Photoconductive Dynamics of Photorefractive Poly((4-Diphenylamino)benzyl Acrylate)-Based Composites Sensitized by Perylene Bisimide
Abstract
1. Introduction
2. Materials and Methods
2.1. Materials
2.2. Sample Preparation
2.3. Characterization
2.4. Equations for Transient Photocurrent
3. Results and Discussion
3.1. Transient Photocurrent
3.2. Hole Mobility and QE of Photocarrier Generation
3.3. Analysis of the Transient Photocurrent
4. Conclusions
Author Contributions
Funding
Institutional Review Board Statement
Data Availability Statement
Conflicts of Interest
References
- Ducharme, S.; Scott, J.C.; Twieg, R.J.; Moerner, W.E. Observation of the Photorefractive Effect in a Polymer. Phys. Rev. Lett. 1991, 66, 1846. [Google Scholar] [CrossRef] [PubMed]
- Meerholtz, K.; Volodin, B.L.; Sandalphon; Kippelen, B.; Peyghambarian, N. A photorefractive polymer with high optical gain and diffraction efficiency near 100%. Nature 1994, 371, 497–500. [Google Scholar] [CrossRef]
- Moerner, W.E.; Silence, S.M.; Hache, F.; Bjorklund, G.C. Orientationally enhanced photorefractive effect in polymers. J. Opt. Soc. Am. B 1994, 11, 320–330. [Google Scholar] [CrossRef]
- Moerner, W.E.; Silence, S.M. Polymeric Photorefractive Materials. Chem. Rev. 1994, 94, 127–155. [Google Scholar] [CrossRef]
- Zhang, Y.; Burzynski, R.; Ghosal, S.; Casstevens, M.K. Photorefractive polymers and composites. Adv. Mater. 1996, 8, 111–125. [Google Scholar] [CrossRef]
- Moerner, W.E.; Grunnet-Jepsen, A.; Thompson, C.L. Photorefractive polymers. Ann. Rev. Mater. Sci. 1997, 27, 585–623. [Google Scholar] [CrossRef]
- Zhang, Y.; Wada, T.; Sasabe, H. Carbazole photorefractive materials. J. Mater. Chem. 1998, 8, 809–828. [Google Scholar] [CrossRef]
- Zilker, S.J. Materials design and physics of organic photorefractive systems. Chem. Phys. Chem. 2000, 1, 72–87. [Google Scholar] [CrossRef]
- Wang, Q.; Wang, L.; Yu, L. Development of fully functionalized photorefractive polymers. Macromol. Rapid. Commun. 2000, 21, 723–745. [Google Scholar] [CrossRef]
- Kippelen, B.; Peyghambarian, N. Photorefractive polymers and their applications. Adv. Polym. Sci. 2003, 161, 87–156. [Google Scholar] [CrossRef]
- Ostroverkhova, O.; Moerner, W.E. Organic photorefractives: Mechanisms, materials, and applications. Chem. Rev. 2004, 104, 3267–3314. [Google Scholar] [CrossRef]
- Sasaki, T. Photorefractive effect of liquid crystalline materials. Polym. J. 2005, 37, 797–812. [Google Scholar] [CrossRef][Green Version]
- Thomas, J.; Norwood, R.A.; Peyghambarian, N. Non-linear optical polymers for photorefractive applications. Mater. J. Chem. 2009, 19, 7476–7489. [Google Scholar] [CrossRef]
- Köber, S.; Salvador, M.; Meerholz, K. Organic photorefractive materials and applications. Adv. Mater. 2011, 23, 4725–4763. [Google Scholar] [CrossRef]
- Lynn, B.; Blanche, P.-A.; Peyghambarian, N. Photorefractive polymers for holography. J. Polym. Sci. Part B Polym. Phys. 2014, 52, 193–231. [Google Scholar] [CrossRef]
