Examining the Direct and Indirect Effects of Climatic Variables on Plague Dynamics
Abstract
1. Introduction
2. Materials and Methods
2.1. Plague Data
2.2. Climate Data
2.3. Economic Data
2.4. Structural Equation Modeling
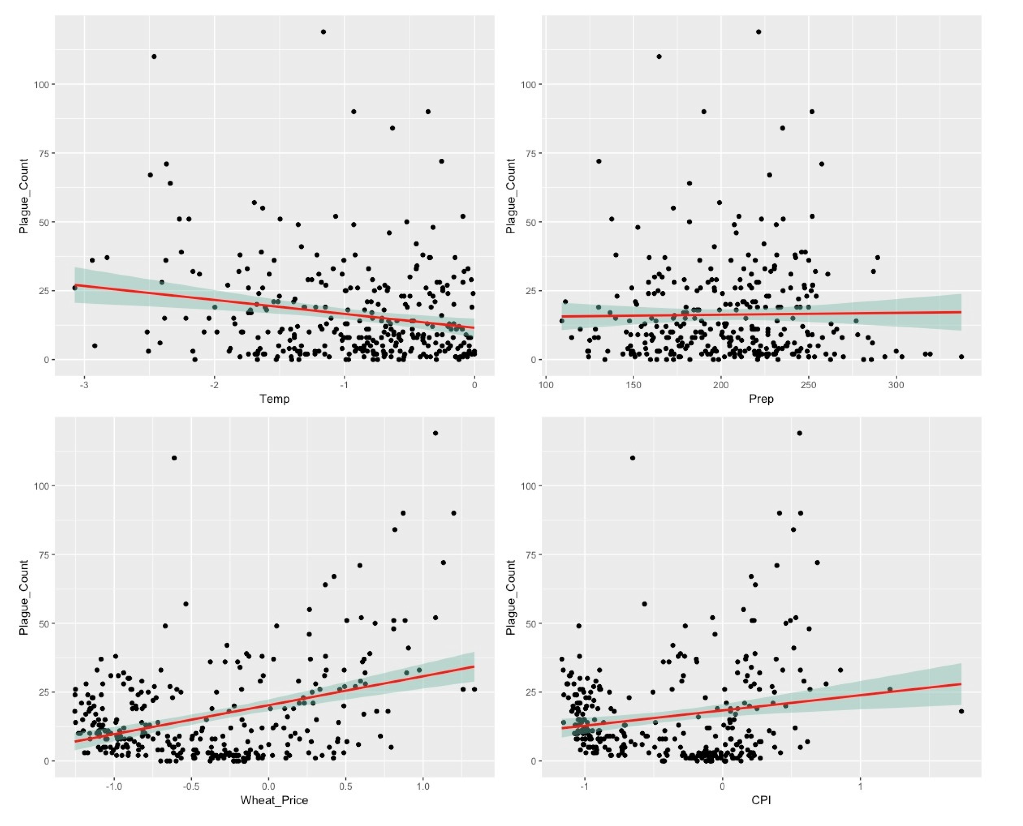
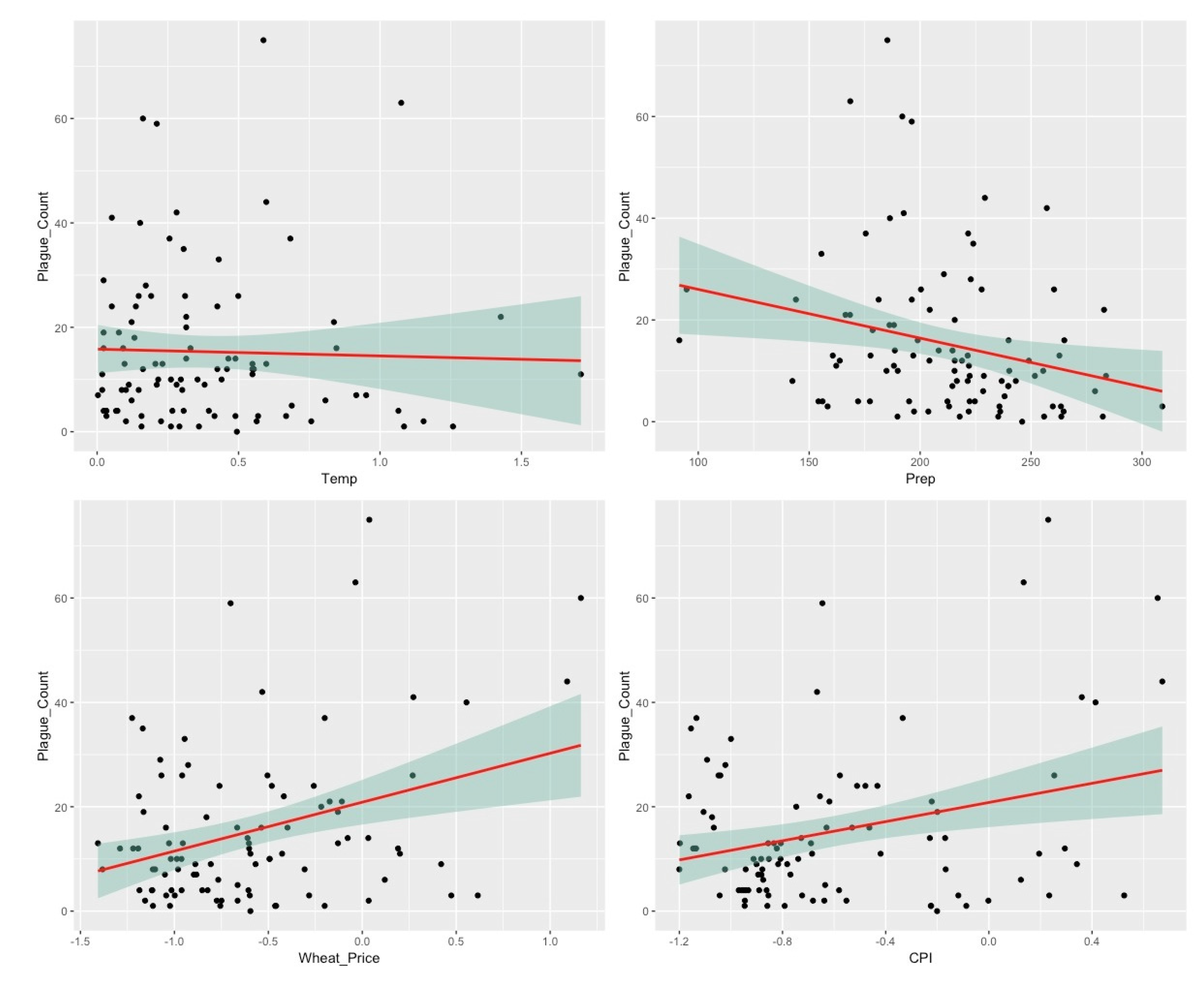
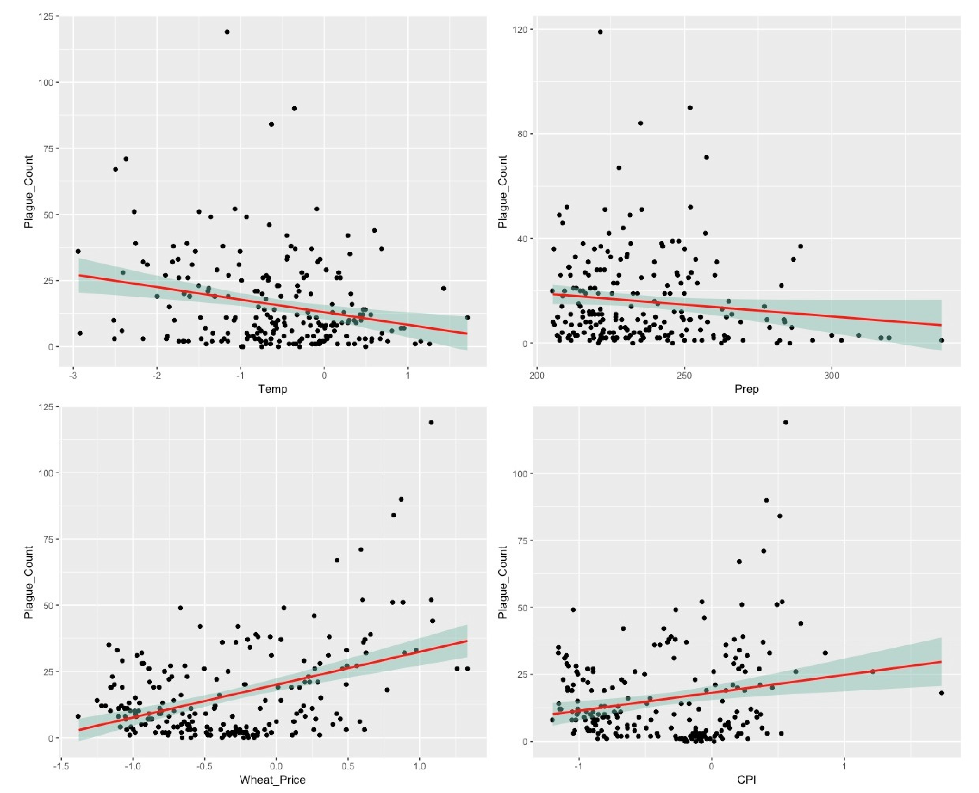
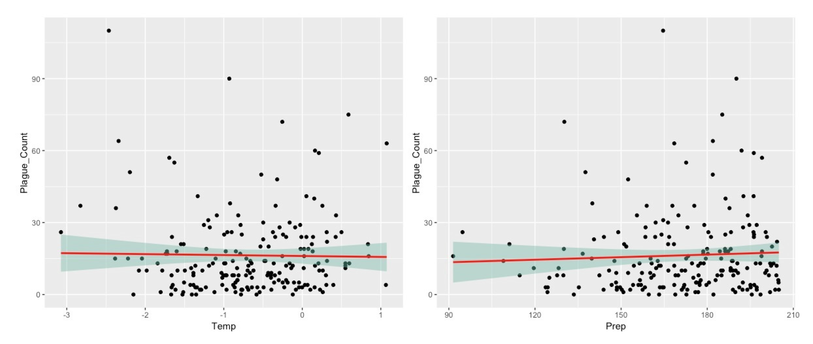
2.5. Linear Regressions
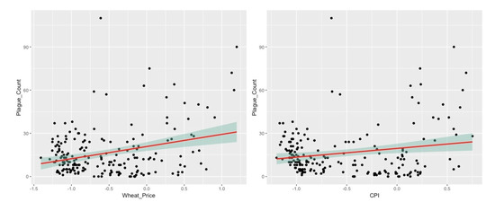
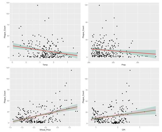
3. Results
3.1. Direct and Indirect Climatic Effect on Plague Outbreak
3.2. Long-Term Trends of Climate, Economic Changes, and Plague Outbreak
4. Discussion
4.1. Direct and Indirect Paths Embedded in the Climate-Plague Nexus
4.2. Long-Term Trends of the Climate-Plague Nexus
5. Conclusions
Author Contributions
Funding
Conflicts of Interest
Appendix
| Variable A | Variable B | Coef | F | R2 |
|---|---|---|---|---|
| Temperature anomaly | Plague outbreak | −0.007 *** | 8.24 | 0.0196 |
| Precipitation | Plagueoutbreak | −0.090 | 0.60 | 0.0014 |
| Wheat price | Plague outbreak | 0.0126 *** | 60.57 | 0.1282 |
| CPI | Plague outbreak | 0.0062 *** | 16.20 | 0.0378 |
| Temperature anomaly | Wheat price | −0.319 *** | 23.81 | 0.0546 |
| Precipitation | Wheat price | 10.519 *** | 10.29 | 0.0244 |
| Wheat price | CPI | 1.029 *** | 2597.16 | 0.8631 |
| Variable A | Variable B | Coef | F | R2 |
|---|---|---|---|---|
| Temperature anomaly | Plague outbreak | −0.007 *** | 11.73 | 0.0357 |
| Precipitation | Plague outbreak | −0.090 | 0.08 | 0.0002 |
| Wheat price | Plague outbreak | 0.0125 *** | 48.11 | 0.1318 |
| CPI | Plague outbreak | 0.0054*** | 9.70 | 0.0297 |
| Temperature anomaly | Wheat price | −0.229 *** | 14.90 | 0.0449 |
| Precipitation | Wheat price | 13.655*** | 13.84 | 0.0418 |
| Wheat | CPI | 1.025 *** | 1875.74 | 0.8554 |
| Variable A | Variable B | Coef | F | R2 |
|---|---|---|---|---|
| Temperature anomaly | Plague outbreak | −0.0007 | 0.08 | 0.0009 |
