Estimating Ground Heat Flux from Net Radiation
Abstract
:1. Introduction
2. Experiment
2.1. Residential Roof—Taiwan
2.2. Campus Grassland—National Taiwan University
2.3. Agricultural Grassland—Ireland
2.4. Peat Bog—Ireland
3. Method
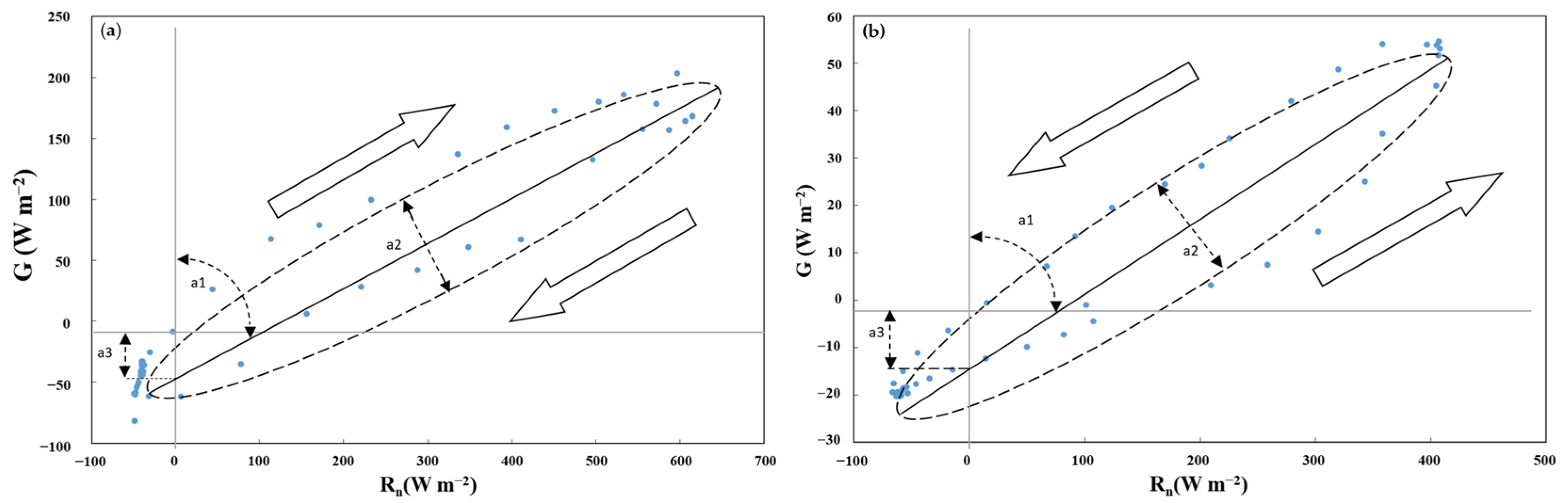
4. Results and Discussion
4.1. Diurnal Variations of Net Radiation and Ground Heat Flux
4.2. Temporal Variations of Coefficients in the Objective hysteresis Model
4.3. Comparisons between Linear Regression Model and OHM
5. Conclusions
- (1)
- Although the OHM coefficients (a1, a2, and a3) may change from month to month, taking the average of these coefficients still yields better ground heat flux estimates than the linear regression model.
- (2)
- If the hysteresis factor is greater than 0.11 h, then the OHM is recommended over the linear regression model (at least 17% reduction in the root mean square error). For the agricultural grassland site, the hysteresis effect is only 0.03 h; hence, the linear regression model performs as good as OHM.
- (3)
- The partition coefficient of net radiation into ground heat flux at the above mentioned subtropical grassland was found to be smaller in the summer and larger in the winter. This is attributed to the higher evapotranspiration in the summer than in the winter.
- (4)
- The hysteresis factor (a2) for the residential roof in Taichung, Taiwan was 0.26 h; this value is similar to Swindon, UK, but smaller than dense cities (e.g., London). For the campus grassland, a2 = 0.55; this value is high and the same as the short grass site in St. Louis, USA. For the peat bog, a2 = −0.11 h.
