Genome-Wide Association Study for Spot Blotch Resistance in Synthetic Hexaploid Wheat
Abstract
1. Introduction
2. Materials and Methods
2.1. Plant Material
2.2. Phenotypic Evaluations of Spot Blotch
2.3. Genotyping
2.4. Statistical Analysis and Genome-Wide Association Study
2.5. Partial Least Squares Regression
3. Results
3.1. Resistance to Spot Blotch at the Seedling Stage
3.2. Genome-Wide Association Study Using Different References Genomes
3.3. Identified MTA
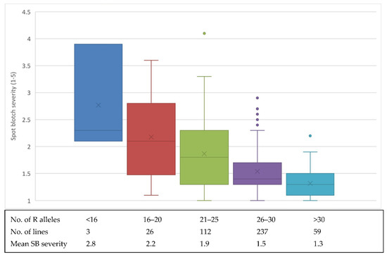
3.4. Frequency of Resistance Alleles within Individual SHWs
3.5. Interpretation of Results from Partial Least Squares
4. Discussion
4.1. Novelties of the Significant Markers Found in the Current Study
4.2. Candidate Genes for the Identified Marker–Trait Associations
4.3. Application of GWAS for Use in Practical Breeding
5. Conclusions
Supplementary Materials
Author Contributions
Funding
Institutional Review Board Statement
Informed Consent Statement
Data Availability Statement
Acknowledgments
Conflicts of Interest
References
- Food and Agriculture Organization of the United Nations. Statistical Yearbook; FAO: Rome, Italy, 2017. [Google Scholar]
- Savary, S.; Willocquet, L.; Pethybridge, S.J.; Esker, P.; McRoberts, N.; Nelson, A. The global burden of pathogens and pests on major food crops. Nat. Ecol. Evol. 2019, 3, 430–439. [Google Scholar] [CrossRef] [PubMed]
- Dubin, H.J.; Rajaram, S. Breeding disease-resistant wheats for tropical highlands and lowlands. Annu. Rev. Phytopathol. 1996, 34, 503–526. [Google Scholar] [CrossRef] [PubMed]
- Duveiller, E.; Dubin, H.J. Helminthosporium leaf blights: Spot blotch and tan spot. Bread Wheat Improv. Prod. Plant Prod. Prot. Ser. 2002, 30, 285–299. [Google Scholar]
- Joshi, A.K.; Chand, R. Variation and inheritance of leaf angle, and its association with spot blotch (Bipolaris sorokiniana) severity in wheat (Triticum aestivum). Euphytica 2002, 124, 283–291. [Google Scholar] [CrossRef]
- Sharma, R.C.; Duveiller, E. Advancement toward new spot blotch resistant wheat in South Asia. Crop Sci. 2007, 47, 961–968. [Google Scholar] [CrossRef]
- Singh, V.; Singh, R.N. Management of spot blotch of wheat (Triticum aestivum) caused by Bipolaris sorokiniana. Indian J. Agric. Sci. 2007, 77, 323–326. [Google Scholar]
- Gurung, S.; Sharma, R.C.; Duveiller, E.; Shrestha, S.M. Infection and development of spot blotch and tan spot on timely and late seeded wheat. Phytopathology 2009, 99, S48-S48. [Google Scholar]
- Chowdhury, A.K.; Singh, G.; Tyagi, B.S.; Ojha, A.; Dhar, T.; Bhattacharya, P.M. Spot blotch disease of wheat–a new thrust area for sustaining productivity. J. Wheat Res. 2013, 5, 1–11. [Google Scholar]
- Kumar, J.; Schäfer, P.; Hückelhoven, R.; Langen, G.; Baltruschat, H.; Stein, E.; Nagarajan, S.; Kogel, K. Bipolaris sorokiniana, a cereal pathogen of global concern: Cytological and molecular approaches towards better control. Mol. Plant Pathol. 2002, 3, 185–195. [Google Scholar] [CrossRef]
- Pandey, S.P.; Kumar, S.; Kumar, U.; Chand, R.; Joshi, A.K. Sources of inoculum and reappearance of spot blotch of wheat in rice–wheat cropping. Eur. J. Plant Pathol. 2005, 111, 47–55. [Google Scholar] [CrossRef]
- O’Boyle, P.D.; Brooks, W.S.; Barnett, M.D.; Berger, G.L.; Steffenson, B.J.; Stromberg, E.L.; Maroof, M.A.S.; Liu, S.Y.; Griffey, C.A. Mapping net blotch resistance in “Nomini” and CIho 2291 Barley. Crop Sci. 2014, 54, 2596–2602. [Google Scholar] [CrossRef]