| Precipitation | Plague outbreak | 2.503 | 0.11 | 0.0012 |
| Wheat price | Plague outbreak | 0.0122 *** | 12.04 | 0.1146 |
| CPI | Plague outbreak | 0.0093 *** | 8.66 | 0.0852 |
| Temperature anomaly | Wheat price | 0.020 | 0.09 | 0.0010 |
| Precipitation | Wheat price | 2.503 | 0.11 | 0.0012 |
| Wheat price | CPI | 1.065 *** | 691.12 | 0.8814 |
| Variable A | Variable B | Coef | F | R2 |
|---|---|---|---|---|
| Temperature anomaly | Plague outbreak | −0.0119 *** | 12.9 | 0.0566 |
| Precipitation | Plague outbreak | 0.088 | 0.00 | 0.0000 |
| Wheat price | Plague outbreak | 0.0147 *** | 47.82 | 0.1819 |
| CPI | Plague outbreak | 0.0064 *** | 8.66 | 0.0852 |
| Temperature anomaly | Wheat price | −0.524 *** | 32.18 | 0.1302 |
| Precipitation | Wheat price | 0.879 | 0.00 | 0.0000 |
| Wheat | CPI | 1.020 *** | 1166.35 | 0.8444 |
| Variable A | Variable B | Coef | F | R2 |
|---|---|---|---|---|
| Temperature anomaly | Plague outbreak | −0.001 | 0.06 | 0.0566 |
| Precipitation | Plague outbreak | 3.679 | 1.73 | 0.0088 |
| Wheat price | Plague outbreak | 0.0104 *** | 18.86 | 0.0882 |
| CPI | Plague outbreak | 0.0061 ** | 7.46 | 0.0369 |
| Temperature anomaly | Wheat price | −0.142 | 2.38 | 0.0120 |
| Precipitation | Wheat price | 3.68 | 1.73 | 0.0088 |
| Wheat | CPI | 1.038 *** | 1377.92 | 0.8760 |
References
- Schmid, B.V.; Büntgen, U.; Easterday, W.R.; Ginzler, C.; Walløe, L.; Bramanti, B.; Stenseth, N.C. Climate-driven introduction of the Black Death and successive plague reintroductions into Europe. Proc. Natl. Acad. Sci. USA 2015, 112, 3020–3025. [Google Scholar] [CrossRef] [PubMed]
- Yue, R.P.; Lee, H.F. Pre-industrial plague transmission is mediated by the synergistic effect of temperature and aridity index. BMC Infect. Dis. 2018, 18, 134. [Google Scholar] [CrossRef] [PubMed]
- Stenseth, N.C.; Samia, N.I.; Viljugrein, H.; Kausrud, K.L.; Begon, M.; Davis, S.; Leirs, H.; Dubyanskiy, V.; Esper, J.; Ageyev, V.S. Plague dynamics are driven by climate variation. Proc. Natl. Acad. Sci. USA 2006, 103, 13110–13115. [Google Scholar] [CrossRef] [PubMed]