- (5)
- For the agricultural grassland, the hysteresis between net radiation and ground heat flux was small, only 0.03 h. This is similar to the short grass in Oklahoma, USA.
- (6)
- During the summer period, for a tropical grassland, ground heat flux could occupy 25% of the net radiation which is important in the surface energy balance budget. For a concrete residential roof, this partition is even up to 47%.
Author Contributions
Funding
Data Availability Statement
Acknowledgments
Conflicts of Interest
Appendix A
| Month | a1 | a2 (h) | a3 (W m−2) |
|---|---|---|---|
| 5 | 0.46 | 0.23 | −32.88 |
| 6 | 0.46 | 0.25 | −27.60 |
| 7 | 0.49 | 0.29 | −37.60 |
| Average | 0.47 (0.46) | 0.26 (0.25) | −32.69 (−31.71) |
| Standard deviation | 0.014 | 0.024 | 4.08 |
| Month | a1 | a2 (h) | a3 (W m−2) |
|---|---|---|---|
| 6 (year 2012) | 0.26 | 0.37 | −21.76 |
| 7 | 0.29 | 0.66 | −37.93 |
| 8 | 0.21 | 0.67 | −30.42 |
| 9 | 0.25 | 0.53 | −28.11 |
| 10 | 0.27 | 0.69 | −22.35 |
| 11 | 0.30 | 0.62 | −19.57 |
| 12 | 0.37 | 0.69 | −14.29 |
| 1 (year 2013) | 0.46 | 0.56 | −20.45 |
| 2 | 0.46 | 0.70 | −20.40 |
| 3 | 0.43 | 0.79 | −29.47 |
| 4 | 0.50 | 0.32 | −43.19 |
| 5 | 0.29 | 0.49 | −34.56 |
| 6 | 0.22 | 0.33 | −23.93 |
| 7 | 0.18 | 0.41 | −21.89 |
| 8 | 0.17 | 0.49 | −19.05 |
| Average | 0.31 (0.26) | 0.55 (0.55) | −25.82 (−24.67) |
| Standard deviation | 0.10 | 0.15 | 7.70 |
| Month | a1 | a2 (h) | a3 (W m−2) |
|---|---|---|---|
| 4 | 0.11 | 0.051 | −7.57 |
| 5 | 0.081 | 0.044 | −6.76 |
| 6 | 0.080 | 0.032 | −6.81 |
| 7 | 0.074 | 0.018 | −6.21 |
| 8 | 0.066 | 0.020 | −6.85 |
| 9 | 0.063 | 0.025 | −5.30 |
| Average | 0.079 (0.079) | 0.032 (0.035) | −6.58 (−6.67) |
| Standard deviation | 0.015 | 0.012 | 0.70 |
| Month | a1 | a2 (h) | a3 (W m−2) |
|---|---|---|---|
| 2 | 0.18 | −0.23 | −4.61 |
| 3 | 0.14 | −0.082 | −6.25 |
| 4 | 0.12 | −0.17 | −4.60 |
| 5 | 0.13 | −0.066 | −12.14 |
| 6 | 0.15 | −0.067 | −11.43 |
| 7 | 0.14 | −0.063 | −11.55 |
| 8 | 0.12 | −0.057 | −9.22 |
| 9 | 0.16 | −0.080 | −0.79 |
| 10 | 0.20 | −0.14 | −5.80 |
| 11 | 0.19 | −0.17 | 0.11 |
| Average | 0.15 (0.13) | −0.11 (−0.077) | −6.63 (−8.25) |
| Standard deviation | 0.029 | 0.057 | 4.16 |
| Site | a1 | a2 (h) | a3 (W m−2) |
|---|---|---|---|
| Residential roof | 0.47 | 0.26 | −32.69 |
| Campus grassland | 0.25 | 0.45 | −28.01 |
| Agricultural grassland | 0.078 | 0.031 | −6.59 |
| Peat bog | 0.14 | −0.065 | −11.7 |
References
- Deardorff, J. Efficient prediction of ground surface temperature and moisture, with inclusion of a layer of vegetation. J. Geophys. Res. 1978, 83, 1889–1903. [Google Scholar] [CrossRef]
- Allen, R.G.; Pereira, L.S.; Raes, D.; Smith, M. Crop Evapotranspiration-Guidelines for Computing Crop Water Requirements; FAO Irrigation and Drainage Paper 56; FAO: Rome, Italy, 1998; ISBN 92-5-104219-5. [Google Scholar]
- EWRI. The ASCE Standardized Reference Evapotranspiration Equation. Environmental and Water Resource Institute of the American Society of Civil Engineers. 2001. Available online: http://www.kimberly.uidaho.edu/water/asceewri/ (accessed on 29 March 2004).
