Improvement of Photosynthetic Pigment Characteristics, Mineral Content, and Antioxidant Activity of Lettuce (Lactuca sativa L.) by Arbuscular Mycorrhizal Fungus and Seaweed Extract Foliar Application
Abstract
1. Introduction
2. Materials and Methods
2.1. Experimental Treatments of Lettuce with AMF and SWE
2.2. Root Colonization
2.3. Photosynthetic Pigments
2.4. Chlorophyll Fluorescence
2.5. Macro- and Microminerals
2.6. Total Antioxidant Activity (TAA)
2.7. Statistical Analysis
3. Results
3.1. Root Colonization
3.2. Photosynthetic Pigments
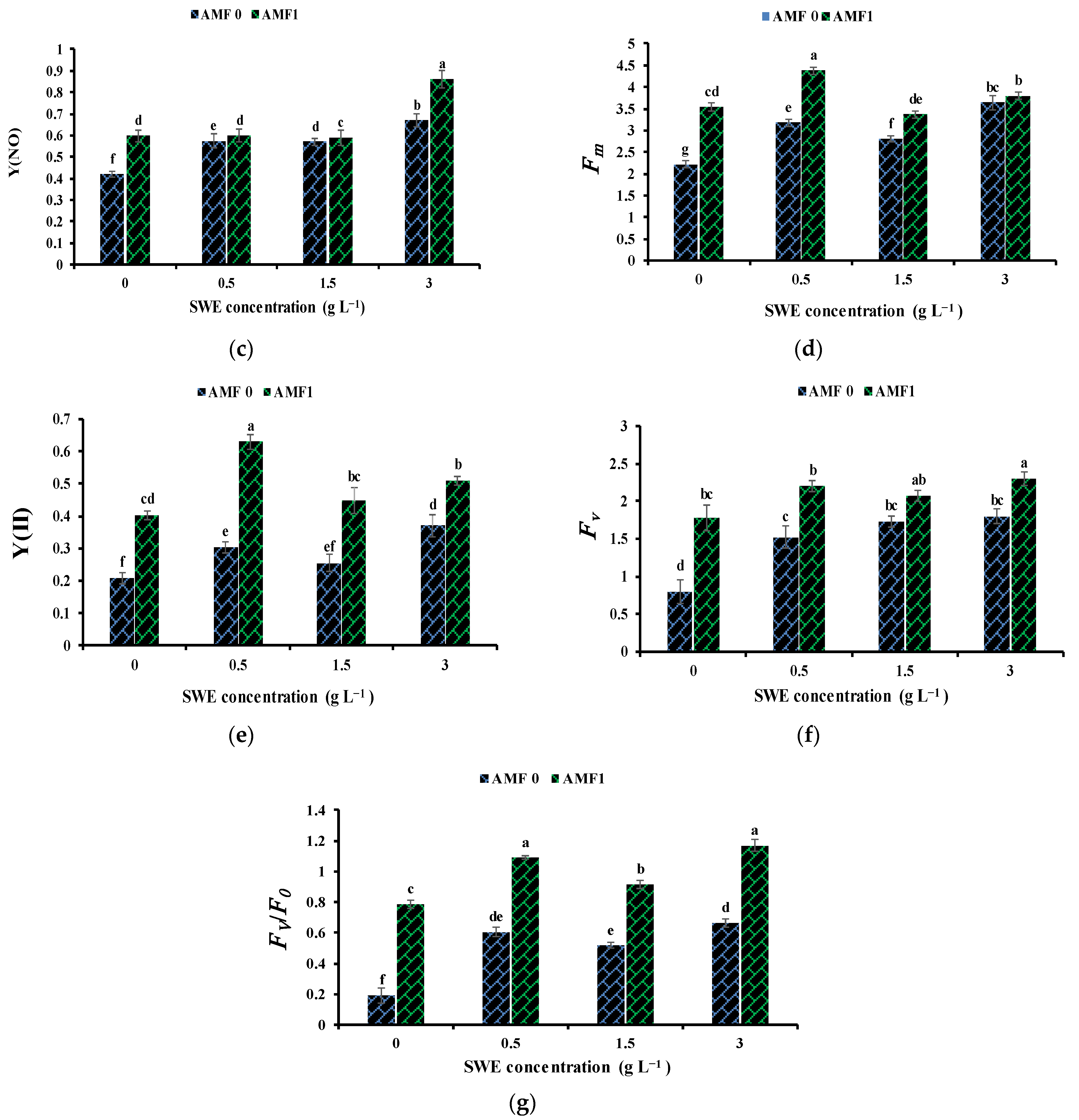
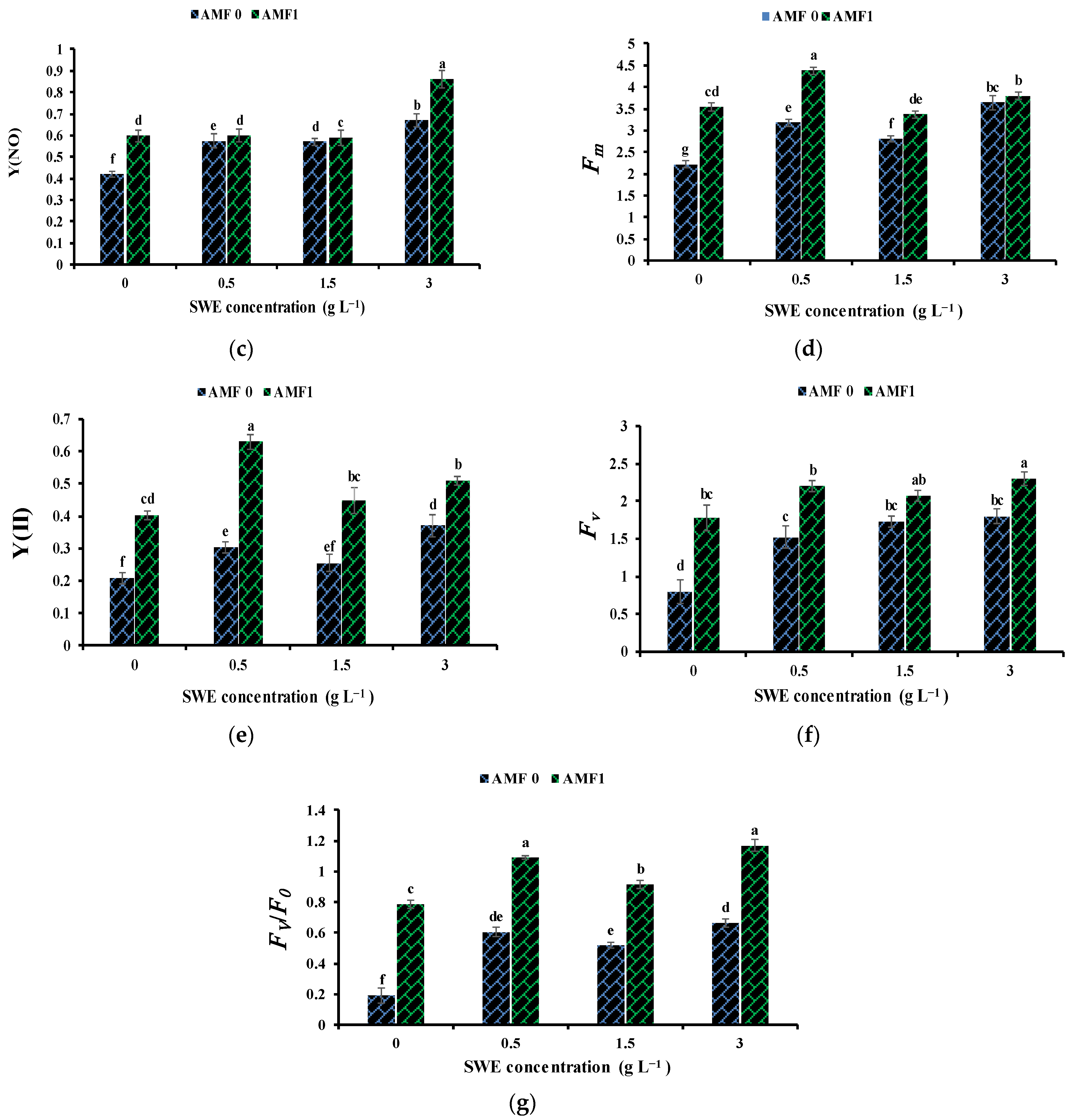
3.3. Chlorophyll Fluorescence
3.4. Macrominerals and Microminerals
3.5. Total Antioxidant Activity (TAA)
3.6. Correlation Analysis
4. Discussion
5. Conclusions
Author Contributions
Funding
Institutional Review Board Statement
Informed Consent Statement
Data Availability Statement
Acknowledgments
Conflicts of Interest
References
- Maitra, S.; Hossain, A.; Brestic, M.; Skalicky, M.; Ondrisik, P.; Gitari, H.; Brahmachari, K.; Shankar, T.; Bhadra, P.; Palai, J.B.; et al. Intercropping—A low input agricultural strategy for food and environmental security. Agronomy 2021, 11, 343. [Google Scholar] [CrossRef]
- Ahmad, M.A.; Gupta, L.M.; Gupta, M. Effect of integrated nutrient management on growth and yield of Aloe barbadensis. Indian J. Agric. Sci. 2016, 86, 91–95. [Google Scholar]
- Rouphael, Y.; Colla, G. Biostimulants in agriculture. Front. Plant Sci. 2020, 11, 40. [Google Scholar] [CrossRef]
- Bulgari, R.; Cocetta, G.; Trivellini, A.; Vernieri, P.; Ferrante, A. Biostimulants and crop responses: A review. Biol. Agric. Hortic. 2015, 31, 1–17. [Google Scholar] [CrossRef]
- Desoky, E.S.; Elrys, A.S.; Mansour, E.; Eid, R.S.; Selem, E.; Rady, M.M.; Ali, E.F.; Mersal, G.A.; Semida, W.M. Application of biostimulants promotes growth and productivity by fortifying the antioxidant machinery and suppressing oxidative stress in faba bean under various abiotic stresses. Sci. Hortic. 2021, 288, 110340. [Google Scholar] [CrossRef]
- Golubkina, N.; Logvinenko, L.; Novitsky, M.; Zamana, S.; Sokolov, S.; Molchanova, A.; Shevchuk, O.; Sekara, A.; Tallarita, A.; Caruso, G. Yield, essential oil and quality performances of Artemisia dracunculus, Hyssopus officinalis and Lavandula angustifolia as affected by arbuscular mycorrhizal fungi under organic management. Plants 2020, 9, 375. [Google Scholar] [CrossRef] [PubMed]
- Guo, X. The Role of Arbuscular Mycorrhiza in Sustainable Environment and Agriculture. In Biofertilizers for Sustainable Agriculture and Environment; Springer: Cham, Switzerland, 2019; Volume 55, pp. 501–520. [Google Scholar] [CrossRef]
- Kumari, M.; Prasad, H.; Kumari, S. Association of am (arbuscular mycorrhizal) fungi in fruit crops production: A review. Pharm. Innov. 2017, 6, 204. [Google Scholar]
- Quiroga, G.; Erice, G.; Aroca, R.; Chaumont, F.; Ruiz-Lozano, J.M. Enhanced drought stress tolerance by the arbuscular mycorrhizal symbiosis in a drought-sensitive maize cultivar is related to a broader and differential regulation of host plant aquaporins than in a drought-tolerant cultivar. Front. Plant Sci. 2017, 8, 1056. [Google Scholar] [CrossRef]
- Sbrana, C.; Avio, L.; Giovannetti, M. Beneficial mycorrhizal symbionts affecting the production of health-promoting phytochemicals. Electrophoresis 2014, 35, 1535–1546. [Google Scholar] [CrossRef]
- Baslam, M.; Garmendia, I.; Goicoechea, N. Arbuscular mycorrhizal fungi (AMF) improved growth and nutritional quality of greenhouse-grown lettuce. J. Agric. Food Chem. 2011, 59, 5504–5515. [Google Scholar] [CrossRef]
