Assessment of Spray Deposit and Loss in Traditional and Intensive Olive Orchards with Conventional and Crop-Adapted Sprayers
Abstract
:1. Introduction
2. Materials and Methods
2.1. Experimental Fields and Canopy Characterization
2.2. Spraying Equipment
2.3. Sprayer Calibration and Operational Parameters
2.4. Field Experimental Design and Sampling System
2.4.1. Spray Drift Sampling
2.4.2. Losses to the Ground Sampling
2.5. Trial Performance and Weather Condition Characterization
2.6. Sample and Data Analysis
2.6.1. Deposition on Absorbent Paper
2.6.2. Deposition on Petri Dishes and Ground Filter Paper Samples
2.6.3. Water Sensitive Paper Samples Analysis
2.6.4. Statistical Analysis
3. Results and Discussion
3.1. Canopy Measurements
3.2. Weather Conditions
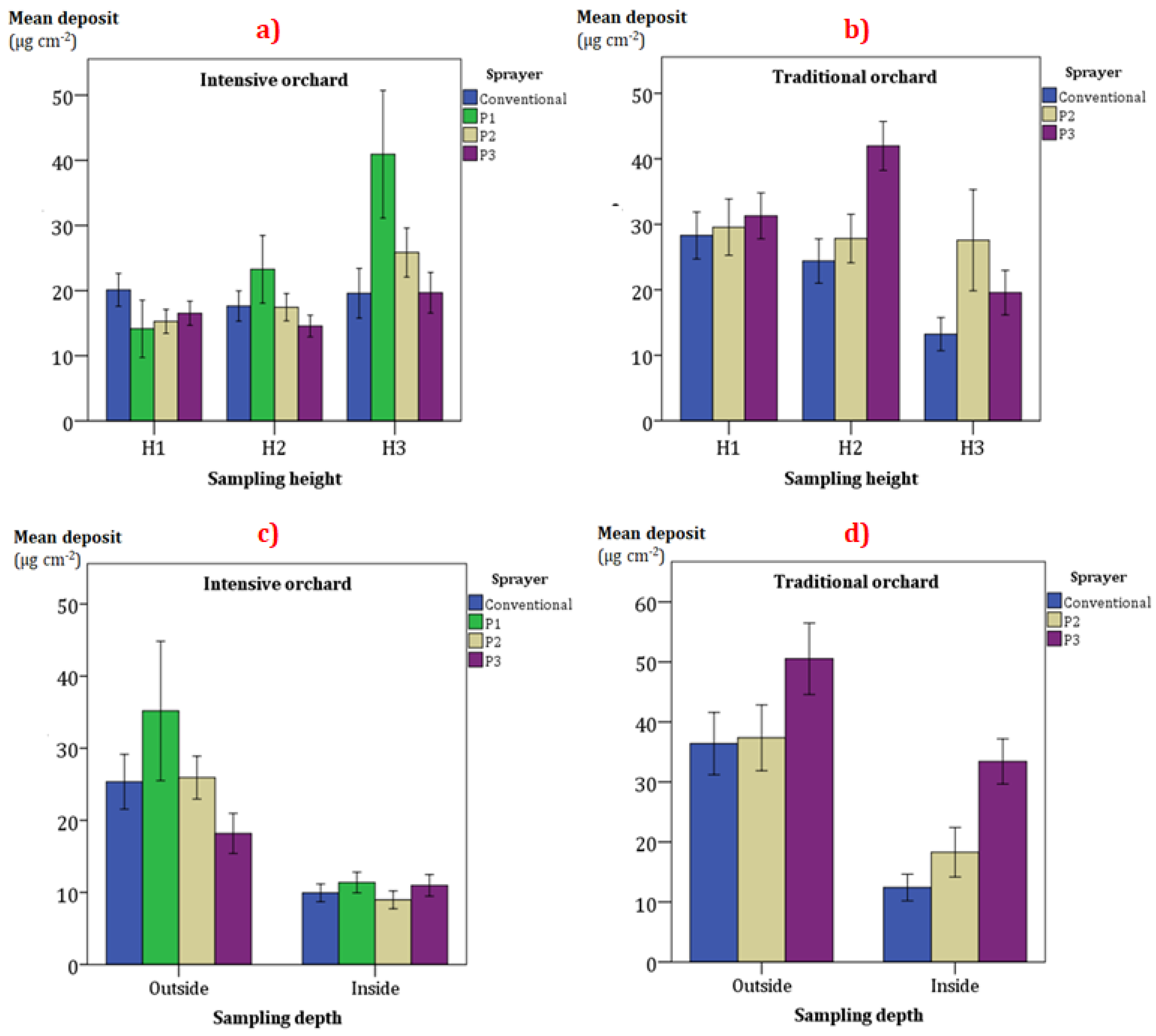
3.3. Spray Deposit and Coverage
3.3.1. Intensive Cultivation System
3.3.2. Traditional Cultivation System
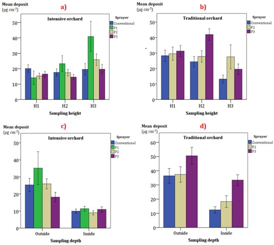
3.4. Drift and Ground Losses
3.4.1. Intensive Orchard
3.4.2. Traditional Orchard
4. Conclusions
Author Contributions
Funding
Informed Consent Statement
Data Availability Statement
Acknowledgments
Conflicts of Interest
References
- United Nations Sustainable Development Goals. Available online: https://www.undp.org/sustainable-development-goals (accessed on 2 July 2022).
