Split Nitrogen Application Rates for Wheat (Triticum aestivum L.) Yield and Grain N Using the CSM-CERES-Wheat Model
Abstract
:1. Introduction
2. Materials and Methods
2.1. Experimental Site
2.2. Weather Data
2.3. Soil Data
2.4. Treatments and Design
2.5. Samplings and Measurements
2.6. CSM-CERES-Wheat
Model Calibration
2.7. Model Evaluation
3. Results
3.1. Number of Tillers
3.2. Number of Grains
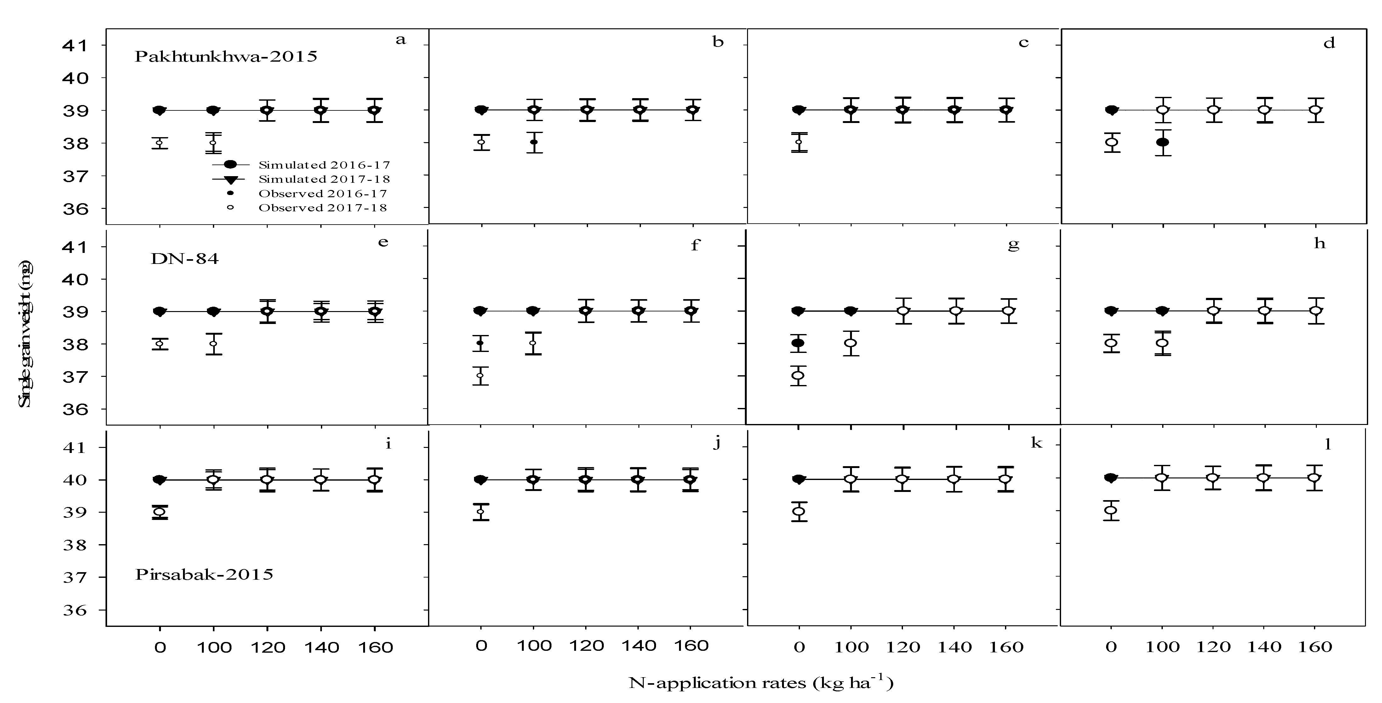
3.3. Grain Kernel Weight
3.4. Biomass
3.5. Grain Yield
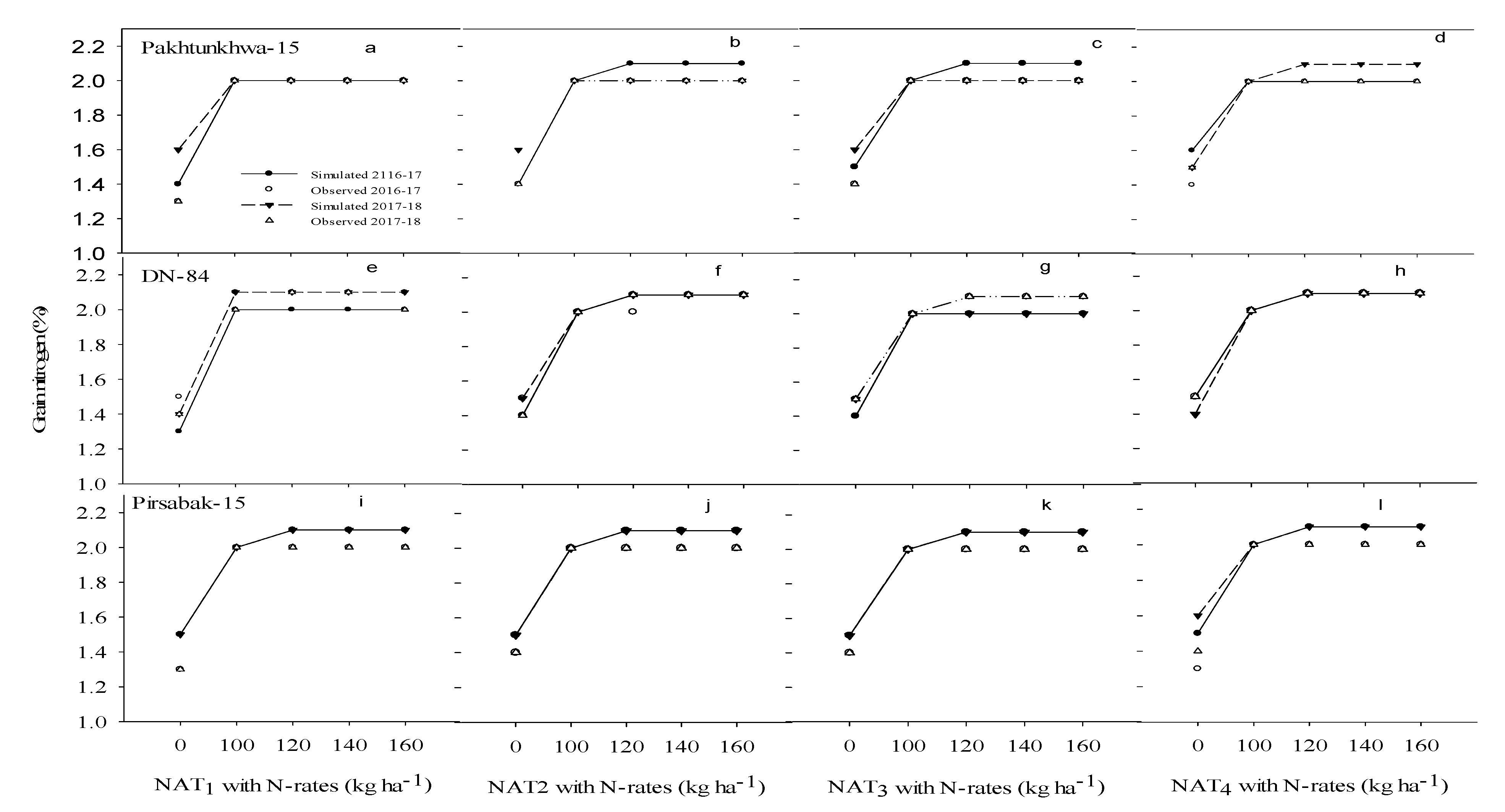
3.6. Grain N Content
4. Discussion
5. Conclusions
Author Contributions
Funding
Institutional Review Board Statement
Informed Consent Statement
Data Availability Statement
Conflicts of Interest
References
- FAO. Crop Statistics, FAOSTAT; Food and Agriculture Organization of the United Nations (FAO): Rome, Italy, 2019; Available online: http://faostat3.fao.org/ (accessed on 5 June 2022).
- Khan, G.R.; Akmal, M.; Ali, N.; Goher, R.; Anjum, M.M.; Wahid, F. Effect of Different Nitrogen Rates and Split Applications on Growth and Productivity of Wheat Cultivars. Gesunde Pflanz. 2022, 15, 1–6. [Google Scholar] [CrossRef]
- Gyawali, A.; Bhandari, R.; Budhathoki, P.; Bhattrai, S. Management Practices. Food Agric. Econ. Rev. 2022, 2, 34–40. [Google Scholar]
- Adhikari, B.; Pell, C.; Cheah, P.Y. Community engagement and ethical global health research. Glob. Bioeth 2020, 1, 1–2. [Google Scholar] [CrossRef] [PubMed]
- Lidon, F.C.; Almeida, A.S.; cia Leitão, A.L.; Silva, M.M.; Pinheiro, N.; Macas, B.; Costa, R. A synoptic overview of durum wheat production in the Mediterranean region and processing following the European Union requirements. Emir. J. Food Agric. 2014, 15, 693–705. [Google Scholar] [CrossRef] [Green Version]
- Anjum, M.M.; Arif, M. Perspectives of Wheat Hybrid Yield and Quality Under Limited Irrigation Supply and Sowing Windows. Gesunde Pflanz. 2022, 21, 1. [Google Scholar] [CrossRef]
- MINFSR. Agricultural Statistics of Pak; Ministry of National Food Security and Research, Government of Pakistan: Islamabad, Pakistan, 2018.
