Abstract
Heavy metal pollution, particularly cadmium (Cd) contamination in water and farmland, might accumulate in natural insect enemies through the food chain. In response to this heavy metal stress, natural enemy insects adapt by altering their metabolism and behaviors. As a result, this investigation aimed to elucidate how the development, reproduction, and feeding of Harmonia axyridis Pallas (Coleoptera: Coccinellidae) are affected under Cd contamination. Compared to the control group, the developmental period of H. axyridis was prolonged, with decreased survival, predation, and body weights. Notably, adult insects exhibited deformation, including molting difficulties and wing deformities, which indicated reduced fitness. The ovarian development of female insects was delayed with reduced size, and the pre-oviposition period was prolonged under Cd contamination. Additionally, the hatching rate of offspring was significantly reduced. The Vitellogenin 1 (Vg1) and Vitellogenin 2 (Vg2) exhibited considerable changes throughout their developmental stages. Our results confirmed that the accumulation of Cd has a significant impact on the growth, development, and normal molting of H. axyridis, affecting the reproduction of H. axyridis. The aforementioned results provide valuable insights into the potential ecological effects of Cd accumulation on the food chain, which can inform strategies for pest control, ecosystem stabilization in rice fields, and potentially novel bioremediation approaches. Thereby establishing a theoretical foundation for pest control and ecosystem stabilization in rice fields under Cd contamination while simultaneously providing novel insights for bioremediation strategies.
1. Introduction
Human activities, particularly those related to industrial and agricultural practices, have resulted in substantial heavy metal pollution within ecosystems [,]. China, for example, a prominent agricultural powerhouse, frequently faces heavy metal soil contamination [], with over 2000 hm2 of farmland being adversely polluted [,]. There are two main sources of toxic metals in soil: geogenic and anthropogenic []. Cadmium (Cd) is one of the most ubiquitous and toxic heavy metal pollutants in the world [,], from both anthropogenic (i.e., industrial emission, fertilizers and pesticides, sewage sludge, wastewater, mining, and commercial/consumer products) and geogenic (volcanic, rock and soil, sedimentary deposits, mineralized rocks, and groundwater) sources []. The global exceedance rate of Cd is the highest, reaching 9.0% (−1.9%/+1.5%) []. Overloading Cd into plants, particularly food crops, has emerged as a leading threat to food security and human health [,,]. The contamination points of Cd in cultivated soil are mainly distributed in the southern rice-growing regions [,]. Rice (Oryza sativa L.), which serves as the staple food for over 50% of the global population, is particularly affected. Comparative studies reveal that the root influx rate of Cd in rice cultivars demonstrates 2.2–6.5-fold enhancement relative to wheat (Triticum aestivum L.) and corn (Zea mays L.) []. Rice could not be cultivated because of heavy metal exposure and high Cd accumulation [,].
Studies indicate that heavy metal ions accumulate within ecosystems and are transferred through the food chain []. Cd in the soil can infiltrate plant cells via specific and unspecific transporters such as iron (Fe2+), copper (Cu2+), zinc (Zn2+), calcium (Ca2+), and Magnesium (Mg2+) [,]. They are then transformed into effective forms that can be absorbed by plants through a series of reactions [] and then transferred to their organs such as stems and leaves through long-distance transport [,]. In addition to plants, both herbivorous insects and their natural enemies could accumulate Cd in the body by feeding [,,]. The oxidation–reduction balance is disrupted, energy substances are consumed, and cell membrane integrity becomes damaged, all of which lead to alterations in the physiological and biochemical markers of insects []. To ensure the sustainable development of agricultural ecosystems, the implementation of safety utilization strategies coupled with bioremediation techniques such as planting low-cadmium rice and phytoremediation have become an imperative approach for Cd-contaminated paddy fields [,].
Harmonia axyridis, known as ladybird, is an important natural enemy insect resource. It is extensively used as a biological control agent to prey on agricultural and forestry pests [], including all kinds of piercing-sucking insects such as Acyrthosiphon pisum, Megoura crassicauda, etc. []. Studies have shown that Cd in soil can be transferred to broad beans and aphids through the food chain [,]. Cryptolaemus montrouzieri and serangium japonicum feeding on Cd-contaminated herbivorous insects had a shortened lifespan, a prolonged pre-oviposition period for females, and decreased spawning and reproductive capabilities [,]; also, the energy metabolism and immune systems were significantly disrupted []. Similarly, studies on H. axyridis under the combined stress of Cd and Zn showed that both the development period and body weight were adversely affected. The concentrations of both heavy metals in the pupae were positively correlated with the heavy metal content in the aphids they consumed []. An investigation focusing on urban natural enemy insects has also underscored the influence of heavy metal pollution on the compositional structure of these communities []. However, the research and attention devoted to elucidating the implications of heavy metals on natural enemy insects remain comparatively limited. The biological control by predatory insects under Cd contamination remains inadequately characterized. Therefore, we investigated the soil–broad bean (Vicia faba)–M. crassicauda–H. axyridis system as our research model, employing different concentrations of Cd solution to explore the biotransfer of Cd and assess its toxic effects on the predatory insect.
In addition, reproduction is an important life process for insects and a crucial means of ensuring population continuity and prosperity. Vitellin (Vn) and Vitellogenin (Vg) are important for insect reproduction []. RNA interference (RNAi) to knock down the Vg gene of the male of the natural enemy Chrysopa pallens can suppress the reproduction of post-mating females []. Furthermore, vitellin (Vn), which is formed through the mediation of vitellogenin (Vg) [], provides essential nutrition and energy for egg maturation and embryo development []. After heavy metal treatment, insect ovulation time was shortened and the ovulation rate, reproductive capacity, and incubation rate were significantly reduced, usually associated with a reduction in Vg gene expression and Vn content [,]. Under Cd stress, the reproductive ability of aphids was affected. The expression level of Vg in the first generation was significantly increased, while the second to the third generations showed a downward trend []. Given these insights, the effects of Cd stress on the development, reproduction and predatory capacity of H. axyridis were investigated in this study.
2. Materials and Methods
2.1. Plants and Sources of Experienced Insects
In the experiment, the broad bean (V. faba L.) type was Qingchan No. 14; the aphid species was M. crassicauda; and the ladybirds were from species of H. axyridis. The broad bean was cultivated and the aphids reared at 19 ± 1 °C with 70 ± 5% humidity under a photoperiod of 14L:10D. Ladybirds were reared at 25 ± 1 °C with 70 ± 5% humidity under a photoperiod of 14L:10D.
2.2. Experimental Design
Based upon Wang et al., (2017) [], we choose to study the Cd contamination levels of 3.125, 6.25, 12.5, 25, and 50 mg/kg because this concentration gradient has been validated for use in studies of this type. Broad bean seeds were first soaked in Cd2+ solution prepared with different concentrations of CdCl2 for 24 h and then planted in the soil (the volume of nutrient soil–vermiculite–perlite = 12:4:2). Watering 400 mL of Cd2+ solution of the corresponding concentration every 3 days according to the growth requirements of broad beans. Each pot of broad beans (Vicia faba) was cultivated for 25 days, with 8 scheduled watering events applied during the growth period. Tap water (0 mg/kg or free from Cd) was used for soaking seeds and watering as a control.
Based on the growth of broad beans, untreated adult aphids were transferred to broad bean seedlings on the 10th day after planting by small, soft brushes. The aphids used to feed H. axyridis were from the fifth generation and subsequent generations of aphids that fed on Cd-treated broad beans. Each generation of adult aphids underwent a 10-day infection period, and after continuous treatment for 50 days, they were utilized for feeding. The experiment was completed between December 2023 and June 2024.