- Bonds, J.A.S.; Leggett, M. A Literature Review of Downwind Drift from Airblast Sprayers: Development of Standard Methodologies and a Drift Database. Trans. ASABE 2015, 58, 1471–1477. [Google Scholar] [CrossRef]
- McLaughlin, D.; Kinzelbach, W. Food Security and Sustainable Resource Management. Water Resour. Res. 2015, 51, 4966–4985. [Google Scholar] [CrossRef]
- Espigares, M.; Coca, C.; Fernândez-Crehuet, M.; Moreno, O.; Bueno, A.; Gálvez, R. Pesticide Concentrations in the Waters from a Section of the Guadalquivir River Basin, Spain. Environ. Toxicol. Water Qual. 1997, 12, 249–256. [Google Scholar] [CrossRef]
- Hermosin, M.C.; Calderon, M.J.; Real, M.; Cornejo, J. Impact of Herbicides Used in Olive Groves on Waters of the Guadalquivir River Basin (Southern Spain). Agric. Ecosyst. Environ. 2013, 164, 229–243. [Google Scholar] [CrossRef]
- AEMO. Aproximación a los Costes del Cultivo del Olivo; AEMO: Melbourne, Australia, 2020. [Google Scholar]
- Llorens, J.; Miranda-Fuentes, A.; Gamarra-Diezma, J.L.; Gil-Ribes, J.A.; Gil, E. Metodología Para El Mapeado Tridimensional de Plantaciones de Olivar Tradicional Con Tecnología LiDAR. In Proceedings of the VIII Congreso Ibérico de Agroingeniería, Orihuela, Alicante, Spain, 1–3 June 2015. [Google Scholar]
- Miranda-Fuentes, A.; Cuenca, A.; Godoy-Nieto, A.; González-Sánchez, E.J.; Miranda de Fuentes, P.; Blanco-Roldán, G.L.; Gil-Ribes, J.A. Field Testing and Monitoring of Newly Designed Airblast Sprayers in Traditional Olive Orchards. In Proceedings of the Suprofruit 2017 14th Workshop on Spray Application Techniques in Fruit Growing, Hasselt, Belgium, 10–12 May 2017. [Google Scholar]
- Salcedo, R.; Fonte, A.; Grella, M.; Garcerá, C.; Chueca, P. Blade pitch and airoutlet width effects on the airflow generated by an airblast sprayer with wireless remote-controlled axial fan. Comput. Electron. Agric. 2021, 190, 106428. [Google Scholar] [CrossRef]
- Świechowski, W.; Doruchowski, G.; Holownicki, R.; Godyn, A. Penetration of air within the apple tree canopy as affected by the air jet characteristics and travel velocity of the sprayer. Electron. J. Pol. Agric. Univ. 2004, 7, 3. Available online: http://www.ejpau.media.pl/volume7/issue2/engineering/art-03.html (accessed on 2 July 2022).