- Pronin, D.; Börner, A.; Weber, H.; Scherf, K.A. Wheat (Triticum aestivum L.) breeding from 1891 to 2010 contributed to increasing yield and glutenin contents but decreasing protein and gliadin contents. J. Agric. Food Chem. 2020, 68, 13247–13256. [Google Scholar] [CrossRef] [PubMed]
- Eid, M.A.M.; Abdel-Salam, A.A.; Salem, H.M.; Mahrous, S.E.; Seleiman, M.F.; Alsadon, A.A.; Solieman, T.H.I.; Ibrahim, A.A. Interaction Effects of Nitrogen Source and Irrigation Regime on Tuber Quality, Yield, and Water Use Efficiency of Solanum tuberosum L. Plants 2020, 9, 110. [Google Scholar] [CrossRef] [PubMed] [Green Version]
- Lee, S.; Park, J.; Lee, J.; Shin, D.; Marmagne, A.; Lim, P.O.; Masclaux-Daubresse, C.; An, G.; Nam, H.G. OsASN1 overexpression in Rice increases grain protein content and yield under nitrogen-limiting conditions. Plant Cell Physiol. 2020, 61, 1309–1320. [Google Scholar] [CrossRef]
- Anas, M.; Liao, F.; Verma, K.K.; Sarwar, M.A.; Mahmood, A.; Chen, Z.L.; Li, Q.; Zeng, X.P.; Liu, Y.; Li, Y.R. Fate of nitrogen in agriculture and environment: Agronomic, eco-physiological and molecular approaches to improve nitrogen use efficiency. Biol. Res. 2020, 53, 47. [Google Scholar] [CrossRef]
- Bai, H.; Wang, J.; Fang, Q.; Huang, B. Does a trade-off between yield and efficiency reduce water and nitrogen inputs of winter wheat in the North China Plain? Agric. Water Manag. 2020, 233, 106095. [Google Scholar] [CrossRef]
- Khan, G.R.; Akmal, M. Ensuring sustainable soil nitrogen management, grain yield and protein enhancement of wheat crop through timing and rate of nitrogen application. Biosci. Res. 2021, 18, 1333–1347. [Google Scholar]
- Koch, M.; Naumann, M.; Pawelzik, E.; Gransee, A.; Thiel, H. The importance of nutrient management for potato production Part I: Plant nutrition and yield. Potato Res. 2020, 63, 97–119. [Google Scholar] [CrossRef] [Green Version]
- Hussain, M.Z.; Robertson, G.P.; Basso, B.; Hamilton, S.K. Leaching losses of dissolved organic carbon and nitrogen from agricultural soils in the upper US Midwest. Sci. Total Environ. 2020, 734, 139379. [Google Scholar] [CrossRef] [PubMed]
- Ullah, H.; Santiago-Arenas, R.; Ferdous, Z.; Attia, A.; Datta, A. Improving water use efficiency, nitrogen use efficiency, and radiation use efficiency in field crops under drought stress: A Review. Adv. Agron. 2019, 156, 109–157. [Google Scholar]
- Shiferaw, B.; Smale, M.; Braun, H.J.; Duveiller, E.; Reynolds, M.; Muricho, G. Crops that feed the world 10. Past successes and future challenges to the role played by wheat in global food security. Food Secur. 2013, 5, 291–317. [Google Scholar] [CrossRef] [Green Version]
- Blandino, M.; Battisti, M.; Vanara, F.; Reyneri, A. The synergistic effect of nitrogen and phosphorus starter fertilization sub-surface banded at sowing on the early vigor, grain yield and quality of maize. Eur. J. Agron. 2022, 137, 126509. [Google Scholar] [CrossRef]
- Fageria, N.K.; Baligar, V.C.; Li, Y.C. The role of nutrient efficient plants in improving crop yields in the twenty first century. J. Plant Nutr. 2008, 31, 1121–1157. [Google Scholar] [CrossRef]
- Abedi, T.; Alemzadeh, A.; Kazemeini, S.A. Effect of organic and inorganic fertilizers on grain yield and protein banding pattern of wheat. Aust. J. Crop Sci. 2010, 4, 384–389. [Google Scholar]
- Khan, G.R.; Akma, M. Nitrogen application rate and timing management for improved grain quality parameters of wheat crop. Pak. J. Agric. Sci. 2021, 58, 1141–1153. [Google Scholar]
- Shi, X.; Hu, K.; Batchelor, W.D.; Liang, H.; Wu, Y.; Wang, Q.; Fu, J.; Cui, X.; Zhou, F. Exploring optimal nitrogen management strategies to mitigate nitrogen losses from paddy soil in the middle reaches of the Yangtze River. Agric. Water Manag. 2020, 228, 105877. [Google Scholar] [CrossRef]
