Genome-Wide Identification of GSTs Gene Family and Functional Analysis of BraGSTF2 of Winter Rapeseed (Brassica rapa L.) under Cold Stress
Abstract
:1. Introduction
2. Results
2.1. Identification and Protein Characterization of BraGSTs Gene Family
2.2. Phylogenetic Analysis, Chromosome Distribution, and Gene Duplication in BraGSTs Gene Family
2.3. Conservative Structure and Gene Structure Analysis of BraGSTs Gene Family
2.4. Analysis of cis-Acting Elements in BraGSTs Gene Family
2.5. Expression of BraGSTs Gene Family in B. rapa under Low-Temperature Stress
2.6. Subcellular Localization of BraGSTF2 Protein
2.7. Screening and Identification of Transgenic Arabidopsis in BraGSTF2 Gene
2.8. Phenotypic and Survival Analysis of WT and BraGSTF2 Transgenic Arabidopsis under Low-Temperature Stress
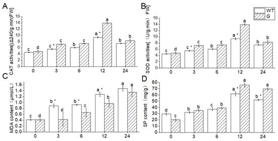
2.9. Physiological and Biochemical Index Analysis of Arabidopsis under Low-Temperature Stress
3. Discussion
4. Materials and Methods
4.1. Identification of Members of BraGSTs Gene Family in B. rapa
4.2. Prediction of BraGSTs Expression under Low-Temperature Stress
4.3. Preliminary Verification of BraGSTF2 Gene Function
4.4. RNA Isolation, Reverse Transcription, qRT-PCR, and T Transcriptome Expression Analysis
4.5. Subcellular Localization of BraGSTF2 Protein in Tobacco
5. Conclusions
Supplementary Materials
Author Contributions
Funding
Institutional Review Board Statement
Informed Consent Statement
Data Availability Statement
Acknowledgments
Conflicts of Interest
References
- Xu, Y.Z.; Sun, W.C.; Fang, Y.; Sun, B.L. Matter Transport, Photosynthetic Characteristics and Fluorescence Dynamics of two Brassica rapa Cultivars with Different Freezing-tolerance in Northwest China. Chin. J. Oil Crop Sci. 2020, 42, 91–101. [Google Scholar]
- Yuan, J.H.; Gu, X.P.; Li, T.; Li, Z.F.; Jia, X.L.; Lu, L.L.; Ma, L.J. Research Progress on Cold Resistance of Chinese Winter Rapeseed (Brassica rapa L.). China Seed Ind. 2017, 5. [Google Scholar] [CrossRef]
- Ma, L.; Sun, W.C.; Liu, Z.G.; Fang, Y.; Wu, J.Y.; Li, X.C.; Li, X.; Zhang, S.J.; Yuan, J.H.; Chen, Q. Study of Difference in Mechanism of Cold Resistance of Winter Rapeseed of Brassica rape and Brassica napus. Acta Agric. Age Boreali-Sin. 2016, 31, 147–154. [Google Scholar]
- Ma, L.; Bai, J.; Zhao, Y.H.; Sun, B.L.; Hou, X.F.; Fang, Y.; Wang, W.T.; Pu, Y.Y.; Liu, L.J.; Xu, J. Protein and Physiological Differences under Cold Stress, and Identification and Analysis of BnGSTs in Brassica napus L. Acta Agron. Sin. 2023, 49, 153–166. [Google Scholar]
- Mudgal, V.; Madaan, N.; Mudgal, A. Biochemical Mechanisms of Salt tolerance in Plants: A Review. Int. J. Bot. 2010, 6, 136–143. [Google Scholar] [CrossRef]
- Cao, Q.; Kong, W.F.; Wen, P.F. Plant Freezing Tolerance and Genes Express in Cold Acclimation: A Review. Acta Ecol. Sin. 2004, 24, 806–811. [Google Scholar]
- Lee, S.C.; Huh, K.W.; An, K.; An, G.; Kim, S.R. Ectopic Expression of a Cold-inducible Transcription Actor, CBF1/DREB1b, in Transgenic Rice (Oryza sativa L.). Mol. Cells 2004, 18, 107–114. [Google Scholar]
- Huang, C.; Guo, T.; Zheng, S.C.; Feng, Q.L.; Liang, J.H.; Li, L. Increased Cold Tolerance in Glutathione-S-transferase Gene. Biol. Plant. 2009, 53, 183–187. [Google Scholar] [CrossRef]