- Tsutsumi, N. Molecular Design of Photorefractive Polymers. Polym. J. 2016, 48, 571–588. [Google Scholar] [CrossRef]
- Tsutsumi, N. Recent advances in photorefractive and photoactive polymers for holographic applications. Polym. Int. 2017, 66, 167–174. [Google Scholar] [CrossRef]
- Blanche, P.-A.; Ka, J.W.; Peyghambarian, N. Review of Organic Photorefractive Materials and Their Use for Updateable 3D Display. Materials 2021, 14, 5799. [Google Scholar] [CrossRef]
- Tsutsumi, N.; Kinashi, K. Photorefractive Organic Materials and Applications; Blanche, P.-A., Ed.; Springer Series in Materials Science; Springer: Cham, Switzerland, 2016; Volume 240, pp. 129–156. [Google Scholar] [CrossRef]
- Tay, S.; Blanche, P.-A.; Voorakaranam, R.; Tunç, A.V.; Lin, W.; Rokutanda, S.; Gu, T.; Flores, D.; Wang, P.; Li, G.; et al. An updatable holographic three-dimensional display. Nature 2008, 451, 694–698. [Google Scholar] [CrossRef]
- Blanche, P.-A.; Bablumian, A.; Voorakaranam, R.; Christenson, C.; Lin, W.; Gu, T.; Flores, D.; Wang, P.; Hsieh, W.-Y.; Kathaperumal, M.; et al. Holographic three-dimensional telepresence using large-area photorefractive polymer. Nature 2010, 468, 80–83. [Google Scholar] [CrossRef] [PubMed]
- Tsutsumi, N.; Kinashi, K.; Nonomura, A.; Sakai, W. Quickly updatable hologram images using poly(N-vinyl carbazole) (PVCz) photorefractive polymer composite. Materials 2012, 5, 1477–1486. [Google Scholar] [CrossRef]
- Tsujimura, S.; Kinashi, K.; Sakai, W.; Tsutsumi, N. High-speed photorefractive response capability in triphenylamine polymer-based composites. Appl. Phys. Express 2012, 5, 064101. [Google Scholar] [CrossRef]
- Kinashi, K.; Wang, Y.; Nonomura, A.; Tsujimura, S.; Sakai, W.; Tsutsumi, N. Dynamic holographic images using poly(N-vinylcarbazole)-based photorefractive composites. Polym. J. 2013, 45, 665–670. [Google Scholar] [CrossRef]
- Sasaki, T.; Ikegami, M.; Abe, T.; Miyazaki, D.; Kajikawa, S.; Naka, Y. Real-time dynamic hologram in photorefractive ferroelectric liquid crystal with two-beam coupling gain coefficient of over 800 cm–1 and response time of 8 ms. Appl. Phys. Lett. 2013, 102, 063306. [Google Scholar] [CrossRef]
- Giang, H.N.; Kinashi, K.; Sakai, W.; Tsutsumi, N. Photorefractive response and real-time holographic application of a poly(4-(diphenylamino)benzyl acrylate)-based ccomposite. Polym. J. 2014, 46, 59–66. [Google Scholar] [CrossRef]
- Wu, Z.; Zhou, X.; Wu, S.; Yan, Z.; Li, Y.; He, G. Dynamic holographic display based on perovskite nanocrystal doped liquid crystal film. IEEE Photonics J. 2021, 13, 5200106. [Google Scholar] [CrossRef]
- Masumura, K.; Oka, T.; Kinashi, K.; Sakai, W.; Tsutsumi, N. Photorefractive dynamics in poly(triarylamine)-based polymer composite: An approach utilizing a second electron trap to reduce the photo-conductivity. Opt. Mater. Express 2018, 8, 401–412. [Google Scholar] [CrossRef]
- Masumura, K.; Nakanishi, I.; Thi Khuat, K.V.; Kinashi, K.; Sasaki, W.; Tsutsumi, N. Optimal composition of the poly(triarylamine)-based polymer composite to maximize photorefractive performance. Sci. Rep. 2019, 9, 739. [Google Scholar] [CrossRef]