2.3. Determination of Developmental Period and Body Weight of H. axyridis
Eggs of H. axyridis were placed on moistened paper towels for incubation. Upon emergence, the larvae were transferred into plastic boxes (4 cm × 3 cm × 2 cm) (Huawan, Hangzhou, China). Each larva was considered as 1 replicate, and the initial number of larvae per treatment group was 15, making a total of 15 replicates. They were fed regularly every morning with sufficient number (to ensure that there were aphids left over for the next feeding) of aphids exposed to different concentrations of Cd2+ solution. Hygiene in the rearing box was maintained by daily wiping with clean cotton.
H. axyridis larvae were observed daily for molting, and the time of each molting event was recorded (either the start or the end of molting) for the calculation of developmental duration for each instar. In addition, H. axyridis were weighed within two hours of molting, commencing from the second-instar stage.
2.4. Determination of Survival Rate, Pupation Rate, and Emergence Rate of H. axyridis
This was determined for six concentrations (0, 3.125, 6.25, 12.5, 25, 50 mg/kg) and the respective numbers used were 98, 77, 85, 80, 77, and 80. The larvae of each treatment were hatched from 100 eggs. Upon hatching, single larvae were reared in a rearing box. The feeding method was in 2.3. The development period of H. axyridis for each concentration was observed daily, and the number was recorded to calculate the survival rate.
Determination of pupation rate and emergence rate: A certain number of 4th instar larvae were selected for observation, and three replicates were performed for each treatment (n = 3). Six Cd treatments were applied (0, 3.125, 6.25, 12.5, 25, 50 mg/kg). At the beginning of the experiment, the number of larvae in each per treatment group was 172, 182, 191, 179, 170, and 166, respectively. The feeding method used was described in Section 2.3. The development period of ladybirds was observed daily, and the number of pupae and adult ladybirds were also recorded daily.
2.5. Determination of Deformity Rate and Sex Ratio as Well as Phenotype Photographs of H. axyridis
The feeding method was described in Section 2.3. This was determined for six concentrations (0, 3.125, 6.25, 12.5, 25, 50 mg/kg) and the respective numbers used were 71, 98, 118, 74, 83 and 88. Each treatment was hatched from 100 eggs. The emergence condition of ladybirds was observed every day, and the number of females, males, and malformed adults were recorded to calculate the deformity rate and sex ratio. H. axyridis with the following characteristics were labeled as deformity individuals: 4th instar larvae that are unable to crawl or feed normally or cannot successfully develop into prepupae; pupae that have failed to eclose or pupal skin molting incompletely during eclosion; adults in which the membranous wings cannot be fully retracted into the elytra. In addition, a Leica EZ4 HD stereomicroscope (Leica, Wetzlar, Germany) in conjunction with the LAS EZ software (version 3.4.0) were used to capture the images of the malformed ladybirds that appeared throughout development.
Deformity rate = Vdeformed/N × 100%
Sex ratio = Vfemales/Vmales
2.6. Observation and Photographing of Female Ovary Phenotype of H. axyridis
The feeding method was in described in Section 2.3. Females on days 2 and 4 after emergence were collected, and the ovaries were dissected with pointed forceps under a Leica EZ4 HD stereomicroscope and photographed by LAS EZ software.
2.7. Determination of Preoviposition, Spawning Quantity, and Hatching Rate of H. axyridis
Adult H. axyridis feeding on aphids treated with different concentrations of Cd were used for the study. The emergence time of adults was recorded. Subsequently, they were placed in oviposition boxes (130 mm × 91 mm × 55 mm), with each replicate consisting of 5 females and 5 males. A total of five replicates were performed in each treatment group (n = 5). After that, the aphids were treated with the corresponding concentration of Cd2+ solution every day. The ladybirds were observed daily for mating and oviposition conditions, and the time of the first oviposition was recorded. The preoviposition period is the number of days between the first oviposition and the emergence of the female. Then, the number of eggs laid per day was recorded to calculate the oviposition quantity of a single female. Subsequently, the total number of eggs laid by a single female from day 1 to day 30 was counted. In addition, eggs from each group were collected, with about 400 eggs as a replicate, and 5 repeats were performed for each treatment (n = 5).
2.8. Determination of the Expression Levels of Vitellogenin and Vitellogenin Receptor Genes in Female H. axyridis
Females were collected on days 4, 7, and 10 after emergence. Three individuals constituted one replicate, with three replicates per group (n = 3). At each collection time, nine individuals were collected per treatment group. Total RNA from H. axyridis was extracted according to the manufacturer’s instructions for the Trizol reagent (Invitrogen, Carlsbad, CA, USA). The first strand of cDNA was synthesized according to the instructions of the PrimeScript RT reagent kit with gDNA Eraser (Takara, kyoto, Japan). The expression levels of Vg1, Vg2, and VgR were detected using TaKaRa TB Green ® The Premium Ex TaqTM (Tli RNaseH Plus) kit (Takara, kyoto, Japan). The primers used are presented in Table 1. The data of RT-qPCR were finally analyzed using the 2−△△CT method [].

Table 1.
The primers for real-time fluorescence quantitative PCR.
The calculation formula is as follows:
2−ΔΔCT = 2−[(CT experimental group−CT experimental group rp49)−(CT control group−CT control group rp49)]
2.9. Determination of Predatory Capacity of H. axyridis
The feeding method was the same as Section 2.3. The 4th instar larvae of H. axyridis on the first day of molting, females on the first day of emergence, and males on the first day of emergence were selected to determine their predation after 24 h of starvation. Referring to the report from Xie et al. (2014) [], our experiment set the density of aphids to 20, 60, 100, and 140. The starved H. axyridis were put in a control box (2.8 cm × 2.6 cm × 2.7 cm) and the number of aphids remaining after 24 h was recorded. The number of aphids consumed by the H. axyridis within 24 h was used as a predacious number. Each treatment was repeated eight times (n = 8).
2.10. Statistics Analysis
The survival rate, pupation rate, emergence rate, and emergence rate of H. axyridis must be calculated using formulae.
The formulae used for calculation, where A = number of larval instar, are as follows:
Survival rate of one instar = A a certain age/A1st instar × 100%
These formulae used for calculation, where A = number of 4th instar, N = pupae number, and V = number of adults, are as follows:
pupation rate = N/A4th instar × 100%
emergence rate = V/N × 100%
Tukey’s method in the one-way ANOVA of IBM SPSS Statistics 20 was used to analyze the data for significance. The GraphPad Prism version 8.4.0 software was used to draw figures. The results in the graph were represented by Mean ± standard deviation (Mean ± SD) or Mean ± standard error (Mean ± SE), and different letters in the graph indicated significant differences between the two groups (p < 0.05).
3. Results
3.1. Development Period and Body Weight of H. axyridis Under Cadmium Pollution
The duration of development from 1st instar to 2nd instar in the control group was significantly longer than that observed in the treatment group administered 25 mg/kg. Based on an integrated assessment, it is speculated that this difference in development time is related to the inconsistency in picking out newly hatched larvae at the beginning of the experiment (Table 2). However, there was no significant difference in the development time of other instars (Table 2). The 6.25 and 12.5 mg/kg treatment groups took more days than the control group to grow the 1st instar larvae into adults (Table 2). H. axyridis body weight remained constant across groups from the second instar to the prepupae (Table 3). However, pupae body weight in the control group was significantly higher than that in the 6.25 and 25 mg/kg treatment groups.

Table 2.
Development duration of different groups of Harmonia axyridis at different instars.

Table 3.
Weight of different groups of Harmonia axyridis at different instars.
