Impact of Different Barley-Based Cropping Systems on Soil Physicochemical Properties and Barley Growth under Conventional and Conservation Tillage Systems
Abstract
1. Introduction
2. Materials and Methods
2.1. Experimental Site
2.2. Experimental Details
2.3. Crop Husbandry
2.4. Soil Physical Properties
2.5. Soil Chemical Properties
2.6. Allometric Traits of Barley
2.7. Barley Biomass Yield
2.8. Statistical Analysis
3. Results
3.1. Soil Physical Properties
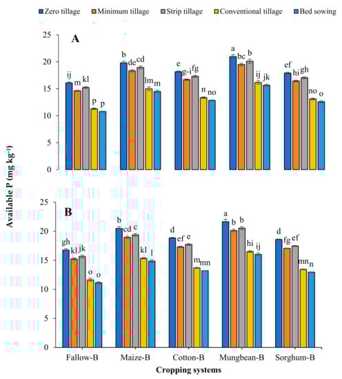
3.2. Soil Chemical Properties
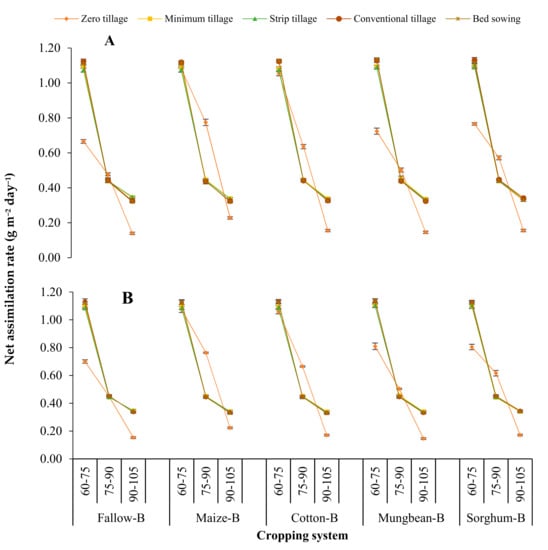
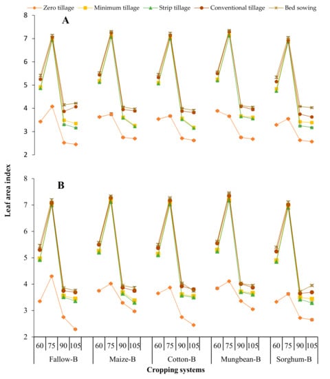
3.3. Crop Allometry
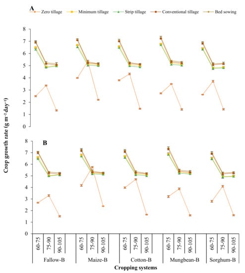
3.4. Biomass Yield
4. Discussion
5. Conclusions
Author Contributions
Funding
Acknowledgments
Conflicts of Interest
References
- Elferink, M.; Schierhorn, F. Global Demand for Food Is Rising. Can We Meet It? Harvard Business Review, 7 April 2016. [Google Scholar]
- Food and Agriculture Organization of the United Nations (FAO); IFAD; UNICEF; WFP; WHO. The State of Food Security and Nutrition in the World; FAO: Rome, Italy, 2017. [Google Scholar]
- Awika, J.M. Major cereal grains production and use around the world. In ACS Symposium Series; American Chemical Society: Washington, DC, USA, 2011; pp. 1–13. ISBN 9780841226364. [Google Scholar]
- Ikram ul Haq, M.; Maqbool, M.M.; Ali, A.; Farooq, S.; Khan, S.; Saddiq, M.S.; Khan, K.A.; Ali, S.; Ifnan Khan, M.; Hussain, A.; et al. Optimizing planting geometry for barley-Egyptian clover intercropping system in semi-arid sub-tropical climate. PLoS ONE 2020, 15, e0233171. [Google Scholar] [CrossRef] [PubMed]
- Cammarano, D.; Hawes, C.; Squire, G.; Holland, J.; Rivington, M.; Murgia, T.; Roggero, P.P.; Fontana, F.; Casa, R.; Ronga, D. Rainfall and temperature impacts on barley (Hordeum vulgare L.) yield and malting quality in Scotland. Field Crop. Res. 2019, 241, 107559. [Google Scholar] [CrossRef]
- Khan, M.; Anderson, D.; Nutkani, M.; Butt, N. Preliminary results from reseeding degraded Dera Ghazi Khan rangeland to improve small ruminant production in Pakistan. Small Rumin. Res. 1999, 32, 43–49. [Google Scholar] [CrossRef]
- Alam, M.K.; Islam, M.M.; Salahin, N.; Hasanuzzaman, M. Effect of tillage practices on soil properties and crop productivity in wheat-mungbean-rice cropping system under subtropical climatic conditions. Sci. World J. 2014, 2014, 1–15. [Google Scholar] [CrossRef]
- Khurshid, K.; Iqbal, M.; Arif, M.S.; Nawaz, A. Effect of tillage and mulch on soil physical properties and growth of maize. Int. J. Agric. Biol. 2006, 8, 593–596. [Google Scholar]
- Lal, R.; Stewart, B.A. Principles of Sustainable Soil Management in Agroecosystems; CRC Press: Boca Raton, FL, USA, 2013. [Google Scholar]
- Derpsch, R.; Friedrich, T.; Kassam, A.; Hongwen, L. Current status of adoption of no-till farming in the world and some of its main benefits. Int. J. Agric. Biol. Eng. 2010, 3. [Google Scholar] [CrossRef]
