Sign in to use this feature.

Years

Between: -

Subjects

remove_circle_outline
remove_circle_outline
remove_circle_outline
remove_circle_outline
remove_circle_outline
remove_circle_outline
remove_circle_outline
remove_circle_outline
remove_circle_outline

Journals

remove_circle_outline
remove_circle_outline
remove_circle_outline
remove_circle_outline
remove_circle_outline
remove_circle_outline
remove_circle_outline
remove_circle_outline
remove_circle_outline

Article Types

Countries / Regions

remove_circle_outline
remove_circle_outline
remove_circle_outline
remove_circle_outline

Search Results (487)

Search Parameters:
Keywords = hole mobility

Order results
Result details
Results per page
Select all
Export citation of selected articles as:
14 pages, 3838 KB  
Article
Electronic Structure of Graphene-Doped PEDOT:PSS and Its Influence on Energy-Level Alignment with p-Type Organic Semiconductor ZnPc
by Woojin Shin and Hyunbok Lee
Materials 2026, 19(2), 295; https://doi.org/10.3390/ma19020295 - 12 Jan 2026
Viewed by 197
Abstract
Poly (3,4-ethylenedioxythiophene polystyrene sulfonate) (PEDOT:PSS) is a solution-processable hole transport layer known for its high work function and excellent hole mobility. The incorporation of graphene serves as an effective strategy to augment the hole-transport properties of PEDOT:PSS. In this study, the electronic structure [...] Read more.
Poly (3,4-ethylenedioxythiophene polystyrene sulfonate) (PEDOT:PSS) is a solution-processable hole transport layer known for its high work function and excellent hole mobility. The incorporation of graphene serves as an effective strategy to augment the hole-transport properties of PEDOT:PSS. In this study, the electronic structure of graphene-doped PEDOT:PSS (G-PEDOT:PSS) was investigated using X-ray photoelectron spectroscopy (XPS) and ultraviolet photoelectron spectroscopy (UPS). It was found that the work function of PEDOT:PSS increases with graphene doping concentration, rising from 4.86 eV for undoped PEDOT:PSS to 5.03 eV for PEDOT:PSS incorporating 10 wt% graphene. The impact of this modification on the energy-level alignment with zinc phthalocyanine (ZnPc), which is a prototypical p-type organic semiconductor, was examined through in situ XPS and UPS analyses. Despite the increased work function, the hole injection barriers for both PEDOT:PSS and G-PEDOT:PSS to ZnPc were determined to be identical at 0.26 eV. This lack of change in the barrier is explicitly attributed to Fermi-level pinning, where the integer charge transfer level of ZnPc is pinned to the Fermi level of the substrate, preventing a further reduction in the energy offset. That said, for other p-type organic semiconductors with higher ionization energies, the use of G-PEDOT:PSS could potentially enable more efficient hole injection. Full article
Show Figures

Figure 1

15 pages, 1802 KB  
Article
Aggregation-Tuned Charge Transport and Threshold Voltage Modulation in Poly(3-hexylthiophene) Field-Effect Transistors
by Byoungnam Park
Materials 2026, 19(2), 279; https://doi.org/10.3390/ma19020279 - 9 Jan 2026
Viewed by 252
Abstract
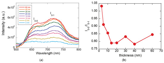
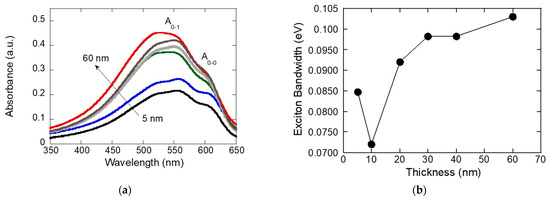
In this report, a thickness-driven, aggregation–structure–transport optimum in sonicated poly(3-hexylthiophene) (P3HT) FETs was investigated. Mobility peaks at ~10–20 nm, coincident with a minimum in the photoluminescence (PL) vibronic ratio I0-0/I0-1 (strong H-aggregate interchain coupling) [...] Read more.
In this report, a thickness-driven, aggregation–structure–transport optimum in sonicated poly(3-hexylthiophene) (P3HT) FETs was investigated. Mobility peaks at ~10–20 nm, coincident with a minimum in the photoluminescence (PL) vibronic ratio I0-0/I0-1 (strong H-aggregate interchain coupling) and X-ray diffraction sharpening of the (100) lamellar peak with slightly reduced d-spacing, indicate tighter π–π stacking and larger crystalline coherence. Absorption analysis (Spano model) is consistent with this enhanced interchain order. The mobility maximum arises from an optimal balance: J-aggregate–like intrachain planarity supports along-chain transport, while H-aggregates provide interchain connectivity for efficient hopping. Below this thickness, insufficient interchain coupling limits transport; above it, over-aggregation and disorder introduce traps and weaken gate control. The sharp rise in threshold voltage beyond the critical thickness indicates more trap states or fixed charges forming within the film bulk. As a result, a larger gate bias is needed to deplete the channel (remove excess holes) and switch the device off. These results show that electrical gating can be tuned via solution processing (sonication) and film thickness—guiding the design of P3HT devices for photovoltaics and sensing. Full article
Show Figures