- Chen, Z.Y.; Wang, Y.T.; Pan, X.B.; Xi, Z.M. Amelioration of Cold-induced Oxidative Stress by Exogenous 24-epibrassinolide Treatment in Grapevine Seedlings: Toward Regulating the Ascorbate–glutathione Cycle. Sci. Hortic. 2019, 244, 379–387. [Google Scholar]
- Liu, H.M.; Fang, L.; Che, Y.S.; Wu, F.Z.; Yang, C.P. Protein Expression Patterns in Two Spiraea Species in Response to Cold Treatment. Mol. Biol. Rep. 2014, 1, 4533–4547. [Google Scholar] [CrossRef]
- Wang, Q.; Bohn, P.W. Active Spatiotemporal Control of Arg-Gly-Asp-Containing Tetradecapeptide Organomer Captans on Gold with in Plane Electrochemical Potential Radients. J. Phys. Chem. B 2003, 107, 12578–12584. [Google Scholar] [CrossRef]
- Taha, M.O.; Fraga, M.M.; Fagundes, D.J.; Jurkiewicz, A.; Caricati-Neto, A. Ascorbic Acid Prevents Autonomic Dysfunction in Rat Jejunal Submitted to Cold Ischemic Preservation for Transplantation. Transplant. Proc. 2004, 36, 289–292. [Google Scholar] [CrossRef]
- Gong, H.; Jiao, Y.; Hu, W.W.; Pua, E.C. Expression of Glutathione-S-transferase and its Role in Plant Growth and Development In Vivo and Shoot Morphogenesis In Vitro. Plant Mol. Biol. 2005, 57, 53–61. [Google Scholar] [CrossRef] [PubMed]
- Jiang, H.W.; Liu, M.J.; Chen, I.C.; Huang, C.H.; Hsieh, H.L. A Glutathione S-transferase Regulated by Light and Hormones Participates in the Modulation of Arabidopsis Seedling Development. Plant Physiol. 2010, 154, 1646–1657. [Google Scholar] [CrossRef]
- Wei, L.J.; Zhu, Y.; Liu, R.Y.; Zhang, A.X.; Zhu, M.C.; Xu, W.; Lin, A.; Lu, K.; Li, J.N. Genome Wide Identification and Comparative Analysis of Glutathione Transferases (GST) Family Genes in Brassica napus. Sci. Rep. 2019, 9, 9196. [Google Scholar]
- Mohammad, K.R.; Zahra, S.S.; Maryam, S.; Raha, A.; Sajjad, Z. Glutathione S-transferase (GST) Family in Barley: Identification of Members, Enzyme Activity, and Gene Expression Pattern. J. Plant Physiol. 2013, 170, 1277–1284. [Google Scholar]
- Dong, Y.T.; Li, C.; Zhang, Y.; He, Q.L.; Daud Muhammad, K.; Chen, J.H.; Zhu, S.J. Glutathione s-transferase Gene Family in Gossypium raimondii and G. arboreum: Comparative Genomic Study and their Expression under Salt Stress. Front. Plant Sci. 2016, 7, 770. [Google Scholar]
- Nadeem, K.; Chun-Mei, H.; Waleed, A.K. Genome-Wide identification, classification, and expression divergence of glutathione-transferase family in Brassica rapa under multiple hormone teatments. BioMed Res. Int. 2018, 2018, 6023457. [Google Scholar]
- Harshavardhanan, V.; Senthil, K.T.; Ashokraj, S.; Natarajan, S.; Jung, H.J.; Park, J.I.; Kim, H.; Chung, M.Y.; Nou, I.S. Glutathione Transferases Superfamily: Cold-Inducible Expression of Distinct GST Genes in Brassica oleracea. Int. J. Mol. Sci. 2016, 17, 1211. [Google Scholar]
- Licciardello, C.; D’Agostino, N.; Traini, A.; Recupero, G.R.; Frusciante, L.; Chiusano, M.L. Characterization of the Glutathione S-transferase Gene Family through ESTs and Expression Analyses within Common and Pigmented Cultivars of Citrus sinensis (L.) Osbeck. BMC Plant Biol. 2014, 14, 39. [Google Scholar] [CrossRef]
- Pljesa-Ercegovac, M.; Savic-Radojevic, A.; Matic, M.; Coric, V.; Djukic, T.; Radic, T.; Simic, T. Glutathione Transferases: Potential Targets to Overcome Chemoresistance in Solid Tumors. Int. J. Mol. Sci. 2018, 19, 3785. [Google Scholar] [CrossRef]
