Evaluation of Multi-Reanalysis Solar Radiation Products Using Global Surface Observations
Abstract
1. Introduction
2. Data and Methods
2.1. Data Source
2.1.1. Ground Observation Data
2.1.2. ERA-Interim
2.1.3. JRA-55
2.1.4. NCEP-DOE
2.1.5. MOD08
2.2. Evaluation Indicator
2.3. Köppen Climatic Classification
3. Validation Results of Reanalysis Solar Radiation Using Ground Measurements
3.1. Evaluation of Reanalysis Solar Radiation at a Global Scale
3.2. Evaluation of Solar Radiation in Different Climate Zones
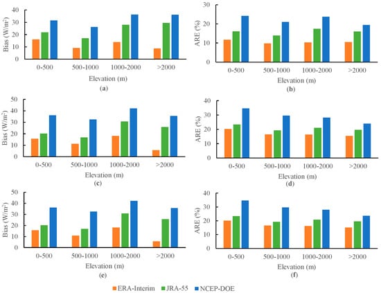
3.3. Evaluation of Reanalysis Solar Radiation products at Different Elevation Zones
4. Error Sources of Reanalysis Solar Radiation Products
5. Conclusions
Author Contributions
Funding
Acknowledgments
Conflicts of Interest
References
- Brock, T.D. Calculating solar radiation for ecological studies. Ecol. Model. 1981, 14, 1–19. [Google Scholar] [CrossRef]
- Budyko, M.I. The effect of solar radiation variations on the climate of the Earth. Tellus 1969, 21, 611–619. [Google Scholar] [CrossRef]
- Monteith, J.L. Solar radiation and productivity in tropical ecosystems. J. Appl. Ecol. 1972, 9, 747–766. [Google Scholar] [CrossRef]
- Harshvardhan, D.R.; Randall, D.A.; Corsetti, T.G. A fast radiation parameterization for atmospheric circulation models. J. Geophys. Res. Atmos. 1987, 92, 1009–1016. [Google Scholar] [CrossRef]
- Wigmosta, M.S.; Vail, L.W.; Lettenmaier, D.P. A distributed hydrology-vegetation model for complex terrain. Water Resour. Res. 1994, 30, 1665–1679. [Google Scholar] [CrossRef]
- Chen, H.; Ma, H.; Li, X.; Sun, S. Solar influences on spatial patterns of Eurasian winter temperature and atmospheric general circulation anomalies. J. Geophys. Res. Atmos. 2015, 120, 8642–8657. [Google Scholar] [CrossRef]
- Hammer, A.; Heinemann, D.; Hoyer, C.; Kuhlemann, R.; Lorenz, E.; Müller, R.; Beyer, H.G. Solar energy assessment using remote sensing technologies. Remote Sens. Environ. 2003, 86, 423–432. [Google Scholar] [CrossRef]
- Pinker, R.T.; Frouin, R.; Li, Z. A review of satellite methods to derive surface shortwave irradiance. Remote Sens. Environ. 1995, 51, 108–124. [Google Scholar] [CrossRef]
- Polo, J.; Wilbert, S.; Ruiz-Arias, J.A.; Meyer, R.; Gueymard, C.; Súri, M.; Martín, L.; Mieslinger, T.; Blanc, P.; Grant, I.; et al. Preliminary survey on site-adaptation techniques for satellite-derived and reanalysis solar radiation datasets. Sol. Energy 2016, 132, 25–37. [Google Scholar] [CrossRef]
- Rigollier, C.; Lefèvre, M.; Wald, L. The method Heliosat-2 for deriving shortwave solar radiation from satellite images. Sol. Energy 2004, 77, 159–169. [Google Scholar] [CrossRef]
- Li, Z.; Moreau, L.; Arking, A. On solar energy disposition: A perspective from observation and modeling. Bull. Am. Meteorol. Soc. 1996, 78, 53–70. [Google Scholar] [CrossRef]
