Next Article in Journal
Assessment of Spray Deposit and Loss in Traditional and Intensive Olive Orchards with Conventional and Crop-Adapted Sprayers
Next Article in Special Issue
Evaluation of Copper-Free Alternatives to Control Grey Mould in Organic Mediterranean Greenhouse Tomato Production
Previous Article in Journal
The Sodium/Calcium Exchanger PcNCX1-Mediated Ca2+ Efflux Is Involved in Cinnamaldehyde-Induced Cell-Wall Defects of Phytophthora capsici
Previous Article in Special Issue
Drench Application of Soy Protein Hydrolysates Increases Tomato Plant Fitness, Fruit Yield, and Resistance to a Hemibiotrophic Pathogen
 
 
Font Type:
Arial Georgia Verdana
Font Size:
Aa Aa Aa
Line Spacing:
Column Width:
Background:
Article

Diet Composition Influences Growth Performance, Bioconversion of Black Soldier Fly Larvae: Agronomic Value and In Vitro Biofungicidal Activity of Derived Frass

by
Ghazaleh Arabzadeh
1,
Maxime Delisle-Houde
2,
Russell J. Tweddell
2,
Marie-Hélène Deschamps
1,
Martine Dorais
2,
Yolaine Lebeuf
1,
Nicolas Derome
3 and
Grant Vandenberg
1,*
1
Département des Sciences Animales, Université Laval, Québec, QC G1V 0A6, Canada
2
Département de Phytologie, Université Laval, Québec, QC G1V 0A6, Canada
3
Département de Biologie, Université Laval, Québec, QC G1V 0A6, Canada
*
Author to whom correspondence should be addressed.
Agronomy 2022, 12(8), 1765; https://doi.org/10.3390/agronomy12081765
Submission received: 13 June 2022 / Revised: 16 July 2022 / Accepted: 22 July 2022 / Published: 27 July 2022
(This article belongs to the Special Issue Agroecology and Organic Horticulture)

Abstract

:
In recent years, the larval stage of Hermetia illucens, commonly known as the black soldier fly (BSFL), has been used to promote the circularity of the agri-food sector by bioconverting organic waste into larval biomass which has been used as a livestock feed. A secondary byproduct of this process is frass that can be used as an organic fertilizer. This study compared two different plant-based diets on frass characteristics as well as larval performance, nutritional composition, and waste reduction efficiency. A fruit/vegetable/bakery waste-based diet supplemented with brewery waste (FVBB) was compared to a control Gainesville (GV) reference diet and fed to BSFL under standard conditions. The results demonstrated that NPK and some of the macro and micronutrients in both frasses are comparable to commercially available organic fertilizers. It was shown that microorganisms present in frass from the two diets inhibit the mycelial growth of several plant pathogens through the production of antifungal and/or anti-oomycetes compound(s) (antibiosis). This diet also had a positive effect on individual larval mass (162.11 mg), bioconversion rate (13.32%), and larval crude lipid (35.99% of dry matter) content. The BSFL reared on this diet reduced feedstock dry matter by 67.76% in a very short time (10 days), which is a promising solution for food waste management.

1. Introduction

According to the United Nations, the world population is estimated to reach 9.7 billion people by 2050 [1], which will increase demand for food and bring added pressure on traditional resources used to produce, process, and distribute food. This population increase will also impact food waste generation, currently estimated to be around one third of all food generated globally for human consumption [2]. Fruit and vegetables represent a high proportion of food waste, especially in industrialized regions mostly due to postharvest downgrading related to quality standards set by retailers [3]. Furthermore, food waste streams are currently inefficiently managed by conventional approaches such as landfilling, bioconversion via composting, and anaerobic digestion to methane [4,5].
Bioconversion of food wastes by black soldier fly (Hermetia illucens (L.) (Diptera: Stratiomyidae)) larvae (BSFL) is a promising solution for the management and valorization of organic waste streams [6,7]. The BSFL can feed on a wide range of organic substrates, including food waste, processing residues, and human and animal fecal wastes to efficiently convert organic matter (OM) into a high-value source of protein and fat biomass that provide sustainable solutions for both organic waste management and food security [6,7,8,9,10,11]. In Canada, each insect producer requires separate safety registration to obtain their authorization for animal feed [12]; for instance, dried whole BSFL have been authorized to feed broiler chickens [13], farmed fish including salmon, trout, arctic char, and tilapia [14], and as feed for poultry including chickens, ducks, turkey, and geese [15]. Current regulations require insects to be grown on pre-consumer plant-based feedstocks. Hence, fruit- and vegetable-based feedstocks have received attention given their potential to be used as feed for BSFL [16,17].
Studies performed employing plant-based diets have demonstrated that fruit- and vegetable-based diets increase larval development time. For example, Jucker et al. [16] reported that the required development time to reach 40% prepupae was 36–52 days for different fruit and vegetable diets. Lalander et al. [6] reported the required time to emerge 50% prepupae was 42–47 days, which is relatively long and can be improved to optimize the waste recycling process by BSFL [18]. The substrate reduction rate is an important parameter in waste management studies, as it indicates the ability of larvae to bioconvert food waste residues [19]. In previous studies, the substrate reduction rate of fruit and vegetable diets ranged between 46.7 and 60.0% [6,20], demonstrating the ability of BSFL to efficiently up-cycle organic wastes.
However, the crude protein of BSFL reared on fruit and vegetable diets was reported from 24.5 to 39.8% of dry matter [7,20,21], which is quite low compared to other diets such as food waste, insect waste, and animal manure (41.2–49.2) [22,23]. The crude ash content of BSFL biomass in these articles was also relatively high (5 to 7.88 of dried matter (DM)), which may negatively affect mineral availability of larvae as feed [22].
Frass is an important byproduct of the BSFL bioconversion process, frass being composed of larval excreta, exuviate, and unconsumed feedstock; a number of recent studies have reported its utility as an organic fertilizer [24,25,26,27,28]. Like other organic amendments such as composts or vermicompost, it is considered as a highly valuable source of nutrients for horticultural crops to improve soil structure, provide slow release micro- and macro-nutrients, minimizing nutrient excess and runoff to the environment [29]. Frass derived from BSFL raised on food waste has an average NPK value of 4.54–1.23–2.44, which is comparable to that of other organic fertilizers such as composted poultry litter (2.8–1.81–2.24), composted leaves (1.5–0.5–1), and worm castings (2.57–0.14–0.25) [24,30]. However, the NPK of frass varies considerably depends on the type of BSFL feedstock employed. For example, the NPK value of frass derived from the food waste diet is 1.7–0.7–0.9 [31], from the Gainesville diet is 4.4–5.2–4.1 [28], from brewery grain is 2.1–1.16–0.17 [32], and from the fruit and vegetable diet is 3.3–0.37–2.3 [33]. Using BSFL for bioconversion of organic waste has also demonstrated advantages such as reduction of CO2 emissions by 50% versus composting [18] and can shorten the compost maturity period from 3 months to 5 weeks [34], which is important in terms of global warming issues. It was also reported that using BSFL frass has higher nitrogen recovery for plant growth [26]. Most of the studies that have been performed on frass to date have considered frass as a final waste product from larval growing. Consequently, the impacts of the diet on the agronomic value of the frass when used as organic fertilizers have been largely neglected.
Frass from BSFL possesses additional advantages; in field-scale experiments, Quilliam et al. [35] and Setti et al. [28] showed suppressive effect of BSFL frass against the plant pathogens Fusarium oxysporum and Sclerotinia minor, respectively. Previous in vitro experiments have shown that frass derived from Gainesville diet has antagonistic activity against the plant pathogens Botrytis cinerea, Pythium ultimum, Phytophthora capsici, F. oxysporum, and Rhizoctonia solani [36]. These studies suggest that BSFL frass could be employed to control the development of plant pathogens in addition to improving soil physico-chemical conditions. Effective, safe, and eco-friendly alternatives are needed for the management of plant pathogens which cause significant economic losses in agriculture. In this respect, the exploitation of BSFL frass appears as a promising alternative, particularly for the organic production, where authorized phytosanitary products are limited [37]. The aim of this research was to (1) formulate and characterize a heterogeneous reference diet of fruit/vegetable/bakery/brewery residue-based diet (mimicking a 6-month composite sampling from grocery store and brewery wastes) for growing of BSFL and to evaluate the effects of this diet on the growth, bioconversion rate, larval nutritional value, as well as waste reduction efficiency and development time versus the Gainesville diet as a reference substrate; (2) investigate the effect of BSFL bioconversion on the physico-chemical properties and fertilization value of frass considering the initial characteristics of the diet; and (3) characterize the antifungal activity of frass derived from two diets. We hypothesized that the formulation of a heterogenous, practical plant-based diet will support BSFL growth/development, nutritional value, and bioconversion as well as waste reduction efficiency and will provide frass with a high agronomic value compared with the Gainesville diet, while maintaining antagonistic activity against a range of fungal pathogens.

2. Materials and Methods

2.1. Diet Preparation

Two diets were employed in this experiment: (1) fruit/vegetable/bakery/brewery (FVBB) at 70% humidity consisting of 39% fruits (5% pineapple, 2% cantaloupe, 7% orange, 3% apple, 2% grape, 2% strawberry, 7% bell pepper, 5% tomato, 2% lemon, 2% banana, and 2% pear), 36% vegetables (10% lettuce, 3% carrot, 3% cabbage, 2% onion, 3% leek, 3% celery, 3% broccoli, 2% cauliflower, 5% potato, and 2% corn), 15% bread, and 10% spent brewer’s grains, and (2) Gainesville house fly diet (GV, 50% wheat bran, 30% alfalfa meal and 20% cornmeal) at 70% humidity as a reference diet [38]. Fruits and vegetables were purchased in March 2021 from a local supplier (Tout Prêt Inc., Sainte-Foy, Québec, QC, Canada), shredded using an industrial food processor (Rietz disintegrator, model: RA2-8-K322; Bepex International LLC, Minneapolis, MN, USA) and mixed into a homogeneous mixture in a tank (Qualtech model: DSC12336, Company Qualtech, Saint-Hyacinthe, QC, Canada). The diets were divided and kept at −20 °C until required.

2.2. Plant Pathogens

Alternaria solani, B. cinerea, F. oxysporum, R. solani, Sclerotinia sclerotiorum, and P. capsici were graciously provided by the Laboratoire d’expertise et de diagnostic en phytoprotection (MAPAQ, Québec, QC, Canada). They were grown at room temperature (22.5 °C) on potato dextrose agar (PDA; Becton, Dickinson and Company, Sparks, MD, USA).