- Hossain, M.D.; Rohman, M.M.; Fujita, M. A Comparative Investigation of Glutathione S-transferases, Glyoxalase-I and Alliinase Activities in Different Vegetable Crops. J. Crop Sci. Biotechnol. 2007, 10, 21–28. [Google Scholar]
- Xu, J.; Qing, A.; Zheng, A.Q.; Xing, X.J.; Chen, L.; Fu, X.Y. Transgenic Arabidopsis Plants Expressing Grape Glutathione S-Transferase Gene (VvGSTF13) Show Enhanced Tolerance to Abiotic Stress. Biochemistry 2018, 83, 755–765. [Google Scholar] [CrossRef] [PubMed]
- Gao, C.Q.; Yang, G.Y.; Guo, Y.C.; Zhao, Y.L.; Yang, C.P. Overexpression of ThGSTZ1 from Tamarix Hispida Improves Tolerance to Exogenous ABA and Methyl Viologen. Trees 2016, 30, 1935–1944. [Google Scholar] [CrossRef]
- Sappl, P.G.; Carroll, A.J.; Clifton, R.; Lister, R.; Singh, K.B. The Arabidopsis Glutathione Transferase Gene Family Displays Complex Stress Regulation and Co-silencing Multiple Genes Results in Altered Metabolic Sensitivity to Oxidative Stress. Plant J. 2010, 58, 53–62. [Google Scholar] [CrossRef]
- Jha, B.; Sharma, A.; Mishra, A. Expression of SbGSTU (tau class glutathione S-transferase) Gene Isolated from Salicornia Brachiata in Tobacco for Salt Tolerance. Mol. Biol. Rep. 2011, 38, 4823–4832. [Google Scholar] [CrossRef]
- Song, W.; Zhou, F.K.; Shan, C.H.; Zhang, Q.; Ning, M.; Liu, X.M.; Zhao, X.X.; Cai, W.C.; Yang, X.Q.; Hao, G.F.; et al. Identification of Glutathione S-transferase Genes in Hami Melon (Cucumis melo var. saccharinus) and their Expression Analysis under Cold Stress. Front. Plant Sci. 2021, 12, 672017. [Google Scholar] [CrossRef]
- Islam, S.; Sajib, S.D.; Jui, Z.S.; Arabia, S.; Islam, T.; Ghosh, A. Genome-wide Identification of Glutathione S-transferase Gene family in Pepper, its Classification, and Expression Profiling under Different Anatomical and Environmental Conditions. Sci. Rep. 2019, 9, 9101. [Google Scholar] [CrossRef]
- Yang, G.Y.; Xu, Z.G.; Peng, S.B.; Sun, Y.D.; Jia, C.X.; Zhai, M.Z. In Planta Characterization of a Tau Class Glutathione S-transferase Gene from Juglans regia (JrGSTTau1) Involved in Chilling Tolerance. Plant Cell Rep. 2016, 35, 681–692. [Google Scholar] [CrossRef]
- Jeong, Y.J.; Choy, Y.H.; Joo, H.J.; Hwang, J.H.; Byun, Y.J.; Ha-Lee, Y.M.; Lee, J.S.; Jang, Y.S.; Lee, D.H. Identification and Analysis of Cold Stress-inducible Genes in Korean Rapeseed Varieties. J. Plant Biol. 2012, 55, 498–512. [Google Scholar] [CrossRef]
- Edwards, R.; Dixon, D.P. Plant Glutathione Transferases. Methods Enzymol. 2005, 401, 169–178. [Google Scholar] [PubMed]
- Yang, G.Y.; Reade, J.P.H.; Hull, M.R.; Cobb, A.H. A Role for Glutathione-S-transferase in Herbicide Resistance in Black-grass (Alopecurus myosuroides). Plant Physiol. 2004, 52, 468–477. [Google Scholar]
- Smith, A.P.; Deridder, B.P.; Guo, W.J.; Seeley, E.H.; Regnier, F.E.; Goldsbrough, P.B. Proteomic Analysis of Arabidopsis Glutathione S-transferases from Benoxacor- and Copper-treated Seedlings. J. Biol. Chem. 2004, 8, 205–219. [Google Scholar] [CrossRef] [PubMed]
- Finn, R.D.; Coggill, P.; Eberhardt, R.Y.; Sean, R. The Pfam Protein Families Database: Towards a More Sustainable Future. Nucleic Acids Res. 2016, 44, D279–D285. [Google Scholar] [CrossRef]
