression method was employed to filter out the mutual influences, and the F-test was used to verify the significance. The thermal balance equation of the ocean mixed layer was used to further understand the relationship between the ocean and precipitation anomalies in areas A and B.
3. Temporal Characteristics
3.1. Time Series
Ia and Ib are used to represent standardized multi-year-area-averaged summertime (June–September) precipitation in areas A and B. To filter out the mutual influences, the linear regression method is used, that is,
Equation (3) is used to standardize these four time series Ia, Ia−b, Ib, and Ib−a, where stands for the average value, and stands for the standard division.
The correlation coefficient between the time series before and after regression is 0.84. This means 71% of the total variance can be explained after filtering, implying that the independent components play a leading role.
It should be noted that the abnormal precipitation is usually caused by the atmospheric circulation anomaly, and Ia−b (Ib−a) here actually represents the simultaneous influence of deducting the circulation related to the change of Ib (Ia) in Ia (Ib). The following descriptions of “deducting the influence of precipitation anomaly in a certain area” mean that the influence of the circulation anomaly related to abnormal precipitation in a certain area is deducted.
The precipitation in area A shows an increasing trend from 1979 to 2020. The time series shows a distribution of “−, +, −” in chronological order during the 1980s and 1990s. The interannual variation was larger after 2000, and, after 2010, the amplitude increased. (Figure 2a). The overall trend of precipitation in area B is less pronounced than that of area A’s, but it exhibits stronger interannual features and larger amplitudes (Figure 2b).
Figure 2.
Standardized area-averaged precipitation time series (bars) of area A (a) and B (b) from 1979 to 2020. The curves represent the time series after filtering out the influence from each other, and the dashed lines stand for one standard deviation.
3.2. Periodic Characteristics
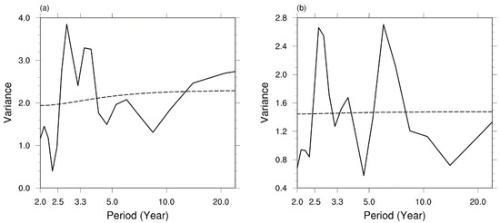
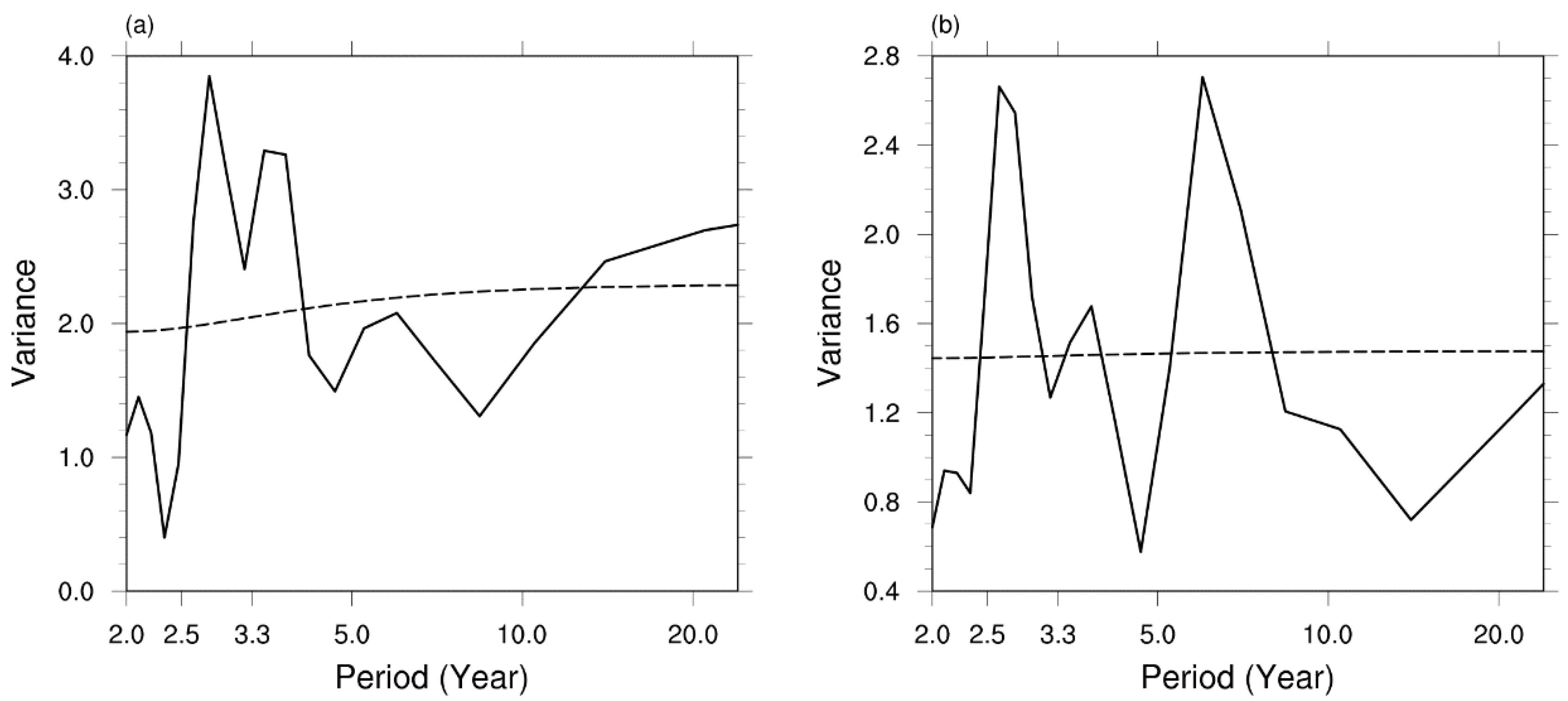
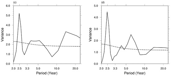
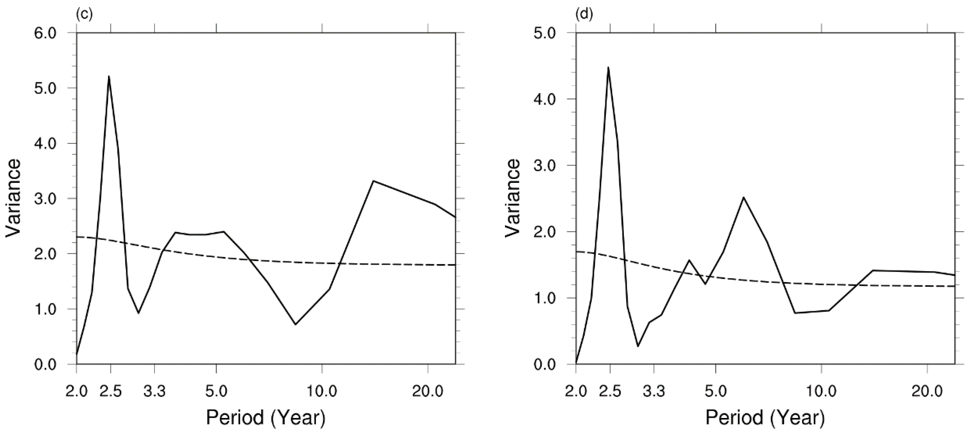
The periodic characteristics of precipitation in the two regions are obtained by power spectrum analysis (Figure 3). The precipitation in area A has quasi-3–4-year, 4–6-year, and interdecadal periodic characteristics (Figure 3a). After filtering out the influence of Ib, it shows the periodic characteristics of quasi-3 years and strong 6–7 years (Figure 3b). There are quasi-2–3-year, 4–6-year, and interdecadal periodic characteristics of precipitation in area B (Figure 3c). The periodic features of around 6–7 years get stronger and the interdecadal traits deteriorate once Ia’s impact is removed (Figure 3d). The power spectrum structures of precipitation time series in areas A and B change significantly after removing the influence of each other.

Figure 3.
Power spectra with red-noise checking at 95% level of confidence for, Ia (a), Ia−b (b), Ib (c), and Ib−a (d), respectively.
3.3. Connections between Climate Indices