2.3. Rearing and Harvesting

Black soldier fly eggs were obtained from a fly colony located at the Laboratoire de Recherche en Sciences Aquatiques, Université Laval, Québec, QC, Canada. The larvae were reared in a climate chamber (T 27 °C, RH 70%, photoperiod 12:12 (L:D)) on 70% moisture of Gainesville diet until 5-days old. Larvae (n = 800) were then counted, weighed, and transferred into the experimental containers with 800 g of the new diets. Larval density was approximately 3 larvae per cm2 and the feeding rate for both was 100 mg (30 mg of DM) per larvae per day. Each treatment was replicated three times. All containers were kept in the climate chamber described above.
Every two days, 20 larvae were sampled randomly from each replicate, placed on a pre-chilled plastic plate for a short time to temporarily immobilize larvae; weight and length of the larvae were measured by using an analytical balance (Sartorius CP64, Gottingen, Germany) and electronic caliper (digital, model: 58-6800-4, Canadian Tire Corp., Toronto, ON, Canada), respectively, and the larvae returned to their respective containers. The temperature and pH of feed substrate were recorded daily (Thermo Scientific Orion Star A 32 portable pH meter, Beverly, MA, USA). As described by Tomberlin et al. [39] and Nguyen et al. [40], when 40% of all individuals in a treatment reached the prepupal stage (indicated by the change in their color from creamy white to black), they were sieved to separate from frass, washed, dried with a towel, and then counted. Fresh larvae and frass were weighed separately and kept at −20 °C for further analysis. To determine the dry matter content, 5 g of frass and larvae were dried at 105 °C for 48 h.
The bioconversion rate (BCR) was estimated with the following formula:
BCR = ( L end   L start ) D start × 100
where Lend and Lstart are the larval biomass (in g of DM) determined at the end and at the beginning of the experiment, respectively, and Dstart is the amount of diet provided (in g of DM) at the beginning [41] since the entire diet was provided as a single feeding at the beginning of the experiment. Bioconversion efficiency corrected for residue (BER) was also measured by the following formula:
BER = L end L start D start R end × 100
where Rend is the residue at the end of the experiment (frass in g of DM) [41]. For estimation of the substrate reduction rate (SRR), the following formula was used:
SRR = D start R end D start × 100
The percentage protein conversion ratio (PCR) on a dry matter basis was calculated as:
PCR = L end × PL % D start × PD % × 100
where % PL and % PD were the percentage of crude protein (% of DM) in the larval biomass and the provided diet, respectively [6]. The larval mortality (LM) was calculated by the following formula [42]:
LM = Initial   number   of   larvae   -   Final   number   of   larvae   and   prepupae Initial   number   of   larvae × 100

2.4. Biochemical Analysis of Diets, Larvae, and Frass

Samples of larvae, diet, and frass were lyophilized (Virtis 50 SRC-0433, SP Scientific Company, Warminster, PA, USA) for 7 days for larvae and 5 days for diet and frass, then were ground with a coffee grinder (SmartgrindTM Black and Decker, model: CBG100SC, Towson, MD, USA). Subsequently, analyses of the composition were performed in triplicate. Crude protein was determined using Kjeldahl digestion method AOAC 2001.11 [43] using (Foss KjeltechTM 8400, Fisher Scientific Company, Ottawa, ON, Canada). Total protein content was calculated by multiplying total nitrogen with the N-factor of 6.25 but since this N-factor overestimates the larval protein content due to the presence of nonprotein nitrogen, the N-factor of 4.67 was also used for larvae [44]. The percentage ash of larvae, diets, and frass was determined after incineration at 600 °C for 13 h according to the official method AOAC, 942.05 [45] using a muffle furnace (Lindberg/Blue M 1100 °C Box Furnace, Ottawa, ON, Canada). Dietary hemicellulose was calculated by subtraction of acidic detergent fiber (ADF) from natural detergent fiber (NDF) and dietary cellulose was measured by subtraction of acidic detergent lignin (ADL) from ADF. The ADF, NDF, and ADL fractions were assayed by the Ankom method (Ankom® Technology Corporation, Fairport, Macedon, NY, USA) according to the official method AOAC, 973.18 [46]. The method of Hall [47] was used for dietary starch measurement. Total lipid content of diets and larvae was determined by extraction with diethyl ether (XT15 ANKOM Technology, Macedon) according to the official method AOAC, 2003.06 [48]. The dietary gross energy (MJ kg−1) was determined via an oxygen bomb calorimeter (6300 Automatic Isoperibol Calorimeter, Parr Instrument Co, Moline, Colonnade Rd, Ottawa, ON, Canada). The larval chitin content was measured according to Spinelli [49]. For simple sugars measurements, diet samples were extracted with Milli-Q water by heating and sonication at 80 °C for 30 min. The supernatant was filtered through 0.45 µm nylon for HPLC analysis. The simple sugars were analyzed by HPLC 1100 system (Agilent 1100 Series with Agilent 1260 Infinity Refractive Index Detector, Agilent Technologies, Santa Clara, CA, USA) containing a Waters sugar pak-I column (6.5 × 300 mm) with an injection volume of 50 μL, a column flow rate of 0.5 mL min−1, and a mobile phase of EDTA 50 ppm for 30 min. The analyses were performed at 90 °C.
Mineral analyses of diet and frass were performed by the following methods: Micro-Kjeldahl digestion for N total [50], water extract for N-NO3 and N-NH4 [51], calcination for Mg and Na [52], loss on ignition (LOI) for organic matter (OM) [53], organic matter division by conversion factor (1.72) for organic carbon [54], and energy dispersive X-ray fluorescence (EDXRF) for P, K, Ca, S, Cl, Si, Al, Mo, Sr, Rb, Pb, Se, As, Hg, Zn, Cu, Fe, Mn measurement [55,56]. Electrical conductivity was measured as the ratio of frass weight to deionized water suspension (1:2.5) by conductivity meter (Fisherbrand™ Accumet™ XL500, benchtop dual channel pH/mV/Ion/Conductivity meter, Waltham, MA, USA).

2.5. Effect of Frass Extracts on Mycelial Growth of Plant Pathogens (Dual-Culture Overlay Assay)

Frass extract was prepared by mixing 10 g fresh frass in 100 mL of sterile physiological saline solution (0.5% NaCl) under agitation (150 rev min−1) for 60 min at 27 °C. The supernatant was recovered using 8 layers of sterile cheesecloth and was microfiltered (0.2 µm) or not. Supernatant was then incorporated to warm (48 °C) PDA 10% at final concentration of 1% (w:v, frass:PDA). The first layer (20 mL) of PDA 10% containing either frass extract, microfiltered frass extract, or no frass extract (control) was poured into Petri dishes. Petri dishes were then incubated at room temperature (22.5 °C) in darkness for 48 h. A second layer (10 mL) of PDA 10% was poured into the Petri dishes that were then incubated at 4 °C for 24 h. After the incubation period, a plug of PDA (10 mm diameter) covered with actively growing mycelium of B. cinerea, P. capsici, A. solani, F. oxysporum, S. sclerotiorum, or R. solani was placed in the center of the second layer. After an incubation period of 7 days in darkness at room temperature (22.5 °C), the mycelial radial growth of each fungus was measured in mm with a ruler as the average of four perpendicular radii of the fungal colony. The percent inhibition of radial growth (PIRG) was calculated according to the following equation:
PIRG = Mycelial   radial   growth   ( control ) Mycelial   radial   growth   ( treatment ) Mycelial   radial   growth   ( control ) × 100
The experiment was conducted as a completely randomized design with three replicates; a Petri dish being the experimental unit.

2.6. Statistical Analyses

Statistical analyses were performed using RStudio version 1.4.1106 (RStudio Inc., Boston, MA, USA). Independent-sample Student’s t-test was applied to compare means between two tested diets, for bioconversion rate, final larval weight, substrate reduction rate, mortality, BER, protein conversion, nutritional value of larvae, and chemical composition of frass. The dynamic of larval weight and length as well as pH and temperature of frass during the experiment were subjected to a two-way repeated measure ANOVA where larval age was within-subject, and the diets were between-subject. Multiple comparisons were carried out using the Tukey method. Residuals were examined to assess the normality and homoscedasticity assumptions. Logarithmic transformation was applied if the assumptions were violated. The results were considered significant if p < 0.05.

3. Results

The DM of GV and FVBB diets were 29.94% and 30.27%, respectively, which indicates the moisture content of approximately 70% for the two diets. The nutrient composition varied significantly between the two diets (Table 1). The protein concentration of FVBB diet was 58% higher (19.66% of DM) than the GV diet (12.46% of DM). Crude lipid content on a dry matter basis was 2.51 times higher in the FVBB diet (8.26) versus the GV diet (3.29). Higher gross energy in the FVBB diet (+11%) was measured versus the GV diet. The GV diet has higher ash content (+20%), cellulose (+79%), and hemicellulose (+82%) than the FVBB diet. The value of monosaccharides and disaccharides (sucrose) was significantly higher in FVBB (by 13 times and 2.4 times, respectively) versus the GV diet, except for galactose which was not detectable in the FVBB diet. Starch in the GV diet was 28% higher than the FVBB diet. The level of organic carbon (organic C; +1%), nitrogen (N; +46%) and phosphorus (P; +20%) were higher in the FVBB diet, while potassium (K; −14%) was lower compared with the GV diet (p-value < 0.05).

3.1. Larval Development

Bioconversion and substrate reduction rate are reported in Table 2. The final larval biomass (114.7 g) and individual larval mass of BSFL grown on the FVBB diet (162.11 mg) were higher compared to those in the GV diet (98.77 g and 129.31 mg, respectively). Bioconversion rate and bioconversion efficiency corrected by residual (BER) for the FVBB diet were significantly higher (+32% and +38%, respectively) than the GV diet. The larval mortality was not significantly different between FVBB and GV diets. The required time to reach 40% of prepupal stage was the same for the two diets, 10 days following larval transfer to experimental diets (15-day old larvae). BSFL were quickly able to reduce the GV diet by 70.48 and FVBB diet by 67.76 percent, which showed no significant difference at p-value < 0.05. The larvae raised on the FVBB diet converted dietary DM to larval biomass more efficiently than those raised on the GV diet. The same mortality rate occurred between diets, though there was a tendency for increased mortality with the FVBB diet (p-value = 0.059).
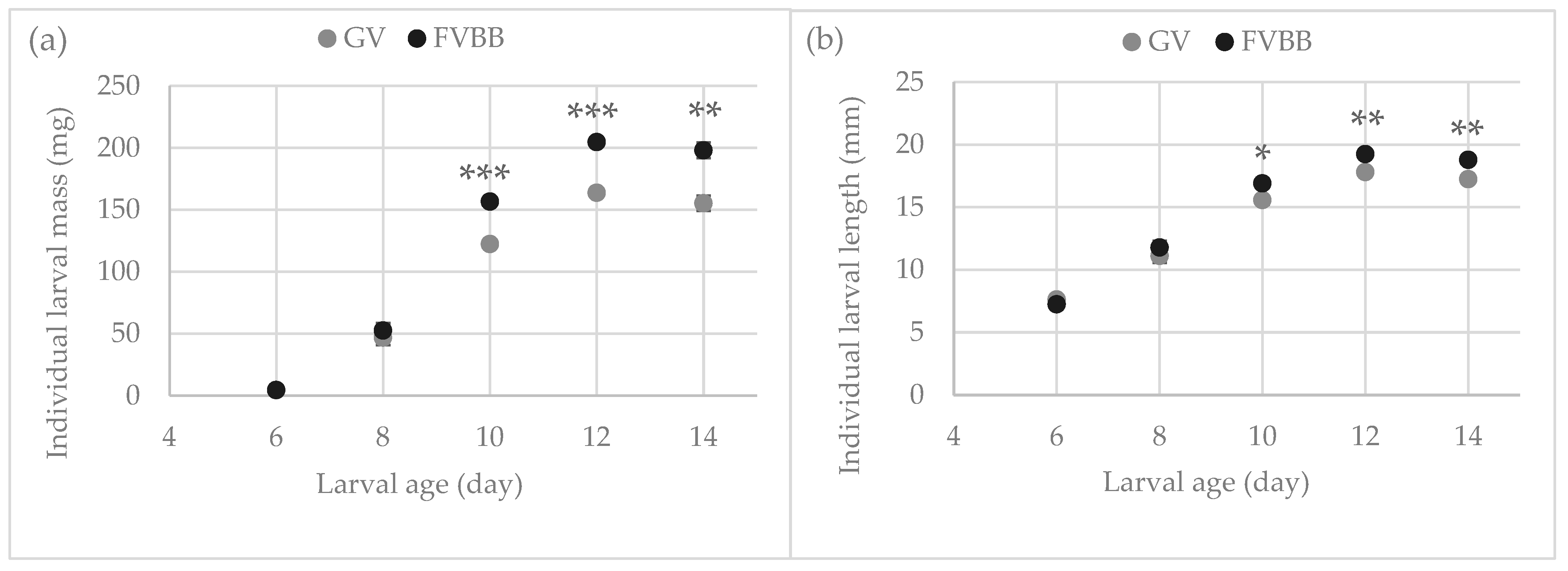
The effect of different diets on the development of BSFL in terms of individual larval mass and length over time is reported in Figure 1a,b. The results from the two-way mixed ANOVA showed that rearing diet, larvae age, and their interaction significantly (p < 0.001) affected larval development after the 10-day old larval stage. No differences were observed for individual larval mass before the 10-day old larval stage (Figure 1a), while significant differences appeared at this stage (p < 0.001) with a higher individual mass in the FVBB larvae (156.62 mg) compared to the GV larvae (122.43 mg). Such a trend was maintained until day 14 when 40% of larvae turned to the prepupal stage (p < 0.01). The larvae reached a maximum individual mass at day 12 for both diets (GV: 163.83 mg and FVBB: 204.62 mg). In terms of larval length, differences between diets were noted starting at day 10 (p < 0.05) where the larvae were 16.91 mm and 15.57 mm in FVBB and GV diets, respectively. The significant difference of larval length (Figure 1b) between two diets was maintained until day 14 when 40% of larvae turned to the prepupal stage (p < 0.01). Larvae reached maximum length at day 12 for both diets (GV: 17.81 mm and FVBB: 19.24 mm).