- Doll, D.; Ching, J.K.S.; Kaneshiro, J. Parameterization of subsurface heating for soil and concrete using net radiation data. Bound.-Layer Meteorol. 1985, 32, 351–372. [Google Scholar] [CrossRef]
- Loridan, T.; Grimmond, C.S.B.; Offerle, B.D.; Young, D.T.; Smith, T.E.; Järvi, L.; Lindberg, F. Local-scale urban meteorological parameterization scheme (LUMPS): Longwave radiation parameterization and seasonality-related developments. J. Appl. Meteorol. Climatol. 2011, 50, 185–202. [Google Scholar] [CrossRef]
- Wang, J.; Bras, R.L. Ground heat flux estimated from surface soil temperature. J. Hydrol. 1999, 216, 214–226. [Google Scholar] [CrossRef]
- Hsieh, C.I.; Huang, C.W.; Kiely, G. Long-term estimation of soil heat flux by single layer soil temperature. Int. J. Biometeorol. 2009, 53, 113–123. [Google Scholar] [CrossRef]
- Liu, Y.; Hiyama, T.; Yasunari, T.; Tanaka, H. A nonparametric approach to estimating terrestrial evaporation: Validation in eddy covariance sites. Agric. For. Meteorol. 2012, 157, 49–59. [Google Scholar] [CrossRef]
- Hsieh, C.I.; Chiu, C.J.; Huang, I.H.; Kiely, G. Estimation of Latent Heat Flux Using a Non-Parametric Method. Water 2022, 14, 3474. [Google Scholar] [CrossRef]
- Camuffo, D.; Bernadi, A. An observational study of heat fluxes and their relationship with net radiation. Bound.-Layer Meteorol. 1982, 23, 359–368. [Google Scholar] [CrossRef]
- Sun, T.; Wang, Z.H.; Ni, G.H. Revisiting the hysteresis effect in surface energy budgets. Geophys. Res. Lett. 2013, 40, 1741–1747. [Google Scholar] [CrossRef]
- Anandakumar, K. A study on the partition of net radiation into heat fluxes on a dry asphalt surface. Atmos. Environ. 1999, 33, 3911–3918. [Google Scholar] [CrossRef]
- Panagiotakis, E.; Kolokotsa, D.; Chrysoulakis, N. Evaluation of nature-based solutions implementation scenarios, using urban surface modelling. Green Energy Sustain. 2021, 1, 0003. [Google Scholar] [CrossRef]
- Dou, J.; Grimmond, S.; Miao, S.; Huang, B.; Lei, H.; Liao, M. Surface energy balance fluxes in a suburban area of Beijing: Energy partitioning variability. Atmos. Chem. Phys. 2023, 23, 13143–13166. [Google Scholar] [CrossRef]
- Cui, W.; Chui, T.F.M. Measurements and simulations of energy fluxes over a high-rise and compact urban area in Hong Kong. Sci. Total Environ. 2021, 765, 142718. [Google Scholar] [CrossRef] [PubMed]
- Roberts, S.M.; Oke, T.R.; Grimmond, C.S.B.; Voogt, J.A. Comparison of four methods to estimate urban heat storage. J. Appl. Meteorol. Climatol. 2006, 45, 1766–1781. [Google Scholar] [CrossRef]
- Ferreira, M.J.; de Oliveira, A.P.; Soares, J. Diurnal variation in stored energy flux in São Paulo city, Brazil. Urban Clim. 2013, 5, 36–51. [Google Scholar] [CrossRef]
- Sun, T.; Wang, Z.H.; Oechel, W.C.; Grimmond, S. The Analytical Objective Hysteresis Model (AnOHM v1. 0): Methodology to determine bulk storage heat flux coefficients. Geosci. Model Dev. 2017, 10, 2875–2890. [Google Scholar] [CrossRef]