- Wolfarth, F.; Schrader, S.; Oldenburg, E.; Weinert, J.; Brunotte, J. Earthworms promote the reduction of Fusarium biomass and deoxynivalenol content in wheat straw under field conditions. Soil Biol. Biochem. 2011, 43, 1858–1865. [Google Scholar] [CrossRef]
- Gomiero, T. Soil degradation, land scarcity and food security: Reviewing a complex challenge. Sustainability 2016, 8, 281. [Google Scholar] [CrossRef]
- Ramos, M.E.; Robles, A.B.; Sánchez-Navarro, A.; González-Rebollar, J.L. Soil responses to different management practices in rainfed orchards in semiarid environments. Soil Tillage Res. 2011, 112, 85–91. [Google Scholar] [CrossRef]
- Çelik, İ.; Günal, H.; Acar, M.; Acir, N.; Bereket Barut, Z.; Budak, M. Evaluating the long-term effects of tillage systems on soil structural quality using visual assessment and classical methods. Soil Use Manag. 2020, 36, 223–239. [Google Scholar] [CrossRef]
- Malobane, M.E.; Nciizah, A.D.; Mudau, F.N.; Wakindiki, I.I.C. Tillage, crop rotation and crop residue management effects on nutrient availability in a sweet sorghum-based cropping system in marginal soils of South Africa. Agronomy 2020, 10, 776. [Google Scholar] [CrossRef]
- Jaskulska, I.; Romaneckas, K.; Jaskulski, D.; Gałęzewski, L.; Breza-Boruta, B.; Dębska, B.; Lemanowicz, J. Soil properties after eight years of the use of strip-till one-pass technology. Agronomy 2020, 10, 1596. [Google Scholar] [CrossRef]
- Blanco-Canqui, H.; Ruis, S.J. No-tillage and soil physical environment. Geoderma 2018, 326, 164–200. [Google Scholar] [CrossRef]
- Srinivasarao, C.; Kundu, S.; Lakshmi, C.S.; Rani, Y.S.; Nataraj, K.C.; Gangaiah, B.; Laxmi, M.J.; Babu, M.V.S.; Rani, U.; Nagalakshmi, S. Soil health issues for sustainability of south Asian agriculture. EC Agric. 2019, 5, 310–326. [Google Scholar]
- Sims, B.; Corsi, S.; Gbehounou, G.; Kienzle, J.; Taguchi, M.; Friedrich, T. Sustainable weed management for conservation agriculture: Options for smallholder farmers. Agriculture 2018, 8, 118. [Google Scholar] [CrossRef]
- Somasundaram, J.; Sinha, N.K.; Dalal, R.C.; Lal, R.; Mohanty, M.; Naorem, A.K.; Hati, K.M.; Chaudhary, R.S.; Biswas, A.K.; Patra, A.K.; et al. No-till farming and conservation agriculture in South Asia—Issues, challenges, prospects and benefits. CRC Crit. Rev. Plant. Sci. 2020, 39, 236–279. [Google Scholar] [CrossRef]
- Jat, R.K.; Sapkota, T.B.; Singh, R.G.; Jat, M.L.; Kumar, M.; Gupta, R.K. Seven years of conservation agriculture in a rice-wheat rotation of Eastern Gangetic Plains of South Asia: Yield trends and economic profitability. Field Crop. Res. 2014, 164, 199–210. [Google Scholar] [CrossRef]
- Jat, R.K.; Singh, R.G.; Kumar, M.; Jat, M.L.; Parihar, C.M.; Bijarniya, D.; Sutaliya, J.M.; Jat, M.K.; Parihar, M.D.; Kakraliya, S.K.; et al. Ten years of conservation agriculture in a rice–maize rotation of Eastern Gangetic Plains of India: Yield trends, water productivity and economic profitability. Field Crop. Res. 2019, 232, 1–10. [Google Scholar] [CrossRef]