- Saia, S.; Colla, G.; Raimondi, G.; Di Stasio, E.; Cardarelli, M.; Bonini, P.; Vitaglione, P.; De Pascale, S.; Rouphael, Y. An endophytic fungi-based biostimulant modulated lettuce yield, physiological and functional quality responses to both moderate and severe water limitation. Sci. Hortic. 2019, 256, 108595. [Google Scholar] [CrossRef]
- Papoui, E.; Bantis, F.; Kapoulas, N.; Ipsilantis, I.; Koukounaras, A. A Sustainable Intercropping System for Organically Produced Lettuce and Green Onion with the Use of Arbuscular Mycorrhizal Inocula. Horticulturae 2022, 8, 466. [Google Scholar] [CrossRef]
- Tarraf, W.; Ruta, C.; Tagarelli, A.; De Cillis, F.; De Mastro, G. Influence of arbuscular mycorrhizae on plant growth, essential oil production and phosphorus uptake of Salvia officinalis L. Ind. Crops Prod. 2017, 102, 144–153. [Google Scholar] [CrossRef]
- Tchameni, S.N.; Nwaga, D.; Wakam, L.N.; Mangaptche Ngonkeu, E.L.; Fokom, R.; Kuaté, J.; Etoa, F.X. Growth enhancement, amino acid synthesis and reduction in susceptibility towards Phytophthora megakarya by arbuscular mycorrhizal fungi inoculation in cocoa plants. J. Phytopathol. 2012, 160, 220–228. [Google Scholar] [CrossRef]
- Elliott, A.J.; Daniell, T.J.; Cameron, D.D.; Field, K.J. A commercial arbuscular mycorrhizal inoculum increases root colonization across wheat cultivars but does not increase assimilation of mycorrhiza-acquired nutrients. Plants People Planet 2021, 3, 588–599. [Google Scholar] [CrossRef]
- Giri, B.; Prasad, R.; Wu, Q.S.; Varma, A. (Eds.) Biofertilizers for Sustainable Agriculture and Environment; Springer: Cham, Switzerland, 2019; Volume 55, pp. 1–544. [Google Scholar] [CrossRef]
- Di Mola, I.; Cozzolino, E.; Ottaiano, L.; Giordano, M.; Rouphael, Y.; El-Nakhel, C.; Leone, V.; Mori, M. Effect of seaweed (Ecklonia maxima) extract and legume-derived protein hydrolysate biostimulants on baby leaf lettuce grown on optimal doses of nitrogen under greenhouse conditions. Aust. J. Crop Sci. 2020, 14, 1456–1464. [Google Scholar] [CrossRef]
- Abbas, M.; Anwar, J.; Zafar-ul-Hye, M.; Iqbal Khan, R.; Saleem, M.; Rahi, A.A.; Danish, S.; Datta, R. Effect of seaweed extract on productivity and quality attributes of four onion cultivars. Horticulturae 2020, 6, 28. [Google Scholar] [CrossRef]
- Rodrigues, M.; Baptistella, J.L.; Horz, D.C.; Bortolato, L.M.; Mazzafera, P. Organic plant biostimulants and fruit quality—A review. Agronomy 2020, 10, 988. [Google Scholar] [CrossRef]
- Mineur, F.; Arenas, F.; Assis, J.; Davies, A.J.; Engelen, A.H.; Fernandes, F.; Malta, E.J.; Thibaut, T.V.; Nguyen, T.U.; Vaz-Pinto, F.; et al. European seaweeds under pressure: Consequences for communities and ecosystem functioning. J. Sea Res. 2015, 98, 91–108. [Google Scholar] [CrossRef]
- Renaut, S.; Masse, J.; Norrie, J.P.; Blal, B.; Hijri, M. A commercial seaweed extract structured microbial communities associated with tomato and pepper roots and significantly increased crop yield. Microb. Biotech. 2019, 12, 1346–1358. [Google Scholar] [CrossRef]
- Sunarpi, S.; Jupri, A.; Kurnianingsih, R.; Julisaniah, N.I.; Nikmatullah, A. Effect of seaweed extracts on growth and yield of rice plants. Asian Pac. J. Trop. Biomed. 2011, 8, 1. [Google Scholar] [CrossRef]
- Hoa, H.T.T.; Duc, T.T.; Thuc, D.D.; Tuyet, T.T.A.; Co, N.Q.; ur Rehman, H. Efficiency of bio-foliar fertilizer extracted from seaweed and water hyacinth on lettuce (Lactuca sativa) vegetable in Central Vietnam. Pak. J. Agric. Sci. 2022, 59, 1–7. [Google Scholar] [CrossRef]
- Rasouli, F.; Amini, T.; Asadi, M.; Hassanpouraghdam, M.B.; Aazami, M.A.; Ercisli, S.; Skrovankova, S.; Mlcek, J. Growth and Antioxidant Responses of Lettuce (Lactuca sativa L.) to Arbuscular Mycorrhiza Inoculation and Seaweed Extract Foliar Application. Agronomy 2022, 12, 401. [Google Scholar] [CrossRef]