Figure 1

10 pages, 1178 KB  
Article
The Modification of Nitrogen to Modulate Perovskite for the Application of p-Type Transparent Conductive Oxides
by Yunting Liang, Kaihua Li, Haixu Chen, Yinling Wang, Shasha Zheng and Liuyang Bai
Molecules 2026, 31(2), 222; https://doi.org/10.3390/molecules31020222 - 8 Jan 2026
Viewed by 145
Abstract
Due to the strong electronegativity of oxygen ions, the valence band maximum (VBM) that is derived from the O 2p orbital leads to strong localization, as well as further heavy hole mass and low hole mobility, which makes it extremely difficult to obtain [...] Read more.
Due to the strong electronegativity of oxygen ions, the valence band maximum (VBM) that is derived from the O 2p orbital leads to strong localization, as well as further heavy hole mass and low hole mobility, which makes it extremely difficult to obtain high-conductivity p-type transparent conductive materials. Herein, we propose the strategy of multiple anions through the introduction of weaker electronegative nitrogen, in consideration of the delocalization on VBM, as well as the stability of octahedral anion cages. As such, first-principles calculations in the framework of density functional theory (DFT) are used for this work. Crystal structure prediction software USPEX (version 2023.0) was adopted to investigate the N-O appropriate ratio in CaTiO3−xNx (0 ≤ x ≤ 1) to balance the high transmission of light and highly favorable dispersion at the VBM. Furthermore, the p-type TCO performance of CaTiO3-xNx was evaluated based on the hole effective mass, hole mobility, and conductivity. The effectiveness of modulating p-type TCO through N-O multiple anions was also evaluated through defect formation energy and ionization energy. Ultimately, the construction of a CaTiO3-xNx/Si heterojunction and band alignment were considered for practical application. This approach attempts to boost the diversity of p-type perovskite-based TCOs and opens a new perspective for engineering and innovative material design for sustainable TCOs demand. Full article
Show Figures

Figure 1

20 pages, 1096 KB  
Article
A New Ant Colony Optimization-Based Dynamic Path Planning and Energy Optimization Model in Wireless Sensor Networks for Mobile Sink by Using Mixed-Integer Linear Programming
by Fangyan Chen, Xiangcheng Wu, Zhiming Wang, Weimin Qi and Peng Li
Biomimetics 2026, 11(1), 44; https://doi.org/10.3390/biomimetics11010044 - 6 Jan 2026
Viewed by 210
Abstract
Currently, wireless sensor networks (WSNs) have been mutually applied to environmental monitoring and industrial control due to their low-cost and low-energy sensor nodes. However, WSNs are composed of a large number of energy-limited sensor nodes, which requires balancing the relationship among energy consumption, [...] Read more.
Currently, wireless sensor networks (WSNs) have been mutually applied to environmental monitoring and industrial control due to their low-cost and low-energy sensor nodes. However, WSNs are composed of a large number of energy-limited sensor nodes, which requires balancing the relationship among energy consumption, transmission delay, and network lifetime simultaneously to avoid the formation of energy holes. In nature, gregarious herbivores, such as the white-bearded wildebeest on the African savanna, employ a “fast-transit and selective-dwell” strategy when searching for water; they cross low-value regions quickly and prolong their stay in nutrient-rich pastures, thereby minimizing energy cost while maximizing nutrient gain. Ants, meanwhile, dynamically evaluate the “energy-to-reward” ratio of a path through pheromone concentration and its evaporation rate, achieving globally optimal foraging. Inspired by these two complementary biological mechanisms, our study proposes a novel ACO-conceptualized optimization model formulated via mixedinteger linear programming (MILP). By mapping the pheromone intensity and evaporation rate into the MILP energy constraints and cost functions, the model integrates discrete decision-making (path selection) and continuous variables (dwell time) by dynamic path planning and energy optimization of mobile sink, constituting multi-objective optimization. Firstly, we can achieve flexible trade-offs between multiple objectives such as data transmission delay and energy consumption balance through adjustable weight coefficients of the MILP model. Secondly, the method transforms complex path planning and scheduling problems into deterministic optimization models with theoretical global optimality guarantees. Finally, experimental results show that the model can effectively optimize network performance, significantly improve energy efficiency, while ensuring real-time performance and extended network lifetime. Full article
(This article belongs to the Section Biomimetic Design, Constructions and Devices)
Show Figures