3.2. The Survival Rate, Pupation Rate, and Emergence Rate of H. axyridis Under Cd Pollution
The survival of H. axyridis was impacted by Cd pollution. The survival rate of the 2nd, 3rd, and 4th instar larvae was lower in the Cd2+ solution treated groups than in the control group. At the 2nd instar, the survival rate of the 6.25 and 50 mg/kg groups was less than 80%, while the survival rate in the third and fourth instars was less than 70% (Figure 1A). The 12.5 mg/kg treatment had the highest survival rate in the pupal and adult periods, followed by the 3.125 and 25 mg/kg treatments and the control group. The survival rate of the two treatment groups of 6.25 and 50 mg/kg was less than 70% (Figure 1A). Compared with the control group, after feeding Cd pollution aphids, the change in H. axyridis’ pupation rate and eclosion rate had no difference (Figure 1B,C).

Figure 1.
Harmonia axyridis’s survival rate, pupation rate, emergence rate, adult deformity rate and sex ratio determination and abnormal phenotype photographed after Cd treatment: (A) survival rate; (B) pupation rate; (C) emergence rate; (D) adult deformity rate; (E) sex ratio; (F) abnormal phenotype. Different letters indicated significant differences between treatments (Tukey’s test, p < 0.05).
3.3. Deformity Rate, Sex Ratio, and Abnormal Phenotype of H. axyridis Under Cadmium Pollution
Adult H. axyridis feeding on Cd-contaminated aphids had a greater deformity rate compared to the control group, with a dose-dependent increase in deformities as Cd concentrations increased (Figure 1D). The sex ratios (female/male) of the insects treated with 6.25, 12.5, and 25 mg/kg Cd were less than 1, indicating a preponderance of males, while the 50 mg/kg treatment group had a sex ratio greater than 1, indicating a preponderance of females (Figure 1E). These ratios were determined by counting the number of males and females in each treatment group. Unfortunately, there was no biological replicate between the two groups of data, so the differences between the two groups were not analyzed (Figure 1D,E). In future studies, including additional biological replicates would be necessary to confirm these observations. The main types of adult deformities caused by Cd are categorized into two forms. The first occurs during eclosion, where incomplete molting leads to difficulties in shedding the pupal skin, resulting in residual adherence of the pupal skin to the adult. The second type involves wing deformities, characterized by the failure of a pair of membranous wings to fully retract into the elytra (Figure 1F).
3.4. Ovarian Phenotype of Female H. axyridis
On the second day after emergence, ovarian development in the Cd-treated group was apparently delayed. On the 4th day after eclosion, similar ovarian phenotypes were observed in each group. No apparent difference in ovarian phenotypes was observed across the different Cd concentrations. Based on visual assessment, the ovarian size of 3.125, 6.25, 25, and 50 mg/kg treatment groups was not apparently different from that of the control group. In contrast, the ovarian development of the 12.5 mg/kg treatment group was not as evident within the first two days. Specifically, the ovarian tubes in this group were thinner, shorter, and fewer in number (Figure 2). Consequently, the ovarian size was smaller than that of the control group, indicating a delay in development.

Figure 2.
Ovary development of female adults in different groups. Females on day 2 and 4 after emergence were collected. The ovaries after dissection were photographed using LAS EZ software.
3.5. The Preoviposition Period, the Number of Eggs and Hatching Rate of Female H. axyridis
Female insects feeding on Cd-contaminated aphids exhibited a trend towards a longer preoviposition period compared to the control group, with a statistically significant difference observed only in the 25 mg/kg treatment group (10 ± 1.41 days) compared to the control (6.4 ± 0.55 days) (Figure 3A). During the early part of the oviposition period (days 6−10), the number of eggs laid by the 6.25 mg/kg group was significantly lower than that of the 12.5 mg/kg group. In contrast, during the later part of the period (days 11−25), the 25 mg/kg group laid a significantly higher number of eggs compared to the 6.25 mg/kg group (Figure 3B). The total amount of eggs within 30 days showed that females in the 12.5 and 25 mg/kg treatment groups had the highest egg production, followed by 0, 3.125 and 50 mg/kg treatment groups, and the last was the 6.25 mg/kg treatment group (Figure 3B). To further determine the quality of eggs produced by female insects, the hatching rate of eggs was measured. The results showed that the hatching rate of the treatment group fed with Cd-contaminated aphids was significantly lower than that of the control group, and the 3.125 and 6.25 mg/kg treatments were significantly decreased (Figure 3C).

Figure 3.
Effects of Cd on preoviposition period, the number of eggs, and hatching rate of Harmonia axyridis: (A) preoviposition period; (B) the number of eggs; (C) hatching rate. Values in Figure (A,C) were presented as Mean ± Standard Error (Mean ± SE). Different letters indicated significant differences between treatments (Tukey’s test, p < 0.05).
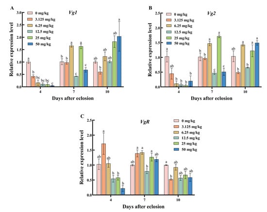
3.6. Expression Levels of Vitellogenin and Vitellinogen Receptor Genes in Female H. axyridis
According to the RT-qPCR results, the trend of Vg1 expression level changes is almost consistent with Vg2 (Figure 4A,B). On day 4 of emergence, Vg1 expression was significantly lower in the Cd-treated group compared to the control group. Vg2 expression was also significantly lower in the Cd-treated group, except for the 3.125 mg/kg group (Figure 4A,B). On day 7 after the emergence, the expression levels of Vg1 and Vg2 were significantly higher in the 6.25 and 25 mg/kg treatment groups compared to the control group (Figure 4A,B). In contrast, the expression levels were significantly lower in the 12.5 and 50 mg/kg treatment groups. On day 10 after the emergence, no significant changes in Vg1 and Vg2 expression were observed (Figure 4A,B). On day 4 after the emergence, the expression level of VgR was down-regulated in 12.5, 25, and 50 mg/kg treatment groups (Figure 4C).

Figure 4.
Effects of solutions of different Cd concentrations on the expression levels of vitellogenin gene (Vg) and vitellogenin receptor gene (VgR) in different groups of females: (A) Vg1; (B) Vg2; (C) VgR. Values in Figures were presented as Mean ± Standard Rrror (Mean ± SE). Different letters indicated significant differences between treatments (Tukey’s test, p < 0.05).
3.7. The Predation of H. axyridis Larvae and Adults Under Cadmium Pollution
To assess whether the predation ability of H. axyridis was influenced by feeding on cadmium-contaminated aphids, we measured the predation levels of both larvae and adults. The results showed that, at a density of 20 aphids, there was no difference in the feeding number of larvae among different Cd-treated groups, but at densities of 60, 100, and 140 aphids, the larvae feeding on Cd-contaminated aphids exhibited significantly higher predation than the control group (Figure 5A). When 20 aphids were provided, the number of females preying on aphids was significantly lower in most treatment groups (specifically, the 3.125, 6.25, 25, and 50 mg/kg groups) compared to the 0 mg/kg group, except for the 12.5 mg/kg treatment group. When 60 or 100 aphids were provided, the number of aphids preyed by females in the treatment groups was reduced or no significant difference compared with the control group. When 140 aphids were provided, the capture number of female insects in the 12.5 and 25 mg/kg treatment groups was significantly higher than that in the control group, while the number captured in the 6.25 mg/kg treatment group was significantly lower than that in the control group (Figure 5B). The predation of males was also affected by Cd pollution. At a density of 20 aphids, the 12.5 mg/kg treatment group showed a significant increase in male predation, while the 6.25 mg/kg treatment group showed a significant decrease. At a density of 60 aphids, the predation at all concentrations was significantly reduced. At a density of 100 aphids, except for the 6.25 mg/kg treatment group, the male insects in the remaining treatment groups had significantly reduced catch numbers (Figure 5C).