- Bony, S.; Sud, Y.; Lau, K.M.; Susskind, J.; Saha, S. Comparison and satellite assessment of NASA/DAO and NCEP–NCAR reanalyses over tropical ocean: Atmospheric hydrology and radiation. J. Clim. 1997, 10, 1441–1462. [Google Scholar] [CrossRef]
- Trenberth, K.E.; Guillemot, C.J. Evaluation of the atmospheric moisture and hydrological cycle in the NCEP/NCAR reanalyses. Clim. Dyn. 1998, 14, 213–231. [Google Scholar] [CrossRef]
- Troy, T.J.; Wood, E.F. Comparison and evaluation of gridded radiation products across northern Eurasia. Environ. Res. Lett. 2009, 4, 045008. [Google Scholar] [CrossRef]
- Berg, A.A.; Famiglietti, J.S.; Walker, J.P.; Houser, P.R. Impact of bias correction to reanalysis products on simulations of North American soil moisture and hydrological fluxes. J. Geophys. Res. Atmos. 2003, 108, 4490. [Google Scholar] [CrossRef]
- Betts, A.K.; Ball, J.H.; Bosilovich, M.; Viterbo, P.; Zhang, Y.; Rossow, W.B. Intercomparison of water and energy budgets for five Mississippi subbasins between ECMWF reanalysis (ERA-40) and NASA Data Assimilation Office fvGCM for 1990–1999. J. Geophys. Res. Atmos. 2003, 108, 8618. [Google Scholar] [CrossRef]
- Roads, J.; Betts, A. NCEP NCAR and ECMWF reanalysis surface water and energy budgets for the Mississippi river basin. J. Hydrometeorol. 1999, 1, 88–94. [Google Scholar] [CrossRef]
- Qin, H.; Kawai, Y.; Kawamura, H. Comparison of downward surface solar radiation derived from GMS5/VISSR and of reanalysis products. J. Oceanogr. 2006, 62, 577–586. [Google Scholar] [CrossRef]
- Schroeder, T.A.; Hember, R.; Coops, N.C.; Liang, S. Validation of solar radiation surfaces from MODIS and reanalysis data over topographically complex terrain. J. Appl. Meteorol. Climatol. 2008, 48, 2441–2458. [Google Scholar] [CrossRef]
- You, Q.; Sanchez-Lorenzo, A.; Wild, M.; Folini, D.; Fraedrich, K.; Ren, G.; Kang, S. Decadal variation of surface solar radiation in the Tibetan Plateau from observations, reanalysis and model simulations. Clim. Dyn. 2013, 40, 2073–2086. [Google Scholar] [CrossRef]
- Babst, F.; Mueller, R.W.; Hollmann, R. Verification of NCEP reanalysis shortwave radiation with mesoscale remote sensing data. IEEE Geosci. Remote Sens. 2008, 5, 34–37. [Google Scholar] [CrossRef]
- Brotzge, J.A. A two-year comparison of the surface water and energy budgets between two OASIS sites and NCEP–NCAR reanalysis data. J. Hydrometeorol. 2004, 5, 311–326. [Google Scholar] [CrossRef]
- Che, H.Z.; Shi, G.Y.; Zhang, X.Y.; Arimoto, R.; Zhao, J.Q.; Xu, L.; Wang, B.; Chen, Z.H. Analysis of 40 years of solar radiation data from China, 1961–2000. Geophys. Res. Lett. 2005, 32, L06803. [Google Scholar] [CrossRef]
- Xia, X.A.; Wang, P.C.; Chen, H.B.; Liang, F. Analysis of downwelling surface solar radiation in China from National Centers for Environmental Prediction reanalysis, satellite estimates, and surface observations. J. Geophys. Res. Atmos. 2006, 111, D09103. [Google Scholar] [CrossRef]
