Poly-Glutamic Acid Regulates Physiological Characteristics, Plant Growth, and the Accumulation of the Main Medical Ingredients in the Root of Salvia miltiorrhiza Under Water Shortage
Abstract
1. Introduction
2. Material and Methods
2.1. Plant Material and Treatment
2.2. Determination of Plant Biomass, Root Volume, and Root/Shoot Ratio
2.3. Determination of SPAD, Gas Exchange Parameters, and Chlorophyll Fluorescence Parameters
2.4. Determination of Chlorophyll Fluorescence Parameters
2.5. Determination of Antioxidant Enzymes and Malondialdehyde (MDA)
2.6. Determination of Main Medical Ingredients
2.7. Statistical Analysis
3. Results
3.1. Effects of PGA on SPAD Value and Gas Exchange Parameters Under WS
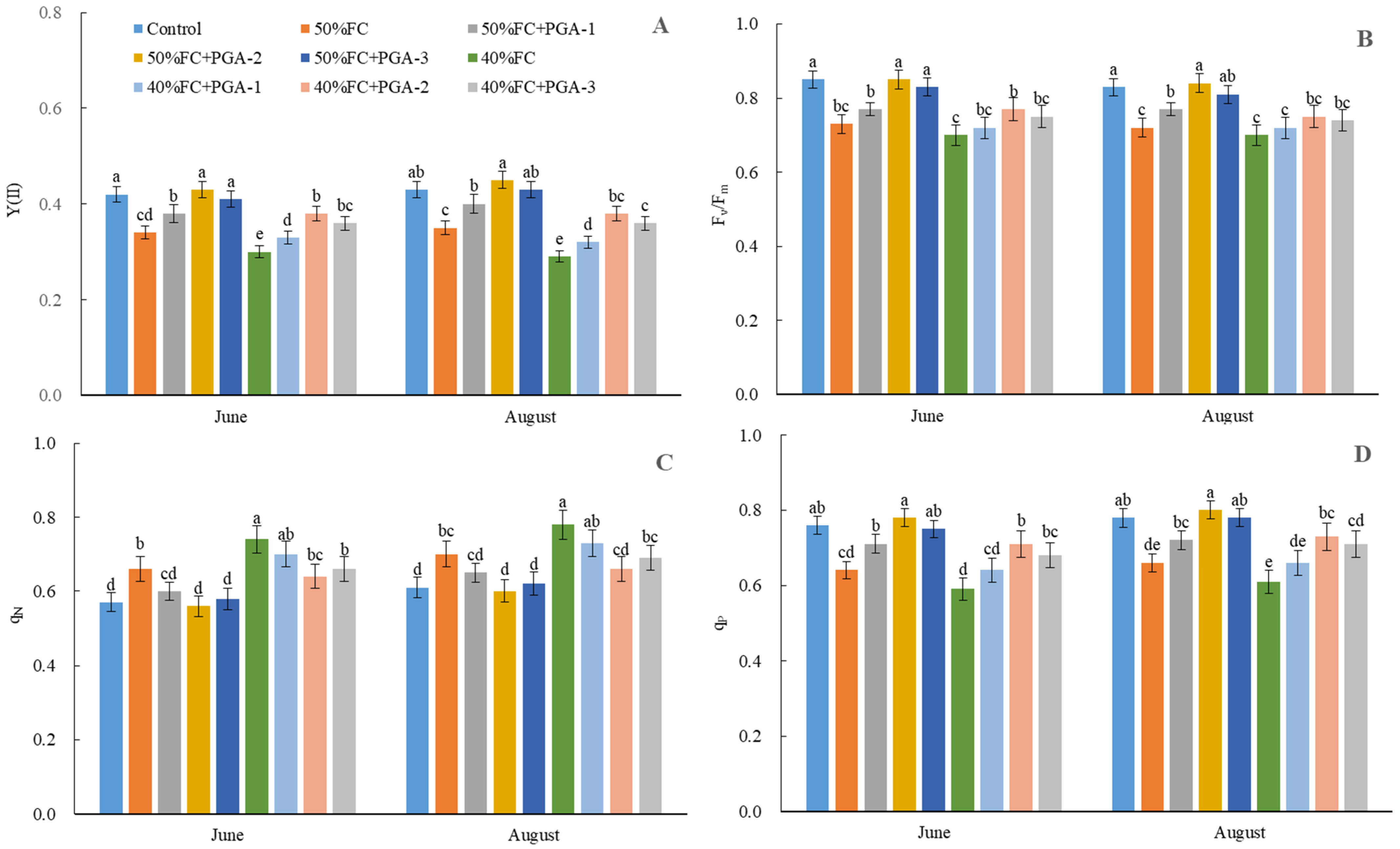
3.2. Effects of PGA on Chlorophyll Fluorescence Parameters Under WS
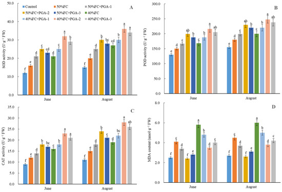
3.3. Effects of PGA on the Antioxidant Capacity Under WS
3.4. Effects of PGA on Growth Parameters Under WS
3.5. Effects of PGA on the Yield of Main Medical Ingredients Under WS
3.6. Relationships Between Parameters Related to Plant Growth and Medical Ingredient Yield and Parameters Related to Physiological Characteristics
4. Discussion
5. Conclusions
Author Contributions
Funding
Data Availability Statement
Conflicts of Interest
References
- Guo, R.; Li, L.; Su, J.; Li, S.; Duncan, S.E.; Liu, Z.; Fan, G. Pharmacological activity and mechanism of tanshinone IIA in related diseases. Drug Des. Devel Ther. 2020, 14, 4735–4748. [Google Scholar] [CrossRef] [PubMed]
- Yuan, J.; Liu, R.; Wang, X.; Fu, H. Transcription factors and retained intron act vital roles in cadmium stress response of medicinal model plant Salvia miltiorrhiza. Phyton-Int. J. Exp. Bot. 2024, 93, 2267–2284. [Google Scholar] [CrossRef]
- Wang, B.Q. Salvia miltiorrhiza: Chemical and pharmacological review of a medicinal plant. J. Med. Plant Res. 2010, 4, 2813–2820. [Google Scholar]
- Hao, G.P.; Jiang, X.Y.; Feng, L.; Tao, R.; Li, Y.L.; Huang, L.Q. Cloning, molecular characterization and functional analysis of a putative R2R3-MYB transcription factor of the phenolic acid biosynthetic pathway in S. miltiorrhiza Bgef. alba. Plant Cell Tissue Organ Cult. 2016, 124, 151–168. [Google Scholar] [CrossRef]
- Xie, Y.; Ding, M.; Yin, X.; Wang, G.; Zhang, B.; Chen, L.; Ma, P.; Dong, J. MAPKK2/4/5/7-MAPK3-JAZs modulate phenolic acid biosynthesis in Salvia miltiorrhiza. Phytochemistry 2022, 199, 113177. [Google Scholar] [CrossRef]
- Zou, L.; Liu, D.; Yang, H.; Zhou, C.; Deng, S.; Xu, N.; He, X.; Liu, Y.; Shao, M.; Yu, L.; et al. Salvianolic acids from Salvia miltiorrhiza Bunge and their anti-inflammatory effects through the activation of α7nAchR signaling. J. Ethnopharmacol. 2023, 317, 116743. [Google Scholar] [CrossRef]