- Tsutsumi, N.; Sakamoto, S.; Kinashi, K.; Jackin, B.J.; Sakai, W. Photorefractive response enhancement in poly(triarylamine)-based polymer composites by a second electron trap chromophore. ACS Omega 2022, 7, 12120–12126. [Google Scholar] [CrossRef]
- Han, J.; Xu, Q.; Chen, J.; Zhu, L. Nonlinear super-resolution imaging via orientationally enhanced photorefractive effect in polymer. Opt. Lett. 2021, 46, 2441–2444. [Google Scholar] [CrossRef]
- Katti, A. Low amplitude coherently coupled solitons in photorefractive polymers. Proc. SPIE 2021, 11789, 1178909. [Google Scholar] [CrossRef]
- Tsai, M.-C.; Wang, K.-L.; Wada, S.; Hsieh, C.-L.; Tseng, L.-C.; Horie, M.; Sassa, T. Enhanced photorefractive performance by controlling ion-assisted charge injection and accumulation with random biphenyl co-polymerized poly(carbazolyl-amine). Adv. Funct. Mater. 2024, 34, 2409659. [Google Scholar] [CrossRef]
- Tsutsumi, N.; Mizuno, Y.; Jackin, B.J.; Kinashi, K.; Sassa, T.; Giang, H.N.; Sakai, W. Photoelectron yield spectroscopy and transient photocurrent analysis for triphenylamine-based photorefractive polymer composites. Photonics 2022, 9, 996. [Google Scholar] [CrossRef]
- Tsutsumi, N.; Sassa, T.; Nguyen, T.V.; Tsujimura, S.; Giang, H.N.; Mizuno, Y.; Jackin, B.J.; Kinashi, K.; Sakai, W. Photorefractivity and Photocurrent Dynamics of Triphenylamine-Based Polymer Composites. Sci. Rep. 2024, 14, 11286. [Google Scholar] [CrossRef]
- Nguyen, T.V.; Giang, H.N.; Kinashi, K.; Sakai, W.; Tsutsumi, N. Photorefractivity of perylene bisimide-sensitized poly(4-(diphenylamino)benzyl acrylate. Macromol. Chem. Phys. 2016, 217, 85–91. [Google Scholar] [CrossRef]
- Nguyen, T.V.; Kinashi, K.; Sakai, W.; Tsutsumi, N. Enhanced photorefractivity of a perylene bisimide-sensitized poly(4-(diphenylamino) benzyl acrylate) composite. Opt. Mater. Express 2016, 6, 1714–1723. [Google Scholar] [CrossRef]
- Ostroverkhova, O.; Singer, K.D. Space-Charge Dynamics in Photorefractive Polymers. J. Appl. Phys. 2002, 92, 1727–1743. [Google Scholar] [CrossRef]
- Kulikovsky, L.; Neher, D.; Mecher, E.; Meerholz, K.; Hörhold, H.-H.; Ostroverkhova, O. Photocurrent Dynamics in a Poly(phenylene vinylene)-Based Photorefractive Composite. Phys. Rev. B 2004, 69, 125216. [Google Scholar] [CrossRef]
- Giang, H.N.; Kinashi, K.; Sakai, W.; Tsutsumi, N. Triphenylamine photoconductive polymers for high performance photorefractive devices. J. PhotoChem. Photobiol. A Chem. 2014, 291, 26–33. [Google Scholar] [CrossRef][Green Version]
- Giang, H.N.; Sassa, T.; Fujihara, T.; Tsujimura, S.; Kinashi, K.; Sakai, W.; Wada, S.; Tsutsumi, N. Triphenylamine-Based Plasticizer in Controlling Traps and Photorefractivity Enhancement. ACS Appl. Electron. Mater. 2021, 3, 2170–2177. [Google Scholar] [CrossRef]
- Borsenberger, P.M.; Pautmeier, L.; Bässler, H. Charge Transport in Disordered Molecular Solids. J. Chem. Phys. 1991, 94, 5447–5454. [Google Scholar] [CrossRef]