- Jia, B.; Xie, Z.; Dai, A.; Shi, C.; Chen, F. Evaluation of satellite and reanalysis products of downward surface solar radiation over East Asia: Spatial and seasonal variations. J. Geophys. Res. Atmos. 2013, 118, 3431–3446. [Google Scholar] [CrossRef]
- Hicke, J.A. NCEP and GISS solar radiation data sets available for ecosystem modeling: Description, differences, and impacts on net primary production. Glob. Biogeochem. Cycles 2005, 19, GB2006. [Google Scholar] [CrossRef]
- Wang, A.; Zeng, X. Evaluation of multireanalysis products with in situ observations over the Tibetan Plateau. J. Geophys. Res. Atmos. 2012, 117, D05102. [Google Scholar] [CrossRef]
- Cess, R.D.; Zhang, M.H.; Minnis, P.; Corsetti, L.; Dutton, E.G.; Forgan, B.W.; Garber, D.P.; Gates, W.L.; Hack, J.J.; Harrison, E.F.; et al. Absorption of solar radiation by clouds: Observations versus models. Science 1995, 267, 496–499. [Google Scholar] [CrossRef]
- Kim, D.; Ramanathan, V. Solar radiation budget and radiative forcing due to aerosols and clouds. J. Geophys. Res. Atmos. 2008, 113, D02203. [Google Scholar] [CrossRef]
- Hatzianastassiou, N.; Matsoukas, C.; Drakakis, E.; Stackhouse, P.W., Jr.; Koepke, P.; Fotiadi, A.; Pavlakis, K.G.; Vardavas, I. The direct effect of aerosols on solar radiation based on satellite observations, reanalysis datasets, and spectral aerosol optical properties from Global Aerosol Data Set (GADS). Atmos. Chem. Phys. 2007, 7, 2585–2599. [Google Scholar] [CrossRef]
- Gilgen, H.; Ohmura, A. The global energy balance archive. Bull. Am. Meteorol. Soc. 1999, 80, 831–850. [Google Scholar] [CrossRef]
- CMA. Available online: http://cdc.nmic.cn/home.do (accessed on 8 June 2017).
- Dee, D.P.; Uppala, S.M.; Simmons, A.J.; Berrisford, P.; Poli, P.; Kobayashi, S.; Andrae, U.; Balmaseda, M.A.; Balsamo, G.; Bauer, P.; et al. The ERA-Interim reanalysis: Configuration and performance of the data assimilation system. Q. J. R. Meteorol. Soc. 2011, 137, 553–597. [Google Scholar] [CrossRef]
- Kobayashi, S.; Ota, Y.; Harada, Y.; Ebita, A.; Moriya, M.; Onoda, H.; Onogi, K.; Kamahori, H.; Kobayashi, C.; Endo, H. The JRA-55 Reanalysis: General Specifications and Basic Characteristics. J. Meteorol. Soc. Jpn. Ser. II 2015, 93, 5–48. [Google Scholar] [CrossRef]
- Kanamitsu, M.; Ebisuzaki, W.; Woollen, J.; Yang, S.K.; Hnilo, J.J.; Fiorino, M.; Potter, G.L. NCEP-DOE AMIP-II reanalysis (R-2). Bull. Am. Meteorol. Soc. 2002, 83, 1631–1643. [Google Scholar] [CrossRef]
- Platnick, S. MODIS Atmosphere L3 Monthly Product. NASA MODIS Adaptive Processing System, Goddard Space Flight Center, USA. 2015. Available online: https://modis-images.gsfc.nasa.gov/MOD08_M3/doi.html (accessed on 27 March 2018).