To reveal the possible relationships between precipitation anomalies in the two regions and other atmospheric and oceanic signals, the correlations between each precipitation time series and various climate indices are calculated (Table 1), the definitions of the indices are displayed in Table 2.
Table 1.
Correlations between precipitation time series and climate indices. 0.30 (0.26) is the critical value for the 95 (90)% confidence level.
Table 2.
Definitions of the indices in Table 1.
In Table 1 and Table 2, Nino1+2, Nino3 and Nino3.4 are the indices for ENSO, but in different sea areas. The SOI (Southern Oscillation Index) represents the atmospheric component of the ENSO. The EMI (Elnino Modoki Index) is another type of ENSO. IOBW(Indian Ocean Basin-wide) and DMI (Dipole Mode Index) are indices for the tropical Indian Ocean. The PNA (Pacific North American) pattern is one of the most prominent modes of extratropical variability in the Northern Hemisphere. The Pacific Decadal Oscillation (PDO) is often described as a long-lived El Niño-like pattern of Pacific climate variability.
Although area A and B are close to each other, both located in the tropical western Pacific, their relationships with the climate signals present massive differences. The correlation between area-averaged precipitation time series in area A and Nino1+2 index is −0.41, while the precipitation in area B is more closely related to the Elnino Modoki phenomenon [56] The precipitation in area A has no significant correlation with the tropical Indian Ocean, but the precipitation in area B exhibits a certain connection with the Indian Ocean basin-wide mode after filtering the influence of area A. In addition, the correlation between precipitation signal in area A and PJ teleconnection [16] is as high as 0.61. After filtering out the influence of area B, the correlation can still reach 0.48. It can be seen that the precipitation in area A is closely related to the large-scale circulations in East Asia. Although the precipitation in area B also reveals some correlation with the PJ pattern, it mainly comes from the contribution of area A. No significant correlations can be seen with Nino3, Nino3.4, SOI, DMI, PNA, and PDO in both regions.
4. The Related Circulation Patterns
4.1. Water Vapor Transport
Through the calculation of correlations of precipitation and water vapor with the time series in Figure 2, we explore the characteristics of the precipitation patterns in more detail.
There are significant differences in precipitation spatial patterns associated with Ia and Ib. Figure 4 illustrates how precipitation is primarily positive in the northeast of MC. The center of area A-type precipitation anomaly is located to the east of the Philippines in the Pacific Ocean, while the precipitation center of area B-type is more to the east, near the Northern Mariana Islands. When the influence from area B is removed from area A, the positive anomaly in the east shrinks to the west and the negative anomaly in the center and west MC mainly disappears (Figure 4b). The positive anomaly near the Philippines in Figure 4c also decreases when Ia is filtered out and so is the negative anomaly near Japan, but the negative anomaly in the center and west of MC remains (Figure 4d).