- Salcedo, R.; Garcerá, C.; Granell, R.; Moltó, E.; Chueca, P. Description of the airflow produced by an air-assisted sprayer during pesticide applications to citrus. Span. J. Agric. Res. 2015, 13, 2–8. [Google Scholar] [CrossRef] [Green Version]
- Van de Zande, J.C.; Schlepers, M.; Hofstee, J.W.; Michielsen, J.G.P.; Wenneker, M. Characterization of the air flow and the liquid distribution of orchard sprayers. In Proceedings of the 14th Workshop on Spray Application Techniques in Fruit Growing (Suprofruit), Hasselt, Belgium, 10–12 July 2017. [Google Scholar]
- Grella, M.; Marucco, P.; Zwertvaegher, I.; Gioelli, F.; Bozzer, C.; Biglia, A.; Manzone, M.; Caffini, A.; Fountas, S.; Nuyttens, D.; et al. The effect of fan setting, air-conveyor orientation and nozzle configuration on airblast sprayer efficiency: Insights relevant to trellised vineyards. Crop Prot. 2022, 155, 105921. [Google Scholar] [CrossRef]
- Cunha, J.P.; Chueca, P.; Garcerá, C.; Moltó, E. Risk assessment of pesticide spray drift from citrus applications with air-blast sprayers in Spain. Crop Prot. 2012, 42, 116–123. [Google Scholar] [CrossRef]
- Cunha, J.P.; Alves, S. Field Data of Pesticide Spray Drift on Coffee Crop. In Proceedings of the 13th Workshop on Spray Application in Fruit Growing—Suprofruit 2015, Lindau, Germany, 15–18 July 2015. [Google Scholar]
- Miranda-Fuentes, A.; Rodríguez, A.; Gil, E.; Agüera, J.; Gil, J.A. Influence of liquid volume and airflow rates on spray application quality and homogeneity in super intensive olive tree canopies. Sci. Total Environ. 2015, 537, 250–259. [Google Scholar] [CrossRef]
- Grella, M.; Marucco, P.; Manzone, M.; Gallart, M.; Balsari, P. Effect of sprayer settings on spray drift during pesticide application in poplar plantations (Populus spp.). Sci. Total Environ. 2017, 578, 427–439. [Google Scholar] [CrossRef] [PubMed] [Green Version]
- García-Ramos, F.J.; Vidal, M.; Boné, A. Field evaluation of an air assisted sprayer equipped with two reversed rotation fans. Appl. Eng. Agric. 2009, 25, 481–494. [Google Scholar] [CrossRef]
- Endalew, A.M.; Debaer, C.; Rutten, N.; Vercammen, J.; Delele, M.A.; Ramon, H.; Nicolaï, B.M.; Verboven, P. Modeling pesticide flow and deposition from air-assisted orchard spraying in orchards: A new integrated CFD approach. Agric. For. Meteorol. 2010, 150, 1383–1392. [Google Scholar] [CrossRef]
- García-Ramos, F.J.; Vidal, M.; Boné, A.; Malón, H.; Aguirre, J. Analysis of the airflow generated by an air-assisted sprayer equipped with two axial fans using a 3D sonic anemometer. Sensors 2012, 12, 7598–7613. [Google Scholar] [CrossRef] [Green Version]
- Hołownicki, R.; Doruchowski, G.; Świechowski, W.; Godyń, A.; Konopacki, P.J. Variable air assistance system for orchard sprayers; concept, design and preliminary testing. Biosyst. Eng. 2017, 163, 134–149. [Google Scholar] [CrossRef]
- Grella, M.; Marucco, P.; Gioelli, F.; Balsari, P.; Athanasakos, L.; Mylonas, N.; Fountas, S.; Zwertvaegher, I.; Nuyttens, D.; Caffini, A.; et al. Airblast sprayer electrification for real-time, continuous fan-airflow adjustment according to canopy density during pesticide application in 3D crops. LAND.TECHNIK 2022—Forum Agric. Eng. 2022, 2395, 389–395. [Google Scholar] [CrossRef]
- Vereecke, E.; Langenakens, J.; de Moor, A.; Pieters, M.; Jaeken, P. The air distribution generated by air-assisted orchard sprayers. Int. Symp. Crop Prot. 2000, 65, 991–1000. [Google Scholar]
