You are currently viewing a new version of our website. To view the old version click .
Agronomy
  • Article
  • Open Access

14 September 2025

Multi-Stage Salt Tolerance in Leymus chinensis: Contrasting Responses at Germination and Seedling Stages

,
,
,
,
,
,
and
1
State Key Laboratory of Black Soils Conservation and Utilization, Northeast Institute of Geography and Agroecology, Chinese Academy of Sciences, Changchun 130102, China
2
Key Laboratory of Vegetation Ecology of the Ministry of Education, Jilin Songnen Grassland Ecosystem National Observation and Research Station, Institute of Grassland Science, Northeast Normal University, Changchun 130024, China
*
Authors to whom correspondence should be addressed.
This article belongs to the Section Grassland and Pasture Science

Abstract

Soil salinity poses a significant challenge for global agriculture and ecosystems, severely impacting plant growth and land-use efficiency. Leymus chinensis (L. chinensis) is a perennial grass with a high potential for saline soil restoration, yet little is known about whether its salt tolerance during germination aligns with that during seedling development, which are considered the most salt-sensitive stages of its life cycle. Therefore, to investigate whether there is a correlation between salt tolerance during germination and the seedling stage, we evaluated the germination, growth, and survival of 10 genotypes of (G1–G10) L. chinensis under 0, 50, 100, and 150 mM NaCl stress over 12 weeks. Key indicators, including germination traits (germination percentage, radicle length, and shoot length), plant height, and survival rate, were integrated into stage-specific Comprehensive Evaluation Values (D value) to quantify salt tolerance. Salt stress significantly suppressed germination and seedling performance, with inter-genotypic variation. For example, G3 showed only an 18.0% reduction in germination percentage and 62.5% survival rate at 150 mM NaCl, while other genotypes had a 42.0–88.0% germination loss and over 90.0% mortality. However, a correlation analysis showed a positive yet non-significant correlation between D-Germination and D-Survival. Notably, D-Plant Height was negatively correlated with both D-Germination and D-Survival, with G3 and G8 displaying contrasting stress adaptation strategies. Collectively, these results indicate that salt tolerance in L. chinensis is both stage-specific and genotype-specific and that performance at germination does not reliably predict later survival. The findings of this study provide valuable germplasm resources and a theoretical basis for forage breeding and grassland restoration. The identified genotypes, G3 and G8, can serve as important materials for research on salt tolerance mechanisms and breeding programs.

1. Introduction

Soil salinization is a global environmental issue, and its impact is expanding due to population growth and ecological degradation [1,2]. Currently, the global area of salinized soils exceeds 8.33 × 108 hm2, accounting for approximately 8.7% of the total land area, including 3.51 × 107 hm2 in China [3]. High salt content, strong alkalinity, water scarcity, and poor structure restrict plant growth and reduce vegetation cover, weakening soil stability and accelerating land degradation [4,5]. Beyond threatening ecosystem stability, salinization also causes substantial economic losses to agriculture, especially forage production and the livestock industry [6]. Among various management strategies, planting saline-tolerant plants is considered an important method for improving saline soils and restoring vegetation [7,8,9].
Salt stress is an important environmental factor triggered by soil salinization, posing a serious threat to plant growth and survival [10]. This abiotic stress primarily exerts its detrimental effects by causing osmotic imbalances and ion toxicity, and it ultimately inhibits plant growth [11,12,13]. Collectively, these disturbances lead to suppressed seed germination vigor, inhibited radicle and hypocotyl elongation, and compromised seedling establishment and growth. Salt tolerance is a critical adaptive mechanism that enables plants to cope with salt stress, which often exhibits significant intraspecific variation [14,15]. Moreover, salt tolerance can change across the different developmental stages of plants. For example, rice seedlings exhibit a significantly stronger growth inhibition under salt stress compared to plants at the reproductive stage [16]. Seed germination and seedling growth stages are known to be more sensitive for most plant species [17]. Tolerance to salt stress at the germination stage and at seedling emergence determines better plant establishment in saline soils [18,19]. This raises a critical research question: is salt tolerance at the germination stage consistent with that of the seedling stage? That is, does strong salt tolerance at the germination stage imply smooth survival through the seedling stage as well? Addressing this question seems to be necessary for the development and production of salt-tolerant forage grass in saline conditions.
Leymus chinensis (L. chinensis) is a perennial herbaceous plant with a strong salt and alkali tolerance [20]. It has high yield, good quality, and well-developed underground rhizomes, making it a high-quality forage and ecological grass [21,22]. It holds significant application potential in the restoration and improvement of degraded grasslands, artificial grassland establishment, and the development of agriculture and animal husbandry. However, L. chinensis is most sensitive to salinity during the germination and seedling stages, with salt tolerance significantly increasing in the adult stage [23]. The successful establishment of L. chinensis in saline environments depends critically on overcoming salt stress during both the germination and seedling stages. At present, there have been many studies on the response of L. chinensis seeds to salt stress, such as the effects of different salt species, salt concentration, and pH stress on seed germination and seedling growth, and the response mechanism is discussed from the aspects of seed germination, dormancy, and physiological changes [24,25,26]. However, few studies have focused on salt tolerance at the seedling stage and its relationship with tolerance during germination.
To clarify the response patterns of L. chinensis to salt stress during the germination and seedling stages and their inter-stage correlations to identify salt-tolerant L. chinensis genotypes, we selected 10 genotypes of L. chinensis seeds and continuously cultivated them for 12 weeks, from the germination stage to the end of the seedling stage. A multi-stage dynamic assessment was conducted to evaluate salt tolerance in each genotype. We address the following specific questions: (1) do different genotypes of L. chinensis exhibit varying responses to salt stress, and how do they respond to salt stress at different growth stages? (2) Is salt tolerance consistent between the germination and seedling stages? (3) Can contrasting adaptation strategies be identified between different genotypes?