- Xu, L.; Liu, Q.; Stige, L.C.; Ari, T.B.; Fang, X.; Chan, K.S.; Wang, S.; Stenseth, N.C.; Zhang, Z. Nonlinear effect of climate on plague during the third pandemic in China. Proc. Natl. Acad. Sci. USA 2011, 108, 10214–10219. [Google Scholar] [CrossRef]
- Xu, L.; Stige, L.C.; Kausrud, K.L.; Ben Ari, T.; Wang, S.; Fang, X.; Schmid, B.V.; Liu, Q.; Stenseth, N.C.; Zhang, Z. Wet climate and transportation routes accelerate spread of human plague. Proc. R. Soc. B Biol. Sci. 2014, 281, 20133159. [Google Scholar] [CrossRef]
- Stapp, P.; Antolin, M.F.; Ball, M. Patterns of extinction in prairie dog metapopulations: Plague outbreaks follow El Ninì events. Front. Ecol. Environ. 2004, 2, 235–240. [Google Scholar]
- Kreppel, K.S.; Caminade, C.; Telfer, S.; Rajerison, M.; Rahalison, L.; Morse, A.; Baylis, M. A non-stationary relationship between global climate phenomena and human plague incidence in Madagascar. PLoS Negl. Trop. Dis. 2014, 8, e3155. [Google Scholar] [CrossRef]
- Ben Ari, T.; Gershunov, A.; Gage, K.L.; Snäll, T.; Ettestad, P.; Kausrud, K.L.; Stenseth, N.C. Human plague in the USA: The importance of regional and local climate. Biol. Lett. 2008, 4, 737–740. [Google Scholar] [CrossRef]
- Zhang, Z.; Li, Z.; Tao, Y.; Chen, M.; Wen, X.; Xu, L.; Tian, H.; Stenseth, N.C. Relationship between increase rate of human plague in China and global climate index as revealed by crosss-pectral and cross-wavelet analyses. Integr. Zool. 2007, 2, 144–153. [Google Scholar] [CrossRef]
- Zhang, D.D.; Brecke, P.; Lee, H.F.; He, Y.Q.; Zhang, J. Global climate change, war, and population decline in recent human history. Proc. Natl. Acad. Sci. USA 2007, 104, 19214–19219. [Google Scholar] [CrossRef]
- Zhang, D.D.; Lee, H.F.; Wang, C.; Li, B.; Zhang, J.; Pei, Q.; Chen, J. Climate change and large-scale human population collapses in the pre-industrial era. Glob. Ecol. Biogeogr. 2011, 20, 520–531. [Google Scholar] [CrossRef]