Figure 4.
Correlations (shaded) of precipitation during 1979–2020 with Ia (a), Ia−b (b), Ib (c) and Ib−a (d). The water vapor flux components integrated vertically from the surface up to 300 hPa are regressed onto the standardised time series in Figure 2. Arrows and streamlines are used to represent the divergent and rotational components of these regression coefficients, respectively, (red arrows are at/above the 95% confidence level).
The water vapor transport corresponding to each type of precipitation anomaly differs as well. When the precipitation in area A exceeds normal, the water vapor primarily originates from the western Pacific warm pool area, the Philippines, and the South China Sea (Figure 4a). After Ib’s impact is removed, the water vapor from the west and south branches is reduced (Figure 4b). When the precipitation in area B is above normal (Figure 4c), water vapor from the Philippines, the South China Sea, and central Indonesia flow to area B from the west and south and water vapor from the ocean east of Japan converges to area B from the north. After removing the influence of precipitation in area A (Figure 4d), the central position of cyclonic water vapor circulation moves further eastward, and the water vapor transport in the Philippines and Indonesia weakens.
4.2. Circulations
The precipitation anomalies in both regions A and B are influenced by the circulation disturbance in the tropics, especially the western Pacific warm pool area. To further investigate the causes of precipitation anomalies in regions A and B, the anomalous wind fields at different geopotential heights from 1979–2020 were regressed on the four time series in Figure 2 to obtain Figure 5.
Figure 5.
Regressions of anomalous winds on the time series of Ia (a,b), Ia−b (c,d), Ib (e,f) and Ib−a (g,h). The left panels are at 850 hPa, while the right ones are at 200 hPa. Streamlines and vectors stand for the rotational and divergent wind components, respectively, (red arrows are at/above the 95% confidence level).
As seen in Figure 5a, area A experiences above-average precipitation when there is a westerly wind anomaly in the northern part of the MC region at 850 hPa and a narrow cyclonic circulation in the Philippines, Taiwan Island, the South China Sea, and the western Pacific warm pool near 20° N. Area A is located southeast of this circulation, which cooperates with the convergence of air currents and favors the occurrence of upward motion. The ocean east of Japan is controlled by the anticyclonic circulation, and the East Asian region exhibits a remotely-correlated EAP/PJ structure. This explains why the correlation between Ia and the EAP/PJ index is high in Table 1. There is an anticyclonic circulation at 200 hPa (Figure 5b) corresponding to the lower level (Figure 5a), which forms a considerable baroclinic structure in the vertical direction. Such a circulation structure is favorable for a weaker East Asian Summer Monsoon. After filtering out the influence of precipitation in area B (Figure 5c), an anticyclonic circulation appears to the east of area A, and the narrow cyclonic circulation near 20° N retreats westward to the South China Sea. The two circulations intersect in area A where the anomalous flow is southwesterly. It is noted that this precipitation anomaly is mainly located in the region where the southwesterly winds turn to the southeasterly winds, similar to the warm shear precipitation. Meanwhile, the center of convergence (850 hPa)/divergence (200 hPa) is located to the west side of the anomalous cyclonic/anticyclonic circulation, which indicates its connection with the Gill-type response [57].
When the precipitation is positive in area B, there is a cyclonic circulation near 20° N at 850 hPa (Figure 5e), similar to that in Figure 5a, but more to the east, and the East Asian summer monsoon is weak. Area B is located to the south of this cyclonic circulation where the airflow convergences, which is favorable to the occurrence of convective activities. After removing the influence of precipitation in area A (Figure 5g,h), the circulation centers at both high and low altitudes in the western Pacific warm pool region shift eastward. The Indochina Peninsula and surrounding area are controlled by the westerly airflow with or without the affection of area A and so is the convergence from the equator around 105° E–120° E to the South China Sea area, which contributes to the strong South China Sea summer monsoon.
4.3. Vertical Circulation
To further clarify the circulation structures in East Asia associated with the precipitation anomalies in the two regions, the meridional circulations are analyzed here (Figure 6). As can be seen from Figure 6a, when the precipitation in area A is positive, there are upward motions in the range of 15° N–25° N around the warm pool, while there are downward motions between the equator and 10° N below 500 hPa, thus constituting a shallow vertical circulation circle. Above 500 hPa, there is still an upward movement near 20° N, and some of the accompanying airflow travels to the northern hemisphere’s high latitudes, forming a complete vertical circulation circle in the 30° N–35° N Japanese region. The upward motion in area A only complements the maintenance of the meridional circulation at 30° N. The circulation distribution changes little after removing the effect of precipitation in area B.
Figure 6.
Meridional circulation obtained by regressing the latitudinal mean divergent winds and vertical velocities at [133° E–141° E] on the Ia (a) and Ia−b (b) time series and that at [146.25° E–150° E] on the Ib (c) and Ib−a (d) time series from 1979 to 2020.
The meridional circulation anomalies associated with precipitation in area B show some differences. When the precipitation in area B is abnormally high, the airflow rises in the 15° N–25° N warm pool range and sinks around 5° N and 30° N–35° N, respectively, establishing two closed vertical circulations on each side of 20° N. The vertical circle to the north of 20° N is more complete than the one to the south.
According to the circulation analysis in Figure 5, when precipitation anomalies in regions A and B are positive, the corresponding lower tropospheric divergence and upper-level convergence emerge in the central and western parts of MC, respectively.