3.2. Chemical Composition of BSFL

The nutrient composition of the BSFL is presented in Table 3. The results demonstrate significant differences in the proximal composition of BSFL fed the FVBB and the GV diets. Crude lipid and dry matter were significantly (p < 0.05) higher (+108% and +13%, respectively) in larvae raised on the FVBB diet, whereas the crude protein (−10%) and crude ash (−56%) were significantly lower. There was no significant difference in larval chitin levels between diets.

3.3. Mineral Composition of Frass

The results of frass minerals were analyzed and are provided in Table 4. The elemental analysis revealed that the chemical composition of the samples was significantly different between frass derived from the two diets. The DM, OM, and EC values were significantly different between frass derived from the two diets.
Figure 2a revealed that during the initial phase of bioconversion, pH declined and reached the lowest value at 7-day old in GV (4.27) and 8-day old in FVBB (3.88). Thereafter, the pH gradually increased reaching a peak value of 8.59 on day 13 and 8.36 on day 14 for the GV and FVBB diets, respectively. The temperature of the biomass during the initial larval rearing phase increased and peaked on day 8 (33.66 °C) for the GV and day 9 (32.53 °C) for the FVBB diet and tended lower for both diets thereafter.

3.4. Effect of Frass Extracts on Mycelial Growth of Plant Pathogens

Gainesville frass extract demonstrated an extremely high inhibition of mycelial growth for all plant pathogens tested while FVBB frass extract had a complete inhibition of mycelial growth for S. sclerotiorum, high inhibition for A. solani and B. cinerea, moderate inhibition for P. capsici and F. oxysporum, and very low inhibition for R. solani (Figure 3). Except for B. cinerea, filtered frass extract caused no inhibition of mycelial growth.

4. Discussion

Although frass from insect bioconversion of waste organic residues has been previously promoted as a source of nutrients to enhance plant growth, the present study demonstrates the utility of frass to offer protection against a range of phytopathogens. These findings are important as they demonstrate a potentially innovative approach for integrated pest management in parallel with frass application as a soil amendment. These attributes along with the ability of BSFL to manage food waste and produce valuable animal feed ingredients serve to demonstrate the robust value chain resulting from this bioprocess.
Larvae from Hermetia illucens can be grown on a wide range of organic substrates, including food waste, vegetable waste, and human and animal fecal wastes [6]. It was demonstrated that the bioconversion rate is influenced by feedstock characteristics [57]; in plant-based diets, bioconversion rate can vary from 4.1 to 10.8 due to heterogeneity of substrate components, different larval density, and feeding rate [6,17,20,58,59]. It was also reported that larval biomass is dependent on rearing density due to competition for food [60]. In our study, the same density was used for both treatments and the mortality rate was not significantly different between diets, although a tendency of higher mortality was observed for the FVBB diet. The final individual larval mass was significantly higher in the FVBB diet versus the GV diet (p < 0.001).
The bioconversion rate of the FVBB diet was significantly higher than the GV diet likely due to higher levels of protein, non-structural carbohydrates, and lipid in the FVBB and lower level of structural carbohydrates (fiber including cellulose and hemicellulose). It has been shown that dietary protein and non-structural carbohydrate content are primary determinants of bioconversion efficiency [7,61,62,63]. Nevertheless, increasing dietary protein levels do not necessarily lead to higher larval performance [7] since the amount, quality, and ratio of protein, carbohydrates, and lipid should be considered as well [64,65]. Diets with higher levels of fiber decrease larval growth rates, since BSFL does not express enzymes required for the digestion of cellulose and hemicellulose [66]. Although some microbes in the larval gut and substrate are capable of hydrolyzing fiber [67,68], digestion of protein, lipid, and non-structural carbohydrates are still favored [62,69,70]. It has been reported that the survival rate in BSFL is less dependent on substrate characteristics versus other insect species [64]; indeed, the current study reports no significant difference between larval mortality between FVBB and GV diets, although a higher tendency was observed for the FVBB diet (p = 0.059).
In the current study, the FVBB diet resulted in a two-fold increase in fat accretion. Although the deposition of fat in larvae has been shown to be affected by substrate fat levels [71], dietary fat is not the only parameter that affects fat accretion. It has been reported that the larvae have a mechanism of fatty acid biosynthesis and accumulation at various stages of their life [20,72,73]. In addition, insects have been shown to be able to convert carbohydrates into lipid [59,74] and use it in the later stages of development like metamorphosis and reproduction or use it to avoid transpiration [75]. The level of larval fat reported in this study for the FVBB diet (35.99% of DM) is similar to what was previously reported by Wang et al. [22] (37.24% of DM) and Giannetto [20] (32.97% of DM) and may have potential for the production of biodiesel.
A large number of studies have demonstrated that BSFL has an efficient capacity to convert dietary proteins into larval protein biomass [6,62,65,76]. The protein conversion rate of the FVBB diet was 32.39%, which is in line with the results of Lalander et al. [6] feeding a fruit and vegetable diet (34.3%) and it is significantly different from 42.88% in the GV diet. According to the results of this study, when dietary protein content was lower, larval crude protein content was higher. This result is in line with the findings of Tschirner and Simon [76] and Barragan-Fonseca [62,65] who reported that the diet with the lowest crude protein content results in higher larval body crude protein content. Previous work has demonstrated that dietary carbohydrate levels had a higher effect than dietary protein on larval biomass gain [65]. Crude protein level (N-factor of 6.25) of BSFL reared on fruit and vegetable diets were reported 30.75, 41.8% [42], 39.8% [21], and 36.7% of DM [20], which are low compared to our results in FVBB (46.75% of DM).
Wang et al. [22] have shown that the larval ash was affected by the rearing substrate which confirms our results where crude ash level of larvae grown on the GV diet was significantly higher than the FVBB diet. The ash value for larvae grown on the fruit and vegetable waste is 7.88% [21], 7.22, 12.98% [42], 5% [20], and 10.8% of DM [59], which is probably caused by different percentages of mineral content such as Ca, Mg, K, and P in biomass [22]. It was demonstrated that high levels of ash in the larval biomass may have a negative effect on mineral availability of larvae used as animal feed. Therefore, larvae with a low content of ash grown on the FVBB diet might be more suitable as a feed ingredient [22].
Studies that have been performed feeding vegetable-based diets have shown that fruit and vegetable-based diets increase BSFL development time. For example, Jucker et al. [16] reported that the required development time to reach 40% prepupae was 36–52 days; Lalander et al. [6] showed the required time to attain 50% prepupae development was 42–47 days. The current study required 15 days to reach 40% prepupae, which is significantly lower than these previous reports; the accelerated development time could be due to the higher protein levels in our diet due to the presence of spent brewer’s grain and bread in the FVBB diet and protein fraction in the GV diet. These results are in line with data reported by Meneguz et al. [42] who found a significant difference in development time between brewery byproduct waste (8 days) and fruit and vegetable diets (20–22 days) where the brewery waste had a considerably higher protein content. The same development time for larvae reared on two different diets can be ascribed to sufficient protein and same moisture contents, confirming the results obtained by other authors [61,64]. Shorter development time is especially important as it leads to less production of greenhouse gases such as CO2 and NH3 during the waste bioconversion process by BSFL [6,18,77].
In waste management studies, the substrate reduction rate is an important parameter as it shows the ability of larvae to bioconvert waste [19]. In previous studies, the substrate reduction rate in fruit and vegetable diets ranged from 46.7–60.0% [6,20]. We report herein a substrate reduction rate of 67.76% in the FVBB diet, which shows the potential of BSFL in up-cycling organic wastes having this profile.
The larval growth curves showed that the individual larval mass offered the two different diets stated to significantly diverge on the fifth day after larval transfer to their respective diets. Although not measured in current study, potential microbial activity in the substrate may help digest polysaccharides (which is higher in the FVBB diet) into their simpler form of saccharides [78]. Thus, after 5 days, the larvae grown on FVBB diet have access to more digestible nutrients than larvae grown on the GV diet. This result is in line with those of Meneguz et al. [42] where larval mass differences appeared after the 10-day old larvae stage. The highest mass and length of larvae were observed when the larvae were 12 days old after which, they enter the prepupa stage which is associated with a loss of larval body mass.
Frass derived from BSFL raised on the GV and FVBB diets had NPK values of 2.01–1.94–3.65 and 2.70–1.27–2.97, respectively, which are comparable to those of other BSFL frasses derived from the food waste diet (1.7–0.7–0.9, [31]), from the Gainesville diet (4.4–5.2–4.1, [28]), from brewery grain (2.1–1.16–0.17, [32]), from food waste (4.54–1.23–2.44, [24]), and from a fruit and vegetable diet (3.3–0.37–2.3, [33]). The NPK values in this study are also comparable to that of organic fertilizers such as composted poultry litter (2.8–1.81–2.24), composted leaves (1.5–0.5–1), and worm castings (2.57–0.14–0.25) [24,30]. The nitrogen content of BSFL frass in this study is similar to those generated with the fruit and vegetable diet (1.83% of DM, [25]), organic waste (2.16% of DM, [79]), and wheat bran (2.8% of DM, [80]). The low frass nitrogen content was probably due to the fact that BSFL absorbs the nitrogen in the biomass for protein synthesis to develop larval biomass [6] or the diet microbial community that utilized the nitrogen [31]. Another possibility is the emission of ammonia during the waste recycling process by BSFL [77]. Similar to the results of Liu et al. [31] and Kawasaki et al. [79], BSFL frass had a higher concentration of N-NH4 than N-NO3. This result was also reported by [81] where BSFL feeding on decaying vegetable and food waste leachate increased N-NH4 concentration 5 to 6 times by mineralization of organic nitrogen within the frass. The acidic substrate inhibits the generation of N-NO3 and causes the conversion of nitrogen compounds to N-NH4 [82]. Moreover, the results of this study revealed that the temperature increased during the initial bioconversion phase, which might be due to the generation of heat by the rapid degradation of organic matter in the initial stages [31] derived from larval metabolic and microbial activity. The frass temperatures below 45 °C observed in this study and in Beesigamukama et al. [27] can conserve ammonia, which is highly volatilized at temperatures above 45 °C [83], and then limit nitrogen losses as GHGs.
Irrespective of diet, frass from BSFL generally showed low levels of heavy metals; the values reported herein allow for commercialization as a soil amendment based on regulation EC 2003/2003 in the European Community. It should be noted that some detection limits were higher than the EC limits; future analyses may need to be adapted to ensure low levels for all heavy metals.
The amount of carbon was similar in both types of frass and was comparable to 48.8% and 47.9% in frass derived from fruit/vegetable and chicken feed diets reported by Klammsteiner et al. [25]. The reduction of carbon during BSFL growing could be due to carbon utilization by BSFL [84] or loss of carbon in the form of CO2 by respiration of the larvae through the skin [85]. The degradation of carbon will continue in the soil and consume oxygen which may influence root respiration in the crops and produce toxic compounds [86] and that is why the composting of frass is recommended before applying in the soil [87,88]. It was shown that high carbon materials enhanced ammonia immobilization by binding onto phenolic compounds, which resulted in free ammonia decreasing and lower ammonia volatilization [89].
Although a high C:N ratio (25–35) has been reported as a crucial parameter for the production of nutrient-rich compost [83], this might not be favorable for the BSFL growth performance, as they require high nitrogen substrates [6,59]. Beesigamukama et al.’s [27] study demonstrated that the substrate with a C:N ratio of 15 for BSFL composting could generate desirable nutrients in frass for use as high-quality fertilizer for organic farming. To be able to decide whether frass can be used as a soil fertilizer or co-substrate for composting aerobically or anaerobically, the C:N ratio must be considered as one of the major parameters [90,91]. The C:N ratio value of 25 or below has been reported as a recommended range for application of fertilizer in the soil [92], while the C:N ratio value of less than 20 is highly preferable for field or greenhouse application due to mineralization of organic nitrogen to inorganic [93,94,95]. A C:N ratio higher than 25 likely immobilizes nitrogen if applied to soil and consequently inhibits plant germination [96]. The C:N ratio in frass from FVBB was 19, which is within the recommended range while this amount in frass from GV is 25 which is slightly high and could be considered optimal for the composting process.
The pH of both feedstocks was initially reduced during BSFL bioconversion. The lowest pH was observed during the initial phase, which might be due to the rapid degradation of easily available organic waste by BSFL as well as native microbial activity that led to the generation of organic acids [31]. As larvae grow, the pH gradually increased during the bioconversion process in which organic matter is transformed to minerals such as ammonium [27]. This pattern of changes in pH is similar to other observations made by Beesigamukama et al. [27], Rehman et al. [97], and Liu et al. [31]. Although the initial pH of two diets was different (5.85 for GV and 4.55 for FVBB), the harvested frass had similar final pH values (8.41 for GV and 8.35 for FVBB). These results are in agreement with the results presented by Meneguz et al. where the diets with different initial pH ended up at pH around 8.9–9.4 following BSFL bioconversion [98]. The range of pH for conventional horticulture applications is generally between 5.5 and 6.5, while for organic farming may range from 5.5 to 8.0 [31]. BSFL frass at the end of the experiment had an EC value of 5.35 mS cm−1 for GV and 10.21 mS cm−1 for FVBB. Frass EC values are above the threshold value of 3.5 dS m−1 for organic growing media, which is advisable for seedling growth [99,100]. Consequently, frass must be mixed in order to avoid high pH and EC and to maintain optimal physico-chemical properties of the growing media or soil [24,28,79,94,95,101,102].
A range of bioconverted organic residues (e.g., traditional composts, vermicomposts) have been reported to offer organic advantages beyond providing nutrients and organic amendment. For example, composts are known as excellent soil amendments and organic fertilizer for increasing the growth and yield of many plants. A range of studies demonstrated that compost and compost tea (liquid preparations made from compost) also suppress soil-borne diseases [103,104]; due to the antimicrobial activities of compost teas, they have been proposed as alternatives to synthetic chemical fungicides [105].
As an application of vermicompost, Yasir et al. [106] reported that some fungi (R. solani, Colletotrichum coccodes, P. ultimum, P. capsici, and Fusarium moniliforme) were suppressed by vermicompost effectively; they suggested there is an antifungal activity in its microflora and chitinase genes. Suppression of F. moniliforme in order to control foot rot disease of rice has been reported by aerated vermicompost teas [107]. It is shown that vermicompost produced by vegetable wastes, bark, and cattle manure suppressed R. solani [108].
Several studies on compost and compost tea have been carried out to identify antifungal activity against soil-borne pathogens. Pane et al. [109] reported using compost-peat mixture was useful for P. ultimum, R. solani, and Sclerotinia minor suppression. Another study on seedling damping-off of cucumber caused by P. ultimum showed that the inoculation of samples with compost tea can suppress the effect of fungi [110]. Adding yeast to compost tea enhanced its antifungal activity against chocolate leaf spot disease in broad bean caused by Botrytis fabae [105]. In another experiment, the use of compost derived from industrial wastes prepared by mixing olive oil mill waste water, coffee grounds, olive pomace, and phosphogypsum led to the improvement of potato growth as well as protection against Fusarium solani [111].
In particular, the effect of compost teas was studied for their ability to control tomato disease. On et al. [112] reported that specific isolated bacteria from compost tea (Brevibacterium linens and B. subtilis) can inhibit A. solani and B. cinerea in vitro culture as well as suppress tomato disease caused by these fungi in vivo. Their results also showed that the co-application of these two isolated bacteria has a synergetic effect on the inhibition of fungal pathogens in tomato. To understand the mechanism of action for inhibition, they extracted potential compounds from B. linens and B. subtilis and found surfactins as antifungal compounds in the bacterial extracts which suggested that production of antimicrobial compounds through antibiosis mechanism plays the main role in inhibition mechanism of action.
In similar experiments, aerated-fermented compost teas from biowaste compost and composted tomato suppress foliar pathogens of tomato caused by B. cinerea and Alternaria alternata and one soil-borne disease caused by Pyrenochaeta lycopersici [113]. Non-aerated compost teas prepared from sheep manure compost also significantly suppressed the mycelial growth of foliar pathogens including A. solani, B. cinerea, and Phytophthora infestans in vitro and inhibited gray mold disease caused by B. cinerea on tomato plants in the greenhouse [114]. Another study on tomato root pathogens including P. ultimum, R. solani, F. oxysporum f. sp. radicis-lycopersici, and Verticillium dahlia demonstrated inhibition effects of five different compost teas in vitro and reducing tomato seedling damping-off diseases caused by P. ultimum in vivo [115].
The above studies provide evidence to support the possibility that frass from BSFL may possess antifungal activity; indeed, emerging evidence has demonstrated fungal suppressiveness following BSFL frass [116,117], although data remain limited to understand this phenomenon.
In the current study, dual-culture overlay assays conducted with filtered and non-filtered frass demonstrate that frass derived from the two diets contain microorganisms which secrete compound(s) inhibiting the growth of the plant pathogens A. solani, B. cinerea, P. capsici, F. oxysporum, S. sclerotiorum, and to a lesser extent R. solani. These results are in line with the observation of Setti et al. [28], where the BSFL frass was unable to suppress R. solani damping-off disease in cress, and Quilliam et al. [35] and Brakspear [117], where BSFL frass amendment significantly reduced the loss of Fusarium wilt disease in cowpea and tomato, respectively. Our assays also reveal that GV frass is richer in microorganisms secreting inhibiting compound(s) as compared to FVBB frass. It is interesting to note that filtered GV frass allowed a 29.72% inhibition of B. cinerea mycelial growth suggesting that microbial populations present in GV frass produced in situ antifungal compound(s) in concentrations sufficient to inhibit B. cinerea growth. The results obtained suggest that frass could be effective to control plant pathogens belonging to the phyla Ascomycota (Fungi kingdom), Basidiomycota (Fungi kingdom), and Oomycota (Chromista kingdom).