- Zhang, D.D.; Lee, H.F.; Wang, C.; Li, B.; Pei, Q.; Zhang, J.; An, Y. The causality analysis of climate change and large-scale human crisis. Proc. Natl. Acad. Sci. USA 2011, 108, 17296–17301. [Google Scholar] [CrossRef] [PubMed]
- Lee, H.F.; Zhang, D.D. A tale of two population crises in recent Chinese history. Clim. Chang. 2013, 116, 285–308. [Google Scholar] [CrossRef]
- Tian, H.; Yan, C.; Xu, L.; Büntgen, U.; Stenseth, N.C.; Zhang, Z. Scale-dependent climatic drivers of human epidemics in ancient China. Proc. Natl. Acad. Sci. USA 2017, 114, 12970–12975. [Google Scholar] [CrossRef] [PubMed]
- Duncan, C.; Scott, S. The key role of nutrition in controlling human population dynamics. Nutr. Res. Rev. 2004, 17, 163–175. [Google Scholar] [CrossRef]
- Pei, Q.; Zhang, D.D.; Li, G.; Lee, H.F. Climate change and the macroeconomic structure in pre-industrial Europe: New evidence from wavelet analysis. PLoS ONE 2015, 10, e0126480. [Google Scholar] [CrossRef]
- Būntgen, U.; Ginzler, C.; Esper, J.; Tegel, W.; McMichael, A.J. Digitizing historical plague. Clin. Infect. Dis. 2012, 55, 1586–1588. [Google Scholar] [CrossRef]
- Lee, H.F.; Zhang, D.D.; Pei, Q.; Jia, X.; Yue, R.P.H. Demographic impact of climate change on northwestern China in the late imperial era. Quat. Int. 2016, 425, 237–247. [Google Scholar] [CrossRef]
- Lee, H.F. Internal wars in history: Triggered by natural disasters or socio-ecological catastrophes? Holocene 2018, 28, 1071–1081. [Google Scholar] [CrossRef]
- Büntgen, U.; Tegel, W.; Nicolussi, K.; McCormick, M.; Frank, D.; Trouet, V.; Kaplan, J.O.; Herzig, F.; Heussner, K.-U.; Wanner, H. 2500 years of European climate variability and human susceptibility. Science 2011, 331, 578–582. [Google Scholar] [CrossRef]
- Yue, R.P.H.; Lee, H.F. Climate change and plague in European history. Sci. China Earth Sci. 2018, 61, 163–177. [Google Scholar] [CrossRef]