2. Materials and Methods

2.1. Seed Materials

The seeds used in this study were derived from stable Leymus chinensis breeding lines that had been developed through long-term hybridization programs in the laboratory. Seeds were stored in paper bags at 4 °C until the experiment began in November 2023. A total of 10 genotypes, labeled as G1, G2, G3, G4, G5, G6, G7, G8, G9, and G10, respectively, were selected for the experiment. Visibly filled L. chinensis seeds were used in the study.

2.2. Germination Test

L. chinensis seeds were sterilized in a 0.1% HgCl2 solution for 10 min, rinsed three times with distilled water, and dried at room temperature before germination. A total of 25 seeds were sown in 9 cm Petri dishes containing 0.7% agar-solidified medium with 0, 50, 100, and 150 mM NaCl. Each genotype × NaCl level was represented by four independent Petri dish replicates. The experiment was conducted in an incubator (Harbin, China) at a fluctuating temperature of 7/28 °C, a controlled photoperiod of 12 h dark/12 h light, 60% relative humidity, and a light intensity of 54 μmol·m−2·s−1. Radicle emergence was considered germination. The number of germinated seeds was recorded daily. The experiment was terminated when no new germination occurred for three consecutive days, after which the germination percentage was calculated. At the end of the experiment, five seedlings were collected from each Petri dish to measure radicle and shoot lengths (radicle length and shoot length refer to the distance from the seed to the tip of the longest radicle and the longest leaf, respectively) with a straightedge, and the radicle-to-shoot ratio was calculated. The following formulas were used for the calculations:
Germination percentage (GP): G/N × 100% (where G is the number of germinated seeds under each treatment and N is the total number of test seeds).
Radicle shoot ratio (R/S): RL/SL (where RL is the radicle length and SL is the shoot length).

2.3. Hydroponics Experiment

All seedlings from each Petri dish were transferred to a hydroponic system. They were placed in 1/2 Murashige and Skoog (MS) nutrient solution containing NaCl (50, 100, and 150 mM), while the control group was maintained in 1/2 MS nutrient solution without stress. The nutrient solution was replaced every three days. Culture vessels were arranged in a completely randomized design, and their positions were re-randomized weekly to minimize environmental effects. Eight seedlings were randomly selected as target plants in each replicate for plant height and survival assessments. Plant height (the vertical distance from the base of the stem to the highest point of the plant) at the seedling stage was measured after three weeks of hydroponic culture, and the number of surviving plants and survival rates were recorded after eight weeks of hydroponic culture. The experiments were conducted in a controlled growth chamber with a constant temperature of 26 ± 0.5 °C, 12 h dark/12 h light, and a light intensity of 400 μmol·m−2·s−1. Figure 1 illustrates the entire flow of the experiment. The following formula was used for the calculation:
Survival rate (SR): (Number of surviving plants/Number of target plants) × 100%
Figure 1. The seeds of Leymus chinensis were continuously cultured from germination to the end of the seedling stage, lasting a total of 12 weeks.

2.4. Calculation of the Comprehensive Evaluation Value of Salt Tolerance

To comprehensively evaluate salt tolerance based on multiple indicators, we calculated the Comprehensive Evaluation Value (D value) following established methods [27]. Salt tolerance of Leymus chinensis genotypes was evaluated using the relative values of each indicator.
The relative value of each indicator = (Measured value at salt concentration/Measured value at the control) × 100%
The relative value of each indicator is standardized using the fuzzy membership function, and the measured data are transformed according to the fuzzy membership function formula, as shown below:
U X ijk =   X ijk X min X max X min
where U X ijk is the membership degree of the k indicators for the j salt concentration of the i genotype, and Xmax and Xmin are the maximum and minimum values of the k indicators across all genotypes, respectively.
The coefficient of the variation method is used to calculate the standard deviation coefficient Vj using Formula (2), and the weight coefficients Wj for each indicator are obtained after normalization using Formula (3).
V i j k = U X ijk U X - ijk 2 1 / 2 U X - ijk
W ijk = V ijk / V ijk
The formula for calculating the Comprehensive Evaluation Value (D value) is
D = U X ijk × W ijk
D values for the germination stage (germination percentage, radicle length, and shoot length), plant height, and survival rate were calculated using the formulas above.

2.5. Data Analysis

Generalized linear models (GLMs) with binomial distribution were used to evaluate the effects of different treatments on the germination percentage and survival rate. Model overdispersion was assessed using the check_overdispersion function from the R package performance. Linear models (LMs) were used to analyze the effects of different treatments on radicle and shoot length, radicle shoot ratio, and plant height. The significance of factors for each experiment was assessed using chi-squared tests and F-tests. Post hoc multiple comparisons of means were conducted using Tukey’s test, with results considered statistically significant at p < 0.05. Pearson correlation analysis was used to examine the relationship between salt tolerance at the germination and seedling stages. Cluster analysis of 10 L. chinensis genotypes was conducted using Ward’s method with Euclidean distance. All statistical analyses and graphing were performed using R version 4.4.1.3.