5. Conclusions

In the present study, a fruit and vegetable-based diet with a balanced amount of protein, lipids, and carbohydrates and reduced fiber was formulated. Frass as a byproduct from this bioconversion process showed a high macro and micronutrient value, which is comparable to commercial organic fertilizers used for horticulture production. In addition, this organic amendment showed an inhibition effect against several phytopathogens through the production of antifungal and/or anti-oomycete compounds (antibiosis effect). This information will significantly enhance the insect bioconversion value chain and offer novel solutions to combat commercially important fungal diseases. Our results also showed that the larvae reared on this diet had higher performance in terms of individual larval mass (162.11 mg larvae−1) and bioconversion rate (13.32%), as well as larval proximal composition, including higher DM (28.49%) and lipid (35.99%) and lower ash content (4.22%) compared with larvae reared on GV diet as a reference. The significant value of protein (46.75), ash, and lipid content in BSFL raised on the FVBB diet makes it significant potential as a feed or as range of value-added bioproducts. In addition, an elevated substrate reduction rate (67.76%) in a short time (10 days) reported in this study could be a promising solution for food waste management. Ongoing work is currently focused on determining the optimal levels of BSFL frass amendment for soil or growing media applications to improve plant productivity and control phytopathogens. Given the rapidly emerging BSFL sector, this work will potentially provide innovative solutions for soil amendment and integrated pest management opportunities on an industrial scale as well as potentially offering positive impacts on soil health and organic horticultural crop resilience to biotic stresses and crop productivity.

Author Contributions

Conceptualization, G.A., G.V., R.J.T. and M.D.-H.; methodology, G.A., G.V., M.D.-H, R.J.T. and Y.L.; formal analysis, G.A.; investigation, G.A.; resources, G.V., R.J.T., M.D. and N.D.; writing—original draft preparation, G.A. and G.V.; writing—review and editing, R.J.T., M.D.-H., M.D., N.D. and M.-H.D.; supervision, G.V., R.J.T. and M.D.; project administration, G.V. All authors have read and agreed to the published version of the manuscript.

Funding

This research was funded by the Natural Sciences and Engineering Council of Canada and Premier Tech Technologies Ltd., grant number STPGP 521402.

Institutional Review Board Statement

Not applicable.

Informed Consent Statement

Not applicable.

Data Availability Statement

Rough data can be requested from the corresponding author.

Acknowledgments

We thank our colleagues Nancy Bolduc, Jean Martin, and Anne-Sophie Julien from Laval University for their kind collaborations as well as the staff at the Laboratoire de Recherche en Sciences Aquatiques. We also acknowledge Julien Vivancos from the Ministère de l’Agriculture, des Pêcheries et de l’Alimentation du Québec (MAPAQ) for providing the plant pathogens.

Conflicts of Interest

The authors declare no conflict of interest.