- Cook, E.R.; Seager, R.; Kushnir, Y.; Briffa, K.R.; Büntgen, U.; Frank, D.; Krusic, P.J.; Tegel, W.; van der Schrier, G.; Andreu-Hayles, L. Old World megadroughts and pluvials during the Common Era. Sci. Adv. 2015, 1, e1500561. [Google Scholar] [CrossRef] [PubMed]
- Allen, R. Allen-Unger Database: European Commodity Prices 1260–1914. 2007. Available online: http://www2.history.ubc.ca/unger/htmfiles/newgrain.htm (accessed on 20 February 2020).
- Shipley, B. Cause and Correlation in Biology: A User’s Guide to Path Analysis, Structural Equations and Causal Inference with R; Cambridge University Press: Cambridge, UK, 2016. [Google Scholar]
- Grace, J.B.; Schoolmaster, D.R., Jr.; Guntenspergen, G.R.; Little, A.M.; Mitchell, B.R.; Miller, K.M.; Schweiger, E.W. Guidelines for a graph-theoretic implementation of structural equation modeling. Ecosphere 2012, 3, 1–44. [Google Scholar] [CrossRef]
- Jansson, R. Global patterns in endemism explained by past climatic change. Proc. R. Soc. Lond. Ser. B Biol. Sci. 2003, 270, 583–590. [Google Scholar] [CrossRef]
- Rohlf, F.J.; Sokal, R.R. Biometry: The Principles and Practice of Statistics in Biological Research; Freeman: New York, NY, USA, 1981. [Google Scholar]
- Stenseth, N.C.; Atshabar, B.B.; Begon, M.; Belmain, S.R.; Bertherat, E.; Carniel, E.; Gage, K.L.; Leirs, H.; Rahalison, L. Plague: Past, present, and future. PLoS Med. 2008, 5, e3. [Google Scholar] [CrossRef]
- Colwell, R.R.; Patz, J.A. Climate, Infectious Disease, and Health. In An Interdisciplinary Perspective; American Academy of Microbiology: Washington, DC, USA, 1998. [Google Scholar]
- Gubler, D.J.; Reiter, P.; Ebi, K.L.; Yap, W.; Nasci, R.; Patz, J.A. Climate variability and change in the United States: Potential impacts on vector-and rodent-borne diseases. Environ. Health Perspect. 2001, 109, 223–233. [Google Scholar]
- WHO. Using Climate to Predict Infectious Disease Epidemics; World Health Organization: Geneva, Switzerland, 2005. [Google Scholar]