- Mistry, J.; Finn, R.D.; Eddy, S.R.; Bateman, A.; Punta, M. Challenges in Homology Search: HMMER3 and Convergent Evolution of Coiled-Coil Regions. Nucleic Acids Res. 2013, 41, e121. [Google Scholar] [CrossRef]
- Marchler-Bauer, A.; Bo, Y.; Han, L.; He, J.; Lanczycki, C.J.; Lu, S.N.; Chitsaz, F.D.; Renata, C.G.; Gonzales, N.R.; Gwadz, M.; et al. CDD/SPARCLE: Functional Classification of Proteins via Subfamily Domain Architectures. Nucleic Acids Res. 2017, 45, D200–D203. [Google Scholar] [CrossRef] [PubMed]
- Kumar, S.; Stecher, G.; Tamura, K. MEGA7: Molecular Evolutionary Genetics Analysis Version 7.0 for Bigger Datasets. Mol. Biol. Evol. 2016, 33, 1870–1874. [Google Scholar] [CrossRef]
- Chen, C.; Chen, H.; Zhang, Y.; Thomas, H.R.; Xia, R. TBtools: An Integrative Toolkit Developed for Interactive Analyses of Big Biological Data. Mol. Plant 2020, 13, 1194–1202. [Google Scholar] [CrossRef]
- Lescot, M.; Déhais, P.; Thijs, G.; Kathleen, M.; Yves, M.; Yves, V.P.; Pierre, R.; Stephane, R. PlantCARE, a Database of Plant Cis-Acting Regulatory Elements and a Portal to Tools for in Silico Analysis of Promoter Sequences. Nucleic Acids Res. 2002, 30, 325–327. [Google Scholar] [CrossRef]
- Bailey, T.L.; Mikael, B.; Buske, F.A.; Frith, M.; Grant, C.E.; Clementi, L.; Ren, J.Y.; Li, W.W.; Noble, W.S. MEME SUITE: Tools for Motif Discovery and Searching. Nucleic Acids Res. 2009, 37, W202–W208. [Google Scholar] [CrossRef]
- Krzywinski, M.; Schein, J.; Birol, I.; Connors, J.; Gascoyne, R.; Horsman, D.; Jones, S.J.; Marra, M. Circos: An information aesthetic for comparative genomics. Genome Res. 2009, 19, 1639–1645. [Google Scholar] [CrossRef]
- Liu, L.J.; Pu, Y.Y.; Niu, Z.X.; Wu, J.Y.; Fang, Y.; Xu, F.; Yue, J.L.; Ma, L.; Li, X.C.; Sun, W.C. Transcriptomic Insights into Root Development and Overwintering Transcriptional Memory of L. Grown in the Field. Front. Plant Sci. 2022, 13, 13–15. [Google Scholar] [CrossRef] [PubMed]
- Ma, L.; Qi, W.L.; Bai, J.; Li, H.Y.; Fang, Y.; Xu, J.; Xu, Y.Z.; Zeng, X.C.; Pu, Y.Y.; Wang, W.T.; et al. Genome-Wide Identification and Analysis of the Ascorbate Peroxidase (APX) Gene Family of Winter Rapeseed (Brassica rapa L.) Under Abiotic Stress. Front. Genet. 2021, 12, 753624. [Google Scholar] [CrossRef] [PubMed]
- Ma, L.; Coulter, J.A.; Liu, L.J.; Zhao, Y.H.; Chang, Y.; Pu, Y.Y.; Zeng, X.C.; Xu, Y.Z.; Wu, J.Y.; Fang, Y.; et al. Transcriptome Analysis Reveals Key Cold-Stress-Responsive Genes in Winter Rapeseed (Brassica Rapa, L.). Int. J. Mol. Sci. 2019, 20, 1071. [Google Scholar] [CrossRef] [PubMed]
- Fang, Y.; Coulter, J.A.; Wu, J.Y.; Liu, L.J.; Li, X.C.; Dong, Y.; Ma, L.; Pu, Y.Y.; Sun, B.L.; Niu, Z.X.; et al. Identification of Differentially Expressed Genes Involved in Amino Acid and Lipid Accumulation of Winter Turnip Rape (Brassica Rapa, L.) in Response to Cold Stress. PLoS ONE 2021, 16, e0245494. [Google Scholar] [CrossRef] [PubMed]
- Gill, T.; Sreenivasulu, Y.; Kumar, S.; Singh Ahuja, P. Over-Expression of Superoxide Dismutase Exhibits Lignification of Vascular Structures in Arabidopsis thaliana. J. Plant Physiol. 2010, 167, 757–760. [Google Scholar] [CrossRef]