- Chand, R.; Pandey, S.P.; Singh, H.V.; Kumar, S.; Joshi, A.K. Variability and its probable cause in natural populations of spot blotch pathogen Bipolaris sorokiniana of wheat (T. aestivum L.) in India. J. Plant Dis. Prot. 2003, 110, 27–35. [Google Scholar]
- Mehta, Y.R.; Riede, C.R.; Campos, L.A.C.; Kohli, M.M. Integrated management of major wheat diseases in Brazil—An example for the southern cone region of latin-America. Crop Prot. 1992, 11, 517–524. [Google Scholar] [CrossRef]
- Sharma, R.C.; Duveiller, E.; Ortiz-Ferrara, G. Progress and challenge towards reducing wheat spot blotch threat in the Eastern Gangetic Plains of South Asia: Is climate change already taking its toll? Field Crops Res. 2007, 103, 109–118. [Google Scholar] [CrossRef]
- Acharya, K.; Dutta, A.K.; Pradhan, P. Bipolaris sorokiniana (Sacc.) Shoem.: The most destructive wheat fungal pathogen in the warmer areas. Aust. J. Crop Sci. 2011, 5, 1064–1071. [Google Scholar]
- Singh, V.; Singh, G.; Chaudhury, A.; Ojha, A.; Tyagi, B.S.; Chowdhary, A.K.; Sheoran, S. Phenotyping at hot spots and tagging of QTLs conferring spot blotch resistance in bread wheat. Mol. Biol. Rep. 2016, 43, 1293–1303. [Google Scholar] [CrossRef]
- Vasistha, N.K.; Balasubramaniam, A.; Mishra, V.K.; Chand, R.; Srinivasa, J.; Yadav, P.S.; Joshi, A.K. Enhancing spot blotch resistance in wheat by marker-aided backcross breeding. Euphytica 2016, 207, 119–133. [Google Scholar] [CrossRef]
- Kumar, S.; Archak, S.; Tyagi, R.K.; Kumar, J.; Vikas, V.K.; Jacob, S.R.; Srinivasan, K.; Radhamani, J.; Parimalan, R.; Sivaswamy, M.; et al. Evaluation of 19,460 wheat accessions conserved in the Indian national Genebank to identify new sources of resistance to rust and spot blotch diseases. PLoS ONE 2017, 12, e0175610. [Google Scholar] [CrossRef]
- Lillemo, M.; Joshi, A.K.; Prasad, R.; Chand, R.; Singh, R.P. QTL for spot blotch resistance in bread wheat line Saar co-locate to the biotrophic disease resistance loci Lr34 and Lr46. Theor. Appl. Genet. 2013, 126, 711–719. [Google Scholar] [CrossRef]
- Kumar, S.; Röder, M.S.; Tripathi, S.B.; Kumar, S.; Chand, R.; Joshi, A.K.; Kumar, U. Mendelization and fine mapping of a bread wheat spot blotch disease resistance QTL. Mol. Breed. 2015, 35, 218. [Google Scholar] [CrossRef]
- Lu, P.; Liang, Y.; Li, D.; Wang, Z.; Li, W.; Wang, G.; Wang, Y.; Zhou, S.; Wu, Q.; Xie, J.; et al. Fine genetic mapping of spot blotch resistance gene Sb3 in wheat (Triticum aestivum). Theor. Appl. Genet. 2016, 129, 577–589. [Google Scholar] [CrossRef] [PubMed]
- Zhang, P.; Guo, G.; Wu, Q.; Chen, Y.; Xie, J.; Lu, P.; Li, B.; Dong, L.; Li, M.; Wang, R.; et al. Identification and fine mapping of spot blotch (Bipolaris sorokiniana) resistance gene Sb4 in wheat. Theor. Appl. Genet. 2020, 133, 2451–2459. [Google Scholar] [CrossRef] [PubMed]
- Singh, P.K.; He, X.; Sansaloni, C.P.; Juliana, P.; Dreisigacker, S.; Duveiller, E.; Kumar, U.; Joshi, A.K.; Singh, R.P. Resistance to spot blotch in two mapping populations of common wheat is controlled by multiple QTL of minor effects. Int. J. Mol. Sci. 2018, 19, 4054. [Google Scholar] [CrossRef] [PubMed]
- He, X.; Dreisigacker, S.; Sansaloni, C.; Duveiller, E.; Singh, R.P.; Singh, P.K. QTL mapping for spot blotch resistance in two bi-parental mapping populations of bread wheat. Phytopathology 2020, 110, 1980–1987. [Google Scholar] [CrossRef]