- Enscore, R.E.; Biggerstaff, B.J.; Brown, T.L.; Fulgham, R.E.; Reynolds, P.J.; Engelthaler, D.M.; Levy, C.E.; Parmenter, R.R.; Montenieri, J.A.; Cheek, J.E. Modeling relationships between climate and the frequency of human plague cases in the southwestern United States, 1960–1997. Am. J. Trop. Med. Hyg. 2002, 66, 186–196. [Google Scholar] [CrossRef][Green Version]
- Ari, T.B.; Gershunov, A.; Tristan, R.; Cazelles, B.; Gage, K.; Stenseth, N.C. Interannual variability of human plague occurrence in the Western United States explained by tropical and North Pacific Ocean climate variability. Am. J. Trop. Med. Hyg. 2010, 83, 624–632. [Google Scholar] [CrossRef]
- Cavanaugh, D.C. Specific effect of temperature upon transmission of the plague bacillus by the oriental rat flea, Xenopsylla cheopis. Am. J. Trop. Med. Hyg. 1971, 20, 264–273. [Google Scholar] [CrossRef]
- Krasnov, B.; Khokhlova, I.; Fielden, L.; Burdelova, N. Development rates of two Xenopsylla flea species in relation to air temperature and humidity. Med. Vet. Entomol. 2001, 15, 249–258. [Google Scholar] [CrossRef]
- Parmenter, R.R.; Yadav, E.P.; Parmenter, C.A.; Ettestad, P.; Gage, K.L. Incidence of plague associated with increased winter-spring precipitation in New Mexico. Am. J. Trop. Med. Hyg. 1999, 61, 814–821. [Google Scholar] [CrossRef] [PubMed]
- Moore, S.M.; Monaghan, A.; Griffith, K.S.; Apangu, T.; Mead, P.S.; Eisen, R.J. Improvement of disease prediction and modeling through the use of meteorological ensembles: Human plague in Uganda. PLoS ONE 2012, 7, e44431. [Google Scholar] [CrossRef]
- Pham, H.V.; Dang, D.T.; Tran Minh, N.N.; Nguyen, N.D.; Nguyen, T.V. Correlates of environmental factors and human plague: An ecological study in Vietnam. Int. J. Epidemiol. 2009, 38, 1634–1641. [Google Scholar] [CrossRef] [PubMed]
- Pei, Q.; Zhang, D.D.; Lee, H.F.; Li, G. Climate change and macro-economic cycles in pre-industrial Europe. PLoS ONE 2014, 9, e88155. [Google Scholar] [CrossRef]
- Pei, Q.; Zhang, D.D.; Li, G.; Winterhalder, B.; Lee, H.F. Epidemics in Ming and Qing China: Impacts of changes of climate and economic well-being. Soc. Sci. Med. 2015, 136, 73–80. [Google Scholar] [CrossRef]