- Quiroga, M.; Guerrero, C.; Botella, M.A.; Barceló, A.; Amaya, I.; Medina, M.I.; Alonso, F.J.; de Forchetti, S.M.; Tigier, H.; Valpuesta, V.A. Tomato Peroxidase Involved in the Synthesis of Lignin and Suberin. Plant Physiol. 2000, 122, 1119–1127. [Google Scholar] [CrossRef]
- Livak, K.J.; Schmittgen, T.D. Analysis of Relative Gene Expression Data Using Real-Time Quantitative PCR and the 2−ΔΔCT Method. Methods 2001, 25, 402–408. [Google Scholar] [CrossRef]
- Rovira-Clavé, X.; Jiang, S.Z.; Bai, Y.H.; Zhu, B.K.; Nolan, G.P. Subcellular Localization of Biomolecules and Drug Distribution by High-definition Ion Beam Imaging. Nat. Commun. 2021, 12, 4628. [Google Scholar] [CrossRef]









| Subfamilies | Number of Identified Genes |
|---|---|
| Phi | 18 |
| Tau | 39 |
| Zeta | 2 |
| Theta | 2 |
| Lambda | 2 |
| DHAR | 4 |
| EF1G | 2 |
| TCHQD | 1 |
| Total | 70 |
| Motif | Amino Acid Sequence | Number of Amino Acids |
|---|---|---|
| Motif 1 | EEDLGNKSELLLESNPVHKKIPVLIHNGKPICESLIIVEYIDETWP | 46 |
| Motif 2 | FGYVDIALIGFYSWFDAYEKFGNFSIEAECPKLIAWAKRCLKRESVAKSLPDSEKVVEYVPELR | 64 |
| Motif 3 | GNPJLPSDPYERAQARFWADFIDEKV | 26 |
| Motif 4 | FKPVYGLTTDQAVVKEEEAKLAKVLDVYEARLKESKYLAG DTFTLADLHHJPVIQYLL | 58 |
| Motif 5 | SPFSRRVRJALELKGVPYE | 19 |
| Motif 6 | KZFDELLKTLESELGDKPYFGGET | 24 |
| Motif 7 | AKKEFIELLKTLEKELGDKTYFGGET | 26 |
| Motif 8 | EEVKLLGYWPSPFSM | 15 |
| Motif 9 | TPTKKLFEERPHVNEWVAEITARPAW | 26 |
| Motif 10 | CLALLEEAFQKSSKGKGFFGGENIGFLDIACGSFLG | 36 |
Disclaimer/Publisher’s Note: The statements, opinions and data contained in all publications are solely those of the individual author(s) and contributor(s) and not of MDPI and/or the editor(s). MDPI and/or the editor(s) disclaim responsibility for any injury to people or property resulting from any ideas, methods, instructions or products referred to in the content. |
© 2023 by the authors. Licensee MDPI, Basel, Switzerland. This article is an open access article distributed under the terms and conditions of the Creative Commons Attribution (CC BY) license (https://creativecommons.org/licenses/by/4.0/).
Share and Cite
Niu, Z.; Liu, L.; Yue, J.; Wu, J.; Wang, W.; Pu, Y.; Ma, L.; Fang, Y.; Sun, W. Genome-Wide Identification of GSTs Gene Family and Functional Analysis of BraGSTF2 of Winter Rapeseed (Brassica rapa L.) under Cold Stress. Genes 2023, 14, 1689. https://doi.org/10.3390/genes14091689
Niu Z, Liu L, Yue J, Wu J, Wang W, Pu Y, Ma L, Fang Y, Sun W. Genome-Wide Identification of GSTs Gene Family and Functional Analysis of BraGSTF2 of Winter Rapeseed (Brassica rapa L.) under Cold Stress. Genes. 2023; 14(9):1689. https://doi.org/10.3390/genes14091689
Chicago/Turabian StyleNiu, Zaoxia, Lijun Liu, Jinli Yue, Junyan Wu, Wangtian Wang, Yuanyuan Pu, Li Ma, Yan Fang, and Wancang Sun. 2023. "Genome-Wide Identification of GSTs Gene Family and Functional Analysis of BraGSTF2 of Winter Rapeseed (Brassica rapa L.) under Cold Stress" Genes 14, no. 9: 1689. https://doi.org/10.3390/genes14091689
APA StyleNiu, Z., Liu, L., Yue, J., Wu, J., Wang, W., Pu, Y., Ma, L., Fang, Y., & Sun, W. (2023). Genome-Wide Identification of GSTs Gene Family and Functional Analysis of BraGSTF2 of Winter Rapeseed (Brassica rapa L.) under Cold Stress. Genes, 14(9), 1689. https://doi.org/10.3390/genes14091689