3. Results

3.1. Response to Salt Stress During the Germination Stage

Genotype, salt concentration, and their interaction significantly affected the germination percentage, radicle and shoot lengths, plant height, and survival rate of L. chinensis (Table 1). A low salt concentration (50 mM) had no significant effect on seed germination in most genotypes, whereas 100 mM and 150 mM NaCl significantly inhibited the germination of L. chinensis seeds. At 150 mM NaCl, the germination percentages of G3 and G8 were the highest at 50.0 ± 6.0% and 53.0 ± 3.4%, respectively. Compared with the control, the germination percentage of G3 was reduced by 18.0%, while those of the other genotypes decreased by 42.0% to 88.0% (Figure 2).
Table 1. Effects of NaCl, genotype, and their interaction on seed germination percentage, radicle length, shoot length, radicle shoot ratio, plant height, and survival rate of Leymus chinensis.
Figure 2. Effects of (a) control, (b) 50 mM, (c) 100 mM, (d) 150 mM NaCl on seed germination percentage of different genotypes of Leymus chinensis at the fourth week of stress application. Data are means (n = 4) ± SE. Different lowercase letters on the column indicate significant differences between different genotypes at p < 0.05 level.
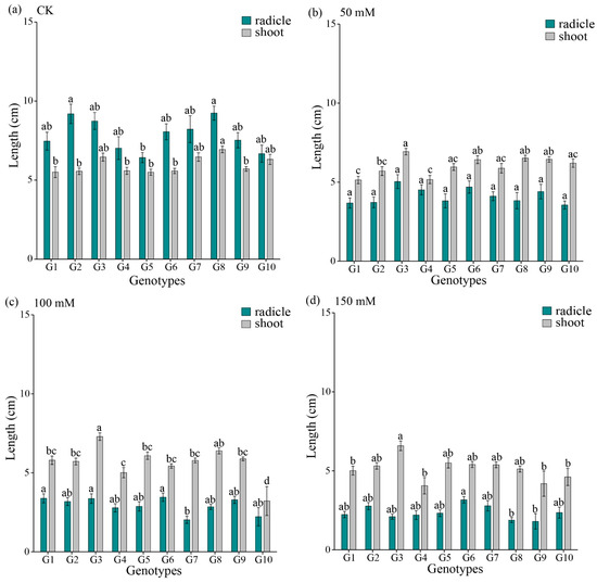
Radicle length of L. chinensis was significantly inhibited even under low-concentration salt stress (50 mM NaCl). At a salt concentration of 100 mM, the radicle lengths of G1, G3, and G6 were significantly longer than that of G7. The radicle lengths of G6 were significantly longer than those of G8 and G9 at a salt concentration of 150 mM. The shoot length was significantly inhibited only under 150 mM NaCl stress, and G3 had the highest shoot length across all salt concentrations (Figure 3). The radicle shoot ratio of all genotypes under salt stress was significantly lower than that of the control (Table 2).
Figure 3. Effects of (a) control, (b) 50 mM, (c) 100 mM, (d) 150 mM NaCl on radicle and shoot length at the germination stage of different genotypes of Leymus chinensis at the fourth week of stress application. Means (n = 4) ± SE. Different lowercase letters on the green and gray columns indicate significant differences in radicle length and shoot length for different genotypes at p < 0.05 level, respectively.
Table 2. Radicle shoot ratio of different genotypes of Leymus chinensis under different NaCl concentrations at the fourth week of stress application.

3.2. Response to Salt Stress During the Seedling Stage

Plant height was significantly inhibited by salt stress. G8 exhibited the highest plant height at all salt concentrations, 13.8 ± 0.4 cm, 11.8 ± 0.9 cm, and 9.0 ± 0.6 cm, respectively, which was significantly higher than those of most other genotypes. G6 exhibited the lowest plant height, with a height of 6.6 ± 0.4 cm at 150 mM NaCl, significantly lower than those of G3, G5, and G8 (Figure 4).
Figure 4. Effects of (a) control, (b) 50 mM, (c) 100 mM, (d) 150 mM NaCl on plant height at the seedling stage of different genotypes of Leymus chinensis at the seventh week of stress application. Means (n = 4) ± SE. Different lowercase letters on the column indicate significant differences between different genotypes at p < 0.05 level.
All genotypes showed a decreasing trend in survival with increasing salt concentration, except for G1 and G3, which showed a slightly higher survival rate under 150 mM NaCl stress than under 100 mM, but it was not significant. No significant differences were observed in the survival rates of genotypes under the control and 50 mM NaCl. At 100 mM NaCl, G2, G4, and G6 exhibited the highest survival rates of 75.0 ± 12.5%, 70.8 ± 11.0%, and 75.0 ± 7.2%, respectively, significantly higher than that of G10. At the highest salt concentration (150 mM NaCl), G3 exhibited the highest survival rate of 62.5 ± 7.2%, significantly higher than that of G4, G6, G7, G8, G9, and G10. Meanwhile, G4 and G6 had the lowest survival rate of 8.3 ± 4.2% (Figure 5).
Figure 5. Effects of different NaCl concentrations on survival rate at the seedling stage of different genotypes of Leymus chinensis at the twelfth week of stress application. Means (n = 4) ± SE. Different lowercase letters on the column indicate significant differences between different genotypes at p < 0.05 level.

3.3. Relationship Between Salt Tolerance at the Germination and Seedling Stage

To investigate the relationship between the germination and seedling stage salt tolerance of L. chinensis, a Pearson correlation analysis was performed on the Comprehensive Evaluation Values (D value) of the 10 genotypes. D-Germination showed a positive yet non-significant (r = 0.48, p = 0.156) correlation with D-Survival (Figure 6b). D-Plant Height was significantly negatively correlated with both D-Germination (r = −0.84, p = 0.002) and D-Survival (r = −0.66, p = 0.038) (Figure 6a,c). Notably, G3 (D-Germination = 0.76, D-Plant Height = 0.06, and D-Survival = 0.73) and G8 (D-Germination = 0.33, D-Plant Height = 0.91, and D-Survival = 0.29) serve as representative examples supporting this trend. A cluster analysis grouped 10 genotypes into four distinct clusters, with G3 and G8 assigned to different groups (Figure S1).
Figure 6. Correlation between (a) D-Germination and D-Plant Height, (b) D-Germination and D-Survival, (c) D-Plant Height and D-Survival. D-Germination is the D value of the germination stage, D-Plant Height and D-Survival are the D values of plant height and survival rate, respectively. Different colored circles represent different genotypes of Leymus chinensis.