- Pei, Q.; Zhang, D.D.; Li, G.; Forêt, P.; Lee, H.F. Temperature and precipitation effects on agrarian economy in late imperial China. Environ. Res. Lett. 2016, 11, 064008. [Google Scholar] [CrossRef]
- Keusch, G.T. The history of nutrition: Malnutrition, infection and immunity. J. Nutr. 2003, 133, 336S–340S. [Google Scholar] [CrossRef]
- Yue, R.P.; Lee, H.F.; Wu, C.Y. Trade routes and plague transmission in pre-industrial Europe. Sci. Rep. 2017, 7, 1–10. [Google Scholar] [CrossRef]
- Yue, R.P.; Lee, H.F. Drought-induced spatio-temporal synchrony of plague outbreak in Europe. Sci. Total Environ. 2020, 698, 134138. [Google Scholar] [CrossRef]
- Ben-Ari, T.; Neerinckx, S.; Gage, K.L.; Kreppel, K.; Laudisoit, A.; Leirs, H.; Stenseth, N.C. Plague and climate: Scales matter. PLoS Pathog. 2011, 7, e1002160. [Google Scholar] [CrossRef]
- Roosen, J.; Curtis, D.R. Dangers of noncritical use of historical plague data. Emerg. Infect. Dis. 2018, 24, 103. [Google Scholar] [CrossRef]
- Roosen, J.; Curtis, D.R. The ‘light touch’of the Black Death in the Southern Netherlands: An urban trick? Econ. Hist. Rev. 2019, 72, 32–56. [Google Scholar] [CrossRef] [PubMed]
- Van Bavel, B.J.; Curtis, D.R.; Hannaford, M.J.; Moatsos, M.; Roosen, J.; Soens, T. Climate and society in long-term perspective: Opportunities and pitfalls in the use of historical datasets. Wiley Interdiscip. Rev. Clim. Chang. 2019, 10, e611. [Google Scholar]
- Curtis, D.R. Coping with Crisis: The Resilience and Vulnerability of Pre-Industrial Settlements; Ashgate Publishing, Ltd.: Farnham, UK, 2014. [Google Scholar]
- Van Bavel, B.; Curtis, D. Better Understanding Disasters by Better Using History: Systematically Using the Historical Record as One Way to Advance Research into Disasters. Int. J. Mass Emergencies Disasters 2016, 34, 143–169. [Google Scholar]