References

  1. United Nations. Global Population Growth and Sustainable Development; Department of Economic and Social Affairs, Population Division: New York, NY, USA, 2021; p. 5. [Google Scholar]
  2. Food and Agriculture Organization of the United Nations (FAO). Technical Platform on the Measurement and Reduction of Food Loss and Waste; Food and Agriculture Organization of the United Nations (FAO): Rome, Italy, 2020. [Google Scholar]
  3. Food and Agriculture Organization of the United Nations (FAO). Global Food Losses and Food Waste–Extent, Causes and Prevention; Food and Agriculture Organization of the United Nations (FAO): Rome, Italy, 2011; p. 29. [Google Scholar]
  4. Melikoglu, M.; Lin, C.S.K.; Webb, C. Analysing Global Food Waste Problem: Pinpointing the Facts and Estimating the Energy Content. Cent. Eur. J. Eng. 2013, 3, 157–164. [Google Scholar] [CrossRef]
  5. Arsova, L. Anaerobic Digestion of Food Waste: Current Status, Problems and an Alternative Product. Master’s Thesis, Columbia University, New York, NY, USA, 2010. [Google Scholar]
  6. Lalander, C.; Diener, S.; Zurbrügg, C.; Vinnerås, B. Effects of Feedstock on Larval Development and Process Efficiency in Waste Treatment with Black Soldier Fly (Hermetia illucens). J. Clean. Prod. 2019, 208, 211–219. [Google Scholar] [CrossRef]
  7. Gold, M.; Cassar, C.M.; Zurbrügg, C.; Kreuzer, M.; Boulos, S.; Diener, S.; Mathys, A. Biowaste Treatment with Black Soldier Fly Larvae: Increasing Performance through the Formulation of Biowastes Based on Protein and Carbohydrates. Waste Manag. 2020, 102, 319–329. [Google Scholar] [CrossRef] [PubMed]
  8. van Huis, A. Manure and Flies: Biodegradation and/or Bioconversion? J. Insects Food Feed 2019, 5, 55–58. [Google Scholar] [CrossRef]
  9. Liu, T.; Awasthi, M.K.; Chen, H.; Duan, Y.; Awasthi, S.K.; Zhang, Z. Performance of Black Soldier Fly Larvae (Diptera: Stratiomyidae) for Manure Composting and Production of Cleaner Compost. J. Environ. Manag. 2019, 251, 109593. [Google Scholar] [CrossRef]
  10. Gao, Z.; Wang, W.; Lu, X.; Zhu, F.; Liu, W.; Wang, X.; Lei, C. Bioconversion Performance and Life Table of Black Soldier Fly (Hermetia illucens) on Fermented Maize Straw. J. Clean. Prod. 2019, 230, 974–980. [Google Scholar] [CrossRef]
  11. Koné, M. Étude de La Composition Des Matières Organiques Végétales Résiduelles Récoltées Chez Les Détaillants Alimentaires Sur Les Performances de Croissance, Les Bilans de Bioconversion et La Qualité Nutritionnelle Des Larves de Mouches Soldats Noires Destinées à l’alimentation Du Bétail. Master’s Thesis, Laval University, Québec City, QC, Canada, 2019. [Google Scholar]
  12. Lähteenmäki-Uutela, A.; Hénault-Ethier, L.; Marimuthu, S.B.; Talibov, S.; Allen, R.N.; Nemane, V.; Vandenberg, G.W.; Józefiak, D. The Impact of the Insect Regulatory System on the Insect Marketing System. J. Insects Food Feed 2018, 4, 187–198. [Google Scholar] [CrossRef]
  13. Staff, B. New Insect Protein Gains Approval for Use in Animal Feed: Regulatory Approval First of Its Kind in Canada; Marketwired: Langley, BC, Canada, 2016. [Google Scholar]
  14. Leung, V. Enterra Received CFIA Approval to Sell Insect Larvae to Aquaculture Industry; Enterra Feed Corporation: Langley, BC, Canada, 2017. [Google Scholar]
  15. Leung, V. Enterra Receives New Approvals to Sell Sustainable Insect Ingredients for Animal Feed in USA, Canada and EU; Enterra Feed Corporation: Langley, BC, Canada, 2018. [Google Scholar]
  16. Jucker, C.; Erba, D.; Leonardi, M.G.; Lupi, D.; Savoldelli, S. Assessment of Vegetable and Fruit Substrates as Potential Rearing Media for Hermetia illucens (Diptera: Stratiomyidae) Larvae. Environ. Entomol. 2017, 46, 1415–1423. [Google Scholar] [CrossRef]
  17. Parra Paz, A.S.; Carrejo, N.S.; Gómez Rodríguez, C.H. Effects of Larval Density and Feeding Rates on the Bioconversion of Vegetable Waste Using Black Soldier Fly Larvae Hermetia illucens (L.), (Diptera: Stratiomyidae). Waste Biomass Valoriz. 2015, 6, 1059–1065. [Google Scholar] [CrossRef]
  18. Mertenat, A.; Diener, S.; Zurbrügg, C. Black Soldier Fly Biowaste Treatment–Assessment of Global Warming Potential. Waste Manag. 2019, 84, 173–181. [Google Scholar] [CrossRef]
  19. Diener, S.; Zurbrügg, C.; Tockner, K. Conversion of Organic Material by Black Soldier Fly Larvae: Establishing Optimal Feeding Rates. Waste Manag. Res. J. Sustain. Circ. Econ. 2009, 27, 603–610. [Google Scholar] [CrossRef] [PubMed]
  20. Giannetto, A.; Oliva, S.; Ceccon Lanes, C.F.; de Araújo Pedron, F.; Savastano, D.; Baviera, C.; Parrino, V.; Lo Paro, G.; Spanò, N.C.; Cappello, T.; et al. Hermetia illucens (Diptera: Stratiomydae) Larvae and Prepupae: Biomass Production, Fatty Acid Profile and Expression of Key Genes Involved in Lipid Metabolism. J. Biotechnol. 2020, 307, 44–54. [Google Scholar] [CrossRef] [PubMed]
  21. Chun, C.Y.; Yoong, L.S.; Kim, L.P.; Hock, T.L.; Ling, L.J. Comparison of Hermetia illucens Larvae and Pre-Pupae as Potential Aqua Feed Derived from the Biotransformation of Organic Waste. AIP Conf. Proc. 2019, 2157, 020008. [Google Scholar] [CrossRef]
  22. Wang, S.Y.; Wu, L.; Li, B.; Zhang, D. Reproductive Potential and Nutritional Composition of Hermetia illucens (Diptera: Stratiomyidae) Prepupae Reared on Different Organic Wastes. J. Econ. Entomol. 2020, 113, 527–537. [Google Scholar] [CrossRef]
  23. Jucker, C.; Lupi, D.; Moore, C.D.; Leonardi, M.G.; Savoldelli, S. Nutrient Recapture from Insect Farm Waste: Bioconversion with Hermetia illucens (L.) (Diptera: Stratiomyidae). Sustainability 2020, 12, 362. [Google Scholar] [CrossRef] [Green Version]
  24. Temple, W.D.; Radley, R.; Baker-French, J.; Richardson, F. Use of Enterra Natural Fertilizer (Black Soldier Fly Larvae Digestate) as a Soil Amendment; Enterra Feed Corporation: Vancouver, BC, Canada, 2013. [Google Scholar]
  25. Klammsteiner, T.; Turan, V.; Fernández-Delgado Juárez, M.; Oberegger, S.; Insam, H. Suitability of Black Soldier Fly Frass as Soil Amendment and Implication for Organic Waste Hygienization. Agronomy 2020, 10, 1578. [Google Scholar] [CrossRef]
  26. Beesigamukama, D.; Mochoge, B.; Korir, N.K.; Fiaboe, K.K.M.; Nakimbugwe, D.; Khamis, F.M.; Subramanian, S.; Dubois, T.; Musyoka, M.W.; Ekesi, S.; et al. Exploring Black Soldier Fly Frass as Novel Fertilizer for Improved Growth, Yield, and Nitrogen Use Efficiency of Maize Under Field Conditions. Front. Plant Sci. 2020, 11, 574592. [Google Scholar] [CrossRef]
  27. Beesigamukama, D.; Mochoge, B.; Korir, N.K.; Fiaboe, K.K.M.; Nakimbugwe, D.; Khamis, F.M.; Subramanian, S.; Wangu, M.M.; Dubois, T.; Ekesi, S.; et al. Low-Cost Technology for Recycling Agro-Industrial Waste into Nutrient-Rich Organic Fertilizer Using Black Soldier Fly. Waste Manag. 2021, 119, 183–194. [Google Scholar] [CrossRef]
  28. Setti, L.; Francia, E.; Pulvirenti, A.; Gigliano, S.; Zaccardelli, M.; Pane, C.; Caradonia, F.; Bortolini, S.; Maistrello, L.; Ronga, D. Use of Black Soldier Fly (Hermetia illucens (L.), Diptera: Stratiomyidae) Larvae Processing Residue in Peat-Based Growing Media. Waste Manag. 2019, 95, 278–288. [Google Scholar] [CrossRef]
  29. Shaviv, A. Advances in Controlled-Release Fertilizers. In Advances in Agronomy; Academic Press: Cambridge, MA, USA, 2001; Volume 71, pp. 1–49. [Google Scholar]
  30. Penhallegon, R. Nitrogen-Phosphorus-Potassium Values of Organic Fertilizers; Oregon State University: Corvallis, OR, USA, 2003. [Google Scholar]
  31. Liu, T.; Awasthi, S.K.; Qin, S.; Liu, H.; Awasthi, M.K.; Zhou, Y.; Jiao, M.; Pandey, A.; Varjani, S.; Zhang, Z. Conversion Food Waste and Sawdust into Compost Employing Black Soldier Fly Larvae (Diptera: Stratiomyidae) under the Optimized Condition. Chemosphere 2021, 272, 129931. [Google Scholar] [CrossRef]
  32. Beesigamukama, D.; Mochoge, B.; Korir, N.; Musyoka, M.W.; Fiaboe, K.K.M.; Nakimbugwe, D.; Khamis, F.M.; Subramanian, S.; Dubois, T.; Ekesi, S.; et al. Nitrogen Fertilizer Equivalence of Black Soldier Fly Frass Fertilizer and Synchrony of Nitrogen Mineralization for Maize Production. Agronomy 2020, 10, 1395. [Google Scholar] [CrossRef]
  33. Fischer, H.; Romano, N. Fruit, Vegetable, and Starch Mixtures on the Nutritional Quality of Black Soldier Fly (Hermetia illucens) Larvae and Resulting Frass. J. Insects Food Feed 2021, 7, 319–327. [Google Scholar] [CrossRef]
  34. Beesigamukama, D.; Mochoge, B.; Korir, N.K.; Fiaboe, K.K.M.; Nakimbugwe, D.; Khamis, F.M.; Dubois, T.; Subramanian, S.; Wangu, M.M.; Ekesi, S.; et al. Biochar and Gypsum Amendment of Agro-Industrial Waste for Enhanced Black Soldier Fly Larval Biomass and Quality Frass Fertilizer. PLoS ONE 2020, 15, e0238154. [Google Scholar] [CrossRef]
  35. Quilliam, R.S.; Nuku-Adeku, C.; Maquart, P.; Little, D.; Newton, R.; Murray, F. Integrating Insect Frass Biofertilisers into Sustainable Peri-Urban Agro-Food Systems. J. Insects Food Feed 2020, 6, 315–322. [Google Scholar] [CrossRef]
  36. Arabzadeh, G.; Delisle-Houde, M.; Dorais, M.; Deschamps, M.-H.; Derome, N.; Tweddell, R.; Vandenberg, G. Evaluation of the Antifungal Activity of Black Soldier Fly Larval Frass Using the Double-Layer Agar Technique. In Proceedings of the Insects to Feed the World Conference, Quebec City, QC, Canada, 23–26 November 2020. [Google Scholar]
  37. Aktar, M.W.; Sengupta, D.; Chowdhury, A. Impact of Pesticides Use in Agriculture: Their Benefits and Hazards. Interdiscip. Toxicol. 2009, 2, 1–12. [Google Scholar] [CrossRef] [Green Version]
  38. Hogsette, J.A. New Diets for Production of House Flies and Stable Flies (Diptera: Muscidae) in the Laboratory. J. Econ. Entomol. 1992, 85, 2291–2294. [Google Scholar] [CrossRef] [Green Version]
  39. Tomberlin, J.K.; Sheppard, D.C.; Joyce, J.A. Selected Life-History Traits of Black Soldier Flies (Diptera: Stratiomyidae) Reared on Three Artificial Diets. Ann. Entomol. Soc. Am. 2002, 95, 379–386. [Google Scholar] [CrossRef]
  40. Nguyen, T.T.X.; Tomberlin, J.K.; Vanlaerhoven, S. Ability of Black Soldier Fly (Diptera: Stratiomyidae) Larvae to Recycle Food Waste. Environ. Entomol. 2015, 44, 406–410. [Google Scholar] [CrossRef]
  41. Bosch, G.; Oonincx, D.G.A.B.; Jordan, H.R.; Zhang, J.; van Loon, J.J.A.; van Huis, A.; Tomberlin, J.K. Standardisation of Quantitative Resource Conversion Studies with Black Soldier Fly Larvae. J. Insects Food Feed 2020, 6, 95–109. [Google Scholar] [CrossRef]
  42. Meneguz, M.; Schiavone, A.; Gai, F.; Dama, A.; Lussiana, C.; Renna, M.; Gasco, L. Effect of Rearing Substrate on Growth Performance, Waste Reduction Efficiency and Chemical Composition of Black Soldier Fly (Hermetia illucens) Larvae. J. Sci. Food Agric. 2018, 98, 5776–5784. [Google Scholar] [CrossRef]
  43. Official Methods of Analysis of AOAC International. AOAC Official Method 2001.11; AOAC international: Gaithersburg, MD, USA, 2005. [Google Scholar]
  44. Janssen, R.H.; Vincken, J.-P.; van den Broek, L.A.M.; Fogliano, V.; Lakemond, C.M.M. Nitrogen-to-Protein Conversion Factors for Three Edible Insects: Tenebrio Molitor, Alphitobius Diaperinus, and Hermetia illucens. J. Agric. Food Chem. 2017, 65, 2275–2278. [Google Scholar] [CrossRef] [PubMed]
  45. Official Methods of Analysis of AOAC International. AOAC Official Method 942.05; AOAC international: Gaithersburg, MD, USA, 2005. [Google Scholar]
  46. Official Methods of Analysis of AOAC International. AOAC Official Method 973.18; AOAC international: Gaithersburg, MD, USA, 2000. [Google Scholar]