- Anli, M.; Kaoua, M.E.; Boutasknit, A.; ben-Laouane, R.; Toubali, S.; Baslam, M.; Lyamlouli, K.; Hafidi, M.; Meddich, A. Seaweed extract application and arbuscular mycorrhizal fungal inoculation: A tool for promoting growth and development of date palm (Phoenix dactylifera L.) cv «Boufgous». S. Afr. J. Bot. 2020, 132, 15–21. [Google Scholar] [CrossRef]
- Amin, M.S.; Elshinawy, M.Z.; Abdallah, M.M.; El-Gawad, A. Effect of seaweed extract and biofertilizer on organic production of common bean seeds (Phaseolus vulgaris L.). Arab Univ. J. Agric. Sci. 2020, 28, 265–273. [Google Scholar] [CrossRef]
- González-González, M.F.; Ocampo-Alvarez, H.; Santacruz-Ruvalcaba, F.; Sánchez-Hernández, C.V.; Casarrubias-Castillo, K.; Becerril-Espinosa, A.; Castañeda-Nava, J.J.; Hernández-Herrera, R.M. Physiological, ecological, and biochemical implications in tomato plants of two plant biostimulants: Arbuscular mycorrhizal fungi and seaweed extract. Front. Plant Sci. 2020, 11, 999. [Google Scholar] [CrossRef]
- Rashad, Y.M.; El-Sharkawy, H.H.; Elazab, N.T. Ascophyllum nodosum Extract and Mycorrhizal Colonization Synergistically Trigger Immune Responses in Pea Plants against Rhizoctonia Root Rot, and Enhance Plant Growth and Productivity. J. Fungi 2022, 8, 268. [Google Scholar] [CrossRef]
- Mou, B. Nutritional quality of lettuce. Curr. Nutr. Food Sci. 2012, 8, 177–187. [Google Scholar] [CrossRef]
- Ahmed, Z.F.; Alnuaimi, A.K.; Askri, A.; Tzortzakis, N. Evaluation of Lettuce (Lactuca sativa L.) production under hydroponic system: Nutrient solution derived from fish waste vs. Inorganic nutrient solution. Horticulturae 2021, 7, 292. [Google Scholar] [CrossRef]
- Sarmento-Soares, L.M.; Martins-Pinheiro, R.F. A fauna de peixes nas bacias do norte do Espírito Santo, Brasil. Sitientibus Sér. Ciênc. Biol. 2012, 12, 27–52. [Google Scholar] [CrossRef][Green Version]
- Phillips, J.M.; Hayman, D.S. Improved procedures for clearing roots and staining parasitic and vesicular-arbuscular mycorrhizal fungi for rapid assessment of infection. Mycol. Res. 1970, 55, 158–161. [Google Scholar] [CrossRef]
- Koske, R.E.; Gemma, J.N. A modified procedure for staining roots to detect VA mycorrhizas. Mycol. Res. 1989, 92, 486. [Google Scholar] [CrossRef]
- Giovannetti, M.; Mosse, B. An evaluation of techniques for measuring vesicular arbuscular mycorrhizal infection in roots. New Phytol. 1980, 84, 489–500. [Google Scholar] [CrossRef]
- Arnon, D.I. Copper enzymes in isolated chloroplasts. Polyphenoloxidase in Beta vulgaris. Plant Physiol. 1949, 24, 1. [Google Scholar] [CrossRef] [PubMed]
- Maxwell, K.; Johnson, G.N. Chlorophyll fluorescence—A practical guide. J. Exp. Bot. 2000, 51, 659–668. [Google Scholar] [CrossRef] [PubMed]
- Gorsuch, T.T. The Destruction of Organic Matter; International Series of Monographs in Analytical Chemistry; Pergamon Press Ltd.: Oxford, UK, 1970; Volume 39. [Google Scholar]
- Sharma, O.P.; Bhat, T.K. DPPH antioxidant assay revisited. Food Chem. 2009, 113, 1202–1205. [Google Scholar] [CrossRef]
- Prasad, K. Effect of dual inoculation of arbuscular mycorrhiza fungus and cultivar specific Bradyrhizobium japonicum on the growth, yield, chlorophyll, nitrogen and phosphorus contents of soybean (Glycine max (L.) Merrill.) grown on alluvial soil. Int. J. Res. Sci. 2021, 4, 7–16. [Google Scholar]
- Sikes, B.A.; Maherali, H.; Klironomos, J.N. Mycorrhizal fungal growth responds to soil characteristics, but not host plant identity, during a primary lacustrine dune succession. Mycorrhiza 2014, 24, 219–226. [Google Scholar] [CrossRef]