- Wei, B.; Sun, C.; Wan, H.; Shou, Q.; Han, B.; Sheng, M.; Li, L.; Kai, G. Bioactive components and molecular mechanisms of Salvia miltiorrhiza Bunge in promoting blood circulation to remove blood stasis. J. Ethnopharmacol. 2023, 317, 116697. [Google Scholar] [CrossRef]
- Lu, S. Biosynthesis and regulatory mechanisms of bioactive compounds in Salvia miltiorrhiza, a model system for medicinal plant biology. Crit. Rev. Plant Sci. 2021, 40, 243–283. [Google Scholar] [CrossRef]
- Li, S.; Pan, Y.; Huang, Z.; Li, Y.; Deng, Q. Effects of different fore-rotating crops on yield and quality of Salvia miltiorrhiza Bge. Mod. Agric. Technol. 2009, 13, 94–95. [Google Scholar]
- Li, J.; Mei, X.; Zhang, J.; Song, Z.; Wang, S.; Chen, W.; Wei, X.; Fang, X.; Wang, J. Effects of potassium application on growth and root metabolism of Salvia miltiorrhiza under drought stress. Agronomy 2023, 13, 2796. [Google Scholar] [CrossRef]
- Aazami, M.A.; Bahrevar, F.; Rasouli, F.; Hassanpouraghdam, M.B.; Khoshmaram, L. Foliar application of a newly engineered cysteine-graphene quantum dots (GQDs-Cys) nanocomposite mitigates drought stress in apricot (Prunus armeniaca L.) seedlings. Sci. Hortic. 2024, 338, 113808. [Google Scholar] [CrossRef]
- Rani, S.; Dahiya, P.; Sharma, A.; Vashisth, Y.; Arora, K.; Dang, A.S.; Suneja, P. Evaluating the role of biopriming and nanopriming on the morphometric, biochemical, and yield parameters of chickpea (Cicer arietinum L.) under drought stress. Plant Stress 2024, 14, 100675. [Google Scholar] [CrossRef]
- Mishra, A.; Kar, S.; Bisht, N.; Mishra, S.K.; Chauhan, P.S. Synergistic effect of Adathoda vasica plant-derived biostimulant and PGPR on Zea mays L. for drought stress management. Microbiol. Res. 2025, 290, 127968. [Google Scholar] [CrossRef] [PubMed]
- Mim, M.F.; Chowdhury, M.Z.H.; Rohman, M.M.; Naz, A.; Bhuiyan, A.; Mohi-Ud-Din, M.; Haque, M.A.; Islam, S.M.N. Metarhizium anisopliae (MetA1) seed priming improves photosynthesis, growth, plant defense and yield of wheat under drought stress. Plant Physiol. Biochem. 2024, 217, 109239. [Google Scholar] [CrossRef]
- Liu, H.; Wang, X.; Wang, D.; Zou, Z.; Liang, Z. Effect of drought stress on growth and accumulation of active constituents in Salvia miltiorrhiza Bunge. Ind. Crop. Prod. 2011, 33, 84–88. [Google Scholar] [CrossRef]
- Zhou, Y.; Bai, Y.H.; Han, F.X.; Chen, X.; Wu, F.S.; Liu, Q.; Ma, W.Z.; Zhang, Y.Q. Transcriptome sequencing and metabolome analysis reveal the molecular mechanism of Salvia miltiorrhiza in response to drought stress. BMC Plant Biol. 2024, 24, 446. [Google Scholar] [CrossRef]
- Kawka, M.; Bubko, I.; Koronkiewicz, M.; Gruber-Bzura, B.; Graikou, K.; Chinou, I.; Jeziorek, M.; Pietrosiuk, A.; Sykłowska Baranek, K. Polyurethane foam rafts supported in vitro cultures of Rindera graeca roots for enhanced production of Rinderol, potent proapoptotic naphthoquinone compound. Int. J. Mol. Sci. 2022, 23, 56. [Google Scholar] [CrossRef]