- Iqbal, M.; Valnicek, B. INDEX—An Introduction to Solar Radiation; Academic Press: Cambridge, MA, USA, 1983; pp. 387–390. [Google Scholar]
- Sato, T.; Yamanishi, Y.; Horimoto, K.; Kanehisa, M.; Toh, H. Partial correlation coefficient between distance matrices as a new indicator of protein-protein interactions. Bioinformatics 2006, 22, 2488–2492. [Google Scholar] [CrossRef] [PubMed]
- Jia, A.; Liang, S.; Jiang, B.; Zhang, X.; Wang, G. Comprehensive assessment of global surface net radiation products and uncertainty analysis. J. Geophys. Res. Atmos. 2018, 123, 1970–1989. [Google Scholar] [CrossRef]
- Peel, M.C.; Finlayson, B.L.; Mcmahon, T.A. Updated world map of the Köppen-Geiger climate classification. Hydrol. Earth Syst. Sci. 2007, 4, 439–473. [Google Scholar] [CrossRef]
- Köppen Climatic Classification. Available online: http://www.hydrol-earth-syst-sci.net/11/1633/2007/hess-11-1633-2007-supplement.zip (accessed on 1 March 2018).
- Zhang, X.; Liang, S.; Wang, G.; Yao, Y.; Jiang, B.; Cheng, J. Evaluation of the reanalysis surface incident shortwave radiation products from NCEP, ECMWF, GSFC, and JMA using satellite and surface observations. Remote Sens. 2016, 8, 225. [Google Scholar] [CrossRef]
- Ma, Q.; Wang, K.; Wild, M. Impact of geolocations of validation data on the evaluation of surface incident shortwave radiation from Earth System Models. J. Geophys. Res. Atmos. 2015, 120, 6825–6844. [Google Scholar] [CrossRef]





| Data Source | Data Period | Temporal Resolution | Spatial Resolution | Reference |
|---|---|---|---|---|
| GEBA | 1922–2008 | monthly | N/A(station) | [31] |
| CMA | 1957–present | monthly | N/A(station) | [32] |
| ERA-Interim | 1979–present | 3 h | 0.75° × 0.75° | [33] |
| JRA-55 | 1958–2013 | 3 h | 0.56° × 0.56° | [34] |
| NCEP-DOE | 1979–present | 6 h | 1.9° × 1.9° | [35] |
| MOD08 | 2000–present | monthly | 1° × 1° | [36] |
| Temporal Scales | MAM | JJA | SON | DJF | Annual Mean | Monthly Mean | |
|---|---|---|---|---|---|---|---|
| ERA-Interim | Bias | 22.75 | 15.58 | 11.14 | 10.83 | 14.86 | 15.17 |
| ARE | 19.73 | 15.81 | 17.83 | 23.23 | 11.62 | 19.05 | |
| RMSE | 30.80 | 27.35 | 21.23 | 22.86 | 22.00 | 26.82 | |
| R | 86.77 | 90.53 | 94.83 | 96.44 | 63.77 | 91.53 | |
| JRA-55 | Bias | 26.97 | 24.63 | 18.59 | 14.66 | 22.61 | 21.29 |
| ARE | 21.73 | 18.79 | 22.70 | 27.08 | 16.27 | 22.53 | |
| RMSE | 35.41 | 35.25 | 26.88 | 24.88 | 27.79 | 31.34 | |
| R | 82.65 | 87.47 | 93.12 | 95.91 | 64.29 | 89.65 | |
| NCEP-DOE | Bias | 48.67 | 43.91 | 28.36 | 25.80 | 31.85 | 36.91 |