- Yang, Q.; Ravnskov, S.; Neumann Andersen, M. Nutrient uptake and growth of potato: Arbuscular mycorrhiza symbiosis interacts with quality and quantity of amended biochars. J. Plant Nutr. Soil Sci. 2020, 183, 220–232. [Google Scholar] [CrossRef]
- Bagyaraj, D.J.; Sharma, M.P.; Maiti, D. Phosphorus nutrition of crops through arbuscular mycorrhizal fungi. Curr. Sci. 2015, 10, 1288–1293. [Google Scholar]
- Ali, M.; Ahmad, H.; Hayat, S.; Ghani, M.I.; Amin, B.; Atif, M.J.; Wali, K.; Cheng, Z. Application of garlic allelochemicals improves growth and induces defense responses in eggplant (Solanum melongena) against Verticillium dahliae. Ecotoxicol. Environ. Saf. 2021, 215, 112132. [Google Scholar] [CrossRef] [PubMed]
- El Chami, D.; Galli, F. An assessment of seaweed extracts: Innovation for sustainable agriculture. Agronomy 2020, 10, 1433. [Google Scholar] [CrossRef]
- Kocira, A.; Świeca, M.; Kocira, S.; Złotek, U.; Jakubczyk, A. Enhancement of yield, nutritional and nutraceutical properties of two common bean cultivars following the application of seaweed extract (Ecklonia maxima). Saudi J. Biol. Sci. 2018, 25, 563–571. [Google Scholar] [CrossRef]
- Abobaker, A.M.; Bound, S.A.; Swarts, N.D.; Barry, K.M. Effect of fertilizer type and mycorrhizal inoculation on growth and development of sunflower (Helianthus annuus L.). Rhizosphere 2018, 6, 11–19. [Google Scholar] [CrossRef]
- Carillo, P.; Colla, G.; El-Nakhel, C.; Bonini, P.; D’Amelia, L.; Dell’Aversana, E.; Pannico, A.; Giordano, M.; Sifola, M.I.; Kyriacou, M.C.; et al. Biostimulant application with a tropical plant extract enhances Corchorus olitorius adaptation to sub-optimal nutrient regimens by improving physiological parameters. Agronomy 2019, 9, 249. [Google Scholar] [CrossRef]
- Carillo, P.; Colla, G.; Fusco, G.M.; Dell’Aversana, E.; El-Nakhel, C.; Giordano, M.; Pannico, A.; Cozzolino, E.; Mori, M.; Reynaud, H.; et al. Morphological and physiological responses induced by protein hydrolysate-based biostimulant and nitrogen rates in greenhouse spinach. Agronomy 2019, 9, 450. [Google Scholar] [CrossRef]
- de Carvalho, R.P.; Pasqual, M.; de Oliveira Silveira, H.R.; de Melo, P.C.; Bispo, D.F.; Laredo, R.R.; de Aguiar Saldanha Lima, L. “Niágara Rosada” table grape cultivated with seaweed extracts: Physiological, nutritional, and yielding behavior. J. Appl. Phycol. 2019, 31, 2053–2064. [Google Scholar] [CrossRef]
- Gupta, S.; Stirk, W.A.; Plačková, L.; Kulkarni, M.G.; Doležal, K.; Van Staden, J. Interactive effects of plant growth-promoting rhizobacteria and a seaweed extract on the growth and physiology of Allium cepa L. (onion). J. Plant Physiol. 2021, 262, 153437. [Google Scholar] [CrossRef]
- Alhasan, A.S.; Aldahab, E.A.; Al-Ameri, D.T. Influence of Different Rates of Seaweed Extract on Chlorophyll Content, Vegetative Growth and Flowering Traits of Gerbera (Gerbera jamesonii L.) Grown Under the Shade Net House Conditions. IOP Conf. Ser. Environ. Earth Sci. 2021, 923, 012019. [Google Scholar] [CrossRef]
- Nabti, E.; Leila, B.; Nassira, T. Effect of the marine algae cystoseira mediterranea on growth of Hordeum vulgare (L.) and it chlorophyll content. Trends Hortic. 2018, 1, 3. [Google Scholar] [CrossRef]
- Chrysargyris, A.; Xylia, P.; Anastasiou, M.; Pantelides, I.; Tzortzakis, N. Effects of Ascophyllum nodosum seaweed extracts on lettuce growth, physiology and fresh-cut salad storage under potassium deficiency. J. Sci. Food Agric. 2018, 98, 5861–5872. [Google Scholar] [CrossRef] [PubMed]
- Meng, C.; Gu, X.; Liang, H.; Wu, M.; Wu, Q.; Yang, L.; Li, Y.; Shen, P. Optimized preparation and high-efficient application of seaweed fertilizer on peanut. J. Agric. Food Inf. 2022, 7, 100275. [Google Scholar] [CrossRef]