- Liang, H.; Chen, Q.; Liang, B.; Hu, K. Modeling the effects of long-term reduced N application on soil N losses and yield in a greenhouse tomato production system. Agric. Syst. 2020, 185, 102951. [Google Scholar] [CrossRef]
- Brown, B.D.; Petrie, S. Irrigated hard winter wheat response to fall, spring, and late season applied nitrogen. Field Crops Res. 2006, 96, 260–268. [Google Scholar] [CrossRef]
- Abedi, T.; Alemzadeh, A.; Kazemeini, S.A. Wheat yield and grain protein response to nitrogen amount and timing. Aust. J. Crop Sci. 2011, 5, 330–336. [Google Scholar]
- Salim, N.; Raza, A. Nutrient use efficiency (NUE) for sustainable wheat production: A review. J. Plant Nutr. 2020, 43, 297–315. [Google Scholar] [CrossRef]
- Puga, A.P.; Queiroz, M.C.; Ligo, M.A.; Carvalho, C.S.; Pires, A.M.; Marcatto, J.D.; Andrade, C.A. Nitrogen availability and ammonia volatilization in biochar-based fertilizers. Arch. Agron. Soil Sci. 2020, 66, 992–1004. [Google Scholar] [CrossRef]
- Usman, K.; Khan, E.A.; Yazdan, F.; Khan, N.; Rashid, A.; Din, S.U. Short response of spring wheat to tillage, residue management and split nitrogen application in a rice-wheat system. J. Integr. Agric. 2014, 13, 2625–2633. [Google Scholar] [CrossRef] [Green Version]
- Belete, F.; Dechassa, N.; Molla, A.; Tana, T. Effect of nitrogen fertilizer rates on grain yield and nitrogen uptake and use efficiency of bread wheat (Triticum aestivum L.) varieties on the Vertisols of central highlands of Ethiopia. Agric. Food Secur. 2018, 7, 78. [Google Scholar] [CrossRef]
- Chaturvedi, I. Effect of nitrogen fertilizers on growth, yield and quality of hybrid rice (Oryza sativa). J. Cent. Eur. Agric. 2005, 6, 611–618. [Google Scholar]
- Da-Moraes, L.B.; Freo, J.D.; Biduski, B.; Elias, M.C.; Gutkoski, L.C. Effects of rate, time and splitting of nitrogen fertilization on the technological quality of wheat. J. Food Sci. Eng. 2013, 3, 9. [Google Scholar]
- Anderson, W.K. Closing the gap between actual and potential yield of rainfed wheat. The impacts of environment, management and cultivar. Field Crops Res. 2010, 116, 14–22. [Google Scholar] [CrossRef]
- Hoogenboom, G.; Porter, C.H.; Shelia, V.; Boote, K.J.; Singh, U.; White, J.W.; Hunt, L.A.; Ogoshi, R.; Lizaso, J.I.; Koo, J.; et al. Decision support system for agrotechnology transfer (DSSAT) version 4.7. DSSAT Found. Gainesv. Florida. USA. 2019. Available online: https://DSSAT.net (accessed on 1 January 2022).
- Kheir, A.M.S.; Alkharabsheh, H.M.; Seleiman, M.F.; Al-Saif, A.M.; Ammar, K.A.; Attia, A.; Zoghdan, M.G.; Shabana, M.M.A.; Aboelsoud, H.; Schillaci, C. Calibration and Validation of AQUACROP and APSIM Models to Optimize Wheat Yield and Water Saving in Arid Regions. Land 2021, 10, 1375. [Google Scholar] [CrossRef]
- Tsuji, G.Y.; Hoogenboom, G.; Thornton, P.K. Understanding options for agricultural production. Syst. Approaches Sustain. Agric. Dev. 1998, 7, 400, ISBN 07923-4833-8. [Google Scholar]
- Singh, A.K.; Tripathy, R.; Chopra, U.K. Evaluation of CERES-Wheat and CropSyst models for water–nitrogen interactions in wheat crop. Agric. Water Manag. 2008, 95, 776–786. [Google Scholar] [CrossRef]
- Hoogenboom, G.; Porter, C.H.; Boote, K.J.; Shelia, V.; Wilkens, P.W.; Singh, U.; White, J.W.; Asseng, S.; Lizaso, J.I.; Moreno, L.P.; et al. The DSSAT crop modeling ecosystem. In Advances in Crop Modelling for a Sustainable Agriculture; Burleigh Dodds Science Publishing: Cambridge, UK, 2019; pp. 173–216. [Google Scholar]
- Jones, J.W.; Hoogenboom, G.; Porter, C.H.; Boote, K.J.; Batchelor, W.D.; Hunt, L.A.; Wilkens, P.W.; Singh, U.; Gijsman, A.J.; Ritchie, J.T. The DSSAT cropping system model. Eur. J. Agron. 2003, 18, 235–265. [Google Scholar] [CrossRef]