- Nowak, B.; Kawka, M.; Wierzchowski, K.; Sykłowska-Baranek, K.; Pilarek, M. MTMS-based aerogel constructs for immobilization of plant hairy roots: Effects on proliferation of Rindera graeca biomass and extracellular secretion of naphthoquinones. J. Funct. Biomater. 2021, 12, 19. [Google Scholar] [CrossRef]
- Chang, Q.; Zhang, L.; Chen, S.; Gong, M.; Liu, L.; Hou, X.; Mi, Y.; Wang, X.; Wang, J.; Zhang, Y.; et al. Exogenous melatonin enhanced the yield and secondary metabolite contents of Prunella vulgaris by modulating antioxidant system, root architecture and photosynthetic capacity. Plants 2023, 12, 1129. [Google Scholar] [CrossRef]
- Wierzchowski, K.; Kawka, M.; Wrzecionek, M.; Urbanek, J.; Pietrosiuk, A.; Sykłowska-Baranek, K.; Gadomska-Gajadhur, A.; Pilarek, M. Stress-induced intensification of deoxyshikonin production in Rindera graeca hairy root cultures with ester-based scaffolds. Plants 2022, 11, 3462. [Google Scholar] [CrossRef]
- Balogun-Agbaje, O.A.; Odeniyi, O.A.; Odeniyi, M.A. Drug delivery applications of poly-γ-glutamic acid. Future J. Pharm. Sci. 2021, 7, 125. [Google Scholar] [CrossRef]
- Wang, L.; Chen, S.; Yu, B. Poly-γ-glutamic acid: Recent achievements, diverse applications and future perspectives. Trends Food Sci. Technol. 2022, 119, 1–12. [Google Scholar] [CrossRef]
- Bai, N.; Zhang, H.; Li, S.; Zheng, X.; Zhang, J.; Sun, L.; Lv, W. Effects of application rates of poly-γ-glutamic acid on vegetable growth and soil bacterial community structure. App. Soil Ecol. 2020, 147, 103405. [Google Scholar] [CrossRef]
- Xu, Z.; Ma, J.; Lei, P.; Wang, Q.; Feng, X.; Xu, H. Poly-glutamic acid induces system tolerance to drought stress by promoting abscisic acid accumulation in Brassica napus L. Sci. Rep. 2020, 10, 252. [Google Scholar] [CrossRef]
- Cao, L.; Lu, X.; Wang, G.; Dang, Z.; Qiu, T.; Qiu, J.; Tian, Y.; Wang, Z.; Dang, Y. Effects of foliar spraying with carbon-adsorbed polyglutamic acid on growth and development of maize. Crops 2022, 38, 158–166. [Google Scholar]
- Guo, M.; Gao, Z.; Zhang, H.; Li, H.; Zhou, Y.; Huang, Y.; Wang, Q.; Zhao, D. Effect of poly-glutamic acid on the growth and photosynthesis of Salvia miltiorrhiza seedlings. J. Henan Agric. Univ. 2019, 53, 694–697. [Google Scholar]
- Yang, W.; Zhang, X.; Yang, D.; Shan, C. Effects of poly-glutamic acid on the growth and photosynthetic physiological characteristics of Salvia miltiorrhiza seedlings under different fertilization levels. Jiangsu Agric. Sci. 2023, 51, 143–149. [Google Scholar]