  47. Hall, M.B. Determination of Starch, Including Maltooligosaccharides, in Animal Feeds: Comparison of Methods and a Method Recommended for AOAC Collaborative Study. J. AOAC Int. 2009, 92, 42–49. [Google Scholar] [CrossRef] [Green Version]
  48. Official Methods of Analysis of AOAC International. AOAC Official Method 2003.06; AOAC international: Gaithersburg, MD, USA, 2000. [Google Scholar]
  49. Spinelli, J.; Lehman, L.; Wieg, D. Composition, Processing, and Utilization of Red Crab (Pleuroncodes Planipes) as an Aquacultural Feed Ingredient. J. Fish. Res. Board Can. 1974, 31, 1025–1029. [Google Scholar] [CrossRef]
  50. Isaac, R.A.; Johnson, W.C. Determination of Total Nitrogen in Plant Tissue, Using a Block Digestor. J. Assoc. Off. Anal. Chem. 1976, 59, 98–100. [Google Scholar] [CrossRef]
  51. Cataldo, D.A.; Maroon, M.; Schrader, L.E.; Youngs, V.L. Rapid Colorimetric Determination of Nitrate in Plant Tissue by Nitration of Salicylic Acid. Commun. Soil Sci. Plant Anal. 1975, 6, 71–80. [Google Scholar] [CrossRef]
  52. Conseil des Productions Végétales du Québec. Méthodes d’Analyse Des Sols, Des Fumiers et Des Tissus Végétaux., Méthode FO-1; Conseil des Productions Végétales du Québec: Quebec City, QC, Canada, 1988. [Google Scholar]
  53. Conseil des Productions Végétales du Québec. Méthodes d’Analyse Des Sols, Des Fumiers et Des Tissus Végétaux., Méthode MA-2; Conseil des Productions Végétales du Québec: Quebec City, QC, Canada, 1988. [Google Scholar]
  54. Conseil des Productions Végétales du Québec. Méthodes d’Analyse Des Sols, Des Fumiers et Des Tissus Végétaux., Méthode MA-1; Conseil des Productions Végétales du Québec: Quebec City, QC, Canada, 1988. [Google Scholar]
  55. Reidinger, S.; Ramsey, M.H.; Hartley, S.E. Rapid and Accurate Analyses of Silicon and Phosphorus in Plants Using a Portable X-ray Fluorescence Spectrometer. New Phytol. 2012, 195, 699–706. [Google Scholar] [CrossRef]
  56. Marguí, E.; Queralt, I.; Hidalgo, M. Application of X-ray Fluorescence Spectrometry to Determination and Quantitation of Metals in Vegetal Material. TrAC Trends Anal. Chem. 2009, 28, 362–372. [Google Scholar] [CrossRef]
  57. Surendra, K.C.; Tomberlin, J.K.; van Huis, A.; Cammack, J.A.; Heckmann, L.-H.L.; Khanal, S.K. Rethinking Organic Wastes Bioconversion: Evaluating the Potential of the Black Soldier Fly (Hermetia illucens (L.)) (Diptera: Stratiomyidae) (BSF). Waste Manag. 2020, 117, 58–80. [Google Scholar] [CrossRef]
  58. Mutafela, R.N. High Value Organic Waste Treatment via Black Soldier Fly Bioconversion: Onsite Pilot Study. Master’s Thesis, KTH Royal Institute of Technology, Stockholm, Sweden, 2015. [Google Scholar]
  59. Spranghers, T.; Ottoboni, M.; Klootwijk, C.; Ovyn, A.; Deboosere, S.; De Meulenaer, B.; Michiels, J.; Eeckhout, M.; De Clercq, P.; De Smet, S. Nutritional Composition of Black Soldier Fly (Hermetia illucens) Prepupae Reared on Different Organic Waste Substrates. J. Sci. Food Agric. 2017, 97, 2594–2600. [Google Scholar] [CrossRef]
  60. Hard, J.J.; Bradshaw, W.E.; Malarkey, D.J. Resource- and Density-Dependent Development in Tree-Hole Mosquitoes. Oikos 1989, 54, 137–144. [Google Scholar] [CrossRef]
  61. Cammack, J.A.; Tomberlin, J.K. The Impact of Diet Protein and Carbohydrate on Select Life-History Traits of The Black Soldier Fly Hermetia illucens (L.) (Diptera: Stratiomyidae). Insects 2017, 8, 56. [Google Scholar] [CrossRef] [Green Version]
  62. Barragan-Fonseca, K.B.; Dicke, M.; van Loon, J.J.A. Influence of Larval Density and Dietary Nutrient Concentration on Performance, Body Protein, and Fat Contents of Black Soldier Fly Larvae (Hermetia illucens). Entomol. Exp. Appl. 2018, 166, 761–770. [Google Scholar] [CrossRef] [Green Version]
  63. Barragán-Fonseca, K.; Pineda-Mejia, J.; Dicke, M.; van Loon, J.J.A. Performance of the Black Soldier Fly (Diptera: Stratiomyidae) on Vegetable Residue-Based Diets Formulated Based on Protein and Carbohydrate Contents. J. Econ. Entomol. 2018, 111, 2676–2683. [Google Scholar] [CrossRef] [PubMed]
  64. Oonincx, D.G.A.B.; Broekhoven, S.V.; Huis, A.V.; Loon, J.J.A. van Feed Conversion, Survival and Development, and Composition of Four Insect Species on Diets Composed of Food By-Products. PLoS ONE 2015, 10, e0144601. [Google Scholar] [CrossRef] [PubMed] [Green Version]
  65. Barragán-Fonseca, K.B. Flies Are What They Eat. Ph.D. Thesis, Wageningen University & Research, Wageningen, The Netherlands, 2018. [Google Scholar]
  66. Gold, M.; Tomberlin, J.K.; Diener, S.; Zurbrügg, C.; Mathys, A. Decomposition of Biowaste Macronutrients, Microbes, and Chemicals in Black Soldier Fly Larval Treatment: A Review. Waste Manag. 2018, 82, 302–318. [Google Scholar] [CrossRef]
  67. Lee, C.-M.; Lee, Y.-S.; Seo, S.-H.; Yoon, S.-H.; Kim, S.-J.; Hahn, B.-S.; Sim, J.-S.; Koo, B.-S. Screening and Characterization of a Novel Cellulase Gene from the Gut Microflora of Hermetia illucens Using Metagenomic Library. J. Microbiol. Biotechnol. 2014, 24, 1196–1206. [Google Scholar] [CrossRef] [Green Version]
  68. Jeon, H.; Park, S.; Choi, J.; Jeong, G.; Lee, S.-B.; Choi, Y.; Lee, S.-J. The Intestinal Bacterial Community in the Food Waste-Reducing Larvae of Hermetia illucens. Curr. Microbiol. 2011, 62, 1390–1399. [Google Scholar] [CrossRef] [PubMed]
  69. Beniers, J.J.A.; Graham, R.I. Effect of Protein and Carbohydrate Feed Concentrations on the Growth and Composition of Black Soldier Fly (Hermetia illucens) Larvae. J. Insects Food Feed 2019, 5, 193–199. [Google Scholar] [CrossRef]
  70. Bonelli, M.; Bruno, D.; Caccia, S.; Sgambetterra, G.; Cappellozza, S.; Jucker, C.; Tettamanti, G.; Casartelli, M. Structural and Functional Characterization of Hermetia illucens Larval Midgut. Front. Physiol. 2019, 10, 204. [Google Scholar] [CrossRef]
  71. Sealey, W.M.; Gaylord, T.G.; Barrows, F.T.; Tomberlin, J.K.; McGuire, M.A.; Ross, C.; St-Hilaire, S. Sensory Analysis of Rainbow Trout, Oncorhynchus Mykiss, Fed Enriched Black Soldier Fly Prepupae, Hermetia illucens. J. World Aquac. Soc. 2011, 42, 34–45. [Google Scholar] [CrossRef]
  72. Liu, X.; Chen, X.; Wang, H.; Yang, Q.; Rehman, K.U.; Li, W.; Cai, M.; Li, Q.; Mazza, L.; Zhang, J.; et al. Dynamic Changes of Nutrient Composition throughout the Entire Life Cycle of Black Soldier Fly. PLoS ONE 2017, 12, e0182601. [Google Scholar] [CrossRef] [Green Version]
  73. Zhu, Z.; ur Rehman, K.; Yu, Y.; Liu, X.; Wang, H.; Tomberlin, J.K.; Sze, S.-H.; Cai, M.; Zhang, J.; Yu, Z.; et al. De Novo Transcriptome Sequencing and Analysis Revealed the Molecular Basis of Rapid Fat Accumulation by Black Soldier Fly (Hermetia illucens, L.) for Development of Insectival Biodiesel. Biotechnol. Biofuels 2019, 12, 194. [Google Scholar] [CrossRef]
  74. Inagaki, S.; Yamashita, O. Metabolic Shift from Lipogenesis to Glycogenesis in the Last Instar Larval Fat Body of the Silkworm, Bombyx Mori. Insect Biochem. 1986, 16, 327–331. [Google Scholar] [CrossRef]
  75. DOWNER, R.G.H.; MATTHEWS, J.R. Patterns of Lipid Distribution and Utilisation in Insects. Am. Zool. 1976, 16, 733–745. [Google Scholar] [CrossRef]
  76. Tschirner, M.; Simon, A. Influence of Different Growing Substrates and Processing on the Nutrient Composition of Black Soldier Fly Larvae Destined for Animal Feed. J. Insects Food Feed 2015, 1, 249–259. [Google Scholar] [CrossRef]
  77. Parodi, A.; De Boer, I.J.M.; Gerrits, W.J.J.; Van Loon, J.J.A.; Heetkamp, M.J.W.; Van Schelt, J.; Bolhuis, J.E.; Van Zanten, H.H.E. Bioconversion Efficiencies, Greenhouse Gas and Ammonia Emissions during Black Soldier Fly Rearing–A Mass Balance Approach. J. Clean. Prod. 2020, 271, 122488. [Google Scholar] [CrossRef]
  78. Caruso, D.; Devic, E.; Subamia, I.W.; Talamond, P.; Baras, E. Technical Handbook of Domestication and Production of Diptera Black Soldier Fly (BSF) Hermetia illucens, Stratiomyidae; PT Penerbit IPB Press: Bogor, Indonesia, 2014. [Google Scholar]
  79. Kawasaki, K.; Kawasaki, T.; Hirayasu, H.; Matsumoto, Y.; Fujitani, Y. Evaluation of Fertilizer Value of Residues Obtained after Processing Household Organic Waste with Black Soldier Fly Larvae (Hermetia illucens). Sustainability 2020, 12, 4920. [Google Scholar] [CrossRef]
  80. Watson, C.; Schlösser, C.; Vögerl, J.; Wichern, F. Excellent Excrement? Frass Impacts on a Soil’s Microbial Community, Processes and Metal Bioavailability. Appl. Soil Ecol. 2021, 168, 104110. [Google Scholar] [CrossRef]
  81. Green, T.R.; Popa, R. Enhanced Ammonia Content in Compost Leachate Processed by Black Soldier Fly Larvae. Appl. Biochem. Biotechnol. 2012, 166, 1381–1387. [Google Scholar] [CrossRef]
  82. Awasthi, M.K.; Wang, Q.; Chen, H.; Wang, M.; Ren, X.; Zhao, J.; Li, J.; Guo, D.; Li, D.-S.; Awasthi, S.K.; et al. Evaluation of Biochar Amended Biosolids Co-Composting to Improve the Nutrient Transformation and Its Correlation as a Function for the Production of Nutrient-Rich Compost. Bioresour. Technol. 2017, 237, 156–166. [Google Scholar] [CrossRef]
  83. Bernal, M.P.; Alburquerque, J.A.; Moral, R. Composting of Animal Manures and Chemical Criteria for Compost Maturity Assessment. A Review. Bioresour. Technol. 2009, 100, 5444–5453. [Google Scholar] [CrossRef]
  84. Sarpong, D.; Oduro-Kwarteng, S.; Gyasi, S.F.; Buamah, R.; Donkor, E.; Awuah, E.; Baah, M.K. Biodegradation by Composting of Municipal Organic Solid Waste into Organic Fertilizer Using the Black Soldier Fly (Hermetia illucens) (Diptera: Stratiomyidae) Larvae. Int. J. Recycl. Org. Waste Agric. 2019, 8, 45–54. [Google Scholar] [CrossRef] [Green Version]
  85. Lin-ki, J.W.C. Drift of Black-Fly Larvae and the Infuence of Water Velocity, Substrate Roughness and Incident Light Intensity on Their Microdistribution (Diptera: Simuliidae). Ph.D. Thesis, MCMaster University, Hamilton, ON, Canada, 1975. [Google Scholar]
  86. Chang, R.; Yao, Y.; Cao, W.; Wang, J.; Wang, X.; Chen, Q. Effects of Composting and Carbon Based Materials on Carbon and Nitrogen Loss in the Arable Land Utilization of Cow Manure and Corn Stalks. J. Environ. Manage. 2019, 233, 283–290. [Google Scholar] [CrossRef]
  87. Anyega, A.O.; Korir, N.K.; Beesigamukama, D.; Changeh, G.J.; Nkoba, K.; Subramanian, S.; van Loon, J.J.A.; Dicke, M.; Tanga, C.M. Black Soldier Fly-Composted Organic Fertilizer Enhances Growth, Yield, and Nutrient Quality of Three Key Vegetable Crops in Sub-Saharan Africa. Front. Plant Sci. 2021, 12, 680312. [Google Scholar] [CrossRef]
  88. Song, S.; Ee, A.W.L.; Tan, J.K.N.; Cheong, J.C.; Chiam, Z.; Arora, S.; Lam, W.N.; Tan, H.T.W. Upcycling Food Waste Using Black Soldier Fly Larvae: Effects of Further Composting on Frass Quality, Fertilising Effect and Its Global Warming Potential. J. Clean. Prod. 2021, 288, 125664. [Google Scholar] [CrossRef]
  89. Lim, S.-S.; Park, H.-J.; Hao, X.; Lee, S.-I.; Jeon, B.-J.; Kwak, J.-H.; Choi, W.-J. Nitrogen, Carbon, and Dry Matter Losses during Composting of Livestock Manure with Two Bulking Agents as Affected by Co-Amendments of Phosphogypsum and Zeolite. Ecol. Eng. 2017, 102, 280–290. [Google Scholar] [CrossRef]
  90. Dioha, I.J.; Ikeme, C.H.; Nafi’u, T.; Soba, N.I.; Yusuf, M.B.S. Effect of Carbon to Nitrogen Ratio on Biogas Production. Int. Res. J. Nat. Sci. 2013, 1, 1–10. [Google Scholar]
  91. Wang, L.; Li, Y.; Prasher, S.O.; Yan, B.; Ou, Y.; Cui, H.; Cui, Y. Organic Matter, a Critical Factor to Immobilize Phosphorus, Copper, and Zinc during Composting under Various Initial C/N Ratios. Bioresour. Technol. 2019, 289, 121745. [Google Scholar] [CrossRef]
  92. Goyal, S.; Dhull, S.K.; Kapoor, K.K. Chemical and Biological Changes during Composting of Different Organic Wastes and Assessment of Compost Maturity. Bioresour. Technol. 2005, 96, 1584–1591. [Google Scholar] [CrossRef]