Figure 1

24 pages, 3887 KB  
Article
Numerical Simulation Study on Synergistic Influencing Factors of CO2 Flooding and Geological Storage in Low-Permeability and High-Water-Cut Reservoirs
by Qi Wang, Jihong Zhang, Guantong Huo, Peng Wang, Fei Li, Xinjian Tan and Qiang Xie
Energies 2025, 18(24), 6630; https://doi.org/10.3390/en18246630 - 18 Dec 2025
Viewed by 249
Abstract
How to economically and effectively mobilize remaining oil and achieve carbon sequestration after water flooding in low-permeability, high-water-cut reservoirs is an urgent challenge. This study, focusing on Block Y of the Daqing Oilfield, employs numerical simulation to systematically reveal the synergistic influencing mechanisms [...] Read more.
How to economically and effectively mobilize remaining oil and achieve carbon sequestration after water flooding in low-permeability, high-water-cut reservoirs is an urgent challenge. This study, focusing on Block Y of the Daqing Oilfield, employs numerical simulation to systematically reveal the synergistic influencing mechanisms of CO2 flooding and geological storage. A three-dimensional compositional model characterizing this reservoir was constructed, with a focus on analyzing the controlling effects of key geological (depth, heterogeneity, physical properties) and engineering (gas injection rate, gas injection volume, bottom-hole flowing pressure) parameters on the displacement and storage processes. Simulation results indicate that the low-permeability characteristics of Block Y effectively suppress gas channeling, enabling a CO2 flooding enhanced oil recovery (EOR) increment of 15.65%. Increasing reservoir depth significantly improves both oil recovery and storage efficiency by improving the mobility ratio and enhancing gravity segregation. Parameter optimization is key to achieving synergistic benefits: the optimal gas injection rate is 700–900 m3/d, the economically reasonable gas injection volume is 0.4–0.5 PV, and the optimal bottom-hole flowing pressure is 9–10 MPa. This study confirms that for Block Y and similar high-water-cut, low-permeability reservoirs, CO2 flooding is a highly promising replacement technology; through optimized design, it can simultaneously achieve significant crude oil production increase and efficient CO2 storage. Full article
Show Figures

Figure 1

22 pages, 404 KB  
Article
Community-for-Care: An Integrated Response to Informal Post-Caregivers
by Catarina Inês Costa Afonso, Ana Spínola Madeira, Alcinda Reis and Susana Magalhães
Healthcare 2025, 13(24), 3318; https://doi.org/10.3390/healthcare13243318 - 18 Dec 2025
Viewed by 359
Abstract
Background/Objectives: Informal caregivers play a crucial role in healthcare, but when caregiving ends the “post-caregivers” often remain invisible and unsupported. Post-caregivers face needs such as reconstructing their identity and finding space and time to grieve. This study aimed to design a support network [...] Read more.
Background/Objectives: Informal caregivers play a crucial role in healthcare, but when caregiving ends the “post-caregivers” often remain invisible and unsupported. Post-caregivers face needs such as reconstructing their identity and finding space and time to grieve. This study aimed to design a support network for informal post-caregivers by exploring perceptions of diverse stakeholders. Methods: A qualitative inductive study was conducted using three focus groups (n = 15; ages 35–70; 12 women, 3 men) held online between June and July 2023. Participants included palliative care team members, home support professionals, general practitioners, informal caregivers, post-caregivers, and members of civil society. A semi-structured guide was used, and narratives were analyzed with a Narrative Medicine-informed approach and thematic analysis. Results: Community-For-Care emerged as an overarching and distinctive concept that, while aligned with the ethos of Compassionate Communities, specifically addresses the transition after caregiving ends, a phase largely absent from existing models. It symbolizes the “living forces of the community” mobilized to accompany informal post-caregivers through identity reconstruction, bereavement, and reintegration. Three interrelated thematic axes structure this concept: (1) Compassion Axis—emphasizing a compassionate community that values caregiving; (2) Coordinated Action Axis—highlighting coordinated, continuous support across healthcare and community services; and (3) Care Literacy Axis—underscoring education and training for caregivers, post-caregivers, and professionals. These axes dynamically interact to empower post-caregivers and stitch the holes in the support network. Conclusions: A community-centered, post-caregiver-focused framework such as Community-For-Care offers a novel extension of compassionate communities by directly addressing the loneliness, identity rupture, and invisibility that often characterize the transition after caregiving. Reinforcing compassion, coordinated action, and care literacy can enable communities to better acknowledge the contributions and ongoing needs of post-caregivers, supporting their emotional recovery, social reintegration, and reconstruction of daily life. By integrating these three axes into community practice, the model introduces a post-care-specific structure that can enhance well-being, reduce preventable health decline, and relieve pressure on formal services by mobilizing local, civic, and relational assets. Full article
Show Figures