Figure 5.
Predation number of different groups of 4th instar larvae on the first day of molting, females on the first day of emergence and males on the first day of emergence of Harmonia axyridis: (A) 4th instar larvae on the first day of molting; (B) females on the first day of emergence; (C) males on the first day of emergence. Values in Figures were presented as Mean ± Standard Error (Mean ± SE). Different letters indicated significant differences between treatments (Tukey’s test, p < 0.05).
4. Discussion
In recent years, multiple studies have shown that through accumulating in herbivorous arthropods, Cd can produce effects impacting the fitness of organisms in the third trophic level [,,]. Heavy metal Cd reduced the survival of European honeybees []. After feeding on whiteflies treated with Cd, Pb, and Ni, the development period of Cryptolaemus montrouzieri increased, and the fecundity decreased []. In this study, Cd treatment at certain concentrations significantly delayed the development stage of the 1st to 4th instar larvae of H. axyridis, while the lifespan of pupae and adults remained unchanged (Table 3). In the treatment groups of 25 and 50 mg/kg, the development duration of H. axyridis did not increase with the rise in heavy metal concentration. It is hypothesized that these concentrations significantly exceeded the self-regulatory capacity of H. axyridis, thereby exerting severe impacts on its development through mechanisms such as cell apoptosis, hormonal imbalance, and impaired nutrient absorption [,,]. In addition, it is speculated that response mechanisms such as metamorphosis and defecation regulate the effects of Cd on ladybird pupae and adults [,].
This study showed that Cd treatment substantially increased the deformity rate of the adult ladybird (Figure 1B,C,E). Moreover, the deformity phenotype was mainly characterized by molting difficulty and wing deformity (Figure 1F). Similar studies have shown that heavy metals cause morphological deformities in the chironomid mentum [,], and the larvae of Leuciscus idus showed a significant increase in the rate of deformity when living in Cd- and Cu-contaminated water []. In Coccinella Septempunctata, silencing of the tyrosine hydroxylase gene (CsTH) increased the deformity rate while decreasing both emergence and survival rates. The mobility and predation of Coccinella Septempunctata were impacted when the dopa decarboxylase (CsDDC) gene was silenced []. It is speculated that heavy metals may affect TH and DDC genes in H. axyridis, thus affecting the pupation, emergence, and survival. The above results and the present experiments indicate that heavy metals are highly teratogenic and that differences between heavy metals and individual organisms lead to differences in deformity patterns.
Larval body weight is more important for health than the growth rate in response to environmental pollution []. The fresh and dry weights of the newly emerged Coccinella transversalis adults were reduced by feeding aphids reared with high doses of Pb broad bean plants []. Reduced growth rate and body weight have been suggested to be associated with insect metal detoxification []. Ladybirds feed voraciously in the fourth instar larval stage, where they accumulate large amounts of cadmium []. They eliminate part of the accumulated Cd by shedding their exuviae, hence the Cd content in the newly emerged ladybirds is lower [,]. This finding provides a plausible explanation for the weight variations we observed in H. axyridis from the 4th instar to adult stage in our experiments, where ladybirds were expected to shed part of their accumulated Cd. Surprisingly, our results showed that Cd treatment had little effect on the body weight of ladybirds at all development stages (Table 3), contrasting with previous findings that suggested significant weight reductions due to heavy metal exposure.
Previous studies show that aphids fed with broad bean plants contaminated with different doses of Cd did not significantly affect the fresh and dry weights of newly emerged adults [], which is consistent with our findings. The concentration range of Cd used in this study may not have been sufficient to affect the body weight of H. axyridis. Since this study measured the body weight of ladybirds within one hour after molting, the differences between individuals were ignored. To more accurately assess the effect of Cd on body weight, future studies could consider measuring weight gain over a longer period of time.
In addition, the bioaccumulation of heavy metals in insects led to additional energy expenditure and reflected in certain trait alterations []. It also led to increased insect mortality. Studies have shown that the survival rate of Spodoptera exigua is significantly reduced when exposed to Cd and Zn []. Cd, Cu, and Pb slowed down the development of Apis mellifera larvae, shortened prepupae time, decreased pupal weights, and reduced larval and adult survival []. However, the results of our experiment were surprising. The survival rates of 3.125 and 12.5 mg/kg treatment groups were close to those of the control group, while the survival rates of 6.25 and 50 mg/kg treatment groups showed the most significant decrease in survival rates (Figure 1A). It is speculated that the survival rate obtained in this experiment is related to the effect of “low promotion and high inhibition”. The results of Shi et al., (2020) showed that heavy metal Zn (zinc) had a “low promotion and high inhibition” effect on the survival rates of H. axyridis, mirroring the trends observed in our study [].
Researchers have carried out many experiments on the effects of heavy metal pollution on biological fertility. When feeding on whiteflies contaminated with Pb, Ni, or Cd, the preoviposition period of Cryptolaemus montrouzieri was longer, and the number of eggs laid was lower than those in the control group []. Cd exposure significantly prolonged the mating latency of female Drosophila melanogaster and decreased the number of eggs laid []. In the case of Trichoplusia ni, Cd stress did not impact the offspring quantity, which could be attributed to the unique feeding strategy of this species []. In our study, the 25 mg/kg treatment group significantly lengthened the preoviposition period of female H. axyridis (Figure 3A); while the high concentration of Cd increased the number of eggs, the hatching rate was significantly lower (Figure 3B,C). The results indicated that H. axyridis excreted Cd by laying lots of eggs. Due to Cd stress, the hatching rate of eggs exhibited varying degrees of decline.
It is therefore hypothesized that H. axyridis may also possess a special feeding strategy, perhaps in response to the acute condition of high heavy metal stress, where females may resort to laying a large number of eggs to ensure the continuous propagation of their offspring. However, the quality of these eggs laid by females under such conditions may not be guaranteed. Based on the relevant data in this study, it was concluded that a certain dose of heavy metals could reduce the fecundity of the insect, which was manifested as the prolongation of the preoviposition period, a shortened oviposition period and the reduction in oviposition amount. Relevant research and analysis have concluded that Cd may affect the reproduction of Drosophila melanogaster in the following ways: interfering with calcium channels in the central nervous system, interfering with the role of pheromones, and triggering the release of reactive oxygen species (ROS). Notably, female flies’ fertility was more strongly affected by the same concentration of Cd treatment []. In contrast, exposure to 20 mg/kg of Cd stimulated the reproduction of Corcyra cephalonica—eggs produced by adults were bigger and heavier—and its natural enemy insect, Trichogramma japonicum, also exhibited increased oviposition activity []. Therefore, further research is necessary to determine how Cd affects the hatching rate of H. axyridis in this study and to understand the underlying mechanisms.
Vg and VgR are key factors in insect reproduction []. Reduced transcription levels of VgR by RNA interference techniques prevented the sedimentation of ovarian proteins in the ovaries, shortened the ovarian length, and impaired reproductive performance []. A study on the negative effects of Zn on the fecundity of H. axyridis pointed out that Zn negatively affected reproduction by decreasing egg count and hatching rates and the expression levels of Vg1, Vg2, and VgR []. The expression results of Vg and VgR genes in this study provide molecular evidence to support this point (Figure 4). In Chrysoperla sinica, Vg expression is regulated by both juvenile hormone (JH) and 20-hydroxyecdysone (20E). Sublethal concentrations of lambda-cyhalothrin disrupt the normal signal transduction mediated by related hormones and the hormone–vitellogenin signaling pathway, and this leads to decreased expression of Vg1 []. It is hypothesized that Cd may alter the H. axyridis’s reproductive capacity by influencing the production of particular hormones, subsequently impacting hormone signaling pathways.