- Ritchie, J.T. Soil water balance and plant water stress. In Understanding Options for Agricultural Production; Springer: Dordrecht, The Netherlands, 1998; pp. 41–54. [Google Scholar]
- Mehrabi, F.; Sepaskhah, A.R. Winter wheat yield and DSSAT model evaluation in a diverse semi-arid climate and agronomic practices. Int. J. Plant Prod. 2020, 14, 221–243. [Google Scholar] [CrossRef]
- Iglesias, A. Use of DSSAT models for climate change impact assessment: Calibration and validation of CERES-Wheat and CERES-Maize in Spain. In Climate Variability, Modelling Tools and Agricultural Decisionmaking. Proc CGE Hands-on Training Workshop on V&A Assessment of the Asia and the Pacific Region; Nova Science Publishers: New York, NY, USA, 2006; pp. 20–24. [Google Scholar]
- Pathak, H.; Li, C.; Wassmann, R.; Ladha, J.K. Simulation of nitrogen balance in rice–wheat systems of the Indo-Gangetic Plains. Soil Sci. Soc. Am. J. 2006, 70, 1612–1622. [Google Scholar] [CrossRef]
- Amjed, A.; Ahmad, A.; Syed, W.H.; Khaliq, T.; Asif, M.; Aziz, M.; Mubeen, M. Effects of nitrogen on growth and yield components of wheat. (Report). Sci. Int. Lahore 2011, 23, 331–332. [Google Scholar]
- Biswal, A.; Sahay, B.; Ramana, K.V.; Sesha, M.V. Application of DSSAT crop model for wheat crop growth simulation in some wheat growing districts of northern India. Comput. Ecol. Softw. 2017, 7, 179. [Google Scholar]
- Seleiman, M.F.; Ibrahim, M.E.; Darwish, I.H.; Hardan, A.N.M. Effect of mineral and organic fertilizers on yield and quality of some Egyptian and Omani wheat cultivars. Menoufia J. Plant Prod. 2021, 6, 351–372. [Google Scholar] [CrossRef]
- Morgounov, A.I.; Belan, I.; Zelenskiy, Y.; Roseeva, L.; Tömösközi, S.; Bekes, F.; Abugalieva, A.; Cakmak, I.; Vargas, M.; Crossa, J. Historical changes in grain yield and quality of spring wheat varieties cultivated in Siberia from 1900 to 2010. Can. J. Plant Sci. 2013, 93, 425–433. [Google Scholar] [CrossRef]
- Elhani, S.; Martos, V.; Rharrabti, Y.; Royo, C.; del Moral, L.G. Contribution of main stem and tillers to durum wheat (Triticum turgidum L. var. durum) grain yield and its components grown in Mediterranean environments. Field Crops Res. 2007, 103, 25–35. [Google Scholar] [CrossRef]
- De-Punder, K.; Pruimboom, L. The dietary intake of wheat and other cereal grains and their role in inflammation. Nutrients 2013, 5, 771–787. [Google Scholar] [CrossRef] [PubMed] [Green Version]
- Jansens, K.J.; Lagrain, B.; Rombouts, I.; Brijs, K.; Smet, M.; Delcour, J.A. Effect of temperature, time and wheat gluten moisture content on wheat gluten network formation during thermomolding. J. Cereal Sci. 2011, 54, 434–441. [Google Scholar] [CrossRef]
- Klepeckas, M.; Januškaitienė, I.; Vagusevičienė, I.; Juknys, R. Effects of different sowing time to phenology and yield of winter wheat. Agric. Food Sci. 2020, 29, 346–358. [Google Scholar] [CrossRef]
- Yang, D.; Cai, T.; Luo, Y.; Wang, Z. Optimizing plant density and nitrogen application to manipulate tiller growth and increase grain yield and nitrogen-use efficiency in winter wheat. PeerJ 2019, 7, e6484. [Google Scholar] [CrossRef]
- Chen, Y.; Peng, J.; Wang, J.; Fu, P.; Hou, Y.; Zhang, C.; Fahad, S.; Peng, S.; Cui, K.; Nie, L.; et al. Crop management based on multi-split topdressing enhances grain yield and nitrogen use efficiency in irrigated rice in China. Field Crops Res. 2015, 184, 50–57. [Google Scholar] [CrossRef]
- Araya, A.; Prasad, P.V.; Gowda, P.H.; Djanaguiraman, M.; Kassa, A.H. Potential impacts of climate change factors and agronomic adaptation strategies on wheat yields in central highlands of Ethiopia. Clim. Chang. 2020, 159, 461–479. [Google Scholar] [CrossRef]