- Nowak-Krol, A.; Fimmel, B.; Son, M.; Kim, D.; Wurthner, F. Photoinduced electron transfer (PET) versus excimer formation in supramolecular p/n-heterojunctions of perylene bisimide dyes and implications for organic photovoltaics. Faraday Discuss. 2015, 185, 507–527. [Google Scholar] [CrossRef] [PubMed]
- Keivanidis, P.E.; Howard, I.A.; Friend, R.H. Intermolecular interactions of perylene diimides inpPhotovoltaic blends of fluorene Ccopolymers: Disorder effects on photophysical properties, film morphology and device efficiency. Adv. Funct. Mater. 2008, 18, 3189–3202. [Google Scholar] [CrossRef]
- Singh, R.; Giussani, E.; Mrόz, M.M.; Di Fonzo, F.; Fazzi, D.; Cabanillas-González, J.; Oldridge, L.; Vaenas, N.; Kontos, A.G.; Falaras, P.; et al. On the role of aggregation effects in the performance of perylene-diimide based solar cells. Org. Electron. 2014, 15, 1347–1361. [Google Scholar] [CrossRef]
- Singh, R.; Kim, M.; Lee, J.-J.; Ye, T.; Keivanidis, P.E.; Cho, K. Excimer formation effects and trap-assisted charge recombination loss channels in organic solar cells of perylene diimide dimer acceptors. J. Mater. Chem. C 2020, 8, 1686–1696. [Google Scholar] [CrossRef]
- Ye, T.; Singh, R.; Butt, H.-J.; Floudas, G.; Keivanidis, P.E. Effect of local and global structural order on the performance of perylene diimide excimeric solar cells. ACS Appl. Mater. Interfaces 2013, 5, 11844–11857. [Google Scholar] [CrossRef]
- Merz, J.; Dietrich, L.; Nitsch, J.; Krummenacher, I.; Braunschweig, H.; Moos, M.; Mims, D.; Lambert, C.; Marder, T.B. Synthesis, photophysical and electronic properties of mono-, di-, and tri-amino-substituted ortho-perylenes, and comparison to the tetra-substituted derivative. Chem. Eur. J. 2020, 26, 12050–12059. [Google Scholar] [CrossRef]
- Hendrickx, E.; Kippelen, B.; Thayumanavan, S.; Marder, S.R.; Persoons, A.; Peyghambarian, N. High photogeneration efficiency of charge-transfer complexes formed between low ionization potential arylamines and C60. J. Chem. Phys. 2000, 112, 9557–9561. [Google Scholar] [CrossRef]
- Yoo, S.H.; Kum, J.M.; Cho, S.O. Tuning the electronic band structure of PCBM by electron irradiation. Nanoscale Res. Lett. 2011, 6, 545. [Google Scholar] [CrossRef]
- Wang, Y.; Chen, J.; Kim, H.D.; Wang, B.; Iriguchi, R.; Ohkita, H. Ternary blend solar cells based on a conjugated polymer with diketopyrrolopyrrole and carbazole units. Front. Energy Res. 2018, 6, 113. [Google Scholar] [CrossRef]
- Sharma, G.D.; Shanap, T.S.; Patel, K.R.; El-Mansy, M.K. Photovoltaic properties of bulk heterojunction devices based on CuI-PVA as electron donor and PCBM and modified PCBM as electron acceptor. Mater. Sci.-Pol. 2012, 30, 10–16. [Google Scholar] [CrossRef]







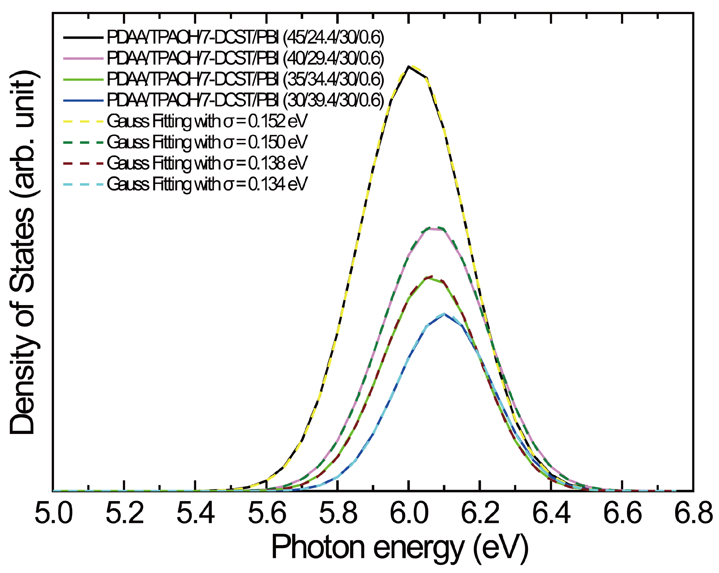
| Sample | Ip (eV) | Width of DOS (eV) | μ (cm2 V−1 s−1) |
|---|---|---|---|
| PDAA45 | 5.73 | 0.152 | 2.87 × 10−6 |
| PDAA40 | 5.80 | 0.150 | 3.18 × 10−6 |
| PDAA35 | 5.80 | 0.138 | 5.52 × 10−6 |
| PDAA30 | 5.80 | 0.134 | 6.76 × 10−6 |