Furthermore, it was discovered that the expression of the vitellogenin gene was time-dependent in both the Cd-treated and untreated groups [], which was consistent with the study’s findings (Figure 4). Overall, Cd stress reduces Vg expression, which results in decreasing vitellin (Vn) deposition in the eggs and subsequently decreased fecundity and hatchability [,,,]. Conversely, under Pb stress, the expression levels of Vg genes in Spodoptera exigua varied, with males exhibiting an increase and females displaying a drop []. From this perspective, further experiments are needed to explore the molecular mechanisms of insects under heavy metal stress for a clearer understanding and to develop effective strategies for mitigating their adverse effects.
An enemy insect is a type of insect that parasitizes or predates on other insects. The predatory ability of enemy insects directly affects the biological control effect []. Exposure to low concentrations of Pb and Cd exhibited no significant effect on the predation rate of ladybirds, but exposure to 100 mg/kg Pb and 30 mg/kg Cd reduced the predation rate of ladybirds [,]. H. axyridis demonstrated decreased predation after feeding on aphids exposed to high levels of Zn []. In this study, it was found that the 4th instar larvae had stronger predation ability than the adults. Cadmium increased the predation number of 4th instar larvae, while the number of predatory adults in some treatment groups was lower than that in the control group (Figure 5). Studies on the predator Orius sauteri have demonstrated that Cd transferred through the food chain exerts no significant impact on its predation capacity when the number of aphids was set to 20, a finding partially consistent with our results []. According to some studies, the feeding habits and patterns of H. axyridis did not change during development; however, fourth instar larvae consume more prey than adults []. It can be inferred that the accumulation of low concentrations of heavy metals in aphids cannot cause a threat to their natural enemies. However, in the absence of biomagnification, even high concentrations of heavy metals might also have sublethal effects.
Biological control is an environmentally benign, non-toxic, pollution-free, safe, efficient, and ecologically sustainable strategy [,]. Current trends in heavy metal remediation have progressively shifted toward combined remediation []. A novel strategy proposed by Wan et al., (2023) [] involves the intentional introduction of aphids to increase Cd accumulation in faba bean (Vicia faba) by having aphids feed on them. Paradoxically, this process may induce growth inhibition and extensive leaf chlorosis in plants due to herbivorous insect feeding []. Therefore, H. axyridis can be strategically used to manage herbivore populations and improve plant health within biological control frameworks, thereby enhancing the plant’s ability to tolerate Cd contamination in rice fields.
Nevertheless, consuming prey contaminated with heavy metals may harm populations of insect natural enemies, making biological control more difficult and expensive, and making green control more challenging. Consequently, to successfully protect and utilize these species in integrated agricultural pest control programs, it is necessary to have a better understanding of the potential impact that heavy metal accumulation may have on natural enemies.
5. Conclusions
Cadmium pollution has a considerable impact on the survival and molting processes of H. axyridis, while having a relatively smaller effect on developmental period and body weight. Interestingly, the predation rate of 4th instar larvae increased under Cd exposure. In terms of fertility, Cd has an impact on the reproductive performance of female H. axyridis, notably gene expression and the quality of offspring. The transcriptional levels of Vg1 and Vg2 genes in females treated with Cd changed considerably. H. axyridis plays a significant role in the bioremediation of cadmium-contaminated rice fields. The results provide a theoretical basis and insights for managing phytophagous insect populations under Cd pollution as well as for and practical utilization of H. axyridis in contaminated environments.
Author Contributions
Q.S.: investigation, methodology, formal analysis, writing—original draft, writing—review and editing, project administration, visualization. S.W. (Shasha Wang): investigation, methodology, formal analysis, writing—original draft, writing—review and editing, project administration, visualization. S.W. (Sijing Wan): investigation, methodology, formal analysis, writing—review and editing, software. M.G.: investigation, methodology, formal analysis. F.Z.: investigation, methodology, formal analysis, validation, writing—review and editing. K.Z.: methodology, validation, writing—original draft, writing—review and editing. S.T.: methodology, validation, writing—original draft, writing—review and editing. M.Z.: conceptualization, supervision, resources, writing—review and editing. Y.L.: conceptualization, supervision, funding acquisition, writing—review and editing. W.Z.: conceptualization, supervision, funding acquisition, writing—review and editing. B.T.: conceptualization, supervision, funding acquisition, writing—review and editing. All authors have read and agreed to the published version of the manuscript.
Funding
This work was supported by the earmarked fund for “Pioneer” and “Leading Goose” Research and Development Program of Zhejiang Province (Grant No. 2023C02014), the Three Rural and Nine Parties Science and Technology Cooperation Program of Zhejiang Province (Grant No. 2025SNJF045), and the Hangzhou Science and Technology Development Program of China (Grant No. 20190101A01).
Data Availability Statement
Data will be made available on request.
Conflicts of Interest
The authors declare no conflicts of interest.
References
- Zhang, Y.; Zhou, X.Q.; Zeng, X.M.; Feng, J.; Liu, Y.R. Characteristics and assessment of heavy metal contamination in soils of industrial regions in the Yangtze River Economic Belt. Environ. Sci. 2022, 43, 2062–2070. [Google Scholar]
- Zhou, H.; Chen, Y.; Yue, X.; Ren, D.; Liu, Y.; Yang, K. Identification and hazard analysis of heavy metal sources in agricultural soils in ancient mining areas: A quantitative method based on the receptor model and risk assessment. J. Hazard. Mater. 2023, 445, 130528. [Google Scholar] [CrossRef] [PubMed]