- Weisany, W.; Raei, Y.; Pertot, I. Changes in the essential oil yield and composition of dill (Anethum graveolens L.) as response to arbuscular mycorrhiza colonization and cropping system. Ind. Crops Prod. 2015, 77, 295–306. [Google Scholar] [CrossRef]
- Xu, C.; Leskovar, D.I. Effects of A. nodosum seaweed extracts on spinach growth, physiology and nutrition value under drought stress. Sci. Hortic. 2015, 183, 39–47. [Google Scholar] [CrossRef]
- Castellanos-Barriga, L.G.; Santacruz-Ruvalcaba, F.; Hernández-Carmona, G.; Ramírez-Briones, E.; Hernández-Herrera, R.M. Effect of seaweed liquid extracts from Ulva lactuca on seedling growth of mung bean (Vigna radiata). J. Appl. Phycol. 2017, 29, 2479–2488. [Google Scholar] [CrossRef]
- Mahmoud, S.H.; Salama, D.M.; El-Tanahy, A.M.M.; Abd El-Samad, E.H. Utilization of seaweed (Sargassum vulgare) extract to enhance growth, yield and nutritional quality of red radish plants. Ann. Agric. Sci. 2019, 64, 167–175. [Google Scholar] [CrossRef]
- Mancuso, S.; Briand, X.; Mugnai, S.; Azzarello, E. Marine bioactive substances (IPA Extract) improve foliar ion uptake and water stress tolerance in potted “Vitis vinifera” plants. Adv. Hortic. Sci. 2006, 20, 156–161. [Google Scholar]
- Shehata, S.M.; Abdel-Azem, H.S.; Abou El-Yazied, A.; El-Gizawy, A.M. Effect of foliar spraying with amino acids and seaweed extract on growth chemical constitutes, yield and its quality of celeriac plant. Eur. J. Sci. Res. 2011, 58, 257–265. [Google Scholar]
- Fan, D.; Hodges, D.M.; Zhang, J.; Kirby, C.W.; Ji, X.; Locke, S.J.; Critchley, A.T.; Prithiviraj, B. Commercial extract of the brown seaweed Ascophyllum nodosum enhances phenolic antioxidant content of spinach (Spinacia oleracea L.) which protects Caenorhabditis elegans against oxidative and thermal stress. Food Chem. 2011, 124, 195–202. [Google Scholar] [CrossRef]
- Kulkarni, M.G.; Rengasamy, K.R.; Pendota, S.C.; Gruz, J.; Plačková, L.; Novák, O.; Doležal, K.; Van Staden, J. Bioactive molecules derived from smoke and seaweed Ecklonia maxima showing phytohormone-like activity in Spinacia oleracea L. New Biotechnol. 2019, 48, 83–89. [Google Scholar] [CrossRef]
- Sheng, M.; Tang, M.; Chen, H.; Yang, B.; Zhang, F.; Huang, Y. Influence of arbuscular mycorrhizae on photosynthesis and water status of maize plants under salt stress. Mycorrhiza 2008, 18, 287–296. [Google Scholar] [CrossRef] [PubMed]
- Yan, Z.; Ma, T.; Guo, S.; Liu, R.; Li, M. Leaf anatomy, photosynthesis and chlorophyll fluorescence of lettuce as influenced by arbuscular mycorrhizal fungi under high temperature stress. Sci. Hortic. 2021, 280, 109933. [Google Scholar] [CrossRef]
- Gong, M.; Tang, M.; Chen, H.; Zhang, Q.; Feng, X. Effects of two Glomus species on the growth and physiological performance of Sophora davidii seedlings under water stress. New For. 2013, 44, 399–408. [Google Scholar] [CrossRef]
- Sayar, R.; Khemira, H.; Kameli, A.; Mosbahi, M. Physiological tests as predictive appreciation for drought tolerance in durum wheat (Triticum durum Desf.). Agron. Res. 2008, 6, 79–90. [Google Scholar]
- Oyetunji, O.J.; Ekanayake, I.J.; Osonubi, O. Chlorophyll fluorescence analysis for assessing water deficit and arbuscular mycorrhizal fungi (AMF) inoculation in cassava (Manihot esculenta Crantz). Adv. Biol. Res. 2007, 1, 108–117. [Google Scholar]
- Yakhin, O.I.; Lubyanov, A.A.; Yakhin, I.A.; Brown, P.H. Biostimulants in plant science: A global perspective. Front. Plant Sci. 2017, 7, 2049. [Google Scholar] [CrossRef]
- Wu, N.; Li, Z.; Wu, F.; Tang, M. Comparative photochemistry activity and antioxidant responses in male and female Populus cathayana cuttings inoculated with arbuscular mycorrhizal fungi under salt. Sci. Rep. 2016, 6, 37663. [Google Scholar] [CrossRef]