The slanted vertical circulation associated with the precipitation anomalies in regions A and B is calculated by regression (Figure 7). Unlike the incomplete meridional circulation shown in Figure 6, when the precipitation is above normal in area A, the airflow rises near [146° E, 17° N] and sinks near [104° E, 4° N], forming a complete vertical circulation circle, indicating that the precipitation anomaly in this area is linked to the circulation anomaly in the Malay Peninsula (Figure 7a). When the precipitation in area B is abnormally high, the vertical circulation system is eastward and southward compared with the area A-type precipitation anomaly (Figure 7c). The airflow rises at (170° E, 14° N) and dives near (110° E, 2° S), the circulation anomaly is closely related to the Java Sea and Kalimantan Island area. The circulation systems remain when the influence of mutual precipitation signals between the two places is removed (Figure 7b,d).
Figure 7.
Regressions of divergent winds and vertical velocities on the time series of Ia (a), Ia−b (b) at the oblique vertical section of [90° E, 0° N–160° E, 22° N] and Ib (c) Ib−a (d) at the oblique vertical section of [95° E, 5° S–175° E, 20° N]. Blue shaded areas represent the terrains.
The vertical circulation anomalies attributed to precipitation in areas A and B are notably different in the meridional plane. Regardless of the precipitation anomaly in either A or B, the oblique vertical circulation indicates the relationship between the western Pacific region and the eastern Indian Ocean region.
5. The Relationship with the Ocean
5.1. Sea Surface Temperature
Different patterns of the sea surface temperature anomaly (SSTA) are considered to be responsible for anomalous precipitation in areas A and B. The correlation coefficients of the time series in Figure 2 with surface wind and sea surface temperature are shown in Figure 8.
Figure 8.
Arrows (shaded) stand for the correlation coefficients of surface wind and sea surface temperature anomaly (SSTA) with time-series Ia (a), Ia−b (b) Ib (c), and Ib−a (d). Green arrows and shaded areas are for values at/above the 90% confidence level. Blue boxes are for areas A and B.
When the precipitation in area A is above normal, the sea surface temperature in the South Pacific Convergence Zone (SPCZ) and western Pacific warm pool area is relatively high, while that in the eastern Bay of Bengal, the South China Sea, the northeast Philippines, and the east Pacific south coast is relatively low (Figure 8a). These features seem to be related to the eastern type of ENSO, which is compatible with the result in Table 1 that the correlation between the precipitation in area A and the Nino1+2 index is highly negative. After removing the effects of precipitation in area B (Figure 8b), the positive SST anomaly in the Indian Ocean, south of the equator, is strengthened, while the negative correlation center around Indochina Peninsula and the positive anomaly center in the warm pool area disappear. There is a significant south wind anomaly near the sea surface in area A, which corresponds to the circulation in the northeast MC at 850 hPa (Figure 5c). These partly explain the relationship between the precipitation anomaly in area A and PJ teleconnection pattern (Table 1).
When the precipitation in area B is positive (Figure 8c), there are negative SST anomalies in the Philippines, the Arabian Sea, the South China Sea, and the Bay of Bengal and at the same time a positive SST anomaly in the equatorial central Pacific. The distribution pattern of the tropical Pacific SST is comparable to the El Nino Modokki, which is why there is a significant correlation between Ib and EMI in Table 1. The negative SST area in the Philippines as well as the positive area in the central Pacific decrease and shift eastward after Ia is removed (Figure 8d), and the correlation with EMI is no longer significant. Negative SST anomalies vanished around the South China Sea and the Indochina Peninsula but grew stronger in the equatorial Indian Ocean and the Arabian Sea, indicating a strong relationship with IOBW (Table 1). The relationship between the independent components of area A and area B and the SST anomaly in the Indian Ocean is considerably different, if not completely opposite, as seen in Figure 8b,d.
5.2. Mixed Layer Processes
The thermal balance equation of the ocean mixed layer is used to further explore the relationship between the ocean and precipitation anomalies in areas A and B. The formula is as shown below.
In Equation (4), u, v, and w are the ocean’s three-dimensional water velocity. T stands for the temperature of the ocean mixed layer, Q for the net thermal flux, R for the residual term, ρ for the ocean’s density (= 103 kg/m3), CP for the ocean’s specific heat (= 4000 J/kg/K), and H for the depth of the mixed layer. The climatic mean and disturbance of variable A are represented by and , respectively.
Using the regional average values of each item in Equation (4), composite analysis is employed to produce Table 3 (subtract the values of the year with unusually high precipitation from the values of the year with abnormally low precipitation). The time series in Figure 2 are used to choose the anomalous years with absolute values more than one standard deviation.
Table 3.
Variations between each item in Equation (4) of areas A and B (measured in K/month). (Tabs indicated with an asterisk (*) are for values at/above the 90% confidence level).
Table 3 shows that the regional averaged variation trend of the ocean mixed layer temperature is −0.1 K/month when the precipitation in area A is abnormally high and that only the thermal movement in the vertical direction is noteworthy. After removing the impact of area B, the ocean mixed layer temperature trend is −0.16 K/month, and the zonal heat movement and the heat flux exchange between the sea surface and the air become significant. This demonstrates how heat from the water is transferred to the atmosphere, causing local increases in convective activities and precipitation.