- Shan, C.; Zhang, X.; Luo, Y.; Yang, D. Poly-glutamic acid promotes the growth and the accumulation of main medicinal components in Salvia miltiorrhiza. Agronomy 2024, 14, 252. [Google Scholar] [CrossRef]
- Giannopolitis, C.N.; Ries, S.K. Superoxide dismutases occurrence in higher plants. Plant Physiol. 1977, 59, 309–314. [Google Scholar] [CrossRef]
- Scebba, F.; Sebastiani, L.; Vitagliano, C. Activities of antioxidant enzymes during senescence of Prunus armeniaca leaves. Biol. Plant. 2001, 44, 41–46. [Google Scholar] [CrossRef]
- Kato, M.; Shimizu, S. Chlorophyll metabolism in higher plants VII. Chlorophyll degradation in senescing tobacco leaves: Phenolic-dependent peroxidative degradation. Can. J. Bot. 1987, 65, 729–735. [Google Scholar] [CrossRef]
- Hodges, M.D.; DeLong, J.M.; Forney, C.F.; Prange, R.K. Improving the thiobarbituric acid-reactive-substances assay for estimating lipid peroxidation in plant tissues containing anthocyanin and other interfering compounds. Planta 1999, 207, 604–611. [Google Scholar] [CrossRef]
- Wang, F.; You, H.; Du, X.; Yang, Z.; Zhang, X.; Liang, Z.; Yang, D. Effects of different nitrogen sources on accumulation of active components in hairy roots of Salvia miltiorrhiza and Salvia castanea f. tomentosa. Chin. Tradit. Herbal Drugs 2020, 51, 2538–2547. [Google Scholar]
- Asati, R.; Tripathi, M.K.; Yadav, R.K.; Tripathi, N.; Sikarwar, R.S.; Tiwari, P.N. Investigation of drought stress on chickpea (Cicer arietinum L.) genotypes employing various physiological enzymatic and non-enzymatic biochemical parameters. Plants 2024, 13, 2746. [Google Scholar] [CrossRef]
- Bekkam, R.; Thiyagarajan, C. Foliar application of rice husk derived nanosilica for mitigating drought stress in hybrid maize by boosting antioxidant defense system. J. Hazard. Mater. Adv. 2024, 16, 100482. [Google Scholar] [CrossRef]
- Wasaya, A.; Manzoor, S.; Yasir, T.A.; Sarwar, N.; Mubeen, K.; Ismail, I.A.; Raza, A.; Rehman, A.; Hossain, A.; EL Sabagh, A. Evaluation of fourteen bread wheat (Triticum aestivum L.) genotypes by observing gas exchange parameters, relative water and chlorophyll content, and yield attributes under drought stress. Sustainability 2021, 13, 4799. [Google Scholar] [CrossRef]
- Shi, R.J.; Ye, M.Y.; Liu, Y.; Wu, Q.S.; Abd_Allah, E.F.; Zhou, N. Exogenous melatonin regulates physiological responses and active ingredient levels in Polygonum cuspidatum under drought stress. Plants 2023, 12, 2141. [Google Scholar] [CrossRef]
- Yang, Q.; Li, P.; Zhang, D.; Lin, W.; Hao, X.; Zong, Y. Effects of Elevated CO2 on the photosynthesis, chlorophyll fluorescence and yield of two wheat cultivars (Triticum aestivum L.) under persistent drought stress. Sustainability 2023, 15, 1593. [Google Scholar] [CrossRef]