- Roy, C.; Gahtyari, N.C.; He, X.; Mishra, V.K.; Chand, R.; Joshi, A.K.; Singh, P.K. Dissecting quantitative trait loci for spot blotch resistance in South Asia using two wheat recombinant inbred line populations. Front. Plant Sci. 2021, 12, 641324. [Google Scholar] [CrossRef]
- Gahtyari, N.C.; Roy, C.; He, X.; Roy, K.K.; Reza, M.M.A.; Hakim, M.A.; Malaker, P.K.; Joshi, A.K.; Singh, P.K. Identification of QTLs for spot blotch resistance in two bi-parental mapping populations of wheat. Plants 2021, 10, 973. [Google Scholar] [CrossRef]
- Ayana, G.T.; Ali, S.; Sidhu, J.S.; Gonzalez Hernandez, J.L.; Turnipseed, B.; Sehgal, S.K. Genome-wide association study for spot blotch resistance in hard winter wheat. Front. Plant Sci. 2018, 9, 926. [Google Scholar] [CrossRef]
- Ahirwar, R.N.; Mishra, V.K.; Chand, R.; Budhlakoti, N.; Mishra, D.C.; Kumar, S.; Singh, S.; Joshi, A.K. Genome-wide association mapping of spot blotch resistance in wheat association mapping initiative (WAMI) panel of spring wheat (Triticum aestivum L.). PLoS ONE 2018, 13, e0208196. [Google Scholar] [CrossRef]
- Adhikari, T.B.; Gurung, S.; Hansen, J.M.; Jackson, E.W.; Bonman, J.M. Association mapping of quantitative trait loci in spring wheat landraces conferring resistance to bacterial leaf streak and spot blotch. Plant Genome 2012, 5, 1–16. [Google Scholar] [CrossRef]
- Bainsla, K.N.; Phuke, M.R.; He, X.; Gupta, V.; Bishnoi, S.K.; Sharma, R.K.; Ataei, N.; Dreisigacker, S.; Juliana, P.; Singh, P.K. Genome-wide association study for spot blotch resistance in Afghan wheat germplasm. Plant Pathol. 2020, 69, 1161–1171. [Google Scholar] [CrossRef]
- Tomar, V.; Singh, D.; Guriqbal Singh, D.G.; Singh, R.P.; Poland, J.; Joshi, A.K.; Singh, P.K.; Bhati, K.P.; Kumar, S.; Rahman, M.; et al. New QTLs for spot blotch disease resistance in wheat (Triticum aestivum L.) using genome-wide association mapping. Front. Genet. 2021, 11, 613217. [Google Scholar] [CrossRef]
- Das, M.K.; Bai, G.; Mujeeb-Kazi, A.; Rajaram, S. Genetic diversity among synthetic hexaploid wheat accessions (Triticum aestivum) with resistance to several fungal diseases. Genet. Resour. Crop Evol. 2016, 63, 1285–1296. [Google Scholar] [CrossRef]
- Lozano-Ramírez, N.; Dreisigacker, S.; Sansaloni, C.P.; Sandoval-Islas, S.; Pérez-Rodríguez, P.; Carballo-Carballo, A.; Nava-Díaz, C.; Kishii, M.; Singh, P.K. Genome-wide association study for resistance to tan spot in synthetic hexaploid wheat. Plants 2022, 11, 433. [Google Scholar] [CrossRef]
- Mujeeb-Kazi, A.; Rosas, V.; Roldán, S. Conservation of the genetic variation of Triticum tauschii (Coss.) Schmalh. (Aegilops squarrosa auct. non L.) in synthetic hexaploid wheats (T. turgidum L. s.lat. x T. tauschii; 2n = 6x = 42, AABBDD) and its potential utilization for wheat improvement. Genet. Resour. Crop Evol. 1996, 43, 129–134. [Google Scholar] [CrossRef]
- Lage, J.; Skovmand, B.; Anderson, S.B. Field evaluation of emmer wheat derived synthetic hexaploid wheats for resistance to Russian wheat aphid (Homoptera: Aphididae). J. Econ. Entomol. 2004, 97, 1065–1070. [Google Scholar] [CrossRef]
- Das, M.K.; Bai, G.H.; Mujeeb-Kazi, A. Genetic diversity in conventional and synthetic wheats with drought and salinity tolerance based on AFLP. Can. J. Plant Sci. 2007, 87, 691–702. [Google Scholar] [CrossRef][Green Version]
- Mujeeb-Kazi, A.; Gul, A.; Ahmad, F.; Farooq, M.; Rizwan, S.; Bux, H.; Iftikhar, S.; Asad, S.; Delgado, R. Aegilops tauschii, as spot blotch (Cochliobolus sativus) resistance source for bread wheat improvement. Pak. J. Bot. 2007, 39, 1207–1216. [Google Scholar]