- Grella, M.; Miranda- Fuentes, A.; Marucco, P.; Balsari, P.; Gioelli, F. Development of Drift-Reducing Spouts For Vineyard Pneumatic Sprayers: Measurement of Droplet Size Spectra Generated and Their Classification. Appl. Sci. 2020, 10, 7826. [Google Scholar] [CrossRef]
- Pergher, G. Field Evaluation of a Calibration Method for Air-Assisted Sprayers Involving the Use of a Vertical Patternator. Crop Prot. 2004, 23, 437–446. [Google Scholar] [CrossRef]
- Byers, R.E.; Hickey, K.D.; Hill, C.H. Base Gallonage per Acre. Va. Fruit 1971, 60, 19–23. [Google Scholar]
- Sutton, T.B.; Unrath, C.R. Evaluation of the Tree-Row-Volume Concept with Density Adjustments in Relation to Spray Deposits in Apple Orchards. Plant Dis. 1984, 68, 480–484. [Google Scholar] [CrossRef]
- Morgan, N. Minimizing Pesticide Waste in Orchard Spraying. Outlook Agri. 1981, 10, 342–344. [Google Scholar] [CrossRef]
- Walklate, P.J.; Cross, J.V.; Pergher, G. Support System for Efficient Dosage of Orchard and Vineyard Spraying Products. Comput. Electron. Agric. 2011, 75, 355–362. [Google Scholar] [CrossRef]
- Gil, E.; Escolà, A. Design of a Decision Support Method to Determine Volume Rate for Vineyard Spraying. Appl. Eng. Agric. 2009, 25, 145–152. [Google Scholar] [CrossRef]
- Pergher, G.; Petris, R. The Effect of Air Flow Rate on Spray Deposition in a Guyot-Trained. Agric. Eng. Int. CIGR J. 2008, 10, 1–15. [Google Scholar]
- Gil, E.; Llorens, J.; Landers, A.; Llop, J.; Giralt, L. Field Validation of Dosaviña, a Decision Support System to Determine the Optimal Volume Rate for Pesticide Application in Vineyards. Eur. J. Agron. 2011, 35, 33–46. [Google Scholar] [CrossRef]
- Doruchowski, G.; Balsari, P.; Van De Zande, J. Development of a Crop Adapted Spray Application System for Sustainable Plant Protection in Fruit Growing. Acta Hortic. 2009, 824, 251–260. [Google Scholar] [CrossRef]
- Siegfried, W.; Viret, O.; Huber, B.; Wohlhauser, R. Dosage of Plant Protection Products Adapted to Leaf Area Index in Viticulture. Crop Prot. 2007, 26, 73–82. [Google Scholar] [CrossRef]
- Walklate, P.J.; Cross, J.V.; Richardson, G.M.; Baker, D.E.; Murray, R.A. A Generic Method of Pesticide Dose Expression: Application to Broadcast Spraying of Apple Trees. Ann. Appl. Biol. 2003, 143, 11–23. [Google Scholar] [CrossRef]
- Pai, N.; Salyani, M.; Sweeb, R.D. Regulating Airflow of Orchard Airblast Sprayer Based on Tree Foliage Density. Trans. ASABE 2009, 52, 1423–1428. [Google Scholar] [CrossRef]
- Khot, L.R.; Ehsani, R.; Albrigo, G.; Larbi, P.A.; Landers, A.; Campoy, J.; Wellington, C. Air-Assisted Sprayer Adapted for Precision Horticulture: Spray Patterns and Deposition Assessments in Small-Sized Citrus Canopies. Biosyst. Eng. 2012, 113, 76–85. [Google Scholar] [CrossRef]
- Miranda-Fuentes, A.; Llorens, J.; Rodríguez-Lizana, A.; Cuenca, A.; Gil, E.; Blanco-Roldán, G.L.; Gil-Ribes, J.A. Assessing the Optimal Liquid Volume to Be Sprayed on Isolated Olive Trees According to Their Canopy Volumes. Sci. Total Environ. 2016, 568, 296–305. [Google Scholar] [CrossRef] [PubMed]
- Escolà, A.; Planas, S.; Rosell, J.; Pomar, J.; Camp, F.; Solanelles, F.; Gracia, F.; Llorens, J.; Gil, E. Performance of an Ultrasonic Ranging Sensor in Apple Tree Canopies. Sensors 2011, 11, 2459–2477. [Google Scholar] [CrossRef] [Green Version]