  93. Pan, I.; Dam, B.; Sen, S.K. Composting of Common Organic Wastes Using Microbial Inoculants. 3 Biotech 2012, 2, 127–134. [Google Scholar] [CrossRef] [Green Version]
  94. Dorais, M. Chapter 05-Advances in Organic Greenhouse Cultivation. In Achieving Sustainable Greenhouse Cultivation; Burleigh Dodds Science Publishing: Cambridge, UK, 2019; pp. 121–176. ISBN 978-0-429-26674-4. [Google Scholar]
  95. Dorais, M.; Alsanius, B. Advances and Trends in Organic Fruit and Vegetable Farming Research. In Horticultural Reviews: Volume 43; John Wiley & Sons, Ltd.: Hoboken, NJ, USA, 2015; pp. 185–268. ISBN 978-1-119-10778-1. [Google Scholar]
  96. de Bertoldi, M.; Vallini, G.; Pera, A. The Biology of Composting: A Review. Waste Manag. Res. 1983, 1, 157–176. [Google Scholar] [CrossRef]
  97. ur Rehman, K.; Rehman, A.; Cai, M.; Zheng, L.; Xiao, X.; Somroo, A.A.; Wang, H.; Li, W.; Yu, Z.; Zhang, J. Conversion of Mixtures of Dairy Manure and Soybean Curd Residue by Black Soldier Fly Larvae (Hermetia illucens L.). J. Clean. Prod. 2017, 154, 366–373. [Google Scholar] [CrossRef]
  98. Meneguz, M.; Gasco, L.; Tomberlin, J.K. Impact of PH and Feeding System on Black Soldier Fly (Hermetia illucens, L.; Diptera: Stratiomyidae) Larval Development. PLoS ONE 2018, 13, e0202591. [Google Scholar] [CrossRef]
  99. Lemaire, F.; Dartigues, A.; Rivière, L.M. Properties of Substrate Made with Spent Mushroom Compost. Acta Hortic. 1985, 172, 13–30. [Google Scholar] [CrossRef]
  100. Noguera, P.; Abad, M.; Puchades, R.; Maquieira, A.; Noguera, V. Influence of Particle Size on Physical and Chemical Properties of Coconut Coir Dust as Container Medium. Commun. Soil Sci. Plant Anal. 2003, 34, 593–605. [Google Scholar] [CrossRef]
  101. Wu, X.; Cai, R.; Wang, X.; Wu, N.; Xu, X. Study on Effects of Black Soldier Fly Feces on Rice Growth. IOP Conf. Ser. Earth Environ. Sci. 2020, 450, 012099. [Google Scholar] [CrossRef]
  102. Chiam, Z.; Lee, J.T.E.; Tan, J.K.N.; Song, S.; Arora, S.; Tong, Y.W.; Tan, H.T.W. Evaluating the Potential of Okara-Derived Black Soldier Fly Larval Frass as a Soil Amendment. J. Environ. Manag. 2021, 286, 112163. [Google Scholar] [CrossRef]
  103. Joshi, R.; Singh, J.; Vig, A.P. Vermicompost as an Effective Organic Fertilizer and Biocontrol Agent: Effect on Growth, Yield and Quality of Plants. Rev. Environ. Sci. Biotechnol. 2015, 14, 137–159. [Google Scholar] [CrossRef]
  104. St. Martin, C.C.G.; Brathwaite, R.A.I. Compost and Compost Tea: Principles and Prospects as Substrates and Soil-Borne Disease Management Strategies in Soil-Less Vegetable Production. Biol. Agric. Hortic. 2012, 28, 1–33. [Google Scholar] [CrossRef]
  105. Ibrahim, H.A.K.; El-Fiki, I.A.I. Study on the Effect of Yeast in Compost Tea Efficiency in Controlling Chocolate Leaf Spot Disease in Broad Bean (Vicia Faba). Org. Agric. 2019, 9, 175–188. [Google Scholar] [CrossRef]
  106. Yasir, M.; Aslam, Z.; Kim, S.W.; Lee, S.-W.; Jeon, C.O.; Chung, Y.R. Bacterial Community Composition and Chitinase Gene Diversity of Vermicompost with Antifungal Activity. Bioresour. Technol. 2009, 100, 4396–4403. [Google Scholar] [CrossRef] [PubMed]
  107. Manandhar, T.; Yami, K.D. Biological Control of Foot Rot Disease of Rice Using Fermented Products of Compost and Vermicompost. Sci. World 2008, 6, 52–57. [Google Scholar] [CrossRef]
  108. Simsek Ersahin, Y.; Haktanir, K.; Yanar, Y. Vermicompost Suppresses Rhizoctonia Solani Kühn in Cucumber Seedlings. J. Plant Dis. Prot. 2009, 116, 182–188. [Google Scholar] [CrossRef]
  109. Pane, C.; Spaccini, R.; Piccolo, A.; Scala, F.; Bonanomi, G. Compost Amendments Enhance Peat Suppressiveness to Pythium Ultimum, Rhizoctonia Solani and Sclerotinia Minor. Biol. Control 2011, 56, 115–124. [Google Scholar] [CrossRef]
  110. Scheuerell, S.J.; Mahaffee, W.F. Compost Tea as a Container Medium Drench for Suppressing Seedling Damping-Off Caused by Pythium Ultimum. Phytopathology 2004, 94, 1156–1163. [Google Scholar] [CrossRef] [PubMed] [Green Version]
  111. Samet, M.; Charfeddine, M.; Kamoun, L.; Nouri-Ellouze, O.; Gargouri-Bouzid, R. Effect of Compost Tea Containing Phosphogypsum on Potato Plant Growth and Protection against Fusarium Solani Infection. Environ. Sci. Pollut. Res. Int. 2018, 25, 18921–18937. [Google Scholar] [CrossRef]
  112. On, A.; Wong, F.; Ko, Q.; Tweddell, R.J.; Antoun, H.; Avis, T.J. Antifungal Effects of Compost Tea Microorganisms on Tomato Pathogens. Biol. Control 2015, 80, 63–69. [Google Scholar] [CrossRef]
  113. Pane, C.; Celano, G.; Villecco, D.; Zaccardelli, M. Control of Botrytis Cinerea, Alternaria Alternata and Pyrenochaeta Lycopersici on Tomato with Whey Compost-Tea Applications. Crop Prot. 2012, 38, 80–86. [Google Scholar] [CrossRef]
  114. Koné, S.B.; Dionne, A.; Tweddell, R.J.; Antoun, H.; Avis, T.J. Suppressive Effect of Non-Aerated Compost Teas on Foliar Fungal Pathogens of Tomato. Biol. Control 2010, 52, 167–173. [Google Scholar] [CrossRef]
  115. Dionne, A.; Tweddell, R.J.; Antoun, H.; Avis, T.J. Effect of Non-Aerated Compost Teas on Damping-off Pathogens of Tomato. Can. J. Plant Pathol. 2012, 34, 51–57. [Google Scholar] [CrossRef]
  116. Arabzadeh, G.; Delisle-Houde, M.; Nguyen, T.T.A.; Tweddell, R.; Dorais, M.; Deschamps, M.-H.; Vandenberg, G. Evaluation of the Antifungal Activity of Black Soldier Fly Larval Frass Using the Double-Layer Agar Technique. In Proceedings of the Insects to Feed the World Conference, Quebec City, QC, Canada, 12 June 2022. [Google Scholar]
  117. Brakspear, C. Biocontrol Potential of Black Soldier Fly (Hermetia illucens L.) Frass against Fusarium and Verticillium Wilt of Tomato. In Proceedings of the Insects to Feed the World Conference, Quebec City, QC, Canada, 12 June 2022. [Google Scholar]
Figure 1. BSFL development: (a) Individual larval mass; (b) individual larval length. GV = Gainesville and FVBB = fruit/vegetable/bakery/brewery diets. p-value: * = p < 0.05, ** = p < 0.01, *** = p < 0.001. Error bars represent the standard error of the mean (n = 3).
Figure 1. BSFL development: (a) Individual larval mass; (b) individual larval length. GV = Gainesville and FVBB = fruit/vegetable/bakery/brewery diets. p-value: * = p < 0.05, ** = p < 0.01, *** = p < 0.001. Error bars represent the standard error of the mean (n = 3).
Agronomy 12 01765 g001
Figure 2. Effect of the Gainesville (GV) and the fruit/vegetable/bakery/brewery (FVBB) diets on: (a) pH; (b) temperature during BSFL rearing. Error bars represent the standard error of the mean, n = 3.
Figure 2. Effect of the Gainesville (GV) and the fruit/vegetable/bakery/brewery (FVBB) diets on: (a) pH; (b) temperature during BSFL rearing. Error bars represent the standard error of the mean, n = 3.
Agronomy 12 01765 g002
Figure 3. The effects of filtered (F-GV and F-FVBB) and non-filtered (GV and FVBB) frass extracts from the two diets on mycelial growth of Rhizoctonia solani, Sclerotinia sclerotiorum, Phytophthora capsici, Botrytis cinerea, Fusarium oxysporum, and Alternaria solani. Each value represents the mean of 3 replicates ± standard error. PIRG = percent inhibition of radial growth.
Figure 3. The effects of filtered (F-GV and F-FVBB) and non-filtered (GV and FVBB) frass extracts from the two diets on mycelial growth of Rhizoctonia solani, Sclerotinia sclerotiorum, Phytophthora capsici, Botrytis cinerea, Fusarium oxysporum, and Alternaria solani. Each value represents the mean of 3 replicates ± standard error. PIRG = percent inhibition of radial growth.
Agronomy 12 01765 g003
Table 1. Chemical composition of the Gainesville (GV) and the fruit/vegetable/bakery/brewery (FVBB) diets.
Table 1. Chemical composition of the Gainesville (GV) and the fruit/vegetable/bakery/brewery (FVBB) diets.
ParameterGVFVBBp-Value
DM (%)29.94 ± 0.31 a30.27 ± 0.440.57
Crude protein (% of DM)12.46 ± 0.08 19.66 ± 0.11<0.001
Crude lipid (% of DM)3.29 ± 1.218.26 ± 1.01<0.001
Crude ash (% of DM)4.98 ± 0.054.16 ± 0.00<0.001
Starch (% of DM)25.52 ± 0.1119.93 ± 0.200.004
Sucrose (% of DM)2.85 ± 0.036.98 ± 0.03<0.001
Glucose (% of DM)0.58 ± 0.017.22 ± 0.03<0.001
Galactose (% of DM)0.61 ± 0.000.00 ± 0.000.000
Fructose (% of DM)0.52 ± 0.017.20 ± 0.03<0.001
Cellulose (% of DM)10.15 ± 1.045.66 ± 0.510.018
Hemicellulose (% of DM)16.13 ± 0.648.87 ± 0.33<0.001
Energy (cal g−1)3950.15 ± 15.094373.71 ± 4.19<0.001
Organic C (%)54.72 ± 0.0455.26 ± 0.010.004
N (%)2.24 ± 0.043.28 ± 0.04<0.001
P (%)0.45 ± 0.010.54 ± 0.000.003
K (%)1.33 ± 0.031.14 ± 0.010.013
C:N24.46 ± 0.38 16.76 ± 0.18 <0.001
a Results are expressed as mean ± SE, n = 3.
Table 2. Larval growth and substrate reduction efficiency of BSFL reared on the Gainesville (GV) and the fruit/vegetable/bakery/brewery (FVBB) diets.
Table 2. Larval growth and substrate reduction efficiency of BSFL reared on the Gainesville (GV) and the fruit/vegetable/bakery/brewery (FVBB) diets.
ParameterGVFVBBp-Value
Larval biomass (g as is)98.77 ± 3.50 a114.7 ± 1.220.034
Larval biomass (g of DM)24.82 ± 0.6232.68 ± 0.47<0.001
Individual larval mass (mg as is)129.31 ± 2.45162.11 ± 2.22<0.001
Individual larval mass (mg of DM)32.52 ± 0.5846.18 ± 0.54<0.001
Bioconversion rate (%)10.05 ± 0.2713.32 ± 0.20<0.001
Substrate reduction rate (%)70.48 ± 0.8567.76 ± 0.750.074
Mortality (%)4.58 ± 1.5711.5 ± 2.130.059
BER b14.26 ± 0.4419.65 ± 0.09<0.001
Protein conversion rate (%)42.88 ± 0.8932.39 ± 0.76<0.001
a Results are expressed as mean ± SE, n = 3. b Bioconversion efficiency corrected for residue.
Table 3. Composition of BSFL biomass reared on the Gainesville (GV) and the fruit/vegetable/bakery/brewery (FVBB) diets on dry matter basis.
Table 3. Composition of BSFL biomass reared on the Gainesville (GV) and the fruit/vegetable/bakery/brewery (FVBB) diets on dry matter basis.
Parameter (%)GVFVBBp-Value
Crude protein (6.25)51.66 ± 0.24 a46.75 ± 0.550.0012
Crude protein (4.67)38.60 ± 0.1834.89 ± 0.410.0012
Crude lipid17.26 ± 1.8135.99 ± 1.02<0.001
Crude ash9.60 ± 0.094.22 ± 0.18<0.001
Dry matter25.17 ± 0.6928.49 ± 0.170.009
Chitin6.92 ± 0.136.81 ± 0.230.654
a Results are expressed as mean ± SE, n = 3.
Table 4. Chemical composition of Gainesville (GV frass) and fruit/vegetable/bakery/brewery (FVBB frass) frass.
Table 4. Chemical composition of Gainesville (GV frass) and fruit/vegetable/bakery/brewery (FVBB frass) frass.
ParameterGV FrassFVBB Frassp-Value
DM (%)22.09 ± 0.62 a25.57 ± 0.230.02
OM (%)87.50 ± 0.1888.67 ± 0.340.029
Ash (%)11.86 ± 0.1611.05 ± 0.310.099
Organic C (%)50.76 ± 0.1051.44 ± 0.200.030
N (%)2.01 ± 0.082.70 ± 0.010.006
NO3 (%)<0.02<0.02
NH4 (%)0.17 ± 0.000.78 ± 0.020.002
Mg (%)0.82 ± 0.020.42 ± 0.02<0.001
P (%)1.94 ± 0.031.27 ± 0.01<0.001
K (%)3.65 ± 0.012.97 ± 0.050.003
Ca (%)0.20 ± 0.010.04 ± 0.000.002
S (%)0.46 ± 0.001.35 ± 0.01<0.001
C:N25.36 ± 1.1019.10 ± 0.130.022
EC (mS cm−1)5.35 ± 0.1310.21 ± 0.11<0.001
Zn (mg Kg−1)99.18 ± 0.9257.32 ± 1.25<0.001
Cu (mg Kg−1)18.02 ± 1.57<9.00
Fe (mg Kg−1)285.74 ± 9.08150.45 ± 5.540.0013
Mn (mg Kg−1)31.33 ± 6.95<17.00
Na (%)0.07 ± 0.000.97 ± 0.050.0017
Cl (%)0.17 ± 0.001.53 ± 0.03<0.001
Mo (mg Kg−1)<4.00<4.00
Sr (mg Kg−1)13.30 ± 0.615.56 ± 0.67<0.001
Rb (mg Kg−1)23.41 ± 0.1823.73 ± 0.570.952
Pb (mg Kg−1)<1.00<1.00
Se (mg Kg−1)<2.00<2.00
As (mg Kg−1)<2.00<2.00
Hg (mg Kg−1)<3.00<3.00
Si (%)0.26 ± 0.000.05 ± 0.00<0.001
Al (%)<0.17<0.17
a Results are expressed as mean ± SE, n = 3.
Publisher’s Note: MDPI stays neutral with regard to jurisdictional claims in published maps and institutional affiliations.