- Gilchrist-Saavedra, L.; Fuentes-Dávila, G.; Martínez-Cano, C.; López-Atilano, R.M.; Duvellier, E.; Singh, R.P.; Henry, M.; García, A.I. Practical Guide to the Identification of Selected Diseases of Wheat and Barley, 2nd ed.; CIMMYT: Mexico City, Mexico, 2006. [Google Scholar]
- Lamari, L.; Bernier, C.C. Evaluation of wheat lines and cultivars to tan spot [Pyrenophora tritici-repentis] based on lesion type. Can. J. Plant Pathol. 1989, 11, 49–56. [Google Scholar] [CrossRef]
- Dreisigacker, S.; Sehgal, D.; Reyes Jaimez, A.E.; Luna Garrido, B.; Muñoz Zavala, S.; Núñez Ríos, C.; Mollins, J.; Mall, S. Laboratory Protocols and Applications to Wheat Breeding; CIMMYT: Mexico City, Mexico, 2016. [Google Scholar]
- Sansaloni, C.; Petroli, C.; Jaccoud, D.; Carling, J.; Detering, F. Diversity arrays technology (DArT) and next-generation sequencing combined: Genome wide, high throughput, highly informative genotyping for molecular breeding of Eucalyptus. BMC Proc. 2011, 5, 54. [Google Scholar] [CrossRef]
- Sansaloni, C.; Franco, J.; Santos, B.; Percival-Alwyn, L.; Singh, S.; Petroli, C.; Campos, J.; Dreher, K.; Payne, T.; Marshall, D.; et al. Diversity analysis of 80,000 wheat accessions reveals consequences and opportunities of selection footprints. Nat. Commun. 2020, 11, 4572. [Google Scholar] [CrossRef]
- The International Wheat Genome Sequencing Consortium (IWGSC); Appels, R.; Eversole, K.; Stein, N.; Feuillet, C.; Keller, B.; Rogers, J.; Pozniak, C.J.; Choulet, F.; Distelfeld, A.; et al. Shifting the limits in wheat research and breeding using a fully annotated reference genome. Science 2018, 361, eaar7191. [Google Scholar] [CrossRef]
- Maccaferri, M.; Sanguineti, M.C.; Mantovani, P.; Demontis, A.; Massi, A.; Ammar, K.; Kolmer, J.A.; Czembor, J.H.; Ezrati, S.; Tuberosa, R. Association mapping of leaf rust response in durum wheat. Mol. Breed. 2019, 26, 189–228. [Google Scholar] [CrossRef]
- Luo, M.; Gu, Y.Q.; Puiu, D.; Wang, H.; Twardziok, S.O.; Deal, K.R.; Huo, N.; Zhu, T.; Wang, L.; Wang, Y.; et al. Genome sequence of the progenitor of the wheat D genome Aegilops tauschii. Nature 2017, 551, 498–502. [Google Scholar] [CrossRef]
- SAS Institute. SAS/STAT User’s Guide, Version 9.1; SAS Institute, Inc.: Cary, NC, USA, 2004. [Google Scholar]
- Bradbury, P.J.; Zhang, Z.; Kroon, D.E.; Casstevens, T.M.; Ramdoss, Y.; Buckler, E.S. TASSEL: Software for association mapping of complex traits in diverse samples. Bioinformatics 2007, 23, 2633–2635. [Google Scholar] [CrossRef]
- Yu, J.; Pressoir, G.; Briggs, W.; Bi, I.V.; Yamasaki, M.; Doebley, J.F.; McMullen, M.D.; Gaut, B.S.; Nielsen, D.M.; Holland, J.B.; et al. A unified mixed-model method for association mapping that accounts for multiple levels of relatedness. Nat. Genet. 2006, 38, 203–208. [Google Scholar] [CrossRef]
- Aastveit, H.; Martens, H. ANOVA interactions interpreted by partial least squares regression. Biometrics 1986, 42, 829–844. [Google Scholar] [CrossRef]
- Crossa, J.; Vargas, M.; van Eeuwijk, F.A.; Jiang, C.; Edmeades, G.O.; Hoisington, D. Interpreting genotype by environment interaction in tropical maize using linked molecular markers and environmental covariates. Theor. Appl. Genet. 1999, 99, 611–625. [Google Scholar] [CrossRef]