- Bhattacharyya, R.; Das, T.K.; Das, S.; Dey, A.; Patra, A.K.; Agnihotri, R.; Ghosh, A.; Sharma, A.R. Four years of conservation agriculture affects topsoil aggregate-associated 15nitrogen but not the 15nitrogen use efficiency by wheat in a semi-arid climate. Geoderma 2019, 337, 333–340. [Google Scholar] [CrossRef]
- Somasundaram, J.; Chaudhary, R.S.; Awanish Kumar, D.; Biswas, A.K.; Sinha, N.K.; Mohanty, M.; Hati, K.M.; Jha, P.; Sankar, M.; Patra, A.K.; et al. Effect of contrasting tillage and cropping systems on soil aggregation, carbon pools and aggregate-associated carbon in rainfed Vertisols. Eur. J. Soil Sci. 2018, 69, 879–891. [Google Scholar] [CrossRef]
- Neugschwandtner, R.W.; Liebhard, P.; Kaul, H.P.; Wagentristl, H. Soil chemical properties as affected by tillage and crop rotation in a long-term field experiment. Plant. Soil Environ. 2014, 60, 57–62. [Google Scholar] [CrossRef]
- Celik, I. Land-use effects on organic matter and physical properties of soil in a southern Mediterranean highland of Turkey. Soil Tillage Res. 2005, 83, 270–277. [Google Scholar] [CrossRef]
- Ranamukhaarachchi, S.L.; Begum, M.M.R.S.N. Soil fertility and land productivity under different cropping systems in highlands and medium highlands of Chandina Sub-district, Bangladesh. Asia. Pac. J. Rural Dev. 2005, 15, 63–76. [Google Scholar] [CrossRef]
- Bhushan, L.; Sharma, P.K. Long-term effects of lantana residue additions on water retention and transmission properties of a medium-textured soil under rice-wheat cropping in northwest India. Soil Use Manag. 2006, 21, 32–37. [Google Scholar] [CrossRef]
- Hamza, M.A.; Anderson, W.K. Soil compaction in cropping systems. Soil Tillage Res. 2005, 82, 121–145. [Google Scholar] [CrossRef]
- Swędrzyńska, D.; Małecka-Jankowiak, I. The impact of tillaging spring barley on selected chemical, microbiological, and enzymatic soil properties. Pol. J. Environ. Stud. 2017, 26, 303–313. [Google Scholar] [CrossRef]
- López, F.J.; Pastrana, P.; Casquero, P.A. Soil physical properties and crop response in direct seeding of spring barley as affected by wheat straw level. J. Soil Water Conserv. 2019, 74, 51–58. [Google Scholar] [CrossRef]
- Blake, G.R.; Hartge, K.H. Bulk density. In Methods of Soil Analysis: Part. 1 Physical and Mineralogical Methods, 2nd ed.; American Society of Agronomy: Madison, WI, USA, 1986; Volume 5, pp. 363–375. [Google Scholar]
- Danielson, R.E.; Sutherland, P.L. Porosity. In Methods of Soil Analysis: Part. 1 Physical and Mineralogical Methods, 2nd ed.; American Society of Agronomy: Madison, WI, USA, 1986; Volume 5, pp. 443–461. [Google Scholar]
- Soltanpour, P.N.; Schwab, A.P. A new soil test for simultaneous extraction of macro- and micro-nutrients in alkaline soils. Commun. Soil Sci. Plant. Anal. 1977, 8, 195–207. [Google Scholar] [CrossRef]
- Soltanpour, P.N.; Workman, S. Modification of the NH4HCO3-DTPA soil test to omit carbon black1. Commun. Soil Sci. Plant. Anal. 1979, 10, 1411–1420. [Google Scholar] [CrossRef]
- Watson, D.J. Comparative physiological studies on the growth of field crops: I. Variation in net assimilation rate and leaf area between species and varieties, and within and between years. Ann. Bot. 1947, 11, 41–76. [Google Scholar] [CrossRef]