- Fei, H.; Crouse, M.; Papadopoulos, Y.; Vessey, J.K. Enhancing the productivity of hybrid poplar (Populus × hybrid) and switchgrass (Panicum virgatum L.) by the application of beneficial soil microbes and a seaweed extract. Biomass Bioenergy 2017, 107, 122–134. [Google Scholar] [CrossRef]
- Faria, J.M.; Teixeira, D.M.; Pinto, A.P.; Brito, I.; Barrulas, P.; Carvalho, M. The protective biochemical properties of arbuscular mycorrhiza extraradical mycelium in acidic soils are maintained throughout the mediterranean summer conditions. Agronomy 2021, 11, 748. [Google Scholar] [CrossRef]
- Rouphael, Y.; Franken, P.; Schneider, C.; Schwarz, D.; Giovannetti, M.; Agnolucci, M.; De Pascale, S.; Bonini, P.; Colla, G. Arbuscular mycorrhizal fungi act as biostimulants in horticultural crops. Sci. Hortic. 2015, 196, 91–108. [Google Scholar] [CrossRef]
- Ronga, D.; Biazzi, E.; Parati, K.; Carminati, D.; Carminati, E.; Tava, A. Microalgal biostimulants and biofertilisers in crop productions. Agronomy 2019, 9, 192. [Google Scholar] [CrossRef]
- Ferahtia, A.; Halilat, M.T.; Mimeche, F.; Bensaci, E. Surface Water Quality Assessment in Semi-Arid Region (El Hodna Watershed, Algeria) Based on Water Quality Index (WQI). Studia Universitatis Babes-Bolyai. Chemia 2021, 66, 127. Available online: https://link.gale.com/apps/doc/A658742462/AONE?u=anon~cd98e27b&sid=googleScholar&xid=f89ea930 (accessed on 2 July 2022).
- Rady, H.; Nashwa, I. Quality improvement and seed yield of two garlic cultivars (Allium sativam L.) by seaweed extract and mycorrhizae. Alex. J. Agric. Sci. 2018, 63, 41–51. [Google Scholar] [CrossRef][Green Version]
- Franco-Ramírez, A.; Pérez-Moreno, J.; Sánchez-Viveros, G.; Cerdán-Cabrera, C.R.; Almaraz-Suárez, J.J.; Cetina-Alcalá, V.M.; Alarcón, A. Mobilization and transfer of nine macro-and micronutrients to Pinus greggii seedlings via arbuscular mycorrhizal fungi. Rev. Mex. Biodivers. 2021, 92, 923238. [Google Scholar] [CrossRef]
- Mukherjee, A.; Patel, J.S. Seaweed extract: Biostimulator of plant defense and plant productivity. Int. J. Environ. Sci. Technol. 2020, 17, 553–558. [Google Scholar] [CrossRef]
- Natsir, S.; Rosyida, E.; Yala, Z.R. Toxicity of liquid extract of seaweed Sargassum sp. on the growth of microalgae Skeletonema costatum. Aquac. Aquar. Conserv. Legis. 2017, 10, 247–253. [Google Scholar]
- Avio, L.; Sbrana, C.; Giovannetti, M.; Frassinetti, S. Arbuscular mycorrhizal fungi affect total phenolics content and antioxidant activity in leaves of oak leaf lettuce varieties. Sci. Hortic. 2017, 224, 265–271. [Google Scholar] [CrossRef]
- Colla, G.; Hoagland, L.; Ruzzi, M.; Cardarelli, M.; Bonini, P.; Canaguier, R.; Rouphael, Y. Biostimulant action of protein hydrolysates: Unraveling their effects on plant physiology and microbiome. Front. Plant Sci. 2017, 8, 2202. [Google Scholar] [CrossRef]
- Vasantharaja, R.; Abraham, L.S.; Inbakandan, D.; Thirugnanasambandam, R.; Senthilvelan, T.; Jabeen, S.A.; Prakash, P. Influence of seaweed extracts on growth, phytochemical contents and antioxidant capacity of cowpea (Vigna unguiculata L. Walp). Biocatal. Agric. Biotechnol. 2019, 17, 589–594. [Google Scholar] [CrossRef]
- Ashour, M.; Mabrouk, M.M.; Abo-Taleb, H.A.; Sharawy, Z.Z.; Ayoub, H.F.; Van Doan, H.; Davies, S.J.; El-Haroun, E.; Goda, A.M. A liquid seaweed extract (TAM®) improves aqueous rearing environment, diversity of zooplankton community, whilst enhancing growth and immune response of Nile tilapia, Oreochromis niloticus, challenged by Aeromonas hydrophila. Aquaculture 2021, 543, 736915. [Google Scholar] [CrossRef]
- Kang, H.M.; Saltveit, M.E. Antioxidant capacity of lettuce leaf tissue increases after wounding. J. Agric. Food Chem. 2002, 50, 7536–7541. [Google Scholar] [CrossRef] [PubMed]