The mixed layer sea temperature shows a declining trend with a value of −0.17 K/month when the precipitation in area B is positive. The air-sea thermal transport terms as well as the zonal and vertical linear advection terms are crucial components of the equation. The zonal warm seawater flows to area B, which causes the local sea temperature to rise, but the bottom cold water turns up, and the thermal energy transfers from the sea surface to the lower atmospheric layer, making the mixed layer sea temperature behave as a negative anomaly. The heat transfer is diminished, and the mixed layer’s cooling tendency is lessened once the impact of precipitation in area A is filtered out, but the overall change is minimal.
6. Discussion
This essay, on the basis of a preliminary study [39], mainly focuses on the precipitation of two typical regions in the northeastern part of the Maritime Continent. Other research has shown that the climate in the MC regions is closely related to ENSO, IOD, and the East Asian Summer Monsoon [1,4,12,14,36,58], which have been confirmed in this article. Compared to previous studies, this article demonstrates that different regions have unique characteristics, such as area A being closely related to the EP ENSO and EAP/PJ teleconnection types, while area B is mainly related to the Indian Ocean basin model and the South China Sea summer monsoon. These regional climatic characteristics are determined by different distribution patterns of sea surface temperature and circulation anomalies.
Understanding the regional characteristics of precipitation in the Maritime Continent will help us better understand the connection between the MC and global climate and to figure out the impact of the tropical ocean signals on the MC. While certain areas of the MC have been covered by studies on the regional features, places that contribute less to the total variation of precipitation in the MC need to be further investigated. What link exists between tropical cyclones and precipitation anomalies in areas A and B, and what role do the different MJO phases play in this relationship? Additional studies are still needed on them.
7. Conclusions
The precipitation in the east of the Philippines (area A) and that close to the Northern Mariana Islands (area B) are strongly correlated (correlation coefficient: 0.45), which also means 80 percent of the variance of the two areas cannot be explained by each other. The anomalous circulations and SST distributions in the tropics can be linked to the differences in precipitation between the two locations. Area A-type precipitation is closely related to the EP ENSO and the EAP/PJ teleconnection, but area B-type precipitation is more associated with the Elnino Modokki and the whole Indian Ocean basin-wide mode.
When the precipitation in area A is positive, water vapor originates mostly from the Philippines, the South China Sea, and the western Pacific warm pool in the north and east of zone A. In the lower troposphere, area A is located in the southeast of a cyclonic circulation, which is centered in the northern Philippines and Taiwan Island. Paired with the convergent airflow, it favors the upward air movement. East Asia exhibits the EAP/PJ teleconnection pattern, with anticyclone circulation controlling the ocean surface east of Japan, and the East Asian Summer Monsoon is weak. The oblique vertical circulation reveals that convections in area A are closely related to the Malay Peninsula. After filtering out the impact of precipitation in area B, the water vapor transport in the eastern branch of the western Pacific warm pool has increased and now plays the leading role. The cyclonic circulation that initially controlled area A at 850 hPa retreats to the west, and an anticyclone appears in the western Pacific’s warm pool area. Area A is located where the southwest wind transforms into the southeast wind.
When the precipitation in area B is above normal, water vapor from the South China Sea, the Philippines, and central Indonesia is brought to zone B from the west and south, while water vapor from the ocean at the east of Japan converges to zone B from the north. There is a cyclonic circulation over the western Pacific warm pool around 20° N at 850 hPa, which is different from that of area A-type. Area B is located to the south of the circulation, where there is strong airflow convergence with convective activities. The summer monsoon in East Asia is likewise moderate, whereas the summer monsoon in the South China Sea is robust. The precipitation anomaly in this area is linked to the Java Sea and Kalimantan Island through the vertical circulation. The central point of cyclonic water vapor circulation shifts farther eastward after filtering out the impact of precipitation in area A, and water vapor transport in the Philippines and Indonesia is reduced. The circulation centers in the warm pool region at both 850 hPa and 200 hPa move further eastward.
ENSO has powerful influences on precipitation in the northeast Maritime Continent. The precipitation in area A is linked to the eastern Pacific ENSO, whereas the precipitation in area B is associated with the Elnino Modokki. After filtering out mutual effects, a significant negative correlation is found between the area B-type precipitation anomaly and the Indian Ocean basin-wide mode. When either area A or B experiences a positive precipitation anomaly, heat transfers from the sea surface to the atmosphere, making the mixed layer sea temperature behave as a negative anomaly.
Author Contributions
Conceptualization, Q.X. and Z.G.; Methodology, Q.X. and Z.G.; Software, Q.X.; Validation, W.C.; Formal analysis, Q.X.; Investigation, Q.X. and D.J.; Resources, Z.G.; Data curation, W.C.; Writing–original draft, Q.X.; Writing–review & editing, Q.X.; Visualization, D.J. and J.Z.; Supervision, Z.G.; Project administration, Z.G.; Funding acquisition, Q.X. and Z.G. All authors have read and agreed to the published version of the manuscript.
Funding
This investigation was funded by both the National Natural Science Foundation of China (grant number 41330425) and the Review and Summary Special Project of China Meteorological Administration (grant number FPZJ2023-048).
Institutional Review Board Statement
Not applicable.
Informed Consent Statement
Not applicable.
Data Availability Statement
Not applicable.