4. Discussion

In this study, we assessed the dynamics of salt tolerance in 10 genotypes of L. chinensis from seed germination to plant survival over 12 weeks and found that (i) pronounced genotype-specific responses to salinity were observed across developmental stages; (ii) divergence in salt stress adaptation strategies existed within the L. chinensis population, with G3 and G8 exhibiting diametrically opposite performances; and (iii) no significant positive correlation was detected between the germination-stage and seedling-stage tolerance, with plant survival showing poor predictability based on germination parameters. These findings revealed salt tolerance dynamics of L. chinensis under saline stress, offering novel perspectives for degraded grassland restoration, plant-based approaches for remediating saline land, and precision breeding of stress-resilient forage grasses. Although the study focuses on early stages, extrapolation to reproductive phases is still limited.

4.1. Inhibitory Effects of Salt Stress on Early Development in L. chinensis

NaCl phytotoxicity operates through two primary mechanisms [28,29,30]: osmotic stress through reduced water potential impairs seed imbibition, delays metabolic activation, and limits radicle emergence by restricting cell expansion; and ionic toxicity via Na+ accumulation that disrupts mitochondrial respiration and triggers reactive oxygen species (ROS) accumulation, leading to cellular structural damage and, in severe cases, loss of seed viability. Seed germination is the critical initial stage in a plant’s life cycle, holding significant importance for the seedling establishment and future plant growth [31,32]. In this study, we found that seed germination was significantly inhibited by high concentrations of salt stress, with a mean germination percentage reduction of 58.0% among the studied genotypes at 150 mM NaCl. This phenomenon is consistent with the general response pattern observed in perennial forage grasses [24,33,34].
Salt-induced growth suppression in root and shoot systems represents a universal plant stress response. In this study, we demonstrated that both radicle and shoot lengths of L. chinensis at the germination stage decreased with an increasing salt concentration. At 50 mM NaCl, radicle elongation was significantly inhibited with a concomitant decrease in the radicle shoot ratio. Shoot length did not show significant changes until the concentration reached 150 mM NaCl, indicating that the radicle of L. chinensis is more sensitive to salt stress than the above-ground parts, which appears to be a characteristic of L. chinensis [35,36,37]. Salt stress-induced osmotic stress and ionic toxicity limit plant water and nutrient uptake [38,39], inhibiting cell elongation and tissue development [40], and ultimately leading to radicle and shoot lengths that are significantly shorter than normal conditions. In addition, direct exposure of the root system to the saline environment and prolonged contact with salts result in the accumulation of more toxic ions (such as Na+ and Cl) in the roots [41,42], which is the primary reason why the radicle of L. chinensis is more severely inhibited by salt stress. Under high salt stress (150 mM NaCl), plant height at the seedling stage decreased by an average of 40% compared with the control. G4 and G6 exhibited more than 90% plant mortality. Overall, these findings suggest that the early developmental stages of L. chinensis are highly sensitive to salinity. Under salt stress, germination, radicle elongation, and seedling establishment are inhibited, with the root system showing greater sensitivity than the shoot.

4.2. Genotypic Variation in L. chinensis and the Contrasting Adaptation Strategies of G3 and G8 Under Salinity

Considerable variation in salt tolerance was observed among L. chinensis genotypes. G3 demonstrated a pronounced salt tolerance advantage during germination, with its germination percentage at 150 mM NaCl reduced by only 18.0%, whereas the other genotypes showed decreases ranging from 42.0% to 88.0%. While most seedlings of G4 and G6 exhibited a high mortality, G1, G2, and G3 were able to maintain approximately 60% plant survival.
Notably, the analysis of D values revealed a significant negative correlation between D-Plant Height and both D-Germination and D-Survival, suggesting substantial variation among genotypes in balancing growth and survival under salt stress. In particular, G3 and G8 displayed markedly contrasting responses, which may reflect the distinct genotype-specific mechanisms of salt tolerance. Studies have shown that plants reduce growth and Na+ uptake by inhibiting root elongation [43]. And Yang et al. found that different oak species employed distinct strategies to maintain K+/Na+ homeostasis in roots, stems, and leaves. Salt-tolerant oak trees tended to accumulate more Na+ in their stems, even though this reduces plant height [44]. In rice, OsDSK2a plays a crucial regulatory role in balancing growth and salt tolerance by regulating the gibberellic acid (GA) metabolism, and its mutant plants exhibit a reduced plant height and enhanced salt tolerance [45]. Consistent with the above findings, G3 consistently demonstrated a superior salt tolerance, maintaining high germination and survival rates under stress, albeit with significantly inhibited shoot growth, which may indicate the involvement of analogous physiological mechanisms in this genotype. However, G8 exhibited rapid shoot elongation during early seedling establishment but at the expense of reduced germination capacity and long-term survival, which may suggest that G8 possesses salt tolerance mechanisms distinct from those of G3 at the physiological level. This may indicate a lack of effective ion transport and dysregulation of signaling pathways [46].
Moreover, the contrasting performance of G3 and G8 may also reflect a trade-off between growth and survival under salt stress. According to the growth–defense trade-off theory, limited resources in stressful environments force plants to prioritize stress response processes, often at the expense of growth [47,48], and the trade-off between growth and salt tolerance is also a mechanism to cope with salt stress [49]. However, this study did not provide an in-depth elucidation of the underlying mechanisms, and future research is needed to investigate the physiological mechanisms and growth–defense trade-offs potentially associated with the G3 and G8 genotypes.