- Kadiyala, M.D.; Jones, J.W.; Mylavarapu, R.S.; Li, Y.C.; Reddy, M.D. Identifying irrigation and nitrogen best management practices for aerobic rice–maize cropping system for semi-arid tropics using CERES-rice and maize models. Agric. Water Manag. 2015, 149, 23–32. [Google Scholar] [CrossRef] [Green Version]
- Joshi, A.G.; Gupta, J.K.; Choudhary, S.K.; Paliwal, D.K. Efficiency of different nitrogen source, doses and split application on growth and yield of maize (Zea mays L.) in the Malwa region of Madhya Pradesh. IOSR J. Agric. Vet. Sci. 2014, 7, 2319–2372. [Google Scholar] [CrossRef]
- Fageria, N.K.; Baligar, V.C. Enhancing nitrogen use efficiency in crop plants. Adv. Agron. 2005, 88, 97–185. [Google Scholar]
- Zheng, W.; Liu, Z.; Zhang, M.; Shi, Y.; Zhu, Q.; Sun, Y.; Zhou, H.; Li, C.; Yang, Y.; Geng, J. Improving crop yields, nitrogen use efficiencies, and profits by using mixtures of coated controlled-released and uncoated urea in a wheat-maize system. Field Crops Res. 2017, 205, 106–115. [Google Scholar] [CrossRef]
- Guo, Z.; Slafer, G.A.; Schnurbusch, T. Genotypic variation in spike fertility traits and ovary size as determinants of floret and grain survival rate in wheat. J. Exp. Bot. 2016, 67, 4221–4230. [Google Scholar] [CrossRef] [Green Version]
- Adeyemi, O.; Keshavarz-Afshar, R.; Jahanzad, E.; Battaglia, M.L.; Luo, Y.; Sadeghpour, A. Effect of wheat cover crop and split nitrogen application on corn yield and nitrogen use efficiency. Agronomy 2020, 10, 1081. [Google Scholar] [CrossRef]
- Malik, W.; Isla, R.; Dechmi, F. DSSAT-CERES-maize modelling to improve irrigation and nitrogen management practices under Mediterranean conditions. Agric. Water Manag. 2019, 213, 298–308. [Google Scholar] [CrossRef]
- Si, Z.; Zain, M.; Li, S.; Liu, J.; Liang, Y.; Gao, Y.; Duan, A. Optimizing nitrogen application for drip-irrigated winter wheat using the DSSAT-CERES-Wheat model. Agric. Water Manag. 2021, 244, 106592. [Google Scholar] [CrossRef]
- Garrido-Lestache, E.; López-Bellido, R.J.; López-Bellido, L. Durum wheat quality under Mediterranean conditions as affected by N rate, timing and splitting, N form and S fertilization. Eur. J. Agron. 2005, 23, 265–278. [Google Scholar] [CrossRef]
- Reynolds, M.P.; Pellegrineschi, A.; Skovmand, B. Sink-limitation to yield and biomass: A summary of some investigations in spring wheat. Ann. Appl. Biol. 2005, 146, 39–49. [Google Scholar] [CrossRef]
- Gelang, J.; Selldén, G.; Younis, S.; Pleijel, H. Effects of ozone on biomass, non-structural carbohydrates and nitrogen in spring wheat with artificially manipulated source/sink ratio. Environ. Exp. Bot. 2001, 46, 155–169. [Google Scholar] [CrossRef]
- Röll, G.; Memic, E.; Graeff-Hönninger, S. Implementation of an automatic time-series calibration method for the DSSAT wheat models to enhance multi-model approaches. Agron. J. 2020, 112, 3891–3912. [Google Scholar] [CrossRef]
- Liu, H.L.; Yang, J.Y.; Tan, C.S.; Drury, C.F.; Reynolds, W.D.; Zhang, T.Q.; Bai, Y.L.; Jin, J.; He, P.; Hoogenboom, G. Simulating water content, crop yield and nitrate-N loss under free and controlled tile drainage with subsurface irrigation using the DSSAT model. Agric. Water Manag. 2011, 98, 1105–1111. [Google Scholar] [CrossRef]
- Bruulsema, T.W.; Heffer, P.; Welch, R.M.; Cakmak, I.; Moran, K. Fertilizing crops to improve human health: A scientific review. Better Crops 2012, 2, 96. [Google Scholar]
- Ashraf, U.; Salim, M.N.; Alam, S.H.; Aqil, K.H.; Shenggang, P.A.; Xiangru, T.A. Maize growth, yield formation and water-nitrogen usage in response to varied irrigation and nitrogen supply under semi-arid climate. Turk. J. Field Crops 2016, 21, 88–96. [Google Scholar] [CrossRef]