- Lee, H.F.; Fei, J.; Chan, C.Y.; Pei, Q.; Jia, X.; Yue, R.P. Climate change and epidemics in Chinese history: A multi-scalar analysis. Soc. Sci. Med. 2017, 174, 53–63. [Google Scholar] [CrossRef] [PubMed]
- Voigtländer, N.; Voth, H.J. The three horsemen of riches: Plague, war, and urbanization in early modern Europe. Rev. Econ. Stud. 2013, 80, 774–811. [Google Scholar] [CrossRef]









| Direct | Indirect | Total | |
|---|---|---|---|
| Model 1 | |||
| Temp → Plague | −1.49 | −1.66 *** | −3.15 *** |
| Wheat price → Plague | 38.56 *** | −28.86 *** | 9.69 ** |
| CPI → Plague | −31.68 *** | −0.32 | −31.99 *** |
| Real wage → Plague | 3.02 | / | 3.02 |
| Model 2 | |||
| Precipitation → Plague | −0.03 | 0.02 *** | −0.01 |
| Wheat price → Plague | 38.79 *** | −28.31 *** | 1048 *** |
| CPI → Plague | −31.12 *** | −0.30 | 2.91 *** |
| Real wage → Plague | 2.91 | / | 2.91 |
| Model 3 | |||
| PDSI → Plague | −0.51 | 0.09 | 0.47 |
| Wheat price → Plague | 38.91 *** | −28.70 *** | 10.21 *** |
| CPI → Plague | −31.43 *** | −0.32 | −31.75 *** |
| Real wage → Plague | 3.08 | / | 3.08 |
© 2020 by the authors. Licensee MDPI, Basel, Switzerland. This article is an open access article distributed under the terms and conditions of the Creative Commons Attribution (CC BY) license (http://creativecommons.org/licenses/by/4.0/).
Share and Cite
Yue, R.P.H.; Lee, H.F. Examining the Direct and Indirect Effects of Climatic Variables on Plague Dynamics. Atmosphere 2020, 11, 388. https://doi.org/10.3390/atmos11040388
Yue RPH, Lee HF. Examining the Direct and Indirect Effects of Climatic Variables on Plague Dynamics. Atmosphere. 2020; 11(4):388. https://doi.org/10.3390/atmos11040388
Chicago/Turabian StyleYue, Ricci P.H., and Harry F. Lee. 2020. "Examining the Direct and Indirect Effects of Climatic Variables on Plague Dynamics" Atmosphere 11, no. 4: 388. https://doi.org/10.3390/atmos11040388
APA StyleYue, R. P. H., & Lee, H. F. (2020). Examining the Direct and Indirect Effects of Climatic Variables on Plague Dynamics. Atmosphere, 11(4), 388. https://doi.org/10.3390/atmos11040388