4.3. Stage-Specific Salt Tolerance During Early Development in L. chinensis

Salt tolerance has been defined as the ability of a plant to grow and complete its life cycle in high-salinity environments [50,51]. Here, we regarded the ability to persist under stress as the criterion for salt tolerance. Although a positive correlation was observed between salt tolerance at the germination stage and final survival, this correlation was not statistically significant. Not all genotypes maintain a consistent salt tolerance across growth stages. For instance, G1 and G2 showed moderate germination-stage tolerance but achieved the highest survival rates under prolonged salt exposure. In contrast, G6 was tolerant at the germination stage but not at the seedling stage. Similar findings have been documented in alfalfa [52]. There are also genotype differences in salt tolerance within the genus Lolium (ryegrass), particularly during the germination stage. Moreover, the salt tolerance observed during germination does not necessarily correlate with that during the vegetative growth phase [53]. Wu et al. also observed that rice’s salt tolerance demonstrates stage-specific characteristics during development, with no significant correlations between germination-stage tolerance and that of subsequent developmental stages (seedling and mature plant stages) [54]. The degradation of endospermic starch serves as the primary energy source during germination [55], and the uptake of sufficient water to activate enzymes involved in reserve hydrolysis and germination initiation under saline stress constitutes a critical salt-tolerance mechanism [56]. However, with the progressive development and maturation of tissues and organs, the mechanisms shift focus to the normal functioning of photosynthesis and processes such as salinity perception, homeostatic regulation, ion translocation, and compartmentalization [44]. This developmental-stage divergence in tolerance mechanisms likely contributes to the observed inconsistency in salt tolerance across growth phases [57]. Genomic evidence from QTL mapping and genome-wide association studies (GWAS) has revealed stage-specific genetic architectures, with distinct loci governing salt tolerance during germination versus seedling stages [52,58]. These studies suggest that distinct regulatory networks may mediate salt stress responses during germination versus early vegetative development.

4.4. Limitations and Future Perspectives

Although this study provides valuable insights into the genotypic variation and stage-specific salt tolerance in L. chinensis, several limitations should be acknowledged. First, while the use of a hydroponic system was essential for controlling salt concentrations and accurately measuring growth parameters, this approach failed to simulate the complex soil environment and associated ecological factors of natural saline–alkali lands. Therefore, subsequent field trials under realistic saline–alkali conditions are necessary to evaluate the practical value of elite genotypes in grassland restoration and forage production. Second, although significant phenotypic variations were revealed, the assessment of salt tolerance in this study relied primarily on morphological indicators. There is a lack of supporting physiological and biochemical data to elucidate the underlying mechanisms. In future research, the contrasting genotypes G3 and G8 could serve as ideal materials for in-depth physiological and biochemical analyses—such as antioxidant enzyme activities, accumulation of organic solutes, endogenous hormone synthesis, and the expression of salt stress-responsive genes [59,60,61]. Finally, this study focused solely on the early developmental stages of L. chinensis. Given the stage-specific nature of salt tolerance, future investigations should extend to the entire life cycle, particularly the reproductive stage. Understanding the yield and seed quality of superior genotypes under long-term salt stress is critical for breeding resilient cultivars with enhanced salinity tolerance.

5. Conclusions

This study demonstrates that salt tolerance in Leymus chinensis is both stage-specific and genotype-specific. Early-stage salt tolerance performance does not reliably predict long-term survival capacity, highlighting the necessity of implementing multi-stage phenotypic screening in breeding programs. G3 and G8 exhibit markedly distinct adaptation strategies under salt stress. G8 is suitable for rapid vegetation establishment, whereas G3 shows greater potential for long-term ecological restoration in saline–alkali soils. These findings underscore that germplasm selection in practical applications should be aligned with specific objectives. Moreover, G3 and G8 serve as ideal contrasting materials for deciphering the physiological and genetic mechanisms underlying salt tolerance. They provide valuable genetic resources for breeding salt-tolerant forage varieties, thereby supporting sustainable pastoral production and ecological restoration in saline regions.

Supplementary Materials

The following supporting information can be downloaded at: https://www.mdpi.com/article/10.3390/agronomy15092192/s1, Figure S1: Cluster analysis of 10 Leymus chinensis genotypes based on D values.

Author Contributions

M.S. (Mingxue Shi): Investigation, Writing—original draft, Writing—review and editing, Visualization, Formal analysis, and Data curation. M.S. (Mengdan Sun): Investigation, Writing—review and editing. D.Z.: Conceptualization, Methodology, Writing—review and editing, and Data curation. S.L.: Visualization, Software, Formal analysis, and Writing—review and editing. W.Q.: Visualization, Writing—review and editing, Formal analysis, and Software. S.C.: Visualization, Writing—review and editing, Software, and Formal analysis. J.L.: Conceptualization, Methodology, and Writing—review and editing. H.M.: Conceptualization, Methodology, Writing—original draft, Writing—review and editing, Funding acquisition, Data curation, Supervision, and Formal analysis. All authors have read and agreed to the published version of the manuscript.

Funding

This research was funded by the Strategic Priority Research Program of the Chinese Academy of Sciences (No. XDA28110300), the Joint Found of the National Natural Science Foundation of China (U23A2004), the Key Projects of Jilin Province Science and Technology Development Plan (20230303008SF), and the Innovation Team Project of Northeast Institute of Geography and Agroecology, Chinese Academy of Sciences (2023CXTD02).

Data Availability Statement

The data that support the findings of this study are available from the corresponding author upon reasonable request. The data are not publicly available due to privacy or ethical restrictions.

Conflicts of Interest

The authors declare no conflicts of interest.

Abbreviations

The following abbreviations are used in this manuscript:
MSMurashige and Skoog
GLMsGeneralized Linear Models
LMsLinear Models
GPGermination Percentage
RLRadicle Length
SLShoot Length
R/SRadicle Shoot Ratio
PHPlant Height
SRSurvival Rate