| Sample | djphoto/dt (A cm−2 s−1) | αϕ (cm−1) | α640 (cm−1) | ϕ (10−2) | ϕPCBM (10−2) |
|---|---|---|---|---|---|
| PDAA30/0.1 | 0.0025 | 0.0128 | 0.27 | 4.74 | − * |
| PDAA45 | 0.006 | 0.0723 | 3.02 | 4.46 | 2.17 |
| PDAA40 | 0.007 | 0.0762 | 1.73 | 4.70 | 4.23 |
| PDAA35 | 0.026 | 0.163 | 2.25 | 10.1 | 8.05 |
| PDAA30 | 0.024 | 0.123 | 5.82 | 7.58 | 4.09 |
| Sample | γT [cm3 s−1] | T, M [cm−3] | βT [s−1] | γM [cm3 s−1] | βM [s−1] | γR [cm3 s−1] |
|---|---|---|---|---|---|---|
| PDAA30/0.1 | 0.45 × 10−13 | 1.43 × 1016 | 63 | 1 × 10−16 | 1 | 4.7 × 10−13 |
| PDAA45 | 0.2 × 10−13 | 3.18 × 1016 | 42 | 2 × 10−17 | 0.1 | 1.9 × 10−13 |
| PDAA40 | 0.9 × 10−13 | 1.58 × 1016 | 108 | 1 × 10−16 | 0.3 | 3.0 × 10−13 |
| PDAA35 | 1.6 × 10−13 | 1.58 × 1016 | 55 | 9 × 10−16 | 0.7 | 3.8 × 10−13 |
| PDAA30 | 1.6 × 10−13 | 1.43 × 1016 | 95 | 3 × 10−16 | 1 | 4.4 × 10−13 |
| Sample | (γT × T)−1 [ms] | βT−1 [ms] | (γM × M)−1 [ms] | βM−1 [ms] | Photorefractive Response Time [ms] |
|---|---|---|---|---|---|
| PDAA45 | 1.5 | 23 | 1560 | 10,000 | 555 |
| PDAA40 | 0.7 | 9.3 | 625 | 3333 | − * |
| PDAA35 | 0.4 | 18 | 70.3 | 1429 | − * |
| PDAA30 | 0.4 | 11 | 233 | 1000 | − * |
Disclaimer/Publisher’s Note: The statements, opinions and data contained in all publications are solely those of the individual author(s) and contributor(s) and not of MDPI and/or the editor(s). MDPI and/or the editor(s) disclaim responsibility for any injury to people or property resulting from any ideas, methods, instructions or products referred to in the content. |
© 2025 by the authors. Licensee MDPI, Basel, Switzerland. This article is an open access article distributed under the terms and conditions of the Creative Commons Attribution (CC BY) license (https://creativecommons.org/licenses/by/4.0/).
Share and Cite
Tsutsumi, N.; Sassa, T.; Nguyen, T.V.; Giang, H.N.; Tsujimura, S.; Jackin, B.J.; Kinashi, K.; Sakai, W. Photoconductive Dynamics of Photorefractive Poly((4-Diphenylamino)benzyl Acrylate)-Based Composites Sensitized by Perylene Bisimide. Polymers 2025, 17, 96. https://doi.org/10.3390/polym17010096
Tsutsumi N, Sassa T, Nguyen TV, Giang HN, Tsujimura S, Jackin BJ, Kinashi K, Sakai W. Photoconductive Dynamics of Photorefractive Poly((4-Diphenylamino)benzyl Acrylate)-Based Composites Sensitized by Perylene Bisimide. Polymers. 2025; 17(1):96. https://doi.org/10.3390/polym17010096
Chicago/Turabian StyleTsutsumi, Naoto, Takafumi Sassa, Tam Van Nguyen, Ha Ngoc Giang, Sho Tsujimura, Boaz Jessie Jackin, Kenji Kinashi, and Wataru Sakai. 2025. "Photoconductive Dynamics of Photorefractive Poly((4-Diphenylamino)benzyl Acrylate)-Based Composites Sensitized by Perylene Bisimide" Polymers 17, no. 1: 96. https://doi.org/10.3390/polym17010096
APA StyleTsutsumi, N., Sassa, T., Nguyen, T. V., Giang, H. N., Tsujimura, S., Jackin, B. J., Kinashi, K., & Sakai, W. (2025). Photoconductive Dynamics of Photorefractive Poly((4-Diphenylamino)benzyl Acrylate)-Based Composites Sensitized by Perylene Bisimide. Polymers, 17(1), 96. https://doi.org/10.3390/polym17010096