- Niu, L.; Yang, F.; Xu, C.; Yang, H.; Liu, W. Status of metal accumulation in farmland soils across China: From distribution to risk assessment. Environ. Pollut. 2013, 176, 55–62. [Google Scholar] [CrossRef]
- Hu, H.; Jin, Q.; Kavan, P. A Study of Heavy Metal Pollution in China: Current Status, Pollution-Control Policies and Countermeasures. Sustainability 2014, 6, 5820–5838. [Google Scholar] [CrossRef]
- Wang, S.Y. Cadmium Enrichment Ability and Physiology of Kiwifruit Under Cadmium Stress and Preliminary Study on Cadmium Reduction Technology in the Soil. Master’s Thesis, Hunan Agriculture University, Changsha, China, 2020. [Google Scholar]
- Hou, D.; Jia, X.; Wang, L.; McGrath, S.P.; Zhu, Y.G.; Hu, Q.; Zhao, F.J.; Bank, M.S.; O’Connor, D.; Nriagu, J. Global soil pollution by toxic metals threatens agriculture and human health. Science 2025, 388, 316–321. [Google Scholar] [CrossRef] [PubMed]
- Lux, A.; Martinka, M.; Vaculík, M.; White, P.J. Root responses to cadmium in the rhizosphere: A review. J. Exp. Bot. 2011, 62, 21–37. [Google Scholar] [CrossRef]
- Sall, M.L.; Diaw, A.K.D.; Gningue-Sall, D.; Efremova Aaron, S.; Aaron, J.J. Toxic heavy metals: Impact on the environment and human health, and treatment with conducting organic polymers, a review. Environ. Sci. Pollut. Res. 2020, 27, 29927–29942. [Google Scholar] [CrossRef]
- Sattar, S.; Yahya, M.; Aslam, S.; Hussain, R.; Shah, S.M.M.; Rauf, Z.; Zamir, A.; Ullah, R.; Shahzad, A. Environmental occurrence, hazards, and remediation strategies for the removal of cadmium from the polluted environment. Results Eng. 2025, 25, 104322. [Google Scholar] [CrossRef]
- Clemens, S.; Aarts, M.G.; Thomine, S.; Verbruggen, N. Plant science: The key to preventing slow cadmium poisoning. Trends Plant Sci. 2013, 18, 92–99. [Google Scholar] [CrossRef]
- Tang, H.; Li, T.; Yu, H.; Zhang, X. Cadmium accumulation characteristics and removal potentials of high cadmium accumulating rice line grown in cadmium-contaminated soils. Environ. Sci. Pollut. Res. Int. 2016, 23, 15351–15357. [Google Scholar] [CrossRef]
- Xu, M.; Yang, L.; Chen, Y.; Jing, H.; Wu, P.; Yang, W. Selection of rice and maize varieties with low cadmium accumulation and derivation of soil environmental thresholds in karst. Ecotoxicol. Environ. Saf. 2022, 247, 114244. [Google Scholar] [CrossRef] [PubMed]
- DZ/T 0258-2014; Specification of Multi-Purpose Regional Geochemical Survey (1:250000). Ministry of Land and Natural Resources of the People’s Republic of China; Standards Press of China: Beijing, China, 2014. (In Chinese)
- Zhou, J.H.; Zhang, Q.; Liu, B.; Ma, T.; Huang, D.; Zhu, Q.; Xu, C.; Zhu, H. Effects of selenium fertilization on cadmium uptake and transport in rice crop in different cadmium-contaminated soils during two consecutive seasons. J. Agro-Environ. Sci. 2023, 42, 724–732. [Google Scholar]
- Sui, F.Q.; Chang, J.D.; Tang, Z.; Liu, W.J.; Huang, X.Y.; Zhao, F.J. Nramp5 expression and functionality likely explain higher cadmium uptake in rice than in wheat and maize. Plant Soil 2018, 433, 377–389. [Google Scholar] [CrossRef]
- Di, N. The impact of Copper, Cadmium, Lead and Selenium on Individual and the Whole Colony Health of Apis mellifera L. (Hymenoptera: Apidae). Ph.D. Thesis, Northwest A&F University, Shanxi, China, 2017. [Google Scholar]
- Mendoza-Cózatl, D.G.; Jobe, T.O.; Hauser, F.; Schroeder, J.I. Long-distance transport, vacuolar sequestration, tolerance, and transcriptional responses induced by cadmium and arsenic. Curr. Opin. Plant Biol. 2011, 4, 554–562. [Google Scholar] [CrossRef]
- Mercè, L.; Roger, M.; Isabel, C.; Juan, B.; Charlotte, P. Cynara cardunculus a potentially useful plant for remediation of soils polluted with cadmium or arsenic. J. Geochem. Explor. 2012, 123, 122–127. [Google Scholar]
- Khan, S.; Hesham, A.-L.; Qiao, M.; Rehman, S.; He, J.Z. Effects of Cd and Pb on soil microbial community structure and activities. Environ. Sci. Pollut. Res. Int. 2010, 17, 288–296. [Google Scholar] [CrossRef]
- Wang, X.H.; Dai, L. Immobilization Effect and Its Physiology and Biochemical Mechanism of the Cadmium in Crop Roots. Sci. Agric. Sin. 2016, 49, 4323–4341. [Google Scholar]
- Konopka, J.K.; Hanyu, K.; Macfie, S.M.; McNeiol, J.N. Does the response of insect herbivores to cadmium depend on their feeding strategy? J. Chem. Ecol. 2013, 39, 546–554. [Google Scholar] [CrossRef]
- Mousavi, S.K.; Primicerio, R.; Amundsen, P.A. Diversity and structure of Chironomidae (Diptera) communities along a gradient of heavy metal contamination in a subarctic watercourse. Sci. Total Environ. 2003, 307, 93–110. [Google Scholar]
- Hayford, B.L.; Ferrington, L.C. Biological Assessment of Cannon Creek, Missouri by Use of Emerging Chironomidae (Insecta: Diptera). J. Kans. Entomol. Soc. 2005, 78, 89–99. [Google Scholar] [CrossRef]
- Yuan, H.X.; Chu, F.; Qin, F.J.; Liu, J.; He, Y.Q.; Liu, H. Effects of cadmium exposure on the lipid peroxide content and the antioxidant enzyme activity and mRNA expression in the fat body in the silkworm, Bombyx mori. Acta Entomol. Sin. 2014, 57, 168–175. [Google Scholar]
- Huang, D.Y.; Zhu, Q.H.; Zhu, H.H.; Xu, C.; Liu, S.L. Advances and prospects of safety agro-utilization of heavy metal contaminated farmland soil. Res. Agric. Mod. 2018, 39, 1030–1043. [Google Scholar]
- Naseer, S.; Cui, J.; Jahangir, S.; Noureen, M.; Wei, Z. Exploring the role of ligands in metal phytoremediation and its influence on metal availability and toxicity. Clean Technol. Environ. Policy 2025, 27, 953–969. [Google Scholar] [CrossRef]
- Cheng, Q.U.; Wang, R.; Che, W.N.; Feng-Qi, L.I.; Zhao, H.P.; Wei, Y.Y.; Luo, C.; Ming, X. Identification and tissue distribution of odorant binding protein genes in Harmonia axyridis (Coleoptera: Coccinellidae). J. Integr. Agric. 2021, 20, 2204–2213. [Google Scholar]
- Cayrol, B.; Arnoldi, I.; Novak, V.; Epis, S.; Brilli, M.; Rahbé, Y.; Uzest, M.; Gabrieli, P. The development of the piercing mouth during the last molt of the diseases-transmitting aphids and mosquitoes as revealed by synchrotron X-ray microtomography. Entomol. Gen. 2024, 44, 1069–1079. [Google Scholar] [CrossRef]
- Yin, Z.; Xie, Y.; Wang, S.; Li, Q.; Wan, S.; Chen, L.; Dai, X.; Wang, R.; Desneux, N.; Zhi, J.; et al. Bioaccumulation and transferreing for impacts on Cd and Pb by aphid consumption of the broad bean, Vicia faba L, in soil heavy metal pollution. Chemosphere 2024, 360, 142429. [Google Scholar] [CrossRef]