- Gamarra-Diezma, J.L.; Miranda-Fuentes, A.; Llorens, J.; Cuenca, A.; Blanco-Roldán, G.L.; Rodríguez-Lizana, A. Testing Accuracy of Long-Range Ultrasonic Sensors for Olive Tree Canopy Measurements. Sensors 2015, 15, 2902–2919. [Google Scholar] [CrossRef] [PubMed] [Green Version]
- Sola-Guirado, R.R.; Bayano-Tejero, S.; Rodríguez-Lizana, A.; Gil-Ribes, J.A.; Miranda-Fuentes, A. Assessment of the Accuracy of a Multi-Beam LED Scanner Sensor for Measuring Olive Canopies. Sensors 2018, 18, 4406. [Google Scholar] [CrossRef] [PubMed] [Green Version]
- Miranda-Fuentes, A.; Llorens, J.; Gamarra-Diezma, J.L.; Gil-Ribes, J.A.; Gil, E. Towards an Optimized Method of Olive Tree Crown Volume Measurement. Sensors 2015, 15, 3671–3687. [Google Scholar] [CrossRef] [PubMed] [Green Version]
- Sanz-Cortiella, R.; Llorens-Calveras, J.; Rosell-Polo, J.R.; Gregorio-Lopez, E.; Palacin-Roca, J. Characterisation of the LMS200 Laser Beam under the Influence of Blockage Surfaces. Influence on 3D Scanning of Tree Orchards. Sensors 2011, 11, 2751–2772. [Google Scholar] [CrossRef] [Green Version]
- Gil, E.; Arnó, J.; Llorens, J.; Sanz, R.; Llop, J.; Rosell-Polo, J.; Gallart, M.; Escolà, A. Advanced Technologies for the Improvement of Spray Application Techniques in Spanish Viticulture: An Overview. Sensors 2014, 14, 691–708. [Google Scholar] [CrossRef] [Green Version]
- Méndez, V.; Pérez-Romero, A.; Sola-Guirado, R.; Miranda-Fuentes, A.; Manzano-Agugliaro, F.; Zapata-Sierra, A.; Rodríguez-Lizana, A. In-Field Estimation of Orange Number and Size by 3D Laser Scanning. Agronomy 2019, 9, 885. [Google Scholar] [CrossRef] [Green Version]
- Sanz-Cortiella, R.; Llorens-Calveras, J.; Escolà, A.; Arno-Satorra, J.; Ribes-Dasi, M.; Masip-Vilalta, J.; Camp, F.; Gracia-Aguila, F.; Solanelles-Batlle, F.; Planas-DeMarti, S.; et al. Innovative LIDAR 3D Dynamic Measurement System to Estimate Fruit-Tree Leaf Area. Sensors 2011, 11, 5769–5791. [Google Scholar] [CrossRef]
- Díaz-Varela, R.; de la Rosa, R.; León, L.; Zarco-Tejada, P. High-Resolution Airborne UAV Imagery to Assess Olive Tree Crown Parameters Using 3D Photo Reconstruction: Application in Breeding Trials. Remote Sens. 2015, 7, 4213–4232. [Google Scholar] [CrossRef] [Green Version]
- Rovira-Más, F.; Zhang, Q.; Reid, J.F. Creation of Three-Dimensional Crop Maps Based on Aerial Stereoimages. Biosyst. Eng. 2005, 90, 251–259. [Google Scholar] [CrossRef]
- Underwood, J.P.; Hung, C.; Whelan, B.; Sukkarieh, S. Mapping Almond Orchard Canopy Volume, Flowers, Fruit and Yield Using Lidar and Vision Sensors. Comput. Electron. Agric. 2016, 130, 83–96. [Google Scholar] [CrossRef]
- Grella, M.; Fabrizio, G.; Marucco, P.; Zwertvaegher, I.; Mozzanini, E.; Mylonas, N.; Nuyttens, D.; Balsari, P. Field assessment of a pulse width modulation spray system applying different spray volumes: Duty cycle and forward speed effects on vines spray coverage. Precis. Agricult. 2022, 23, 219–252. [Google Scholar] [CrossRef]
- Pergher, G. The effect of air flow rate and forward speed on spray deposition from a vineyard sprayer. Riv. Ing. Agrar. 2006, 37, 17–23. [Google Scholar]
- Wenneker, M.; Van de Zande, J.C.; Michielsen, J.M.G.P.; Stalling, H.; Van Dalfsen, P.; Snoussi, M.; De Hoog, D.C. Spray deposition on apple trees in the early stages of tree development: Effect of sprayer type, nozzle type and air setting. Asp. Appl. Biol. 2020, 144, 43–50. [Google Scholar]