- Vargas, M.; Crossa, J.; Sayre, K.; Reynolds, M.; Ramírez, M.E.; Talbot, M. Interpreting genotype x environment interaction in wheat using partial least squares regression. Crop Sci. 1998, 38, 679–689. [Google Scholar] [CrossRef]
- Vargas, M.; Crossa, J.; van Eeuwijk, F.A.; Ramírez, M.E.; Sayre, K. Using partial least squares, factorial regression and AMMI models for interpreting genotype x environment interaction. Crop Sci. 1999, 39, 955–967. [Google Scholar] [CrossRef]
- Gurung, S.; Mamidi, S.; Bonman, J.M.; Xiong, M.; Brown-Guedira, G.; Adhikari, T.B. Genome-wide association study reveals novel quantitative trait loci associated with resistance to multiple leaf spot diseases of spring wheat. PLoS ONE 2014, 9, e108179. [Google Scholar] [CrossRef]
- Juliana, P.; He, X.; Poland, J.; Shrestha, S.; Joshi, A.K.; Huerta-Espino, J.; Govindan, V.; Crespo-Herrera, L.A.; Mondal, S.; Kumar, U.; et al. Genome-wide association mapping indicates quantitative genetic control of spot blotch resistance in bread wheat and the favorable effects of some spot blotch loci on grain yield. Front. Plants Sci. 2022, 13, 1835090. [Google Scholar] [CrossRef] [PubMed]
- Su, J.; Zhao, J.; Zhao, S.; Li, M.; Pang, S.; Kang, Z.; Zhen, W.; Chen, S.; Chen, F.; Wang, X. Genetics of resistance to common root rot (spot blotch), Fusarium crown rot, and sharp eyespot in wheat. Front. Genet. 2021, 12, 699342. [Google Scholar] [CrossRef] [PubMed]
- Wang, Y.; Bouwmeester, K.; Beseh, P.; Shan, W.; Govers, F. Phenotypic analyses of Arabidopsis T-DNA insertion lines and expression profiling reveal that multiple L-type lectin receptor kinases are involved in plant immunity. Mol. Plant-Microbe Interact. 2014, 27, 1390–1402. [Google Scholar] [CrossRef] [PubMed]
- Song, X.J.; Huang, W.; Shi, M.; Zhu, M.Z.; Lin, H.X. A QTL for rice grain width and weight encodes a previously unknown RING-type E3 ubiquitin ligase. Nat. Genet. 2007, 39, 623. [Google Scholar] [CrossRef]
- Juliana, P.; Singh, R.P.; Singh, P.K.; Poland, J.A.; Bergstrom, G.C.; Huerta-Espino, J.; Bhavani, S.; Crossa, J.; Sorrells, M.E. Genome-wide association mapping for resistance to leaf rust, stripe rust and tan spot in wheat reveals potential candidate genes. Theor. Appl. Genet. 2018, 131, 1405–1422. [Google Scholar] [CrossRef]
- Mackey, D.; Holt III, B.F.; Wiig, A.; Dangl, J.L. RIN4 interacts with Pseudomonas syringae type III effector molecules and is required for RPM1-mediated resistance in Arabidopsis. Cell 2002, 108, 743–754. [Google Scholar] [CrossRef]
- Gettins, P.G.W.; Patston, P.A.; Olson, S.T. Serpins: Structure, Function and Biology; R.G. Landes Co.: Austin, TX, USA, 1996. [Google Scholar]
- Dmochowska, B.M.; Nadolska, O.A.; Orczyk, W. Roles of peroxidases and NADPH oxidases in the oxidative response of wheat (Triticum aestivum) to brown rust (Puccinia triticina) infection. Plant Pathol. 2013, 62, 993–1002. [Google Scholar] [CrossRef]
- Sangeeta, Y.; Pramod, K.Y.; Dinesh, Y.; Kapil, D.S.Y. Pectin lyase: A review. Process Biochem. 2009, 44, 1–10. [Google Scholar] [CrossRef]
- Vemanna, S.R.; Akashata, D.; Seonghee, L.; Sunhee, O.; Hee-Kyung, L.; Liang, S.; Muthappa, S.K.; Kirankumar, S.M. Ribosomal protein QM/RPL10 positively regulates defence and protein translation mechanisms during nonhost disease resistance. Mol. Plant Pathol. 2020, 21, 1481–1494. [Google Scholar] [CrossRef]






| Pedigree of the DW Parents | DW Parents | Number of Progeny (Ae. tauschii) | SHW | ||
|---|---|---|---|---|---|
| SB Score | Reaction Type | Mean SB Scores | Mean Reaction Type | ||