- Crawford, B.; Krayenhoff, E.S.; Cordy, P. The urban energy balance of a lightweight low-rise neighborhood in Andacollo, Chile. Theor. Appl. Climatol. 2018, 131, 55–68. [Google Scholar] [CrossRef]
- Hrisko, J.; Ramamurthy, P.; Gonzalez, J.E. Estimating heat storage in urban areas using multispectral satellite data and machine learning. Remote Sens. Environ. 2021, 252, 112125. [Google Scholar] [CrossRef]
- Meyn, S.K.; Oke, T.R. Heat fluxes through roofs and their relevance to estimates of urban heat storage. Energy Build. 2009, 4, 745–752. [Google Scholar] [CrossRef]
- Grimmond, C.S.B.; Oke, T.R. Heat storage in urban areas: Local-scale observations and evaluation of a simple model. J. Appl. Meteorol. Climatol. 1999, 38, 922–940. [Google Scholar] [CrossRef]
- Alves, M.; Soares, J. Diurnal variation of soil heat flux at an Antarctic local area during warmer months. Appl. Environ. Soil Sci. 2016, 2016, 1769203. [Google Scholar] [CrossRef]
- Marciotto, E.R. Variability of energy fluxes in relation to the net-radiation of urban and suburban areas: A case study. Meteorol. Atmos. Phys. 2013, 121, 17–28. [Google Scholar] [CrossRef]
- Velasco, E.; Pressley, S.; Grivicke, R.; Allwine, E.; Molina, L.T.; Lamb, B. Energy balance in urban Mexico City: Observation and parameterization during the MILAGRO/MCMA-2006 field campaign. Theor. Appl. Climatol. 2011, 103, 501–517. [Google Scholar] [CrossRef]
- Callejas, I.J.A.; Biudes, M.S.; Machado, N.G.; Durante, L.C.; de Almeida Lobo, F. Patterns of energy exchange for tropical urban and rural ecosystems located in Brazil central. J. Urban Environ. Eng. 2019, 13, 69–79. [Google Scholar] [CrossRef]
- Loupa, G.; Rapsomanikis, S.; Trepekli, A.; Kourtidis, K. Energy flux parametrization as an opportunity to get Urban Heat Island insights: The case of Athens, Greece (Thermopolis 2009 Campaign). Sci. Total Environ. 2016, 542, 136–143. [Google Scholar] [CrossRef]
- Ward, H.C.; Kotthaus, S.; Järvi, L.; Grimmond, C.S.B. Surface Urban Energy and Water Balance Scheme (SUEWS): Development and evaluation at two UK sites. Urban Clim. 2016, 18, 1–32. [Google Scholar] [CrossRef]
- Ando, T.; Ueyama, M. Surface energy exchange in a dense urban built-up area based on two-year eddy covariance measurements in Sakai, Japan. Urban Clim. 2017, 19, 155–169. [Google Scholar] [CrossRef]
- Soucha, C.; Wolfe, C.P.; Grimmtind, C.S.B. Wetland Evaporation and Energy Partitioning: Indiana Dunes National Lakeshore. J. Hydrol. 1996, 184, 189–208. [Google Scholar] [CrossRef]
- Hsieh, C.I.; Lai, M.C.; Hsia, Y.J.; Chang, T.J. Estimation of sensible heat, water vapor, and CO2 fluxes, using the flux-variance method. Int. J. Biometeorol. 2008, 52, 521–533. [Google Scholar] [CrossRef]
- Braud, I.; Noilhan, J.; Bessemoulin, P.; Mascart, P.; Haverkamp, R.; Vauclin, M. Bare-ground surface heat and water exchanges under dry conditions: Observations and parameterization. Bound.-Layer Meteorol. 1993, 66, 173–200. [Google Scholar] [CrossRef]