- Dekeyser, D.; Duga, A.T.; Verboven, P.; Endalew, A.M.; Hendrickx, N.; Nuyttens, D. Assessment of orchard sprayers using laboratory experiments and computational fluid dynamics modelling. Biosyst. Eng. 2013, 114, 157–169. [Google Scholar] [CrossRef]
- Triloff, P. Results of measuring the air distribution of sprayers for 3D-Crops and parameters for evaluating and comparing fan types. In Proceedings of the 13th Workshop on Spray Application in Fruit Growing (Suprofruit), Lindau, Germany, 15–18 July 2015. [Google Scholar]
- Grella, M.; Miranda-Fuentes, A.; Marucco, P.; Balsari, P. Field assessment of a newly-designed pneumatic spout to contain spray drift in vineyards: Evaluation of canopy distribution and off-target losses. Pest Manag. Sci. 2020, 76, 4173–4191. [Google Scholar] [CrossRef]
- Delele, M.A.; Jaeken, P.; Debaer, C.; Baetens, K.; Endalew, A.M.; Ramon, H. CFD prototyping of an air-assisted orchard sprayer aimed at drift reduction. Comput. Electron. Agric. 2007, 55, 16–27. [Google Scholar] [CrossRef]
- Llorens, J.; Gallart, M.; Llop, J.; Miranda-Fuentes, A.; Gil, E. Difficulties to apply ISO 22866 requirements for drift measurements. A particular case of traditional olive tree plantations. Asp. Appl. Biol. 2016, 132, 31–37. [Google Scholar]
- Gil, Y.; Sinfort, C. Emission of pesticides to the air during sprayer application: A bibliographic review. Atmos. Environ. 2005, 39, 5183–5193. [Google Scholar] [CrossRef]
- Felsot, A.S.; Unsworth, J.B.; Linders, J.B.H.J.; Roberts, G. Agrochemical spray drift; assessment and mitigation-a review. J. Environ. Sci. Health Part B 2011, 46, 1–23. [Google Scholar] [CrossRef] [PubMed]
- Miranda-Fuentes, A.; Rodríguez-Lizana, A.; Cuenca, A.; González-Sánchez, E.J.; Blanco-Roldán, G.L.; Gil-Ribes, J.A. Improving Plant Protection Product Applications in Traditional and Intensive Olive Orchards through the Development of New Air-Assisted Sprayer Prototypes. Crop Prot. 2017, 94, 44–58. [Google Scholar] [CrossRef]
- Miranda-Fuentes, A.; Rodríguez-Lizana, A.; Cuenca, A.; Blanco-Roldán, G.L.; Gil-Ribes, J.A. Development of Airblast Sprayers to Improve Pesticide Applications in Traditional Olive Canopies. In Proceedings of the CIGR-AgEng 2016, Aarhus, Denmark, 26–29 June 2016; pp. 1–8. [Google Scholar]
- Grella, M.; Gallart, M.; Marucco, P.; Balsari, P.; Gil, E. Ground Deposition and Airborne Spray Drift Assessment in Vineyard and Orchard: The Influence of Environmental Variables and Sprayer Settings. Sustainability 2017, 9, 728. [Google Scholar] [CrossRef] [Green Version]
- Grella, M.; Marucco, P.; Balafoutis, A.T.; Balsari, P. Spray Drift Generated in Vineyard during Under-Row Weed Control and Suckering: Evaluation of Direct and Indirect Drift-Reducing Techniques. Sustainability 2020, 12, 5068. [Google Scholar] [CrossRef]
- ISO 22866:2005; Equipment for Crop Protection—Methods for Field Measurement of Spray Drift. International Organization for Standardization: Geneva, Switzerland, 2005.
- Gil, E.; Llorens, J.; Gallart, M.; Gil-Ribes, J.A.; Miranda-Fuentes, A. First Attempts to Obtain a Reference Drift Curve for Traditional Olive Grove’s Plantations Following ISO 22866. Sci. Total Environ. 2018, 627, 349–360. [Google Scholar] [CrossRef]