- Hao, B.; Xue, Q.; Bean, B.W.; Rooney, W.L.; Becker, J.D. Biomass production, water and nitrogen use efficiency in photoperiod-sensitive sorghum in the Texas High Plains. Biomass Bioenergy 2014, 62, 108–116. [Google Scholar] [CrossRef]
- Shen, H.; Xu, F.; Zhao, R.; Xing, X.; Ma, X. Optimization of Sowing Date, Irrigation, and Nitrogen Management of Summer Maize Using the DSSAT-CERES-Maize Model in the Guanzhong Plain, China. Trans. ASABE 2020, 63, 789–797. [Google Scholar] [CrossRef]
- Gameh, M.A.; Ahmed, E.M.; Dardiry, M.R.; Elmahdy, A.M. Evaluating DSSAT program for simulating wheat yield production with different irrigation and nitrogen applications under Upper Egypt conditions. Arch. Agric. Sci. J. 2020, 3, 255–272. [Google Scholar] [CrossRef]
- Seleiman, M.F. Use of Plant Nutrients in Improving Abiotic Stress Tolerance in Wheat. In Wheat Production in Changing Environments; Springer: Singapore, 2019; pp. 481–495. [Google Scholar] [CrossRef]
- Duan, J.; Shao, Y.; He, L.; Li, X.; Hou, G.; Li, S.; Feng, W.; Zhu, Y.; Wang, Y.; Xie, Y. Optimizing nitrogen management to achieve high yield, high nitrogen efficiency and low nitrogen emission in winter wheat. Sci. Total Environ. 2019, 697, 134088. [Google Scholar] [CrossRef] [PubMed]
- Abdullah; Faraj, B. Evaluation of Nitrogen Use Efficiency (NUE) in Wheat. Ph.D. Thesis, University of Adelaide, School of Agriculture, Food and Wine, Adelaide, Australia, 2013. [Google Scholar]
- Wang, Q.; Li, F.; Zhao, L.; Zhang, E.; Shi, S.; Zhao, W.; Song, W.; Vance, M.M. Effects of irrigation and nitrogen application rates on nitrate nitrogen distribution and fertilizer nitrogen loss, wheat yield and nitrogen uptake on a recently reclaimed sandy farmland. Plant Soil 2010, 337, 325–339. [Google Scholar] [CrossRef]
- Attia, A.; Rajan, N.; Xue, Q.; Nair, S.; Ibrahim, A.; Hays, D. Application of DSSAT-CERES-Wheat model to simulate winter wheat response to irrigation management in the Texas High Plains. Agric. Water Manag. 2016, 165, 50–60. [Google Scholar] [CrossRef]
- Khadka, D.; Babel, M.S.; Abatan, A.A.; Collins, M. An evaluation of CMIP5 and CMIP6 climate models in simulating summer rainfall in the Southeast Asian monsoon domain. Int. J. Climatol. 2022, 42, 1181–1202. [Google Scholar] [CrossRef]
- Zhang, D.; Wang, H.; Li, D.; Li, H.; Ju, H.; Li, R.; Batchelor, W.D.; Li, Y. DSSAT-CERES-Wheat model to optimize plant density and nitrogen best management practices. Nutr. Cycl. Agroecosystems 2019, 114, 19–32. [Google Scholar] [CrossRef]
- Chang, X.; DeFries, R.S.; Liu, L.; Davis, K. Understanding dietary and staple food transitions in China from multiple scales. PLoS ONE 2018, 13, e0195775. [Google Scholar] [CrossRef] [PubMed] [Green Version]
- Zörb, C.; Ludewig, U.; Hawkesford, M.J. Perspective on wheat yield and quality with reduced nitrogen supply. Trends Plant Sci. 2018, 23, 1029–1037. [Google Scholar] [CrossRef] [PubMed] [Green Version]







| Soil Depth (cm) | Lower Limit (cm3/cm3) | Drain Upper Limit (cm3/cm3) | Bulk Density g/cm3 | Organic Carbon % | Clay % | Silt % | Sand% | Total N % | Soil pH |
|---|---|---|---|---|---|---|---|---|---|
| 0–15 | 0.054 | 0.187 | 1.32 | 0.63 | 6.4 | 66.0 | 27.0 | 0.06 | 6.9 |
| 15–30 | 0.04 | 0.173 | 1.38 | 0.62 | 2.8 | 68.4 | 27.8 | 0.06 | 7.0 |
| 30–45 | 0.034 | 0.127 | 1.48 | 0.58 | 3.2 | 53.6 | 38.6 | 0.05 | 7.1 |
| 45–60 | 0.025 | 0.103 | 1.51 | 0.54 | 2.8 | 52.6 | 46.1 | 0.05 | 7.1 |
| 60–75 | 0.043 | 0.131 | 1.54 | 0.47 | 8.5 | 56.7 | 45.5 | 0.04 | 7.3 |
| 75–90 | 0.038 | 0.146 | 1.59 | 0.45 | 4.6 | 62.4 | 35.8 | 0.04 | 6.9 |
| 90–110 | 0.039 | 0.150 | 1.65 | 0.44 | 4.4 | 60.3 | 32.4 | 0.04 | 7.1 |
| 110–125 | 0.035 | 0.127 | 1.74 | 0.38 | 4.8 | 56.7 | 41.5 | 0.03 | 7.0 |
| GC | Definition | Calibrated Values | ||