References

  1. Shabala, S. Learning from halophytes: Physiological basis and strategies to improve abiotic stress tolerance in crops. Ann. Bot. 2013, 112, 1209–1221. [Google Scholar] [CrossRef]
  2. Ahmad, I.; Zhu, G.L.; Zhou, G.S.; Younas, M.U.; Suliman, M.S.E.; Liu, J.; Zhu, Y.M.; Salih, E.G.I. Integrated approaches for increasing plant yield under salt stress. Front. Plant Sci. 2023, 14, 1215343. [Google Scholar] [CrossRef]
  3. Hu, Y.; Yang, F.; Yang, N.; Jia, W.; Cui, Y. Analysis and prospects of saline-alkali land in china from the perspective of utilization. Chin. J. Soil Sci. 2023, 54, 489–494. [Google Scholar] [CrossRef]
  4. Huang, J.; Kong, Y.L.; Xu, Q.S.; Zhu, C.Q.; Zhu, L.F.; Cao, X.C.; Hong, X.Z.; Zhang, Y.H. Progresses for characteristics and amelioration measures of saline soil. Soils 2022, 50, 18–23. [Google Scholar] [CrossRef]
  5. Imadi, S.R.; Shah, S.W.; Kazi, A.G.; Azooz, M.M.; Ahmad, P. Phytoremediation of saline soils for sustainable agricultural productivity. In Plant Metal Interaction, 2nd ed.; Ahmad, P., Ed.; Elsevier: Amsterdam, The Netherlands, 2016; pp. 455–468. [Google Scholar] [CrossRef]
  6. Abebe, H.; Tu, Y. Impact of salt and alkali stress on forage biomass yield, nutritive value, and animal growth performance: A comprehensive review. Grasses 2024, 3, 355–368. [Google Scholar] [CrossRef]
  7. Shi, W.J.; Yang, J.Q.; Ma, Y. Review on saline-alkali soil improvement with planting halophyte method in arid region. J. Water Resour. Water Eng. 2015, 26, 229–234. [Google Scholar] [CrossRef]
  8. Al-Farsi, S.M.; Nawaz, A.; Anees-ur-Rehman; Nadaf, S.K.; Al-Sadi, A.M.; Siddique, K.H.M.; Farooq, M. Effects, tolerance mechanisms and management of salt stress in lucerne (Medicago sativa). Crop Pasture Sci. 2020, 71, 411–428. [Google Scholar] [CrossRef]
  9. Li, J.; Diao, Y.J.; Jiang, L.H.; He, Q.Y.; Wang, F.Z.; Hao, W.F. Exploration of ecological restoration of saline-alkali land based on NbS-Study on the salt resistance and desalination performance of three cash crops. PLoS ONE 2022, 17, e0275828. [Google Scholar] [CrossRef]
  10. Wang, Y.Y.; Wang, S.Q.; Zhao, Z.Y.; Zhang, K.; Tian, C.Y.; Mai, W.X. Progress of euhalophyte adaptation to arid areas to remediate salinized soil. Agriculture 2023, 13, 704. [Google Scholar] [CrossRef]
  11. Munns, R.; Tester, M. Mechanisms of salinity tolerance. Annu. Rev. Plant Biol. 2008, 59, 651–681. [Google Scholar] [CrossRef]
  12. Hasegawa, P.M. Sodium (Na+) homeostasis and salt tolerance of plants. Environ. Exp. Bot. 2013, 92, 19–31. [Google Scholar] [CrossRef]
  13. de la Reguera, E.; Veatch, J.; Gedan, K.; Tully, K.L. The effects of saltwater intrusion on germination success of standard and alternative crops. Environ. Exp. Bot. 2020, 180, 104254. [Google Scholar] [CrossRef]
  14. Al-Ashkar, I.; Alderfasi, A.; Ben Romdhane, W.; Seleiman, M.F.; El-Said, R.A.; Al-Doss, A. Morphological and genetic diversity within salt tolerance detection in eighteen wheat genotypes. Plants 2020, 9, 287. [Google Scholar] [CrossRef]
  15. Yu, R.; Wang, G.; Yu, X.; Li, L.; Li, C.; Song, Y.; Xu, Z.; Zhang, J.; Guan, C. Assessing alfalfa (Medicago sativa L.) tolerance to salinity at seedling stage and screening of the salinity tolerance traits. Plant Biol. 2021, 23, 664–674. [Google Scholar] [CrossRef]
  16. Lutts, S.; Kinet, J.M.; Bouharmont, J. Changes in plant response to nacl during development of rice (Oryza sativa L.) varieties differing in salinity resistance. J. Exp. Bot. 1995, 46, 1843–1852. [Google Scholar] [CrossRef]
  17. Cuartero, J.; Bolarín, M.C.; Asíns, M.J.; Moreno, V. Increasing salt tolerance in the tomato. J. Exp. Bot. 2006, 57, 1045–1058. [Google Scholar] [CrossRef]
  18. Keshavarizi, B.; Mohammed, H. Studying the effects of different levels of salinity which caused by NaCl on early and germination of Lctuca sativa L. seedling. J. Stress Physiol. Biochem. 2012, 8, 203–208. [Google Scholar]
  19. Bojović, B.; Đelić, G.; Topuzović, M.; Stanković, M. Effects of NaCl on seed germination in some species from families Brassicaceae and Solanaceae. Kragujev. J. Sci. 2010, 32, 83–87. [Google Scholar]
  20. Guo, X.F.; Qu, L.L.; Jia, Z.Y.; Yang, Z.K.; Liu, Y.L.; Wei, W.H. Research progress on salt and alkaline tolerance of Leymus chinensis. Grassl. Prataculture 2022, 34, 11–32. [Google Scholar] [CrossRef]
  21. Xia, G.M.; Chen, H.M. Plant regeneration from intergeneric somatic hybridization between Triticum aestivum L. and Leymus chinensis (Trin.) Tzvel. Plant Sci. 1996, 120, 197–203. [Google Scholar] [CrossRef]
  22. Zhu, T.C. Yang-Cao Biological Ecology, 3rd ed.; Jilin Science and Technology Press: Changchun, China, 2004; pp. 539–542. [Google Scholar]