Acknowledgments
The graphics in this article are drawn by the NCAR Command Language (NCL) version 6.6.2 (Developed by National Center for Atmospheric Research (NCAR), http://dx.doi.org/10.5065/D6WD3XH5, accessed on 18 May 2023) and the Grid Analysis and Display System (Grads) version 2.1 (Developed by Center for Ocean-Land-Atmosphere Studies, Institute of Global Environment and Society, George Mason University, http://cola.gmu.edu/grads/downloads.php, accessed on 18 May 2023) software. Reanalyses data are downloaded from the NOAA Earth System Research Laboratory (http://www.esrl.noaa.gov/) on 3 July 2022.
Conflicts of Interest
The authors declare no conflict of interest.
References
- Ramage, C.S. Role of A Tropical “MARITIME CONTINENT” in The Atmospheric Circulation. Mon. Wea. Rev. 1968, 96, 365–370. [Google Scholar] [CrossRef]
- Chen, W.; Guan, Z.; Xu, Q. Variation of Anomalous Convergence Around Kalimantan Island in Lower Troposphere and Its Role in Connecting the East Asian Summer Monsoon and Australian Winter Monsoon. J. Geophys. Res. Atmos. 2019, 124, 6892–6903. [Google Scholar] [CrossRef]
- Gu, D.J.; Li, T.; Ji, Z.P.; Zheng, B. Connection of The South China Sea Summer Monsoon to Maritime Continent Convection and ENSO. J. Trop. Meteorol. 2010, 16, 1. [Google Scholar]
- Hu, C.; Lian, T.; Cheung, H.N.; Qiao, S.; Li, Z.; Deng, K.; Yang, S.; Chen, D. Mixed diversity of shifting IOD and El Nino dominates the location of Maritime Continent autumn drought. Natl. Sci. Rev. 2020, 7, 1150–1153. [Google Scholar] [CrossRef] [PubMed]
- Kokorev, V.; Ettema, J.; Siegmund, P.; Schrier, G. Precipitation Regime Shift Associated with the Pacific Decadal Oscillation in the Maritime Continent. Am. J. Clim. Chang. 2020, 09, 123–135. [Google Scholar] [CrossRef]
- Neale, R.; Slingo, J. The Maritime Continent and Its Role in the Global Climate: A GCM Study. J. Clim. 2003, 16, 834–848. [Google Scholar] [CrossRef]
- Yoneyama, K.; Zhang, C. Years of the Maritime Continent. Geophys. Res. Lett. 2020, 47, e2020GL087182. [Google Scholar] [CrossRef]
- Zou, M.; Qiao, S.; Chao, L.; Chen, D.; Hu, C.; Li, Q.; Feng, G. Investigating the Interannual Variability of the Boreal Summer Water Vapor Source and Sink over the Tropical Eastern Indian Ocean-Western Pacific. Atmosphere 2020, 11, 758. [Google Scholar] [CrossRef]
- Darmawan, Y.; Hsu, H.-H.; Yu, J.-Y. Characteristics of Large-Scale Circulation Affecting the Inter-Annual Precipitation Variability in Northern Sumatra Island during Boreal Summer. Atmosphere 2021, 12, 136. [Google Scholar] [CrossRef]
- Qian, S.; Gordon, A.L. Significance of the Vertical Profile of the Indonesian Throughflow Transport to the Indian Ocean. Geophys. Res. Lett. 2004, 31, 329–337. [Google Scholar]
- Zhao, X.; Lu, R. Vertical Structure of Interannual Variability in Cross-Equatorial Flows over the Maritime Continent and Indian Ocean in Boreal Summer. Adv. Atmos. Sci. 2020, 37, 45–58. [Google Scholar] [CrossRef]
- Xu, Q.; Guan, Z. Interannual Variability of Summertime Outgoing Longwave Radiation over the Maritime Continent in Relation to East Asian Summer Monsoon Anomalies. J. Meteorol. Res. 2017, 31, 665–677. [Google Scholar] [CrossRef]
- Kosaka, Y.; Nakamura, H. Mechanisms of Meridional Teleconnection Observed between a Summer Monsoon System and a Subtropical Anticyclone. Part II: A Global Survey. J. Clim. 2010, 23, 5109–5125. [Google Scholar] [CrossRef]
- Jiang, X.; Shu, J.; Wang, X.; Huang, X.; Wu, Q. The Roles of Convection over the Western Maritime Continent and the Philippine Sea in Interannual Variability of Summer Rainfall over Southwest China. J. Hydrometeorol. 2017, 18, 2043–2056. [Google Scholar] [CrossRef]
- Franklin, C.N.; Protat, A.; Leroy, D.; Fontaine, E. Controls on phase composition and ice water content in a convection-permitting model simulation of a tropical mesoscale convective system. Atmos. Chem. Phys. 2016, 16, 8767–8789. [Google Scholar] [CrossRef]
- Nitta, T. Convective Activities in the Tropical Western Pacific and Their Impact on the Northern Hemisphere Summer Circulation. J. Meteorol. Soc. Japan. Ser. II 1987, 65, 373–390. [Google Scholar] [CrossRef]
- Saito, K.; Keenan, T.; Holland, G.; Puri, K. Numerical Simulation of the Diurnal Evolution of Tropical Island Convection over the Maritime Continent. Mon. Weather Rev. 2001, 129, 378–400. [Google Scholar] [CrossRef]