- Garnier, E.; Shipley, B.; Roumet, C.; Laurent, G. A standardized protocol for the determination of specific leaf area and leaf dry matter content. Funct. Ecol. 2001, 15, 688–695. [Google Scholar] [CrossRef]
- Hunt, R. Plant Growth Analysis; Institute of Terrestrial Ecology: Brighton, UK, 1982; Volume 4, ISBN 090428266X. [Google Scholar]
- Steel, R.; Torrei, J.; Dickey, D. Principles and Procedures of Statistics: A Biometrical Approach; McGraw Hill: New York, NY, USA, 1997. [Google Scholar]
- Rai, V.; Pramanik, P.; Aggarwal, P.; Krishnan, P.; Bhattacharyya, R. Effect of conservation agriculture on soil physical health. Int. J. Curr. Microbiol. Appl. Sci. 2018, 7, 373–389. [Google Scholar] [CrossRef]
- Lal, R.; Reicosky, D.C.; Hanson, J.D. Evolution of the plow over 10,000 years and the rationale for no-till farming. Soil Tillage Res. 2007, 93, 1–12. [Google Scholar] [CrossRef]
- Aggarwal, P.; Goswami, B. Bed planting system for increasing water-use efficiency of wheat (Triticum aestivum) grown on Inceptisol (Typic Ustochrept). Indian J. Agric. Sci. 2003, 73, 422–425. [Google Scholar]
- Aggarwal, P.; Choudhary, K.K.; Singh, A.K.; Chakraborty, D. Variation in soil strength and rooting characteristics of wheat in relation to soil management. Geoderma 2006, 136, 353–363. [Google Scholar] [CrossRef]
- Khan, M.B.; Rafiq, R.; Hussain, M.; Farooq, M.; Jabran, K. Ridge sowing improves root system, phosphorus uptake, growth and yield of Maize (Zea Mays L.) Hybrids. J. Anim. Plant. Sci. 2012, 22, 309–317. [Google Scholar]
- Lee, H.; Lautenbach, S.; Nieto, A.P.G.; Bondeau, A.; Cramer, W.; Geijzendorffer, I.R. The impact of conservation farming practices on Mediterranean agro-ecosystem services provisioning—A meta-analysis. Reg. Environ. Chang. 2019, 19, 2187–2202. [Google Scholar] [CrossRef]
- López-Garrido, R.; Madejón, E.; Moreno, F.; Murillo, J.M. Conservation tillage influence on carbon dynamics under Mediterranean conditions. Pedosphere 2014, 24, 65–75. [Google Scholar] [CrossRef]
- Kassam, A.; Friedrich, T.; Derpsch, R.; Lahmar, R.; Mrabet, R.; Basch, G.; Serraj, R. Conservation agriculture in the dry Mediterranean climate. Field Crops Res. 2012, 132, 7–17. [Google Scholar] [CrossRef]
- Fustec, J.; Lesuffleur, F.; Mahieu, S.; Cliquet, J.B. Nitrogen rhizodeposition of legumes. A review. Agron. Sustain. Develop. 2010, 30, 57–66. [Google Scholar] [CrossRef]
- Indoria, A.K.; Srinivasa Rao, C.; Sharma, K.L.; Sammi Reddy, K. Conservation agriculture—A panacea to improve soil physical health. Curr. Sci. 2017, 112, 52–61. [Google Scholar] [CrossRef]
- Shahzad, M.; Farooq, M.; Jabran, K.; Yasir, T.A.; Hussain, M. Influence of various tillage practices on soil physical properties and wheat performance in different wheat-based cropping systems. Int. J. Agric. Biol. 2016, 18, 821–829. [Google Scholar] [CrossRef]
- Lu, M.; Yang, Y.; Luo, Y.; Fang, C.; Zhou, X.; Chen, J.; Li, B. Responses of ecosystem nitrogen cycle to nitrogen addition: A meta-analysis. New Phytol 2011, 189, 1040–1050. [Google Scholar] [CrossRef] [PubMed]