- Campbell, G.S.; Norman, J.M. An Introduction to Environmental Biophysics; Springer Science & Business Media: Berlin, Germany, 2000. [Google Scholar]
- Jaksic, V.; Kiely, G.; Albertson, J.; Oren, R.; Katul, G.; Leahy, P.; Byrne, K. Net ecosystem exchange of grassland in contrasting wet and dry years. Agric. For. Meteorol. 2006, 139, 323–334. [Google Scholar] [CrossRef]
- Lawton, D.; Leahy, P.; Kiely, G.; Byrne, K.A.; Calanca, P. Modeling of net ecosystem exchange and its components for a humid grassland ecosystem. J. Geophys. Res. Biogeosci. 2006, 111, G04013. [Google Scholar] [CrossRef]
- Byrne, K.A.; Kiely, G.; Leahy, P. CO2 fluxes in adjacent new and permanent temperate grasslands. Agric. For. Meteorol. 2005, 135, 82–92. [Google Scholar] [CrossRef]
- Peichl, M.; Leahy, P.; Kiely, G. Six-year stable annual uptake of carbon dioxide in intensively managed humid temperate grassland. Ecosystems 2011, 14, 112–126. [Google Scholar] [CrossRef]
- Lewis, C.; Albertson, J.; Xu, X.; Kiely, G. Spatial variability of hydraulic conductivity and bulk density along a blanket peatland hillslope. Hydrol. Process. 2012, 26, 1527–1537. [Google Scholar] [CrossRef]
- Sottocornola, M.; Laine, A.; Kiely, G.; Byrne, K.A.; Tuittila, E.S. Vegetation and environmental variation in an Atlantic blanket bog in South-Western Ireland. Plant Ecol. 2009, 203, 69–81. [Google Scholar] [CrossRef]
- Sottocornola, M.; Kiely, G. Hydro-meteorological controls on the CO2 exchange variation in an Irish blanket bog. Agric. For. Meteorol. 2010, 150, 287–297. [Google Scholar] [CrossRef]
- McVeigh, P.; Sottocornola, M.; Foley, N.; Leahy, P.; Kiely, G. Meteorological and functional response partitioning to explain interannual variability of CO2 exchange at an Irish Atlantic blanket bog. Agric. For. Meteorol. 2014, 194, 8–19. [Google Scholar] [CrossRef]








| Surface Type | a1 | a2 (h) | a3 (W/m2) | Reference Source |
|---|---|---|---|---|
| Bare and snow-covered soil (Antarctic area) | 0.13 | −0.07 | 8.3 | Alves and Soares [23] |
| Long grass field, Oklahoma | 0.20 | 0.13 | −23.4 | Marciotto [24] |
| Short grass, Oklahoma | 0.16 | 0.04 | −11.1 | Marciotto [24] |
| Grass field small, Oklahoma | 0.221 | 0.294 | 10.1 | Marciotto [24] |
| Short grass, St. Louis | 0.32 | 0.54 | −27.4 | Doll et al. [4] |
| Wheat in winter | 0.07 | −0.29 | −11.8 | Dou et al. [14] |
| Wheat in summer | 0.23 | −0.07 | −17.2 | Dou et al. [14] |
| Lakeshore wetland, Indiana, USA | 0.537 | 0.215 | −30.4 | Souch et al. [30] |
| Campus grassland, Taiwan | 0.31 | 0.55 | −25.82 | This study |
| Agricultural grassland, Ireland | 0.08 | 0.03 | −6.58 | This study |
| Peat bog, Ireland | 0.15 | −0.11 | −6.63 | This study |
| Building roof, Mexico city | 0.67 | 0.45 | −52 | Velasco et al. [25] |
| Cuiaba, Brazil (concrete) | 0.21 | −0.43 | −13.9 | Callejas et al. [26] |
| Athens, Greece | 0.69 | 0.26 | −57.54 | Loupa et al. [27] |
| London, UK | 0.553 | 0.303 | −37.6 | Ward et al. [28] |
| Swindon (residential rural), UK | 0.417 | 0.319 | −30.5 | Ward et al. [28] |