- Sakaeda, N.; Kiladis, G.; Dias, J. The Diurnal Cycle of Rainfall and the Convectively-Coupled Equatorial Waves over the Maritime Continent. J. Clim. 2020, 33, 3307–3331. [Google Scholar] [CrossRef]
- Keenan, T.D.; Carbone, R.E. Propagation and Diurnal Evolution of Warm Season Cloudiness in the Australian and Maritime Continent Region. Mon. Weather. Rev. 2008, 136, 239–244. [Google Scholar] [CrossRef]
- Zhu, B.; Du, Y.; Gao, Z. Influences of MJO on the Diurnal Variation and Associated Offshore Propagation of Rainfall near Western Coast of Sumatra. Atmosphere 2022, 13, 330. [Google Scholar] [CrossRef]
- Shibagaki, Y.; Shimomai, T.; Kozu, T.; Mori, S.; Fujiyoshi, Y.; Hashiguchi, H.; Yamamoto, M.K.; Fukao, S.; Yamanaka, M.D. Multiscale Aspects of Convective Systems Associated with an Intraseasonal Oscillation over the Indonesian Maritime Continent. Mon. Weather. Rev. 2006, 134, 1682–1696. [Google Scholar] [CrossRef]
- Madden, R.A.; Julian, P.R. Description of Global-Scale Circulation Cells in the Tropics with a 40–50 Day Period. J. Atmos. Sci. 1972, 29, 1109–1123. [Google Scholar] [CrossRef]
- Bai, H.; Schumacher, C. Topographic Influences on Diurnally Driven MJO Rainfall Over the Maritime Continent. J. Geophys. Res. D. Atmos. JGR 2022, 27, e2021JD035905. [Google Scholar] [CrossRef]
- Kang, D.; Kim, D.; Ahn, M.S.; An, S.I. The Role of Background Meridional Moisture Gradient on the Propagation of the MJO over the Maritime Continent. J. Clim. 2021, 34, 6565–6581. [Google Scholar] [CrossRef]
- Lei, Z.; Murtugudde, R. Influences of Madden–Julian Oscillations on the eastern Indian Ocean and the maritime continent. Dyn. Atmos. Ocean. 2010, 50, 257–274. [Google Scholar]
- Li, T. Recent advance in understanding the dynamics of the Madden-Julian oscillation. J. Meteorol. Res. 2014, 28, 1–33. [Google Scholar] [CrossRef]
- Zhou, L.; Murtugudde, R. Oceanic Impacts on MJOs Detouring near the Maritime Continent. J. Clim. 2020, 33, 2371–2388. [Google Scholar] [CrossRef]
- Worku, L.Y.; Mekonnen, A.; Schreck, C.J. The Impact of MJO, Kelvin, and Equatorial Rossby Waves on the Diurnal Cycle over the Maritime Continent. Atmosphere 2020, 11, 711. [Google Scholar] [CrossRef]
- Zhang, T.; Huang, B.; Yang, S.; Chen, J.; Jiang, X. Dynamical and Thermodynamical Influences of the Maritime Continent on ENSO Evolution. Sci. Rep. 2018, 8, 15352. [Google Scholar] [CrossRef]
- Bjerknes, J. Atmospheric Teleconnections from the Equatorial Pacific. Mon. Weather. Rev. 1969, 97, 163–172. [Google Scholar] [CrossRef]
- Yim, B.Y.; Yeh, S.-W.; Sohn, B.-J. ENSO-Related Precipitation and Its Statistical Relationship with the Walker Circulation Trend in CMIP5 AMIP Models. Atmosphere 2016, 7, 19. [Google Scholar] [CrossRef]
- Guan, Z.; Yamagata, T. The unusual summer of 1994 in East Asia: IOD teleconnections. Geophys. Res. Lett. 2003, 30, 235–250. [Google Scholar] [CrossRef]
- Saji, N.H.; Goswami, B.N.; Vinayachandran, P.N.; Yamagata, T. A dipole mode in the tropical Indian Ocean. Nature 1999, 401, 360–363. [Google Scholar] [CrossRef] [PubMed]
- Guan, Z.; Ashok, K.; Yamagata, T. Summertime Response of the Tropical Atmosphere to the Indian Ocean Dipole Sea Surface Temperature Anomalies. J. Meteorol. Soc. Jpn. 2003, 81, 533–561. [Google Scholar] [CrossRef]
- Khan, S.; Piao, S.; Zheng, G.; Khan, I.U.; Bradley, D.; Khan, S.; Song, Y. Sea Surface Temperature Variability over the Tropical Indian Ocean during the ENSO and IOD Events in 2016 and 2017. Atmosphere 2021, 12, 587. [Google Scholar] [CrossRef]
- Picaut, J.; Ioualalen, M.; Menkes, C.; Delcroix, T.; McPhaden, M.J. Mechanism of the zonal displacements of the Pacific warm pool: Implications for ENSO. Science 1996, 274, 1486–1489. [Google Scholar] [CrossRef]
- Wang, C.; Enfield, D.B. The Tropical Western Hemisphere Warm Pool. Geophys. Res. Lett. 2001, 28, 1635–1638. [Google Scholar] [CrossRef]
- Xu, Q.; Guan, Z. Interdecadal Change of Diabatic Forcing Over Key Region of The Maritime Continent and Its Possible Relations with The East Asian Summer Monsoon Anomalies. J. Trop. Meteorol. 2019, 25, 54–62. [Google Scholar]
- Xu, Q.; Guan, Z.; Jin, D.; Hu, D. Regional Characteristics of Interannual Variability of Summer Rainfall in the Maritime Continent and Their Related Anomalous Circulation Patterns. J. Clim. 2019, 32, 4179–4192. [Google Scholar] [CrossRef]