Share and Cite

MDPI and ACS Style

Arabzadeh, G.; Delisle-Houde, M.; Tweddell, R.J.; Deschamps, M.-H.; Dorais, M.; Lebeuf, Y.; Derome, N.; Vandenberg, G. Diet Composition Influences Growth Performance, Bioconversion of Black Soldier Fly Larvae: Agronomic Value and In Vitro Biofungicidal Activity of Derived Frass. Agronomy 2022, 12, 1765. https://doi.org/10.3390/agronomy12081765

AMA Style

Arabzadeh G, Delisle-Houde M, Tweddell RJ, Deschamps M-H, Dorais M, Lebeuf Y, Derome N, Vandenberg G. Diet Composition Influences Growth Performance, Bioconversion of Black Soldier Fly Larvae: Agronomic Value and In Vitro Biofungicidal Activity of Derived Frass. Agronomy. 2022; 12(8):1765. https://doi.org/10.3390/agronomy12081765

Chicago/Turabian Style

Arabzadeh, Ghazaleh, Maxime Delisle-Houde, Russell J. Tweddell, Marie-Hélène Deschamps, Martine Dorais, Yolaine Lebeuf, Nicolas Derome, and Grant Vandenberg. 2022. "Diet Composition Influences Growth Performance, Bioconversion of Black Soldier Fly Larvae: Agronomic Value and In Vitro Biofungicidal Activity of Derived Frass" Agronomy 12, no. 8: 1765. https://doi.org/10.3390/agronomy12081765

APA Style

Arabzadeh, G., Delisle-Houde, M., Tweddell, R. J., Deschamps, M.-H., Dorais, M., Lebeuf, Y., Derome, N., & Vandenberg, G. (2022). Diet Composition Influences Growth Performance, Bioconversion of Black Soldier Fly Larvae: Agronomic Value and In Vitro Biofungicidal Activity of Derived Frass. Agronomy, 12(8), 1765. https://doi.org/10.3390/agronomy12081765

Note that from the first issue of 2016, this journal uses article numbers instead of page numbers. See further details here.

Article Metrics

Back to TopTop