- Li, Y.; Wang, S.S.; Si, H.R.; Wan, S.J.; Li, G.Y.; Shu, Y.H.; Dai, X.Y.; Wang, R.J.; Wang, S.G.; Zhai, Y.F.; et al. Responses of aphid and ladybird to lead transfer through soil and broad beans. Entomol. Gen. 2024, 44, 621–631. [Google Scholar] [CrossRef]
- Sang, W.; Xu, J.; Bashir, M.H.; Ali, S. Developmental responses of Cryptolaemus montrouzieri to heavy metals transferred across multi-trophic food chain. Chemosphere 2018, 205, 690–697. [Google Scholar] [CrossRef]
- Khan, M.M.; Fan, Z.Y.; Wang, X.M.; Qiu, B.L. Distribution and accumulation of cadmium in different trophic levels affecting Serangium japonicum, the predatory beetle of whitefly Bemisia tabaci, biologically, physiologically and genetically: An experimental study. J. Hazard. Mater. 2024, 465, 133244. [Google Scholar] [CrossRef]
- Du, C.; Wu, J.; Bashir, M.H.; Shaukat, M.; Ali, S. Heavy metals transported through a multi-trophic food chain influence the energy metabolism and immune responses of Cryptolaemus montrouzieri. Ecotoxicology 2019, 28, 422–428. [Google Scholar] [CrossRef]
- Wang, S.; Li, Q.; Li, Y.; Wan, S.; Yin, Z.; Zhao, S.; Dai, X.; Wang, R.; Wang, S.; Zhai, Y.; et al. Stress Response of Aphid Population Under Combined Stress of Cadmium and Lead and Its Effects on Development of Harmonia axyridis. Int. J. Mol. Sci. 2024, 25, 11145. [Google Scholar] [CrossRef] [PubMed]
- Gardiner, M.M.; Harwood, J.D. Influence of heavy metal contamination on urban natural enemies and biological control. Curr. Opin. Insect Sci. 2017, 20, 45–53. [Google Scholar] [CrossRef] [PubMed]
- Płachetka-Bożek, A.; Chwiałkowska, K.; Augustyniak, M. Molecular changes in vitellogenin gene of Spodoptera exigua after long-time exposure to cadmium—Toxic side effect or microevolution? Ecotoxicol. Environ. Saf. 2018, 147, 461–470. [Google Scholar] [CrossRef]
- Liu, X.; Guo, X.; Zhang, T.; Duan, J.; Zhang, L.; Wang, M.; Li, Y.; Shen, Z.; Mao, J. Testosterone maintains male longevity and female reproduction in Chrysopa pallens. Heliyon 2024, 10, e32478. [Google Scholar] [CrossRef]
- Tufail, M.; Nagaba, Y.; Elgendy, A.M.; Takeda, M. Regulation of vitellogenin genes in insects. Entomol. Sci. 2014, 17, 269–282. [Google Scholar] [CrossRef]
- Giorgi, F.; Snigirevskaya, E.S.; Raikhel, A.S. The cell biology of yolk protein precursor synthesis and secretion. Reprod. Biol. Invertebr. 2005, 12, 33–68. [Google Scholar]
- Shu, Y.; Zhou, J.; Tang, W.; Lu, K.; Zhou, Q.; Zhang, G. Molecular characterization and expression pattern of Spodoptera litura (Lepidoptera: Noctuidae) vitellogenin, and its response to lead stress. J. Insect Physiol. 2009, 55, 608–616. [Google Scholar] [CrossRef]
- Xie, Y.; Wang, S.; Wan, S.; Chen, L.; Shen, Q.; Zhao, K.; Tao, S.; Zhou, W.; Zhang, X.; Tan, X.; et al. The Stress Response of Aphids to the Accumulation of Heavy Metals Along Vicia faba L. Under Cadmium Treatment. Insects 2024, 15, 999. [Google Scholar] [CrossRef]
- Wang, X.; Zhang, C.; Qiu, B.; Ashraf, U.; Azad, R.; Wu, J.; Ali, S. Biotransfer of Cd along a soil-plant-mealybug-ladybird food chain: A comparison with host plants. Chemosphere 2017, 168, 699–706. [Google Scholar] [CrossRef]
- Livak, K.J.; Schmittgen, T.D. Analysis of relative gene expression data using real-time quantitative PCR and the 2(-Delta Delta C(T)) method. Methods 2001, 25, 402–408. [Google Scholar] [CrossRef]
- Xie, G.; Zou, J.; Zhao, L.; Wu, M.; Wang, S.; Zhang, F. Inhibitional effects of metal Zn2+ on the reproduction of Aphis medicaginis and its predation by Harmonia axyridis. PLoS ONE 2014, 9, e87639. [Google Scholar] [CrossRef] [PubMed]
- Akhtar, Z.R.; Tariq, K.; Mavian, C.; Ali, A.; Ullah, F.; Zang, L.S.; Ali, F.; Nazir, T.; Ali, S. Trophic transfer and toxicity of heavy metals from dengue mosquito Aedes aegypti to predator dragonfly Tramea cophysa. Ecotoxicology 2021, 30, 1108–1115. [Google Scholar] [CrossRef]
- Malematja, E.; Manyelo, T.G.; Sebola, N.A.; Kolobe, S.D.; Mabelebele, M. The accumulation of heavy metals in feeder insects and their impact on animal production. Sci. Total Environ. 2023, 885, 163716. [Google Scholar] [CrossRef]
- Wang, J.; Di, N.; Huang, H.X.; Trumble, J.T.; Jaworski, C.C.; Wang, S.; Desneux, N.; Li, Y.X. Cadmium triggers hormesis in rice moth Corcyra cephalonica but different effects on two Trichogramma egg parasitoids. Entomol. Gen. 2024, 44, 233–242. [Google Scholar] [CrossRef]
- Hesketh, H.; Lahive, E.; Horton, A.A.; Robinson, A.G.; Svendsen, C.; Rortais, A.; Dorne, J.L.; Baas, J.; Spurgeon, D.J.; Heard, M.S. Extending standard testing period in honeybees to predict lifespan impacts of pesticides and heavy metals using dynamic energy budget modelling. Sci. Rep. 2016, 6, 37655. [Google Scholar] [CrossRef]
- Fu, W.L.; Yi, Z.D.; Zhang, M. Toxicity effect of cadmium stress exposure to insects and defense mechanism of insects. Chin. J. Pharmacol. Toxicol. 2015, 29, 1001–1006. [Google Scholar]
- Wu, M.L.; Sun, Q.M.; Wu, J.J.; Wang, K.; Yang, Y.; Yang, Y.Z.; Su, H.H. Effects of cadmium stress on juvenile hormone and molting hormone titers in Spodoptera exigua. Xinjiang Agric. Sci. 2023, 60, 2291–2297. [Google Scholar]
- Wang, J.; Huang, H.; Yang, H.; Wang, S.; Li, M.; Zhu, Z.; Trumble, J.T.; Di, N.; Zang, L. Heavy metal exposure reduces larval gut microbiota diversity of the rice striped stem borer, Chilo suppressalis. Ecotoxicology 2024, 33, 973–983. [Google Scholar] [CrossRef]
- Dar, M.I.; Green, I.D.; Naikoo, M.I.; Khan, F.A.; Ansari, A.A.; Lone, M.I. Assessment of biotransfer and bioaccumulation of cadmium, lead and zinc from fly ash amended soil in mustard–aphid–beetle food chain. Sci. Total Environ. 2017, 584, 1221–1229. [Google Scholar] [CrossRef]
- Naikoo, M.I.; Dar, M.I.; Khan, F.A.; Raghib, F.; Rajakaruna, N. Trophic transfer and bioaccumulation of lead along soil-plant-aphid-ladybird food chain. Environ. Sci. Pollut. Res. 2019, 26, 23460–23470. [Google Scholar] [CrossRef]
- Di Veroli, A.; Santoro, F.; Pallottini, M.; Selvaggi, R.; Scardazza, F.; Cappelletti, D.; Goretti, E. Deformities of chironomid larvae and heavy metal pollution: From laboratory to field studies. Chemosphere 2014, 112, 9–17. [Google Scholar] [CrossRef] [PubMed]