| Trait | SWE Concentration (g L−1) | AMF (g kg−1 soil) |
|---|---|---|
| T1 | 0 | 0 |
| T2 | 0.5 | |
| T3 | 1.5 | |
| T4 | 3 | |
| T5 | 0 | 5 |
| T6 | 0.5 | |
| T7 | 1.5 | |
| T8 | 3 |
| SWE Concentration (g L−1) | AMF (g kg−1 soil) | Chl a (mg kg−1 fw) | Chl b (mg kg−1 fw) | Chl (a + b) (mg kg−1 fw) | Car (mg kg−1 fw) | TAA (%) |
|---|---|---|---|---|---|---|
| 0 | 0 | 13.9 ± 1.4 g | 6.49 ± 1.10 g | 20.4 ± 2.16 g | 3.73 ± 0.72 h | 43.52 ± 3.35 d |
| 5 | 23.2 ± 0.53 e,f | 15.8 ± 0.49 e,f | 39.1 ± 1.02 e,f | 10.5 ± 0.34 f | 61.79 ± 0.77 c | |
| 0.5 | 0 | 30.3 ± 0.50 d | 23.2 ± 0.75 c,d | 53.5 ± 1.23 c,d | 18.8 ± 0.61 d | 59.69 ± 0.77 c |
| 5 | 26.6 ± 0.57 d,e | 20.2 ± 0.68 d,e | 46.8 ± 1.28 d | 14.7 ± 0.69 e | 61.70 ± 3.75 c | |
| 1.5 | 0 | 19.7 ± 0.59 f | 11.8 ± 0.59 f,g | 31.5 ± 1.16 f | 7.01 ± 0.32 g | 69.52 ± 0.39 b |
| 5 | 41.4 ± 0.61 b | 33.6 ± 1.05 b | 75.1 ± 1.61 b | 28.1 ± 0.56 b | 72.12 ± 0.12 b | |
| 3 | 0 | 34.9 ± 1.2 c | 27.4 ± 0.63 b,c | 62.3 ± 1.88 c | 22.8 ± 0.36 c | 70.00 ± 0.12 b |
| 5 | 53.6 ± 2.3 a | 49.9 ± 5.36 a | 103.6 ± 7.53 a | 37.1 ± 0.68 a | 81.85 ± 2.72 a | |
| LSD at 0.05% | 3.87 | 6.86 | 3.09 | 6.96 | ||
| S.O.V | ||||||
| AMF | 336.8 ** | 453.1 ** | 1571.3 ** | 207.8 ** | 345.8 ** | |
| SWE | 1370.40 ** | 1527.09 ** | 5790.07 ** | 1086.02 ** | 950.30 ** | |
| AMF + SWE | 30.93 ** | 68.30 ** | 189.63 * | 13.69 * | 122.20 ** | |
| Error | 7.062 | 22.120 | 48.770 | 4.485 | 22.700 | |
| C.V | 8.71 | 19.9 | 14.52 | 11.86 | 7.34 | |
| S.O.V | df | F0 | Fm | FV | FV/Fm | FV/F0 | Y(II) | Y(NO) |
|---|---|---|---|---|---|---|---|---|
| AMF | 1 | 0.301 * | 0.044 ns | 1.242 ** | 0.068 ** | 0.173 ** | 0.001 ns | 0.065 ** |
| SWE | 3 | 1.381 * | 3.513 * | 1.389 ** | 0.218 ** | 0.873 ** | 0.164 ** | 0.096 ** |
| AMF + SWE | 3 | 0.043 ** | 0.465 ** | 0.320 * | 0.012 ** | 0.029 * | 0.015 ** | 0.025 ** |
| Error | 24 | 0.013 | 0.025 | 0.059 | 0.002 | 0.005 | 0.002 | 0.005 |
| C.V | 5.63 | 4.73 | 13.66 | 11.02 | 9.66 | 10.37 | 11.44 |
| SWE Concentration (g L−1) | AMF (g kg−1 soil) | N Shoot (mg g−1 dw) | N Root (mg g−1 dw) | P Shoot (mg g−1 dw) | P Root (mg g−1 dw) | K Shoot (mg g−1 dw) | K Root (mg g−1 dw) | Ca Shoot (mg g−1 dw) | Ca Root (mg g−1 dw) |
|---|---|---|---|---|---|---|---|---|---|
| 0 | 0 | 1.00 ± 0.02 e | 1.07 ± 0.06 d | 0.655 ± 0.04 g | 1.32 ± 0.06 f | 0.61 ± 0.03 a | 0.71 ± 0.06 f | 14.0 ± 0.3 f | 15.7 ± 0.1 g |
| 5 | 1.38 ± 0.01 d | 1.19 ± 0.02 c,d | 1.16 ± 0.02 e | 2.22 ± 0.01 d | 0.82 ± 0.04 a | 1.00 ± 0.01 e | 21.2 ± 0.6 d | 21.2 ± 0.3 e | |
| 0.5 | 0 | 1.46 ± 0.01 c,d | 1.42 ± 0.01 c,d | 1.30 ± 0.01 d | 2.37 ± 0.01 c | 1.36 ± 0.01 a | 0.95 ± 0.01 e | 18.2 ± 0.3 e | 19.0 ± 0.2 f |
| 5 | 1.63 ± 0.05 c | 1.64 ± 0.08 c | 1.55 ± 0.01 b | 2.59 ± 0.01 b | 2.13 ± 0.04 a | 1.08 ± 0.04 e | 21.5 ± 0.5 d | 22.5 ± 0.2 d,e | |
| 1.5 | 0 | 1.29 ± 0.03 d | 1.12 ± 0.05 d | 1.03 ± 0.01 f | 2.07 ± 0.01 e | 0.78 ± 0.07 a | 1.40 ± 0.07 d | 22.5 ± 0.4 c,d | 23.5 ± 0.2 c,d |
| 5 | 2.69 ± 0.16 a | 3.92 ± 0.37 a | 1.22 ± 0.01 e | 2.25 ± 0.01 d | 0.91 ± 0.17 a | 2.30 ± 0.06 b | 27.0 ± 0.5 b | 27.2 ± 0.2 b | |
| 3 | 0 | 2.14 ± 0.01 b | 2.65 ± 0.05 b | 1.41 ± 0.01 c | 2.46 ± 0.02 c | 1.63 ± 0.03 a | 1.93 ± 0.02 c | 23.7 ± 0.2 c | 24.7 ± 0.2 c |
| 5 | 2.52 ± 0.02 a | 3.63 ± 0.08 a | 1.83 ± 0.02 a | 2.71 ± 0.03 a | 2.37 ± 0.04 a | 2.54 ± 0.04 a | 31.0 ± 0.3 a | 31.5 ± 0.6 a | |
| LSD at 0.05% | 0.216 | 0.479 | 3.87 | 0.092 | 0.234 | 0.153 | 1.34 | 1.78 | |
| S.O.C | |||||||||
| AMF | 0.342 ** | 0.575 ** | 0.552 ** | 1.26 ** | 0.267 ** | 0.591 ** | 47.53 ** | 50.0 ** | |
| SWE | 0.994 ** | 1.442 ** | 3.27 ** | 11.85 ** | 3.87 ** | 4.12 ** | 225.3 ** | 199.1 ** | |