- Pergher, G.; Gubiani, R.; Gasparinetti, P.; Del Cont Bernard, D. Voluntary testing of plant protection equipment in Northern Italy. Acta Hortic. 1994, 372, 59–66. [Google Scholar] [CrossRef]
- Zhu, H.; Salyani, M.; Fox, R.D. A Portable Scanning System for Evaluation of Spray Deposit Distribution. Comput. Electron. Agric. 2011, 76, 38–43. [Google Scholar] [CrossRef]
- Chen, Y.; Ozkan, H.E.; Zhu, H.; Derksen, R.C.; Krause, C.R. Spray Deposition inside Tree Canopies from a Newly Developed Variable-Rate Air-Assisted Sprayer. Trans. ASABE 2013, 56, 1263–1272. [Google Scholar] [CrossRef]








| Field | Cultivation System | Plantation Density | Plantation Pattern | Row Distance (rd) | Tree Distance (td) | Tree Variety |
|---|---|---|---|---|---|---|
| (trees ha−1) | (m) | (m) | ||||
| F1 | Intensive | 204 | Rectangular | 7 | 7 | Picual |
| F2 | Traditional | 107 | Quincux | 12 | 10 | Hojiblanca |
| Cultivation System | ||||||||
|---|---|---|---|---|---|---|---|---|
| Intensive | Traditional | |||||||
| Parameter | P1 | P2 | P3 | Conventional | P1 | P2 | P3 | Conventional |
| Nozzle colour | Red | Yellow | Yellow | Green | - | Red | Red | Blue |
| Number of open nozzles | 18 (2 × 9) | 36 (2 × 18) | 34 (2 × 17) | 14 (2 × 7) | - | 36 (2 × 18) | 34 (2 × 17) | 14 (2 × 7) |
| Pressure (MPa) | 1.3 | 1.1 | 1.3 | 1.3 | - | 0.7 | 0.8 | 1.4 |
| Liquid flow rate (L min−1) | 39.06 | 38.52 | 39.78 | 39.06 | - | 58.32 | 58.82 | 55.86 |
| Spray volume (L ha−1) | 1052.2 | 1063.8 | 1055.8 | 1060.0 | - | 1170.3 | 1164.8 | 1151.8 |
| Forward speed (km h−1) | 4.05 | 3.95 | 4.11 | 4.02 | - | 2.99 | 3.03 | 2.91 |
| PTO speed (rpm) | 540 | 270 | 370 | 460 | - | 300 | 420 | 520 |
| Fan gear | - | - | I | II | - | - | I | II |
| Air volumetric flow rate (m3 s−1) | 2.8 | 10.8 | 10.8 | 10.9 | - | 12.3 | 12.3 | 12.3 |
| INTENSIVE | |||||||||||||
|---|---|---|---|---|---|---|---|---|---|---|---|---|---|
| Tree | 0° | 45° | 90° | 135° | 180° | 225° | 270° | 315° | MV | VL | HT | TD | LD |
| # | m | m | m | m | m | m | m | m | MV | m3 | m | m | m−1 |
| 1 | 2.10 | 2.20 | 2.30 | 2.00 | 2.10 | 2.40 | 2.50 | 2.35 | 2.24 | 36.88 | 4.1 | 0.24 | 6.47 |
| 2 | 2.70 | 2.60 | 2.80 | 2.10 | 2.00 | 2.50 | 2.30 | 2.20 | 2.40 | 45.69 | 4.0 | 0.21 | 6.56 |
| 3 | 2.00 | 2.60 | 2.50 | 2.10 | 2.10 | 2.20 | 1.90 | 2.50 | 2.24 | 36.53 | 3.8 | 0.20 | 7.02 |
| 4 | 3.00 | 3.20 | 2.60 | 2.80 | 1.90 | 1.80 | 1.80 | 2.20 | 2.41 | 46.39 | 4.3 | 0.23 | 7.92 |
| 5 | 2.10 | 2.00 | 2.40 | 3.00 | 2.30 | 2.50 | 2.30 | 2.90 | 2.44 | 47.80 | 3.9 | 0.27 | 7.59 |
| TRADITIONAL | |||||||||||||
| Tree | 0° | 45° | 90° | 135° | 180° | 225° | 270° | 315° | MV | VL | HT | TD | LD |
| # | m | m | m | m | m | m | m | m | MV | m3 | m | m | m−1 |
| 1 | 4.60 | 3.40 | 3.00 | 3.60 | 2.90 | 2.40 | 3.10 | 4.40 | 3.43 | 105.56 | 4.5 | 0.49 | 4.51 |
| 2 | 3.40 | 3.60 | 3.00 | 2.70 | 2.60 | 4.40 | 5.50 | 4.20 | 3.68 | 117.40 | 4.7 | 0.56 | 5.33 |
| 3 | 2.40 | 1.90 | 2.50 | 2.50 | 2.10 | 2.50 | 2.50 | 2.70 | 2.39 | 56.42 | 5.0 | 0.53 | 5.50 |
| 4 | 3.70 | 3.50 | 3.00 | 3.10 | 3.80 | 3.50 | 2.50 | 3.70 | 3.35 | 102.00 | 4.4 | 0.60 | 5.34 |
| 5 | 2.80 | 3.90 | 3.70 | 3.80 | 3.50 | 4.70 | 4.40 | 3.90 | 3.84 | 125.09 | 4.6 | 0.51 | 5.10 |
| Intensive | Traditional | ||||||||
|---|---|---|---|---|---|---|---|---|---|
| P1 | P2 | P3 | Conv. | P1 | P2 | P3 | Conv. | ||