- Fierer, N.; Strickland, M.S.; Liptzin, D.; Bradford, M.A.; Cleveland, C.C. Global patterns in belowground communities. Ecol. Lett. 2009, 12, 1238–1249. [Google Scholar] [CrossRef] [PubMed]
- Muhammad, I.; Khan, F.U.; Khan, A.; Wang, J. Soil fertility in response to urea and farmyard manure incorporation under different tillage systems in Peshawar, Pakistan. Int. J. Agric. Biol. 2018, 20, 1539–1547. [Google Scholar] [CrossRef]
- Venkatesh, M.S.; Hazra, K.K.; Ghosh, P.K.; Khuswah, B.L.; Ganeshamurthy, A.N.; Ali, M.; Singh, J.; Mathur, R.S. Long-term effect of crop rotation and nutrient management on soil-plant nutrient cycling and nutrient budgeting in Indo-Gangetic plains of India. Arch. Agron. Soil Sci. 2017, 63, 2007–2022. [Google Scholar] [CrossRef]
- Aref, S.; Wander, M.M. Long-term trends of corn yield and soil organic matter in different crop sequences and soil fertility treatments on the morrow plots. Adv. Agron. 1997, 62, 153–197. [Google Scholar] [CrossRef]
- Alam, M.K. Effect of Tillage Depths and Cropping Patterns on Soil Properties and Crop Productivity. Ph.D. Thesis, Bangabandhu Sheikh Mujibur Rahman Agricultural University, Gazipur, Bangladesh, 2010. [Google Scholar]
- Hamza, M.A.; Al-Adawi, S.S.; Al-Hinai, K.A. Effect of combined soil water and external load on soil compaction. Soil Res. 2011, 49, 135–142. [Google Scholar] [CrossRef]
- Mosaddeghi, M.R.; Mahboubi, A.A.; Safadoust, A. Short-term effects of tillage and manure on some soil physical properties and maize root growth in a sandy loam soil in western Iran. Soil Tillage Res. 2009, 104, 173–179. [Google Scholar] [CrossRef]
- Daniells, I.G. Hardsetting soils: A review. Soil Res. 2012, 50, 349–359. [Google Scholar] [CrossRef]
- Shahzad, M.; Farooq, M.; Jabran, K.; Hussain, M. Impact of different crop rotations and tillage systems on weed infestation and productivity of bread wheat. Crop. Prot. 2016, 89, 161–169. [Google Scholar] [CrossRef]
- Alam, M.; Salahin, N. Changes in soil physical properties and crop productivity as influenced by different tillage depths and cropping patterns. Bangladesh J. Agric. Res. 2013, 38, 289–299. [Google Scholar] [CrossRef]
- Bakht, J.; Shaf, M.; Rehman, H.; Uddin, R.; Anwar, S. Effect of planting methods on growth, phenology and yield of maize varieties. Pak. J. Bot. 2011, 43, 1629–1633. [Google Scholar]
- Shahzad, M.; Farooq, M.; Hussain, M. Weed spectrum in different wheat-based cropping systems under conservation and conventional tillage practices in Punjab, Pakistan. Soil Tillage Res. 2016, 163, 71–79. [Google Scholar] [CrossRef]
- Asad, M.; Ali, S.; Ansar, M.R.; Ahmad, I.; Suhaib, M.; Abuzar, M.K. Weed and wheat dynamics preceding different herbicides. Pak. J. Agric. Res. 2017, 30, 346–355. [Google Scholar] [CrossRef]
- Jensen, E.S.; Peoples, M.B.; Boddey, R.M.; Gresshoff, P.M.; Hauggaard-Nielsen, H.; Bruno, J.R.A.; Morrison, M.J. Legumes for mitigation of climate change and the provision of feedstock for biofuels and biorefineries. A review. Agron. Sustain. Dev. 2012, 32, 329–364. [Google Scholar] [CrossRef]