| 68.111/RGB-U//WARD | 3.6 | S | 7 | 1.7 | MR |
| 68.111/RGB-U//WARD RESEL/3/STIL | 3.4 | MS | 1 | 1.5 | R |
| 68.111/RGB-U//WARD/3/FGO/4/RABI | 3.2 | MS | 31 | 1.5 | R |
| 68112/WARD | 3.2 | MS | 3 | 1.3 | R |
| 6973/WARD.7463//74110 | 3.1 | MS | 13 | 1.3 | R |
| ACONCHI 89 | 3.0 | MS | 2 | 1.7 | MR |
| ALG86/4/FGO/PALES//MEXI_1/3/RUFF/FGO/5/ENTE | 2.7 | MS | 31 | 1.5 | R |
| ALTAR 84 | 2.6 | MS | 1 | 2.3 | MR |
| ARLIN_1 | 2.5 | MR | 4 | 1.6 | MR |
| BOTNO | 2.5 | MR | 30 | 1.8 | MR |
| CERCETA | 2.4 | MR | 13 | 1.5 | R |
| CHEN_7 | 2.3 | MR | 4 | 1.5 | R |
| CPI8/GEDIZ/3/GOO//ALB/CRA | 2.3 | MR | 12 | 1.4 | R |
| CROC_1 | 2.3 | MR | 3 | 1.7 | MR |
| D67.2/PARANA 66.270 | 2.3 | MR | 31 | 1.8 | R |
| DECOY 1 | 2.2 | MR | 1 | 1.8 | MR |
| DVERD_2 | 2.1 | MR | 4 | 1.6 | MR |
| FALCIN_1 | 2.0 | MR | 39 | 1.5 | R |
| FGO/USA2111 | 2.0 | MR | 3 | 1.9 | MR |
| GAN | 1.9 | MR | 7 | 2.1 | MR |
| GARZA/BOY | 1.8 | MR | 3 | 2.6 | MS |
| GREEN | 1.7 | MR | 4 | 2.0 | MR |
| KAPUDE_1 | 1.5 | R | 13 | 1.6 | MR |
| LARU | 1.4 | R | 30 | 1.5 | R |
| LCK59.61 | 1.3 | R | 54 | 1.8 | MR |
| LOCAL RED | 1.3 | R | 4 | 1.5 | R |
| RABI//GS/CRA | 1.3 | R | 6 | 1.9 | MR |
| RASCON | 1.3 | R | 1 | 1.0 | R |
| ROK/KML | 1.3 | R | 20 | 1.8 | MR |
| SCAUP | 1.3 | R | 7 | 1.9 | MR |
| SCOOP_1 | 1.2 | R | 3 | 1.2 | R |
| SCOT/MEXI_1 | 1.2 | R | 2 | 1.2 | R |
| SHAG_22 | 1.1 | R | 2 | 1.9 | MR |
| SNIPE/YAV79//DACK/TEAL | 1.1 | R | 4 | 1.3 | R |
| SORA | 1.1 | R | 1 | 1.4 | R |
| STY,DR/CELTA//PALS/3/SRN_5 | 1.1 | R | 14 | 1.6 | MR |
| TK SN1081 | 1.0 | R | 7 | 1.3 | R |
| YAR | 1.0 | R | 5 | 1.8 | MR |
| YARMUK | 1.0 | R | 4 | 1.9 | MR |
| YAV_2/TEZ | 1.0 | R | 1 | 1.3 | R |
| Chirya 3 (R check) | 1.3 | R | - | 1.4 | R |
| Sonalika (S check) | 4.2 | S | - | 4.0 | S |
| Ciano T79 (S check) | 4.3 | S | - | 4.0 | S |
| Francolin (MS check) | 2.7 | MS | - | 2.8 | MS |
| Chr. | Marker ID | Physical Position (CS) Ref Seq v1.0) | Chr | Genetic Position (cM) | BLASTN to I WGSC Ref Seq V1.0 | BLAST to Ref Seq Svevo | BLAST to Ref Seq Ae. tauschii | Gene (s) | Frequency of Resistance Marker Allele | p-Value | Marker R2 | −log10 p-Value | Effect of Allele |
|---|---|---|---|---|---|---|---|---|---|---|---|---|---|
| 1B | 4261287 | 1B | 51.29 | 1B: 17,537,160–17,537,233 | no good hit found | no good hit found | 0.88 | 9.83 × 10−4 | 0.04 | 3.01 | −0.29 | ||
| 1B | 7335825 | 1B | 52.56 | no good hit found | no good hit found | no good hit found | 0.83 | 4.96 × 10−4 | 0.04 | 3.30 | −0.19 | ||
| 1B | 5582520 | 1B | 96.91 | no good hit found | no good hit found | no good hit found | 0.89 | 2.70 × 10−4 | 0.04 | 3.57 | −0.26 | ||
| 1B | 1145134 | 406039536 | 1B | 98.03 | 1B: 406,039,533–406,039,608 | 1B: 399,260,866–399,260,941 | 0.63 | 1.64 × 10−5 | 0.06 | 4.79 | −0.05 | ||
| 1B | 100033209 | 1B | 139.32 | no good hit found | no good hit found | no good hit found | 0.83 | 8.35 × 10−4 | 0.04 | 3.08 | −0.66 | ||
| 1D | 1065667 | 1D | 12.27 | 1D: 6,248,618–6,248,679 | 1D: 6,917,141–6,917,202 | 0.94 | 4.50 × 10−4 | 0.04 | 3.35 | 0.23 | |||
| 1D | 1125496 | 416590812 | 1B | 51.289 | 1D: 416,590,808–416,590,883 | 1D: 424,102,922–424,102,997 | AET1Gv20777500 | 0.82 | 3.36 × 10−4 | 0.03 | 3.47 | NaN | |
| 1D | 12779374 | 1D | 130.64 | 1D: 486,387,813–486,387,877 | 1B: 667,753,290–667,753,354 | 1D: 493,826,928–493,826,992 | TraesCS1D02G441400 AET1Gv21021400 TRITD1Bv1G224330 | 0.12 | 6.25 × 10−4 | 0.04 | 3.20 | 0.00 | |