- Yin, X.; Zhou, L.-T.; Huangfu, J. Weakened Connection between East China Summer Rainfall and the East Asia-Pacific Teleconnection Pattern. Atmosphere 2021, 12, 704. [Google Scholar] [CrossRef]
- Huang, R.H.; Li, W.J. Influence of the Heat Source Anomaly over the Tropical Western Pacific on the Subtropical High over East Asia. In Proceedings of the International Conference on the General Circulation of East Asia, Chengdu, China, 10–15 April 1987; pp. 40–51. [Google Scholar]
- Xie, M.; Wang, C.; Chen, S. The Role of the Maritime Continent SST Anomalies in Maintaining the Pacific-Japan Pattern on Decadal Time Scales. J. Clim. 2022, 35, 1079–1095. [Google Scholar]
- Cheng, Z.H.; Kang, D.; Chen, L.T.; Xu, X.D. Interaction between tropical cyclone and meiyu front. Acta Meteorol. Sin. 1999, 13, 35–46. [Google Scholar]
- Rodríguez, J.M.; Milton, S.F. East Asian Summer Atmospheric Moisture Transport and Its Response to Interannual Variability of the West Pacific Subtropical High: An Evaluation of the Met Office Unified Model. Atmosphere 2019, 10, 457. [Google Scholar] [CrossRef]
- Xiao, H.M.; Lo, M.H.; Yu, J.Y. The increased frequency of combined El Nino and positive IOD events since 1965s and its impacts on maritime continent hydroclimates. Sci. Rep. 2022, 12, 7532. [Google Scholar] [CrossRef]
- Kalnay, E.; Kanamitsu, M.; Kistler, R.; Collins, W.; Deaven, D.; Gandin, L.; Iredell, M.; Saha, S.; White, G.; Woollen, J. The NCEP/NCAR 40-Year Reanalysis Project. Am. Meteorol. Soc. 1996, 77, 437–471. [Google Scholar] [CrossRef]
- Kanamitsu, M.; Ebisuzaki, W.; Woollen, J.; Yang, S.K.; Hnilo, J.J.; Fiorino, M.; Potter, G.L. NCEP–DOE AMIP-II Reanalysis (R-2). Bull. Am. Meteorol. Soc. 2002, 83, 1631–1643. [Google Scholar] [CrossRef]
- Adler, R.F.; Huffman, G.J.; Chang, A.; Ferraro, R.; Xie, P.P.; Janowiak, J.; Rudolf, B.; Schneider, U.; Curtis, S.; Bolvin, D. The Version2 Global Precipitation Climatology Project (GPCP) Monthly Precipitation Analysis (1979 Present). J. Hydrometeorol. 2003, 4, 1147–1167. [Google Scholar] [CrossRef]
- Behringer, D.W.; Ji, M.; Leetmaa, A. An improved coupled model for ENSO prediction and implications for ocean initialization. Part I: The ocean data assimilation system. Mon. Weather. Rev. 1998, 126, 1013–1021. [Google Scholar] [CrossRef]
- Horel, J.D. A rotated principal component analysis of the interannual variability of the Northern Hemisphere 500 mb height field. Mon. Wea. Rev. 1981, 109, 2080–2092. [Google Scholar] [CrossRef]
- Richman, M.B. Obliquely rotated principal components: An improved meteorological map typing technique. J. Appl. Meteor. 1981, 20, 1145–1159. [Google Scholar] [CrossRef]
- Richman, M.B. Rotation of principal components. J. Climatol. 1986, 6, 293–335. [Google Scholar] [CrossRef]
- Torrence, C.G.; Compo, G.P. A Practical Guide to Wavelet Analysis. Bull. Am. Meteorol. Soc. 1998, 79, 61–78. [Google Scholar] [CrossRef]
- Wakabayashi, S.; Kawamura, R. Extraction of major teleconnection patterns possibly associated with the anoma- lous summer climate in Japan. J. Meteor. Soc. Jpn. 2004, 82, 1577–1588. [Google Scholar] [CrossRef]
- Huang, G. An index measuring the interannual variation of the East Asian summer monsoon—The EAP index. Adv. Atmos. Sci. 2004, 21, 41–52. [Google Scholar] [CrossRef]
- Ashok, K.; Behera, S.K.; Rao, S.A.; Weng, H.; Yamagata, T. El Nio Modoki and its possible teleconnection. J. Geophys. Res. Ocean. 2007, 112, C11007. [Google Scholar] [CrossRef]
- Gill, A.E. Some simple solutions for heat-induced tropical circulation. Quart. J. Roy. Meteor. Soc. 1980, 106, 447–462. [Google Scholar] [CrossRef]
- Liu, J.; Yuqin, D.A.; Tim, L.I.; Feng, H.U. Impact of ENSO on MJO Pattern Evolution over the Maritime Continent. J. Meteorol. Res. 2020, 34, 1151–1166. [Google Scholar] [CrossRef]
Disclaimer/Publisher’s Note: The statements, opinions and data contained in all publications are solely those of the individual author(s) and contributor(s) and not of MDPI and/or the editor(s). MDPI and/or the editor(s) disclaim responsibility for any injury to people or property resulting from any ideas, methods, instructions or products referred to in the content. |
© 2023 by the authors. Licensee MDPI, Basel, Switzerland. This article is an open access article distributed under the terms and conditions of the Creative Commons Attribution (CC BY) license (https://creativecommons.org/licenses/by/4.0/).