- Lemke, R.L.; Zhong, Z.; Campbell, C.A.; Zentner, R. Can Pulse crops play a role in mitigating greenhouse gases from North American agriculture? Agron. J. 2007, 99, 1719–1725. [Google Scholar] [CrossRef]
- Ahmad, W.; Khan, F.; Naeem, M. Impact of cropping patterns and fertilizer treatments on the organic fertility of slightly eroded pirsabak soil series in NWFP, Pakistan. Soil Environ. 2010, 29, 53–60. [Google Scholar]








| Months | 2017–2018 | 2018–2019 | ||||||
|---|---|---|---|---|---|---|---|---|
| Mean Temperature (°C) | Mean Relative Humidity (%) | Mean Daily Sunshine (h) | Total MonthlyRainfall (mm) | Mean Temperature (°C) | Mean Relative Humidity (%) | Mean Daily Sunshine (h) | Total MonthlyRainfall (mm) | |
| May | 34.0 | 63.0 | 4.8 | 0.1 | 32.9 | 52.6 | 10.3 | 0.0 |
| June | 33.1 | 74.9 | 4.5 | 45.6 | 34.6 | 64.7 | 3.5 | 0.0 |
| July | 33.6 | 73.0 | 7.2 | 4.9 | 33.2 | 71.2 | 5.5 | 0.0 |
| August | 31.8 | 85.2 | 7.7 | 30.0 | 32.4 | 75.1 | 4.3 | 0.0 |
| September | 30.6 | 77.1 | 8.0 | 10.0 | 29.8 | 77.1 | 6.8 | 0.0 |
| October | 27.0 | 77.6 | 7.4 | 4.2 | 23.0 | 75.1 | 5.5 | 0.0 |
| November | 18.0 | 81.4 | 3.7 | 16.0 | 18.9 | 82.2 | 4.4 | 0.0 |
| December | 14.6 | 75.0 | 5.2 | 16.0 | 14.2 | 85.0 | 5.9 | 0.0 |
| January | 13.6 | 83.1 | 4.4 | 0.0 | 12.2 | 86.3 | 4.3 | 11.0 |
| February | 17.5 | 75.4 | 4.9 | 6.8 | 14.4 | 80.6 | 6.7 | 25.1 |
| March | 23.5 | 70.9 | 7.2 | 0.0 | 19.5 | 75.9 | 7.3 | 21.0 |
| April | 29.4 | 56.7 | 5.4 | 3.0 | 28.6 | 73.1 | 7.7 | 12.7 |
| Crops | Sowing Time | Cultivars | Seed Rate (kg ha−1) | PP | Fertilizer NPK (kg ha−1) | Plant Spacing (cm) | Row Spacing (cm) |
|---|---|---|---|---|---|---|---|
| Summer Seasons (2017 and 2018) | |||||||
| Cotton | 15th May | IUB-2013 | 25 | 6 | 250-200-0 | 20 | 75 |
| Sorghum | 10th June | YS-16 | 10 | 11 | 100-60-0 | 15 | 60 |
| Mungbean | 15th June | NIAB-Mung 2011 | 20 | 33 | 20-60-0 | 10 | 30 |
| Maize | 25th July | YH-1898 | 25 | 6 | 200-150-0 | 22 | 75 |
| Winter Seasons (2017–2018 and 2018–2019) | |||||||
| Barley | 10th Nov | Haider-93 | 80 | 400 | 50-25-0 | 25 | |
| Cropping Systems | 2017–2018 | 2018–2019 | ||||||||
|---|---|---|---|---|---|---|---|---|---|---|
| ZT | MT | ST | CT | BS | ZT | MT | ST | CT | BS | |
| Soil bulk density (g cm−3) | ||||||||||
| Fallow-B | 1.52 a | 1.48 c–e | 1.49 b–d | 1.46 fg | 1.45 gh | 1.53 a | 1.48 de | 1.48 de | 1.46 fg | 1.45 gh |
| Maize-B | 1.50 b | 1.49 bc | 1.50 b | 1.48 de | 1.46 fg | 1.50 bc | 1.50 bc | 1.51 b | 1.49 cd | 1.47 ef |
| Cotton-B | 1.48 de | 1.47 ef | 1.48 de | 1.45 gh | 1.44 h | 1.48 de | 1.48 de | 1.46 fg | 1.45 gh | 1.45 gh |
| Mungbean-B | 1.48 de | 1.46 fg | 1.48 de | 1.44 h | 1.44 h | 1.48 c–e | 1.47 ef | 1.47 ef | 1.45 gh | 1.44 h |
| Sorghum-B | 1.50 b | 1.48 de | 1.49 b–d | 1.46 fg | 1.44 h | 1.49 b–d | 1.48 de | 1.50 bc | 1.47 ef | 1.46 fg |
| LSD value (p < 0.05) | 0.01 | 0.01 | ||||||||
| Soil porosity (%) | ||||||||||