  23. Liang, Z.W.; Wang, Z.C.; Ma, H.Y.; Yang, F.; Chen, Y.; Huang, L.H.; Kong, X.J.; Yan, C.; Wang, M.M.; Qi, C.Y. The progress in improvement of high pH saline-alkali soil in the Songnen Plain by stress tolerant plants. J. Jilin Agric. Univ. 2008, 30, 517–518. [Google Scholar] [CrossRef]
  24. Ma, H.Y.; Liang, Z.W.; Kong, X.J.; Yan, C.; Chen, Y. Effects of salinity, temperature and their interaction on the germination percentage and seedling growth of Leymus chinensis (Trin.) Tzvel. (Poaceae). Acta Ecol. Sin. 2008, 28, 4710–4717. [Google Scholar] [CrossRef]
  25. Ma, H.Y.; Lv, B.S.; Yang, H.Y.; Yan, C.; Liang, Z.W. Responses of seed germination of Leymus chinensis to environmental factors in degradedgrassland on Songnen Plain in China. Chin. J. Plant Ecol. 2012, 36, 812–818. [Google Scholar] [CrossRef]
  26. Li, Q.; Qi, D.M.; Li, X.X.; Chen, S.Y.; Yang, W.G.; Guo, X.F.; Zhang, Q.F.; Liu, H.; Dong, X.B.; Chen, L.Q.; et al. Evaluation of salt tolerance of Leymus chinensis germplasm. Grass Forage Sci. 2019, 15–21. [Google Scholar] [CrossRef]
  27. Zhu, K.; Liu, H.; Feng, C.L.; Li, B.; Liu, X.Y.; Ma, H.R. Comprehensive evaluation on the salt tolerance of seed germination of different Alfalfa varieties under salt stress. Acta Ecol. Sin. 2023, 31, 3724–3733. [Google Scholar] [CrossRef]
  28. Hao, S.H.; Wang, Y.R.; Yan, Y.X.; Liu, Y.H.; Wang, J.Y.; Chen, S. A review on plant responses to salt stress and their mechanisms of salt resistance. Horticulturae 2021, 7, 132. [Google Scholar] [CrossRef]
  29. Ye, S.H.; Huang, Z.B.; Zhao, G.B.; Zhai, R.R.; Ye, J.; Wu, M.M.; Yu, F.M.; Zhu, G.F.; Zhang, X.M. Differential physiological responses to salt stress between salt-sensitive and salt-tolerant japonica rice cultivars at the post-germination and seedling stages. Plants 2021, 10, 2433. [Google Scholar] [CrossRef]
  30. Kruthika, N.; Jithesh, M.N. Morpho-physiological profiling of rice (Oryza sativa) genotypes at germination stage with contrasting tolerance to salinity stress. J. Plant Res. 2023, 136, 907–930. [Google Scholar] [CrossRef]
  31. Abo-Kassem, E.E.M. Effects of salinity: Calcium interaction of growth and nucleid acid metabolism in five species of Chenopodiaceae. Turk. J. Bot. 2007, 31, 125–134. [Google Scholar]
  32. Hakim, M.A.; Juraimi, A.S.; Begum, M.; Hanafi, M.M.; Ismail, M.R.; Selamat, A. Effect of salt stress on germination and early seedling growth of rice (Oryza sativa L.). Afr. J. Biotechnol. 2010, 9, 1911–1918. [Google Scholar] [CrossRef]
  33. Bhattarai, S.; Lundell, S.; Biligetu, B. Effect of sodium chloride salt on germination, growth, and elemental composition of alfalfa cultivars with different tolerances to salinity. Agronomy 2022, 12, 2516. [Google Scholar] [CrossRef]
  34. Shiade, S.R.G.; Boelt, B. Seed germination and seedling growth parameters in nine tall fescue varieties under salinity stress. Acta Agric. Scand. Sect. B-Soil. Plant Sci. 2020, 70, 485–494. [Google Scholar] [CrossRef]
  35. Li, H.Y.; Ding, X.M.; Zhou, C.; Yang, Y.F. The effect of saline stress on the germination and embryo growth of three saline-grass seeds. Acta Agrestia Sin. 2004, 12, 45–50. [Google Scholar]
  36. Lin, J.X.; Li, X.Y.; Zhang, Z.J.; Wang, J.F.; Li, Z.L.; Mu, C.S. Effects of temperature, salinity, alkalinity and their interactions on seed germination and seedling growth of Leymus chinensis. Acta Agrestia Sin. 2001, 19, 1005–1009. [Google Scholar]
  37. Ma, M.Y.; Ma, H.Y.; Wang, L.; Qi, W.W.; Li, S.Y.; Zhao, D.D. Differences in the seed germination of Leymus chinensis (Poaceae) ecotypes reveal distinct strategies for coping with salinity stress: A common garden experiment. Front. Ecol. Evol. 2021, 9, 703287. [Google Scholar] [CrossRef]
  38. Mer, R.K.; Prajith, P.K.; Pandya, D.H.; Pandey, A.N. Effect of salts on germination of seeds and growth of young plants of Hordeum vulgare, Triticum aestivum, Cicer arietinum and Brassica juncea. J. Agron. Crop Sci. 2000, 185, 209–217. [Google Scholar] [CrossRef]
  39. Ouji, A.; El-Bok, S.; Mouelhi, M.; Younes, M.B.; Kharrat, M. Effect of salinity stress on germination of five tunisian lentil (Lens culinaris L.) genotypes. Eur. Sci. J. 2015, 11, 63–75. [Google Scholar]
  40. Alom, R.; Hasan, M.A.; Islam, M.R.; Wang, Q.F. Germination characters and early seedling growth of wheat (Triticum aestivum L.) genotypes under salt stress conditions. J. Crop Sci. Biotechnol. 2016, 19, 383–392. [Google Scholar] [CrossRef]
  41. Bernstein, N.; Meiri, A.; Zilberstaine, M. Root growth of avocado is more sensitive to salinity than shoot growth. J. Am. Soc. Hortic. Sci. 2004, 129, 188–192. [Google Scholar] [CrossRef]
  42. Van Zelm, E.; Zhang, Y.X.; Testerink, C. Salt tolerance mechanisms of plants. Annu. Rev. Plant Biol. 2020, 71, 403–433. [Google Scholar] [CrossRef]