| ARE | 33.72 | 27.56 | 31.22 | 40.05 | 24.11 | 33.25 | |
| RMSE | 58.23 | 54.56 | 38.09 | 37.72 | 40.06 | 48.34 | |
| R | 67.46 | 80.87 | 88.10 | 92.64 | 53.22 | 82.56 | |
| ERA-Interim | ||||||||||||||
| Temporal Scales | Bias | ARE | ||||||||||||
| MAM | JJA | SON | DJF | Seasonal Mean | Monthly Mean | Annual Mean | MAM | JJA | SON | DJF | Seasonal Mean | Monthly Mean | Annual Mean | |
| Arid | 24.17 | 20.51 | 15.19 | 15.48 | 18.84 | 18.99 | 16.77 | 14.64 | 12.36 | 13.83 | 20.88 | 15.43 | 15.51 | 10.13 |
| Cold | 19.14 | 11.87 | 6.01 | 4.08 | 10.28 | 10.07 | 10.30 | 14.76 | 11.36 | 14.01 | 19.25 | 14.85 | 15.07 | 8.98 |
| Polar | 3.01 | 8.99 | −2.56 | −1.67 | 1.94 | 1.92 | 2.12 | 15.59 | 12.02 | 16.62 | 21.74 | 16.49 | 15.67 | 9.13 |
| Temperate | 27.01 | 16.66 | 13.15 | 14.08 | 17.73 | 17.66 | 17.84 | 20.16 | 14.81 | 16.57 | 23.87 | 18.85 | 18.77 | 13.92 |
| Tropical | 22.10 | 9.62 | 23.07 | 23.73 | 19.63 | 20.24 | 15.74 | 13.37 | 12.68 | 16.79 | 22.62 | 16.37 | 16.35 | 9.98 |
| Mean | 19.09 | 13.53 | 10.97 | 11.14 | 13.68 | 13.78 | 12.55 | 15.70 | 12.65 | 15.56 | 21.67 | 16.40 | 16.27 | 10.43 |
| JRA-55 | ||||||||||||||
| Temporal Scales | Bias | ARE | ||||||||||||
| MAM | JJA | SON | DJF | Seasonal Mean | Monthly Mean | Annual Mean | MAM | JJA | SON | DJF | Seasonal Mean | Monthly Mean | Annual Mean | |
| Arid | 18.73 | 19.99 | 13.56 | 12.45 | 16.18 | 16.63 | 16.33 | 13.78 | 13.47 | 15.73 | 21.86 | 16.21 | 16.36 | 11.47 |
| Cold | 27.93 | 31.30 | 16.89 | 10.32 | 21.61 | 21.21 | 21.88 | 18.13 | 16.22 | 20.70 | 24.69 | 19.94 | 19.96 | 15.70 |
| Polar | 21.64 | 38.95 | 12.50 | 8.41 | 20.38 | 20.93 | 23.93 | 16.78 | 21.75 | 18.54 | 24.33 | 20.35 | 19.79 | 16.33 |
| Temperate | 33.23 | 25.16 | 22.85 | 18.98 | 25.06 | 25.00 | 26.45 | 23.12 | 17.08 | 22.38 | 28.76 | 22.84 | 22.72 | 19.33 |
| Tropical | 21.19 | 20.20 | 29.81 | 23.29 | 23.62 | 24.47 | 20.08 | 13.25 | 15.56 | 19.15 | 22.66 | 17.66 | 17.79 | 11.00 |
| Mean | 24.54 | 27.12 | 19.12 | 14.69 | 21.37 | 21.65 | 21.73 | 17.01 | 16.82 | 19.30 | 24.46 | 19.40 | 19.32 | 14.77 |
| NCEP-DOE | ||||||||||||||
| Temporal Scales | Bias | ARE | ||||||||||||
| MAM | JJA | SON | DJF | Seasonal Mean | Monthly Mean | Annual Mean | MAM | JJA | SON | DJF | Seasonal Mean | Monthly Mean | Annual Mean | |
| Arid | 39.63 | 42.49 | 23.94 | 19.92 | 31.50 | 31.79 | 25.11 | 23.73 | 22.21 | 22.13 | 26.88 | 23.74 | 23.81 | 17.93 |
| Cold | 56.99 | 54.93 | 29.50 | 22.30 | 40.93 | 40.41 | 36.00 | 33.52 | 27.34 | 33.51 | 40.43 | 33.70 | 33.63 | 25.54 |