| Fallow-B | 40.5 n | 43.7 fg | 43.8 e–g | 45.1 b–d | 46.0 ab | 40.4 kl | 42.3 gh | 42.6 g | 44.2 f | 46.3 ab |
| Maize-B | 41.0 mn | 41.7 k–m | 41.9 kl | 43.4 g | 44.9 cd | 40.4 kl | 41.3 i–k | 40.0 l | 44.6 ef | 44.8 c–f |
| Cotton-B | 41.3 l–n | 42.3 i–k | 43.1 g–i | 44.6 de | 46.3 a | 41.8 g–j | 42.6 g | 43.8 f | 45.9 a–c | 46.8 a |
| Mungbean-B | 41.3 l–n | 42.4 h–k | 43.0 g–j | 44.5 d–f | 45.8 a–c | 41.4 g–j | 42.6 g | 42.1 g–i | 44.8 d–f | 45.8 b–d |
| Sorghum-B | 40.9 mn | 42.1 j–l | 42.1 kl | 43.3 gh | 43.5 g | 41.0 j–l | 42.4 gh | 42.1 g–j | 45.2 b–e | 46.2 ab |
| LSD value (p < 0.05) | 0.84 | 0.98 | ||||||||
| Cropping Systems | 2017–2018 | 2018–2019 | ||||||||
|---|---|---|---|---|---|---|---|---|---|---|
| ZT | MT | ST | CT | BS | ZT | MT | ST | CT | BS | |
| Fallow-B | 222.8 r | 254.0 kl | 240.9 op | 275.8 g | 297.4 d | 231.5 r | 253.0 o | 264.9 m | 281.3 h | 312.3 e |
| Maize-B | 244.7 no | 262.2 hi | 249.2 mn | 285.1 ef | 310.8 b | 246.7 p | 266.2 lm | 273.7 ij | 290.3 g | 326.6 c |
| Cotton-B | 236.8 pq | 259.6 ij | 250.2 lm | 284.3 ef | 307.3 bc | 255.8 o | 268.7 kl | 267.6 lm | 287.5 g | 317.8 d |
| Mungbean-B | 226.3 r | 264.7 h | 259.1 ij | 288.1 e | 325.3 a | 238.8 q | 275.9 i | 275.7 i | 294.5 f | 336.0 a |
| Sorghum-B | 232.7 q | 257.3 jk | 250.2 lm | 282.8 f | 303.0 c | 244.2 p | 259.6 n | 271.1 jk | 294.3 f | 330.5 b |
| LSD value (p < 0.05) | 4.72 | 3.30 | ||||||||
Publisher’s Note: MDPI stays neutral with regard to jurisdictional claims in published maps and institutional affiliations. |
© 2020 by the authors. Licensee MDPI, Basel, Switzerland. This article is an open access article distributed under the terms and conditions of the Creative Commons Attribution (CC BY) license (http://creativecommons.org/licenses/by/4.0/).
Share and Cite
Naeem, M.; Mehboob, N.; Farooq, M.; Farooq, S.; Hussain, S.; M. Ali, H.; Hussain, M. Impact of Different Barley-Based Cropping Systems on Soil Physicochemical Properties and Barley Growth under Conventional and Conservation Tillage Systems. Agronomy 2021, 11, 8. https://doi.org/10.3390/agronomy11010008
Naeem M, Mehboob N, Farooq M, Farooq S, Hussain S, M. Ali H, Hussain M. Impact of Different Barley-Based Cropping Systems on Soil Physicochemical Properties and Barley Growth under Conventional and Conservation Tillage Systems. Agronomy. 2021; 11(1):8. https://doi.org/10.3390/agronomy11010008
Chicago/Turabian StyleNaeem, Muhammad, Noman Mehboob, Muhammad Farooq, Shahid Farooq, Shahid Hussain, Hayssam M. Ali, and Mubshar Hussain. 2021. "Impact of Different Barley-Based Cropping Systems on Soil Physicochemical Properties and Barley Growth under Conventional and Conservation Tillage Systems" Agronomy 11, no. 1: 8. https://doi.org/10.3390/agronomy11010008
APA StyleNaeem, M., Mehboob, N., Farooq, M., Farooq, S., Hussain, S., M. Ali, H., & Hussain, M. (2021). Impact of Different Barley-Based Cropping Systems on Soil Physicochemical Properties and Barley Growth under Conventional and Conservation Tillage Systems. Agronomy, 11(1), 8. https://doi.org/10.3390/agronomy11010008