| Air mean speed | m s−1 | 0.0 | 0.2 | 0.0 | 0.1 | - | 0.7 | 0.6 | 0.2 |
| Air mean direction | ° * | - | 225 | - | 245 | - | 243 | 220 | 222 |
| Temperature | °C | 21 | 20 | 25 | 20 | - | 21 | 24 | 24 |
| Relative humidity | % | 35 | 36 | 34 | 37 | - | 36 | 34 | 34 |
| Parameter | Intensive | Traditional | |||||||
|---|---|---|---|---|---|---|---|---|---|
| P1 | P2 | P3 | Conv | P1 | P2 | P3 | Conv | ||
| Mean deposition | d (µg cm−2) | 25.4 | 19.0 | 16.3 | 18.8 | - | 28.2 b | 33.7 a | 22.6 c |
| Deposition variability | CV (%) | 150 a | 68 b | 68 b | 73 b | - | 65 | 72 | 87 |
| Mean coverage | SC (%) | 35.7 | 33.5 | 31.3 | 27.4 | - | 41 ab | 46 a | 26. b |
| Coverage upper side | SC up (%) | 44 a | 36 c | 38 b | 36 c | - | 50 a | 47 a | 33 b |
| Coverage lower side | SC lo (%) | 31 a | 31 a | 31 a | 20 b | - | 46 a | 46 ab | 26 b |
| Impact number | Ni (cm−2) | 72 a | 103 b | 134 c | 123 c | - | 106a | 70b | 146c |
| Impacts upper side | Ni up (cm−2) | 74 b | 102 a | 123 a | 123 a | - | 86 a | 67 a | 131 b |
| Impacts lower side | Ni lo (cm−2) | 70 a | 103 b | 144 c | 124 bc | - | 126 c | 72 b | 155 a |
| Impacts variability | CV (%) | 62 a | 45 b | 42 b | 39 b | - | 39 a | 55 b | 35 a |
| Parameter | Intensive | Traditional | |||||||
|---|---|---|---|---|---|---|---|---|---|
| P1 | P2 | P3 | Conv | P1 | P2 | P3 | Conv | ||
| Mean deposition on Petri dishes | dP (µg cm−2) | 0.39 a | 0.68 ab | 1.13 bc | 1.56 c | - | 0.36 a | 0.81 b | 0.75 b |
| Mean deposition on the last Petri dishes row | dP’ (µg cm−2) | 0.17 a | 0.31 a | 0.46 ab | 1.20 b | - | 0.15 | 0.31 | 0.37 |
| Mean deposition on ground collectors | dG (µg cm−2) | 8.72 a | 13.33 b | 21.74 c | 16.31 b | - | 26.18 | 28.62 | 23.91 |
Publisher’s Note: MDPI stays neutral with regard to jurisdictional claims in published maps and institutional affiliations. |
© 2022 by the authors. Licensee MDPI, Basel, Switzerland. This article is an open access article distributed under the terms and conditions of the Creative Commons Attribution (CC BY) license (https://creativecommons.org/licenses/by/4.0/).
Share and Cite
Godoy-Nieto, A.; Miranda-Fuentes, A.; Grella, M.; Blanco-Roldán, G.L.; Rodríguez-Lizana, A.; Gil-Ribes, J.A. Assessment of Spray Deposit and Loss in Traditional and Intensive Olive Orchards with Conventional and Crop-Adapted Sprayers. Agronomy 2022, 12, 1764. https://doi.org/10.3390/agronomy12081764
Godoy-Nieto A, Miranda-Fuentes A, Grella M, Blanco-Roldán GL, Rodríguez-Lizana A, Gil-Ribes JA. Assessment of Spray Deposit and Loss in Traditional and Intensive Olive Orchards with Conventional and Crop-Adapted Sprayers. Agronomy. 2022; 12(8):1764. https://doi.org/10.3390/agronomy12081764
Chicago/Turabian StyleGodoy-Nieto, Alberto, Antonio Miranda-Fuentes, Marco Grella, Gregorio Lorenzo Blanco-Roldán, Antonio Rodríguez-Lizana, and Jesús Antonio Gil-Ribes. 2022. "Assessment of Spray Deposit and Loss in Traditional and Intensive Olive Orchards with Conventional and Crop-Adapted Sprayers" Agronomy 12, no. 8: 1764. https://doi.org/10.3390/agronomy12081764
APA StyleGodoy-Nieto, A., Miranda-Fuentes, A., Grella, M., Blanco-Roldán, G. L., Rodríguez-Lizana, A., & Gil-Ribes, J. A. (2022). Assessment of Spray Deposit and Loss in Traditional and Intensive Olive Orchards with Conventional and Crop-Adapted Sprayers. Agronomy, 12(8), 1764. https://doi.org/10.3390/agronomy12081764