| Polar | 39.76 | 60.70 | 19.60 | 11.81 | 32.97 | 34.66 | 29.26 | 24.39 | 32.62 | 25.14 | 26.83 | 27.25 | 27.19 | 19.91 |
| Temperate | 57.37 | 44.79 | 34.42 | 36.25 | 43.21 | 43.04 | 38.23 | 37.08 | 26.63 | 32.15 | 47.87 | 35.93 | 35.63 | 27.93 |
| Tropical | 8.14 | 1.01 | 16.88 | 16.70 | 10.68 | 10.66 | −0.12 | 13.45 | 16.62 | 19.24 | 22.45 | 17.94 | 18.74 | 9.68 |
| Mean | 40.38 | 40.78 | 24.87 | 21.40 | 31.86 | 32.11 | 25.70 | 26.43 | 25.08 | 26.43 | 32.89 | 27.71 | 27.80 | 20.20 |
| Climatic Zones | Season | ||||
|---|---|---|---|---|---|
| MAM | JJA | SON | DJF | ||
| ERA-Interim | Arid | WV | C | C | WV |
| Cold | C | AOD | |||
| Polar | C | C | |||
| Temperate | WV | C | AOD | AOD | |
| Tropical | WV | ||||
| JRA-55 | Arid | C | WV | WV | |
| Cold | C | C | C | ||
| Polar | |||||
| Temperate | WV | AOD | C | WV | |
| Tropical | C | ||||
| NCEP-DOE | Arid | C | C | C | WV |
| Cold | AOD | C | WV | C | |
| Polar | |||||
| Temperate | WV | C | C | WV | |
| Tropical | AOD | ||||
| Climatic Zones | ERA-Interim | JRA-55 | NCEP-DOE | |||
|---|---|---|---|---|---|---|
| ARE (SR) | ARE (CC) | ARE (SR) | ARE (CC) | ARE (SR) | ARE (CC) | |
| Arid | 10.13 | 19.55 | 11.47 | 25.12 | 17.93 | 26.01 |
| Cold | 8.98 | 16.81 | 15.70 | 33.41 | 25.54 | 36.50 |
| Polar | 9.13 | 17.28 | 16.33 | 37.31 | 19.91 | 41.19 |
| Temperate | 13.92 | 21.39 | 19.33 | 30.67 | 27.93 | 31.12 |
| Tropical | 9.98 | 18.00 | 11.00 | 16.64 | 9.68 | 11.47 |
| Mean | 10.43 | 18.61 | 14.77 | 28.63 | 20.20 | 29.26 |
© 2019 by the authors. Licensee MDPI, Basel, Switzerland. This article is an open access article distributed under the terms and conditions of the Creative Commons Attribution (CC BY) license (http://creativecommons.org/licenses/by/4.0/).
Share and Cite
Peng, X.; She, J.; Zhang, S.; Tan, J.; Li, Y. Evaluation of Multi-Reanalysis Solar Radiation Products Using Global Surface Observations. Atmosphere 2019, 10, 42. https://doi.org/10.3390/atmos10020042
Peng X, She J, Zhang S, Tan J, Li Y. Evaluation of Multi-Reanalysis Solar Radiation Products Using Global Surface Observations. Atmosphere. 2019; 10(2):42. https://doi.org/10.3390/atmos10020042
Chicago/Turabian StylePeng, Xiaomin, Jiangfeng She, Shuhua Zhang, Junzhong Tan, and Yang Li. 2019. "Evaluation of Multi-Reanalysis Solar Radiation Products Using Global Surface Observations" Atmosphere 10, no. 2: 42. https://doi.org/10.3390/atmos10020042
APA StylePeng, X., She, J., Zhang, S., Tan, J., & Li, Y. (2019). Evaluation of Multi-Reanalysis Solar Radiation Products Using Global Surface Observations. Atmosphere, 10(2), 42. https://doi.org/10.3390/atmos10020042