Figure 1

11 pages, 1580 KB  
Article
Large Piezoelectric Response and High Carrier Mobilities Enhanced via 6s2 Hybridization in Bismuth Chalcohalide Monolayers
by Jing Shi, Chang Han, Haibo Niu, Youzhang Zhu, Yachao Liu and Vei Wang
Nanomaterials 2025, 15(24), 1877; https://doi.org/10.3390/nano15241877 - 14 Dec 2025
Viewed by 307
Abstract
In this study, we systematically investigated the piezoelectric and carrier transport properties of two-dimensional (2D) Bi-based chalcohalide monolayers (BiXY, X = Se, Te; Y = Br, I) using first-principles calculations. The phonon dispersion and elastic properties proved that BiXY monolayers are dynamically and [...] Read more.
In this study, we systematically investigated the piezoelectric and carrier transport properties of two-dimensional (2D) Bi-based chalcohalide monolayers (BiXY, X = Se, Te; Y = Br, I) using first-principles calculations. The phonon dispersion and elastic properties proved that BiXY monolayers are dynamically and mechanically stable. Our results reveal that the stereochemically active 6s2 lone-pair electrons of Bi3+ play a crucial role in determining the structural and electronic characteristics of these systems. The simultaneous enhancement of Born effective charges and the strong sensitivity of atomic positions to external strain give rise to pronounced piezoelectric responses in BiXY monolayers. Specifically, the calculated piezoelectric coefficients (d11) reached 13.16 and 17.76 pm/V for BiSeBr and BiSeI, respectively. The carrier transport properties were estimated using the deformation potential (DP) theory, which yielded upper-bound values under idealized conditions. For instance, in BiTeBr, the effective masses of electrons and holes were 0.15 and 0.40 m0, respectively, leading to high carrier mobilities of 2736.1 and 2689.9 cm2 V−1 s−1. These findings highlight the potential of Bi-based chalcohalide monolayers as promising candidates for next-generation multi-functional nanoelectronic and piezoelectric devices. Full article
(This article belongs to the Section Nanoelectronics, Nanosensors and Devices)
Show Figures

Graphical abstract

11 pages, 16090 KB  
Article
Impact of OFF-State Stress on Dynamic RON of On-Wafer 100 V p-GaN HEMTs, Studied by Emulating Monolithically Integrated Half-Bridge Operation
by Lorenzo Modica, Nicolò Zagni, Marcello Cioni, Giacomo Cappellini, Giovanni Giorgino, Ferdinando Iucolano, Giovanni Verzellesi and Alessandro Chini
Electronics 2025, 14(23), 4756; https://doi.org/10.3390/electronics14234756 - 3 Dec 2025
Viewed by 358
Abstract
This paper presents the electrical characterization of the on-resistance (RON) of on-wafer 100 V p-GaN power High-Electron-Mobility Transistors (HEMTs). This study assesses device degradation in the context of a monolithically integrated half-bridge circuit, considering both Low-Side (LS) and High-Side (HS) [...] Read more.
This paper presents the electrical characterization of the on-resistance (RON) of on-wafer 100 V p-GaN power High-Electron-Mobility Transistors (HEMTs). This study assesses device degradation in the context of a monolithically integrated half-bridge circuit, considering both Low-Side (LS) and High-Side (HS) configurations. Since on-wafer samples have been characterized, a custom experimental setup was developed to emulate stress conditions experienced by the devices in the half-bridge circuit. A periodic signal (T = 10 µs, TON = 2 µs) switching from the OFF to the ON state was applied for a cumulative duration of 1000 s. Different OFF-state stress conditions were applied by varying the gate-source OFF voltage (VGS,OFF) between 0 V and −10 V. The on-resistance exhibited a positive drift over time for devices in either the LS or the HS configuration, with the latter showing a more pronounced degradation. Measurements at higher temperatures (up to 90 °C) were carried out to characterize the dynamics of the physical mechanism behind the degradation effects. We identified hole emission from C-related acceptor traps in the buffer as the main mechanism for the observed degradation, which is present in both the HS and the LS configurations. The additional degradation observed in the HS case was attributed to the back-gating effect, stemming from the non-null body-to-source voltage. Furthermore, we found that a more negative VGS,OFF further increases RON degradation, likely related to the higher electric field near the gate contact, which enhances hole emission from C-related acceptor traps. Full article
(This article belongs to the Section Semiconductor Devices)
Show Figures