|---|---|---|---|---|
| Pak-2015 | DN-84 | Pir-2015 | ||
| P1V | Days, optimum vernalizing temperature | 16.3 | 29.0 | 17.60 |
| P1D | Photoperiod response (% reduction in rate/10 h drop in pp) | 68.3 | 55.0 | 72.00 |
| P5 | Grain filling phase duration (°C day) | 771 | 672 | 775.9 |
| G1 | Kernel number per unit canopy weight at anthesis (#/g) | 18.1 | 16.4 | 15.62 |
| G2 | Standard kernel size under optimum condition (mg) | 39.2 | 39.3 | 39.8 |
| G3 | Standard non-stressed mature tiller weight (g dwt) | 1.95 | 1.89 | 2.00 |
| PHINT | Interval between successive leaf tip appearances (°C-d) | 100 | 100 | 100 |
| Varieties | Variable Name | 2-Year Mean | R-Square | RMSE | D-Stat | |
|---|---|---|---|---|---|---|
| Observed | Simulated | |||||
| Pakhtunkhwa-2015 | Biomass (kg ha−1) | 10,127 | 10,507 | 0.996 | 419.319 | 0.99 |
| Number of grains (m−2) | 8603 | 8994 | 0.984 | 437.2 | 0.976 | |
| Grain N (% | 1.9 | 1.9 | 0.953 | 0.106 | 0.945 | |
| Grain yield (kg ha−1) | 3311 | 3526 | 0.983 | 231.819 | 0.963 | |
| Single grain weight (mg) | 0.039 | 0.039 | 0.001 | 0.441 | ||
| Number of tiller m−2 | 350 | 358 | 0.949 | 12.549 | 0.976 | |
| DN-84 | Biomass (kg ha−1) | 9422 | 9651 | 0.992 | 300.287 | 0.994 |
| Number of grains (m−2) | 7820 | 8056 | 0.994 | 266.076 | 0.989 | |
| Grain N (%) | 2.0 | 1.9 | 0.971 | 0.076 | 0.98 | |
| Grain yield (kg ha−1) | 3060 | 3166 | 0.982 | 126.483 | 0.985 | |
| Single grain weight (mg) | 0.039 | 0.039 | 0.001 | 0.469 | ||
| Number of tillers m−2 | 326 | 325 | 0.981 | 5.374 | 0.995 | |
| Pirsabak-2015 | Biomass (kg ha−1) | 10,465 | 10,910 | 0.985 | 553.214 | 0.983 |
| Number of grains (m−2) | 8022 | 8245 | 0.993 | 258.788 | 0.992 | |
| Grain N (%) | 2.0 | 1.9 | 0.941 | 0.076 | 0.961 | |
| Grain yield (kg ha−1) | 3147 | 3281 | 0.979 | 160.332 | 0.98 | |
| Single grain weight (mg) | 0.04 | 0.04 | 0.001 | 0.383 | ||
| Number of tillers m−2 | 370 | 382 | 0.978 | 15.051 | 0.979 | |
Publisher’s Note: MDPI stays neutral with regard to jurisdictional claims in published maps and institutional affiliations. |
© 2022 by the authors. Licensee MDPI, Basel, Switzerland. This article is an open access article distributed under the terms and conditions of the Creative Commons Attribution (CC BY) license (https://creativecommons.org/licenses/by/4.0/).
Share and Cite
Khan, G.R.; Alkharabsheh, H.M.; Akmal, M.; AL-Huqail, A.A.; Ali, N.; Alhammad, B.A.; Anjum, M.M.; Goher, R.; Wahid, F.; Seleiman, M.F.; et al. Split Nitrogen Application Rates for Wheat (Triticum aestivum L.) Yield and Grain N Using the CSM-CERES-Wheat Model. Agronomy 2022, 12, 1766. https://doi.org/10.3390/agronomy12081766
Khan GR, Alkharabsheh HM, Akmal M, AL-Huqail AA, Ali N, Alhammad BA, Anjum MM, Goher R, Wahid F, Seleiman MF, et al. Split Nitrogen Application Rates for Wheat (Triticum aestivum L.) Yield and Grain N Using the CSM-CERES-Wheat Model. Agronomy. 2022; 12(8):1766. https://doi.org/10.3390/agronomy12081766
Chicago/Turabian StyleKhan, Gul Roz, Hiba M. Alkharabsheh, Mohammad Akmal, Arwa Abdulkreem AL-Huqail, Nawab Ali, Bushra A. Alhammad, Muhammad Mehran Anjum, Rabia Goher, Fazli Wahid, Mahmoud F. Seleiman, and et al. 2022. "Split Nitrogen Application Rates for Wheat (Triticum aestivum L.) Yield and Grain N Using the CSM-CERES-Wheat Model" Agronomy 12, no. 8: 1766. https://doi.org/10.3390/agronomy12081766
APA StyleKhan, G. R., Alkharabsheh, H. M., Akmal, M., AL-Huqail, A. A., Ali, N., Alhammad, B. A., Anjum, M. M., Goher, R., Wahid, F., Seleiman, M. F., & Hoogenboom, G. (2022). Split Nitrogen Application Rates for Wheat (Triticum aestivum L.) Yield and Grain N Using the CSM-CERES-Wheat Model. Agronomy, 12(8), 1766. https://doi.org/10.3390/agronomy12081766