| 2A | 5573285 | 2A | 45.45 | no good hit found | no good hit found | no good hit found | 0.78 | 5.74 × 10−4 | 0.04 | 3.24 | 0.17 | ||
| 2A | 1144884 | 583026867 | 2A: 583,026,863–583,026,938 | 2A: 576,091,990–576,092,065 | 0.77 | 2.50 × 10−4 | 0.07 | 5.60 | 0.02 | ||||
| 2A | 3533784 | 2A | 123.66 | aligns only to 2B | 2A: 77,422,937–77,422,941 | 0.64 | 9.75 × 10−4 | 0.04 | 3.01 | −0.13 | |||
| 2B | 7492146 | 107.03 | no good hit found | no good hit found | no good hit found | 0.83 | 3.01 × 10−4 | 0.04 | 3.52 | 0.24 | |||
| 2B | 100031252 | 55.48 | no good hit found | no good hit found | no good hit found | 0.88 | 1.66 × 10−4 | 0.04 | 3.78 | NaN | |||
| 2D | 1122278 | 21621448 | 2D | 20.85 | 2D: 21,621,445–21,621,520 | 2D: 22,832,366–22,832,441 | TraesCS2D02G054200 | 0.61 | 8.39 × 10−4 | 0.04 | 3.08 | −0.14 | |
| 2D | 2243785 | 32640660 | 2B | 40.74 | 2D: 32,640,657–32,640,732 | 2D: 33,858,967–33,859,042 | TraesCS2D02G076500 | 0.86 | 2.46 × 10−4 | 0.04 | 3.61 | −0.18 | |
| 2D | 1089634 | 509231294 | 2D: 509,231,291–509,231,366 | 2D: 507,788,059–507,788,134 | AET2Gv20890600 | 0.05 | 3.10 × 10−4 | 0.05 | 4.51 | 0.03 | |||
| 3A | 1019955 | 474447292 | 6B | 46.69 | 3A: 474,447,288–474,447,363 | 3A: 477,078,635–477,078,710 | 0.92 | 9.28 × 10−4 | 0.04 | 3.03 | −0.46 | ||
| 3A | 2279238 | 474554774 | 3A: 474,554,770–474,554,845 | 3A: 477,190,300–477,190,375 | 0.84 | 5.27 × 10−5 | 0.05 | 4.28 | 0.33 | ||||
| 3B | 4989766 | 3B | 19.56 | no good hit found | no good hit found | no good hit found | 0.81 | 1.97 × 10−4 | 0.04 | 3.71 | 0.53 | ||
| 3B | 1283998 | 593544135.00 | 3B | 68.53 | 3B: 593,544,132–593,544,207 | 3B: 593,903,780–593,903,855 | TRITD3Bv1G194800 | 0.10 | 3.04 × 10−5 | 0.05 | 4.52 | −0.02 | |
| 3B | 4992362 | 775474348.00 | 3B: 763,236,117–763,236,191 | 3B: 775,474,345–775,474,420 | TraesCS3B02G520000 TRITD3Bv1G257410 | 0.21 | 9.91 × 10−4 | 0.04 | 3.00 | 0.02 | |||
| 3D | 1074984 | 3D | 61.81 | 3D: 401,883,953–401,884,028 | 3D: 409,258,183–409,258,258 | TraesCS3D02G291900 AET3Gv20689000 | 0.86 | 9.10 × 10−4 | 0.04 | 3.04 | 0.17 | ||
| 3D | 1011260 | 520678096 | 3D | 82.16 | 3D: 520,678,093–520,678,168 | 3D: 529,110,490–529,110,565 | TraesCS3D02G407000 AET3Gv20921800 | 0.21 | 1.83 × 10−4 | 0.04 | 3.74 | −0.05 | |
| 4A | 1351280 | 629433955.00 | 4A: 629,433,952–629,434,027 | 4A:623,641,790–623,641,858 | TraesCS4A02G355400 | 0.84 | 1.78 × 10−4 | 0.04 | 3.75 | −0.06 | |||
| 4A | 1162615 | 4A | 96.08 | 4A: 661,535,726–661,535,794 | 4A:661,278,198–661,278,266 | 0.87 | 9.57 × 10−4 | 0.04 | 3.02 | −0.26 | |||
| 4A | 100036641 | 4A | 96.36 | no good hit found | no good hit found | no good hit found | 0.92 | 8.42 × 10−6 | 0.06 | 5.07 | −0.39 | ||
| 4A | 100039440 | 4A | 113.91 | aligns to many chromosomes but less than 100% | 4A:693,427,125–693,427,193 4A:693,425,785–693,425,853 | 0.83 | 8.99 × 10−4 | 0.04 | 3.05 | −0.32 | |||
| 4D | 3023637 | 474561316 | 4D | 66.12 | no good hit found | no good hit found | no good hit found | 0.05 | 4.86 × 10−4 | 0.04 | 3.31 | −0.02 | |
| 4D | 2243087 | 54178331 | 4D: 51,304,835–51,304,903 | 4D:54,178,332–54,178,400 | 0.07 | 2.61 × 10−5 | 0.05 | 4.58 | 0.01 | ||||
| 5A | 3570010 | 521764788 | 5A | 36.99 | 5A: 521,764,784–521,764,859 | 5A:484,938,946–484,939,014 | 0.02 | 2.40 × 10−4 | 0.03 | 3.62 | NaN | ||
| 5A | 1046932 | 622389460 | 5A: 622,389,461–622,389,529 4A:552297214–552297282 | 5A:583,637,584–583,637,652 4A:545,007,545–545,007,613 | 0.85 | 5.52 × 10−4 | 0.03 | 3.26 | NaN | ||||