| AMF × SWE | 0.046 ** | 0.303 ** | 0.07 * | 0.363 * | 0.013 ns | 0.067 ** | 7.94 ** | 4.50 ** | |
| Error | 0.002 | 0.004 | 0.022 | 0.108 | 0.026 | 0.011 | 0.844 | 1.50 | |
| CV | 3.87 | 2.86 | 8.44 | 15.77 | 12.09 | 7.15 | 4.10 | 5.28 | |
| SWE Concentration (g L−1) | AMF (g kg−1 soil) | Fe Shoot (mg g−1 dw) | Fe Root (mg g−1 dw) | Zn Shoot (mg g−1 dw) | Zn Root (mg g−1 dw) | Mn Shoot (mg g−1 dw) | Mn Root (mg g−1 dw) |
|---|---|---|---|---|---|---|---|
| 0 | 0 | 0.36 ± 0.04 e | 0.65 ± 0.08 g | 0.30 ± 0.02 f | 0.58 ± 0.03 e | 18.5 ± 0.5 g | 16.5 ± 0.5 g |
| 5 | 0.90 ± 0.01 e,f | 1.03 ± 0.03 d | 0.98 ± 0.02 d,e | 1.20 ± 0.03 b,d | 29.5 ± 0.6 e | 27.5 ± 0.3 e,f | |
| 0.5 | 0 | 0.99 ± 0.01 d | 0.81 ± 0.05 f,g | 0.62 ± 0.02 e,f | 1.17 ± 0.04 c,d | 26.7 ± 0.05 f | 24.7 ± 0.04 e,f |
| 5 | 1.00 ± 0.01 d | 1.24 ± 0.06 c,d | 1.11 ± 0.01 d | 1.23 ± 0.01 b,c | 31.5 ± 0.07 e | 29.5 ± 0.06 e | |
| 1.5 | 0 | 1.15 ± 0.01 c | 1.05 ± 0.05 d,e | 1.06 ± 0.03 d | 1.29 ± 0.01 d | 35.5 ± 0.05 d | 31.5 ± 0.04 c,d |
| 5 | 1.43 ± 0.01 b | 1.48 ± 0.02 b | 1.44 ± 0.03 a | 4.04 ± 0.10 a | 41.7 ± 0.06 b | 39.7 ± 0.03 b | |
| 3 | 0 | 1.27 ± 0.01 c | 1.33 ± 0.01 b,c | 1.28 ± 0.01 a,c | 1.92 ± 0.02 c | 38.2 ± 0.05 c | 36.2 ± 0.03 c |
| 5 | 1.76 ± 0.04 a | 1.84 ± 0.06 a | 1.35 ± 0.02 a,b | 2.89 ± 0.03 b | 47.2 ± 0.08 a | 45.2 ± 0.07 a | |
| LSD at 0.05% | 0.145 | 0.206 | 0.172 | 0.397 | 2.47 | 2.34 | |
| S.O.C | |||||||
| AMF | 0.581 ** | 0.001 ns | 1.26 ** | 0.002 ns | 171.12 ** | 171.1 ** | |
| SWE | 1.199 ** | 1.295 ** | 11.85 ** | 13.56 ** | 692.25 ** | 692.25 ** | |
| AMF × SWE | 0.153 ** | 0.127 ** | 0.363 * | 1.234 ** | 16.20 ** | 16.20 * | |
| Error | 0.010 | 0.020 | 0.108 | 0.074 | 2.87 ** | 2.87 ** | |
| CV | 8.81 | 12.28 | 16.59 | 8.44 | 5.04 | 5.36 | |
Publisher’s Note: MDPI stays neutral with regard to jurisdictional claims in published maps and institutional affiliations. |
© 2022 by the authors. Licensee MDPI, Basel, Switzerland. This article is an open access article distributed under the terms and conditions of the Creative Commons Attribution (CC BY) license (https://creativecommons.org/licenses/by/4.0/).
Share and Cite
Asadi, M.; Rasouli, F.; Amini, T.; Hassanpouraghdam, M.B.; Souri, S.; Skrovankova, S.; Mlcek, J.; Ercisli, S. Improvement of Photosynthetic Pigment Characteristics, Mineral Content, and Antioxidant Activity of Lettuce (Lactuca sativa L.) by Arbuscular Mycorrhizal Fungus and Seaweed Extract Foliar Application. Agronomy 2022, 12, 1943. https://doi.org/10.3390/agronomy12081943
Asadi M, Rasouli F, Amini T, Hassanpouraghdam MB, Souri S, Skrovankova S, Mlcek J, Ercisli S. Improvement of Photosynthetic Pigment Characteristics, Mineral Content, and Antioxidant Activity of Lettuce (Lactuca sativa L.) by Arbuscular Mycorrhizal Fungus and Seaweed Extract Foliar Application. Agronomy. 2022; 12(8):1943. https://doi.org/10.3390/agronomy12081943
Chicago/Turabian StyleAsadi, Mohammad, Farzad Rasouli, Trifa Amini, Mohammad Bagher Hassanpouraghdam, Somaye Souri, Sona Skrovankova, Jiri Mlcek, and Sezai Ercisli. 2022. "Improvement of Photosynthetic Pigment Characteristics, Mineral Content, and Antioxidant Activity of Lettuce (Lactuca sativa L.) by Arbuscular Mycorrhizal Fungus and Seaweed Extract Foliar Application" Agronomy 12, no. 8: 1943. https://doi.org/10.3390/agronomy12081943
APA StyleAsadi, M., Rasouli, F., Amini, T., Hassanpouraghdam, M. B., Souri, S., Skrovankova, S., Mlcek, J., & Ercisli, S. (2022). Improvement of Photosynthetic Pigment Characteristics, Mineral Content, and Antioxidant Activity of Lettuce (Lactuca sativa L.) by Arbuscular Mycorrhizal Fungus and Seaweed Extract Foliar Application. Agronomy, 12(8), 1943. https://doi.org/10.3390/agronomy12081943