| Sakai, Osaka, Japan | 0.71 | 0.13 | −51 | Ando and Ueyama [29] |
| Residential roof (concrete),Taiwan | 0.47 | 0.26 | −32.69 | This study |
| Experimental Site | Residential Roof | Campus Grassland | Agricultural Grassland | Peat Bog |
|---|---|---|---|---|
| Data period | May–September 2007 | June 2012–August 2013 | April–September 2013 | February–November 2013 |
| Altitude (m) | 12 | 22 | 195 | 150 |
| Latitude and Longitude | 24°16′30″ N 120°34′22″ E | 25°01′ N, 121°53′ E | 51°59′ N, 8°45′ W | 51°55′ N, 9°55′ W |
| Climate | Subtropical | Subtropical | Temperate | Temperate |
| Annual rainfall (mm) | 1773 | 2405 | 1161 | 1800 |
| Mean temperature (°C) | 22 | 23.9 | 9 | 10 |
| Canopy height (cm) | -- | 5–45 | 10–45 | 5–30 |
| Measurement height (m) | ||||
| Eddy-covariance | 13.62 | 1.25 | 5 | 3 |
| Soil heat flux plate | -- | −0.08 | −0.1 | −0.1 |
| Soil thermometer | -- | −0.02, −0.06 | −0.015, −0.05, −0.075 | −0.1 |
| Site | Model | Slope * | Intercept | R2 | RMSE (W m−2) |
|---|---|---|---|---|---|
| Residential roof | Glinear | 0.89 (0.89) | 5.23 (5.27) | 0.89 (0.89) | 41.45 (41.61) |
| GOHM | 0.92 (0.92) | 3.62 (3.66) | 0.92 (0.92) | 34.48 (34.79) | |
| Campus grassland | Glinear | 0.39 (0.35) | 2.48 (2.65) | 0.39 (0.35) | 70.18 (72.55) |
| GOHM | 0.72 (0.65) | 1.16 (1.42) | 0.72 (0.65) | 48.07 (53.07) | |
| Agricultural grassland | Glinear | 0.85 (0.76) | 0.58 (0.62) | 0.82 (0.76) | 6.13 (7.05) |
| GOHM | 0.83 (0.76) | 0.45 (0.62) | 0.83 (0.77) | 5.96 (7.04) | |
| Peat bog | Glinear | 0.81 (0.78) | 0.80 (0.89) | 0.81 (0.78) | 13.28 (14.01) |
| GOHM | 0.87 (0.84) | 0.52 (0.66) | 0.87 (0.84) | 10.68 (12.05) |
Disclaimer/Publisher’s Note: The statements, opinions and data contained in all publications are solely those of the individual author(s) and contributor(s) and not of MDPI and/or the editor(s). MDPI and/or the editor(s) disclaim responsibility for any injury to people or property resulting from any ideas, methods, instructions or products referred to in the content. |
© 2023 by the authors. Licensee MDPI, Basel, Switzerland. This article is an open access article distributed under the terms and conditions of the Creative Commons Attribution (CC BY) license (https://creativecommons.org/licenses/by/4.0/).
Share and Cite
Hsieh, C.-I.; Chiu, C.-J.; Huang, I.-H.; Visessri, S. Estimating Ground Heat Flux from Net Radiation. Atmosphere 2023, 14, 1778. https://doi.org/10.3390/atmos14121778
Hsieh C-I, Chiu C-J, Huang I-H, Visessri S. Estimating Ground Heat Flux from Net Radiation. Atmosphere. 2023; 14(12):1778. https://doi.org/10.3390/atmos14121778
Chicago/Turabian StyleHsieh, Cheng-I, Cheng-Jiun Chiu, I-Hang Huang, and Supattra Visessri. 2023. "Estimating Ground Heat Flux from Net Radiation" Atmosphere 14, no. 12: 1778. https://doi.org/10.3390/atmos14121778
APA StyleHsieh, C.-I., Chiu, C.-J., Huang, I.-H., & Visessri, S. (2023). Estimating Ground Heat Flux from Net Radiation. Atmosphere, 14(12), 1778. https://doi.org/10.3390/atmos14121778