| 5D | 100016153 | 232599413 | 5D: 232,599,413–232,599,475 5A:322,677,280–322,677,342 | 5A:316,073,030–316,073,092 | 5D:246,553,454–246,553,516 | AET5Gv20379200, TraesCS5A02G146400 TRITD5Av1G111170 | 0.72 | 9.35 × 10−4 | 0.04 | 3.03 | 0.32 | ||
| 5D | 1086529 | 410253879 | 5A | 36.99 | 5D: 410253875–410253950 | 5D:418,190,498–418,190,566 | 0.89 | 2.65 × 10−4 | 0.04 | 3.58 | 0.21 | ||
| 6D | 1698662 | 42940457.00 | 1B | 148.15 | 6D: 42,940,453–42,940,522 | 6D: 64,808,834–64,808,903 | 0.76 | 1.13 × 10−4 | 0.05 | 3.95 | −0.27 | ||
| 7A | 4002611 | 7938756.00 | 7A | 7.25 | 7A:7,938,757–7,938,825 | 7A:6,228,579–6,228,647 | TraesCS7A02G019400 TRITD7Av1G003410 | 0.10 | 8.88 × 10−5 | 0.05 | 4.05 | −0.04 | |
| 7A | 1095642 | 7A | 75.85 | no good hit found | no good hit found | no good hit found | 0.88 | 2.90 × 10−5 | 0.05 | 4.54 | −0.29 | ||
| 7A | 990293 | 621213334.00 | 7A | 88.42 | 4A:142,973,443–142,973,511 7A:621,213,334–621,213,402 | 4A:140,470,489–140,470,557 7A:616,593,441–616,593,509 | 0.85 | 3.11 × 10−5 | 0.05 | 4.51 | −0.03 | ||
| 7B | 100011110 | 7B | 46.26 | no good hit found | no good hit found | no good hit found | 0.84 | 5.27 × 10−5 | 0.05 | 4.28 | −0.23 | ||
| 7D | 2245411 | 2D | 118.19 | 7D: 69,417,014–69,417,082 | 7D: 70,389,436–70,389,511 | 0.89 | 9.54 × 10−4 | 0.04 | 3.02 | −0.14 | |||
| 7D | 1240012 | 150762254 | 5B | 98.36 | 7D: 150,762,250–150,762,325 | 2B: 196,456,606–196,456,681 | 7D: 151,389,082–151,389,157 | TRITD2Bv1G075350 | 0.89 | 3.19 × 10−5 | 0.05 | 4.50 | 1.11 |
| 7D | 22765212 | 268565893 | 7D: 268,565,890–268,565,965 | 7D: 270,502,277–270,502,352 | TraesCS7D02G278500 AET7Gv20675900 | 0.05 | 3.15 × 10−5 | 0.05 | 4.50 | 0.02 |
Publisher’s Note: MDPI stays neutral with regard to jurisdictional claims in published maps and institutional affiliations. |
© 2022 by the authors. Licensee MDPI, Basel, Switzerland. This article is an open access article distributed under the terms and conditions of the Creative Commons Attribution (CC BY) license (https://creativecommons.org/licenses/by/4.0/).
Share and Cite
Lozano-Ramirez, N.; Dreisigacker, S.; Sansaloni, C.P.; He, X.; Sandoval-Islas, J.S.; Pérez-Rodríguez, P.; Carballo, A.C.; Diaz, C.N.; Kishii, M.; Singh, P.K. Genome-Wide Association Study for Spot Blotch Resistance in Synthetic Hexaploid Wheat. Genes 2022, 13, 1387. https://doi.org/10.3390/genes13081387
Lozano-Ramirez N, Dreisigacker S, Sansaloni CP, He X, Sandoval-Islas JS, Pérez-Rodríguez P, Carballo AC, Diaz CN, Kishii M, Singh PK. Genome-Wide Association Study for Spot Blotch Resistance in Synthetic Hexaploid Wheat. Genes. 2022; 13(8):1387. https://doi.org/10.3390/genes13081387
Chicago/Turabian StyleLozano-Ramirez, Nerida, Susanne Dreisigacker, Carolina P. Sansaloni, Xinyao He, José Sergio Sandoval-Islas, Paulino Pérez-Rodríguez, Aquiles Carballo Carballo, Cristian Nava Diaz, Masahiro Kishii, and Pawan K. Singh. 2022. "Genome-Wide Association Study for Spot Blotch Resistance in Synthetic Hexaploid Wheat" Genes 13, no. 8: 1387. https://doi.org/10.3390/genes13081387
APA StyleLozano-Ramirez, N., Dreisigacker, S., Sansaloni, C. P., He, X., Sandoval-Islas, J. S., Pérez-Rodríguez, P., Carballo, A. C., Diaz, C. N., Kishii, M., & Singh, P. K. (2022). Genome-Wide Association Study for Spot Blotch Resistance in Synthetic Hexaploid Wheat. Genes, 13(8), 1387. https://doi.org/10.3390/genes13081387