- Youbi, A.; Zerguine, K.; Houilia, A.; Farfar, K.; Soumati, B.; Berrebbah, H.; Djebar, M.R.; Souiki, L. Potential use of morphological deformities in Chironomus (Diptera: Chironomidae) as a bioindicator of heavy metals pollution in North-East Algeria. Environ. Sci. Pollut. Res. 2020, 27, 8611–8620. [Google Scholar] [CrossRef] [PubMed]
- Witeska, M.; Sarnowski, P.; Ługowska, K.; Kowal, E. The effects of cadmium and copper on embryonic and larval development of ide Leuciscus idus L. Fish Physiol. Biochem. 2014, 40, 151–163. [Google Scholar] [CrossRef]
- Chen, X.; Zhang, Y.; Wu, M.; Huang, Y.; Zang, L.; Wang, S.; Xiao, D. The role of tyrosine hydroxylase and dopa decarboxylase in melanin biosynthesis and metamorphosis in Coccinella septempunctata. Entomol. Gen. 2024, 44, 1311–1320. [Google Scholar] [CrossRef]
- Van Ooik, T.; Rantala, M.J.; Saloniemi, I. Diet-mediated effects of heavy metal pollution on growth and immune response in the geometrid moth Epirrita autumnata. Environ. Pollut. 2007, 145, 348–354. [Google Scholar] [CrossRef]
- Morkunas, I.; Woźniak, A.; Mai, V.C.; Rucińska-Sobkowiak, R.; Jeandet, P. The role of heavy metals in plant response to biotic stress. Molecules 2018, 23, 2320. [Google Scholar] [CrossRef]
- Dar, M.I.; Khan, F.A.; Green, I.D.; Naikoo, M.I. The transfer and fate of Pb from sewage sludge amended soil in a multi-trophic food chain: A comparison with the labile elements Cd and Zn. Environ. Sci. Pollut. Res. Int. 2015, 22, 16133–16142. [Google Scholar] [CrossRef]
- Naikoo, M.I.; Raghib, F.; Dar, M.I.; Khan, F.A.; Hessini, K.; Ahmad, P. Uptake, accumulation and elimination of cadmium in a soil-Faba bean (Vicia faba)-Aphid (Aphis fabae)-Ladybird (Coccinella transversalis) food chain. Chemosphere 2021, 279, 130522. [Google Scholar] [CrossRef]
- Kafel, A.; Rozpędek, K.; Szulińska, E.; Zawisza-Raszka, A.; Migula, P. The effects of cadmium or zinc multigenerational exposure on metal tolerance of Spodoptera exigua (Lepidoptera: Noctuidae). Environ. Sci. Pollut. Res. 2014, 21, 4705–4715. [Google Scholar] [CrossRef]
- Di, N.; Hladun, K.R.; Zhang, K.; Liu, T.X.; Trumble, J.T. Laboratory bioassays on the impact of cadmium, copper and lead on the development and survival of honeybee (Apis mellifera L.) larvae and foragers. Chemosphere 2016, 152, 530–538. [Google Scholar] [CrossRef]
- Shi, Z.K.; Wang, S.S.; Pan, B.Y.; Liu, Y.; Tang, B. Effects of zinc acquired through the plant-aphid-ladybug food chain on the growth, development and fertility of Harmonia axyridis. Chemosphere 2020, 259, 127497. [Google Scholar] [CrossRef] [PubMed]
- Hu, X.; Fu, W.; Yang, X.; Mu, Y.; Gu, W.; Zhang, M. Effects of cadmium on fecundity and defence ability of Drosophila melanogaster. Ecotoxicol. Environ. Saf. 2019, 171, 871–877. [Google Scholar] [CrossRef] [PubMed]
- Chen, J.; Wang, J.W.; Shu, Y.H. Review on the effects of heavy metal pollution on herbivorous insects. Chin. J. Appl. Ecol. 2020, 31, 1773–1782. [Google Scholar]
- Han, H.; Han, S.; Qin, Q.; Chen, J.; Wang, D.; He, Y. Molecular identification and functional characterization of vitellogenin receptor from Harmonia axyridis (Coleoptera: Coccinellidae). J. Econ. Entomol. 2022, 115, 325–333. [Google Scholar] [CrossRef]
- Wang, N.; Wang, Z.; Gong, S.; Zhang, Y.; Xue, C. Sublethal concentrations of lambda-cyhalothrin reduce fecundity by affecting the hormone-vitellogenin signaling pathway in Chrysoperla sinica. Entomol. Gen. 2024, 44, 1459–1559. [Google Scholar] [CrossRef]
- Cervera, A.; Cristina Maymó, A.; Martínez-Pardo, R.; Dolores Garcerá, M. Vitellogenesis inhibition in Oncopeltus fasciatus females (Heteroptera: Lygaeidae) exposed to cadmium. J. Insect Physiol. 2005, 51, 895–911. [Google Scholar] [CrossRef]
- Cervera, A.; Maymó, A.C.; Martínez-Pardo, R.; Garcerá, M.D. Vitellogenin polypeptide levels in one susceptible and one cadmium-resistant strain of Oncopeltus fasciatus (Heteroptera: Lygaeidae), and its role in cadmium resistance. J. Insect Physiol. 2006, 52, 158–168. [Google Scholar] [CrossRef]
- Cervera, A.; Maymó, A.C.; Sendra, M.; Martínez-Pardo, R.; Garcerá, M.D. Cadmium effects on development and reproduction of Oncopeltus fasciatus (Heteroptera: Lygaeidae). J. Insect Physiol. 2004, 50, 737–749. [Google Scholar] [CrossRef]
- Qian, Y.Y. The effects of plumbum stress on reproduction and Vg of beet armyworm. Master’s Thesis, Yangzhou University, Jiangsu, China, 2016. [Google Scholar]
- Islam, Y.; Shah, F.M.; Shah, M.A.; Khan, M.M.; Zhou, X.M. Temperature-dependent functional response of Harmonia axyridis (coleoptera: Coccinellidae) on the eggs of Spodoptera litura (lepidoptera: Noctuidae) in laboratory. Insects 2020, 11, 583. [Google Scholar] [CrossRef]
- Lacey, L.A.; Grzywacz, D.; Shapiro-Ilan, D.I.; Frutos, R.; Brownbridge, M.; Goettel, M.S. Insect pathogens as biological control agents: Back to the future. J. Invertebr. Pathol. 2015, 132, 1–41. [Google Scholar]
- He, D.C.; He, M.H.; Amalin, D.M.; Liu, W.; Alvindia, D.G.; Zhan, J. Biological Control of Plant Diseases: An Evolutionary and Eco-Economic Consideration. Pathogens 2021, 10, 1311. [Google Scholar] [CrossRef] [PubMed]
- Deng, S.; Zhang, X.; Zhu, Y.; Zhuo, R. Recent advances in phyto-combined remediation of heavy metal pollution in soil. Biotechnol. Adv. 2024, 72, 108337. [Google Scholar] [CrossRef] [PubMed]
- Wan, S.; Wang, S.; Li, Y.; Xie, Y.; Li, Q.; Fang, Y.; Yin, Z.; Wang, S.; Zhai, Y.; Tang, B. Megoura crassicauda promote the ability of Vicia faba L. to remediate cadmium pollution of water and soil. Ecotoxicol. Environ. Saf. 2025, 290, 117777. [Google Scholar] [CrossRef]
- Zhang, H.; Liu, Y.J.; Liu, Y.M.; Hu, G.X. Effects of alfalfa applied with different mount potassium on the growth, development and fecundity of Acyrthosiphon pisum [J/OL]. Acta Agrestia Sin. 2025, 1–11. Available online: http://kns.cnki.net/kcms/detail/11.3362.s.20250402.1644.004.html.
Disclaimer/Publisher’s Note: The statements, opinions and data contained in all publications are solely those of the individual author(s) and contributor(s) and not of MDPI and/or the editor(s). MDPI and/or the editor(s) disclaim responsibility for any injury to people or property resulting from any ideas, methods, instructions or products referred to in the content. |
© 2025 by the authors. Licensee MDPI, Basel, Switzerland. This article is an open access article distributed under the terms and conditions of the Creative Commons Attribution (CC BY) license (https://creativecommons.org/licenses/by/4.0/).