  43. Geng, Y.; Wu, R.; Wee, C.W.; Xie, F.; Wei, X.; Chan, P.M.; Tham, C.; Duan, L.; Dinneny, J.R. A spatio-temporal understanding of growth regulation during the salt stress response in Arabidopsis. Plant Cell 2013, 25, 2132–2154. [Google Scholar] [CrossRef]
  44. Yang, Q.S.; Zhang, R.M.; Cao, Y.B.; Ma, G.L.; Wang, H.J.; Chen, X.X.; Li, G.L. Comprehensive evaluation of salt tolerance in six oak species (Quercus spp.): Unraveling growth-resistance trade-offs. Sci. Hortic. 2024, 338, 113835. [Google Scholar] [CrossRef]
  45. Wang, J.; Zhu, R.; Meng, Q.S.; Qin, H.; Quan, R.D.; Wei, P.C.; Li, X.Y.; Jiang, L.; Huang, R.F. A natural variation in osdsk2a modulates plant growth and salt tolerance through phosphorylation by snrk1a in rice. Plant Biotechnol. J. 2024, 22, 1881–1896. [Google Scholar] [CrossRef]
  46. Yang, X.; He, J.X.; Xu, M.; Huo, Q.Y.; Song, J.Q.; Han, W.; Lv, G.H. Salt gradient-driven adaptation in okra: Uncovering mechanisms of tolerance and growth regulation. Front. Plant Sci. 2025, 16, 1648092. [Google Scholar] [CrossRef]
  47. Zhao, Z.C.; Zhang, H.; Song, C.P.; Zhu, J.K.; Shabala, S. Mechanisms of plant responses and adaptation to soil salinity. Innovation 2020, 1, 100017. [Google Scholar] [CrossRef] [PubMed]
  48. Huot, B.; Yao, J.; Montgomery, B.L.; He, S.Y. Growth–defense tradeoffs in plants: A balancing act to optimize fitness. Mol. Plant 2014, 7, 1267–1287. [Google Scholar] [CrossRef]
  49. Liang, X.Y.; Li, J.F.; Yang, Y.Q.; Jiang, C.F.; Yan, G. Designing salt stress-resilient crops: Current progress and future challenges. J. Integr. Plant Biol. 2024, 66, 303–329. [Google Scholar] [CrossRef] [PubMed]
  50. Parida, A.K.; Das, A.B. Salt tolerance and salinity effects on plants: A review. Ecotoxicol. Environ. Saf. 2005, 60, 324–349. [Google Scholar] [CrossRef] [PubMed]
  51. Zörb, C.; Geilfus, C.M.; Dietz, K.J. Salinity and crop yield. Plant Biol. 2019, 21, 31–38. [Google Scholar] [CrossRef]
  52. Chapagain, S.; Pruthi, R.; Singh, L.; Subudhi, P.K. Comparison of the genetic basis of salt tolerance at germination, seedling, and reproductive stages in an introgression line population of rice. Mol. Biol. Rep. 2024, 51, 252. [Google Scholar] [CrossRef]
  53. Marcar, N. Salt tolerance in the genus Lolium (ryegrass) during germination and growth. Aust. J. Agric. Res. 1987, 38, 297–307. [Google Scholar] [CrossRef]
  54. Wu, J.F.; Yang, B.W.; Xiang, X.C.; Xu, L.; Yan, L.M. Identification of salt tolerance in different rice germplasm at different growth stages. Chin. Bull. Bot. 2017, 52, 77–88. [Google Scholar] [CrossRef]
  55. Damaris, R.N.; Lin, Z.; Yang, P.; He, D. The rice alpha-amylase, conserved regulator of seed maturation and germination. Int. J. Mol. Sci. 2019, 20, 450. [Google Scholar] [CrossRef]
  56. Farooq, M.; Gogoi, N.; Hussain, M.; Barthakur, S.; Paul, S.; Bharadwaj, N.; Migdadi, H.M.; Alghamdi, S.S.; Siddique, K.H.M. Effects, tolerance mechanisms and management of salt stress in grain legumes. Plant Physiol. Biochem. 2017, 118, 199–217. [Google Scholar] [CrossRef]
  57. Foolad, M.R.; Lin, G.Y. Absence of a genetic relationship between salt tolerance during seed germination and vegetative growth in tomato. Plant Breed. 1997, 116, 363–367. [Google Scholar] [CrossRef]
  58. Zhang, G.F.; Zhou, J.Z.; Peng, Y.; Tan, Z.D.; Li, L.; Yu, L.Q.; Jin, C.; Fang, S.; Lu, S.P.; Guo, L. Genome-wide association studies of salt tolerance at seed germination and seedling stages in Brassica napus. Front. Plant Sci. 2022, 12, 772708. [Google Scholar] [CrossRef] [PubMed]
  59. Chen, H.N.; Tao, L.Y.; Shi, J.M.; Han, X.R.; Cheng, X.G. Exogenous salicylic acid signal reveals an osmotic regulatory role in priming the seed germination of Leymus chinensis under salt-alkali stress. Environ. Exp. Bot. 2021, 188, 104498. [Google Scholar] [CrossRef]
  60. Yan, G.; Shi, Y.J.; Mu, C.S.; Wang, J.F. Differences in organic solute and metabolites of Leymus chinensis in response to different intensities of salt and alkali stress. Plants 2023, 12, 1916. [Google Scholar] [CrossRef]
  61. Di, D.; Qi, D.M.; Zhang, R.; Li, Q.; Cheng, L.Q.; Wu, Z.N.; Li, X.X. Salt stress-related function of the oil body-associated protein gene lcobap2b in Leymus chinensis. Gene 2025, 943, 149260. [Google Scholar] [CrossRef]
Disclaimer/Publisher’s Note: The statements, opinions and data contained in all publications are solely those of the individual author(s) and contributor(s) and not of MDPI and/or the editor(s). MDPI and/or the editor(s) disclaim responsibility for any injury to people or property resulting from any ideas, methods, instructions or products referred to in the content.

Article Metrics

Citations

Article Access Statistics

Multiple requests from the same IP address are counted as one view.