- Zhu, Q.; Li, Y.; Zhang, N.; Wu, Y.; Ou, X. Poly-glutamic acid mitigates the negative effects of salt stress on wheat seedlings by regulating the photosynthetic performance, water physiology, antioxidant metabolism and ion homeostasis. Plant Soil Environ. 2024, 70, 454–467. [Google Scholar] [CrossRef]
- Sun, Y.; Miao, F.; Wang, Y.; Liu, H.; Wang, X.; Wang, H.; Guo, J.; Shao, R.; Yang, Q. L-arginine alleviates the reduction in photosynthesis and antioxidant activity induced by drought stress in maize seedlings. Antioxidants 2023, 12, 482. [Google Scholar] [CrossRef]
- Wang, Y.; Qin, T.; Pu, Z.; Dekomah, S.D.; Yao, P.; Sun, C.; Liu, Y.; Bi, Z.; Bai, J. Foliar application of chelated sugar alcohol calcium improves photosynthesis and tuber quality under drought stress in potatoes (Solanum tuberosum L.). Int. J. Mol. Sci. 2023, 24, 12216. [Google Scholar] [CrossRef] [PubMed]
- Wu, L.; Zhang, Q.; Lu, N. Poly-glutamic acid reinforces wheat cadmium tolerance by modulating ascorbic acid and glutathione metabolism. Plant Soil Environ. 2024, 70, 483–491. [Google Scholar] [CrossRef]







| Disclaimer/Publisher’s Note: The statements, opinions and data contained in all publications are solely those of the individual author(s) and contributor(s) and not of MDPI and/or the editor(s). MDPI and/or the editor(s) disclaim responsibility for any injury to people or property resulting from any ideas, methods, instructions or products referred to in the content. | 
© 2024 by the authors. Licensee MDPI, Basel, Switzerland. This article is an open access article distributed under the terms and conditions of the Creative Commons Attribution (CC BY) license (https://creativecommons.org/licenses/by/4.0/).
Share and Cite
Shan, C.; Zhang, Y. Poly-Glutamic Acid Regulates Physiological Characteristics, Plant Growth, and the Accumulation of the Main Medical Ingredients in the Root of Salvia miltiorrhiza Under Water Shortage. Agronomy 2024, 14, 2977. https://doi.org/10.3390/agronomy14122977
Shan C, Zhang Y. Poly-Glutamic Acid Regulates Physiological Characteristics, Plant Growth, and the Accumulation of the Main Medical Ingredients in the Root of Salvia miltiorrhiza Under Water Shortage. Agronomy. 2024; 14(12):2977. https://doi.org/10.3390/agronomy14122977
Chicago/Turabian StyleShan, Changjuan, and Yibo Zhang. 2024. "Poly-Glutamic Acid Regulates Physiological Characteristics, Plant Growth, and the Accumulation of the Main Medical Ingredients in the Root of Salvia miltiorrhiza Under Water Shortage" Agronomy 14, no. 12: 2977. https://doi.org/10.3390/agronomy14122977
APA StyleShan, C., & Zhang, Y. (2024). Poly-Glutamic Acid Regulates Physiological Characteristics, Plant Growth, and the Accumulation of the Main Medical Ingredients in the Root of Salvia miltiorrhiza Under Water Shortage. Agronomy, 14(12), 2977. https://doi.org/10.3390/agronomy14122977
 
        