Figure 1

17 pages, 3142 KB  
Article
Novel Organosilicon Tetramers with Dialkyl-Substituted [1]Benzothieno[3,2-b]benzothiophene Moieties for Solution-Processible Organic Electronics
by Irina O. Gudkova, Evgeniy A. Zaborin, Alexander I. Buzin, Artem V. Bakirov, Yaroslava O. Titova, Oleg V. Borshchev, Sergey N. Chvalun and Sergey A. Ponomarenko
Molecules 2025, 30(23), 4639; https://doi.org/10.3390/molecules30234639 - 3 Dec 2025
Viewed by 425
Abstract
The synthesis, phase behavior and semiconductor properties of two novel organosilicon tetramers with dialkyl-substituted [1]benzothieno[3,2-b]benzothiophene (BTBT) moieties, D4-Und-BTBT-Hex and D4-Hex-BTBT-Oct, are described. The synthesis of these molecules was carried out by sequential modification of the BTBT core by carbonyl-containing functional alkyl substituents [...] Read more.
The synthesis, phase behavior and semiconductor properties of two novel organosilicon tetramers with dialkyl-substituted [1]benzothieno[3,2-b]benzothiophene (BTBT) moieties, D4-Und-BTBT-Hex and D4-Hex-BTBT-Oct, are described. The synthesis of these molecules was carried out by sequential modification of the BTBT core by carbonyl-containing functional alkyl substituents using the Friedel–Crafts reaction, followed by the reduction in the keto group. The target tetramers, D4-Und-BTBT-Hex and D4-Hex-BTBT-Oct, were obtained by the hydrosilylation reaction between tetraallylsilane and corresponding 1,1,3,3-tetramethyl-1-(ω-(7-alkyl[1]benzothieno[3,2-b]benzothiophen-2-yl)alkyl)disiloxanes. The chemical structure of the compounds obtained was confirmed by NMR 1H-, 13C- and 29Si-spectroscopy, gel permeation chromatography and elemental analysis. Their phase behavior was investigated by differential scanning calorimetry, polarization optical microscopy and X-ray diffraction analysis. It was found that D4-Und-BTBT-Hex shows higher crystallinity at room temperature as compared to D4-Hex-BTBT-Oct, while both molecules possess smectic ordering favorable for active layer formation in organic field-effect transistors (OFETs). The active layers were applied by spin-coating under conditions of a homogeneous thin layer formation with a low content of defects. The devices obtained from D4-Und-BTBT-Hex have demonstrated good semiconductor characteristics in OFETs with a hole mobility up to 3.5 × 10−2 cm2 V−1 s−1, a low threshold voltage and an on/off ratio up to 107. Full article
(This article belongs to the Section Cross-Field Chemistry)
Show Figures

Figure 1

17 pages, 3533 KB  
Article
Ferroelectric Properties and Ambipolar Carrier Transport of 9-Fluorenone-Based Liquid Crystals
by Sou-un Doi, Syota Yamada, Ken’ichi Aoki and Atsushi Seki
Crystals 2025, 15(12), 1021; https://doi.org/10.3390/cryst15121021 - 28 Nov 2025
Viewed by 497
Abstract
The functional integration of chiral liquid crystals and π-conjugated compounds has great potential for creating novel exotic materials. A series of chiral donor–acceptor (D–A)-type fluorenone derivatives was synthesized to investigate the influence of molecular structure upon their liquid-crystalline phase-transition behavior, ferroelectricity, photophysical properties, [...] Read more.
The functional integration of chiral liquid crystals and π-conjugated compounds has great potential for creating novel exotic materials. A series of chiral donor–acceptor (D–A)-type fluorenone derivatives was synthesized to investigate the influence of molecular structure upon their liquid-crystalline phase-transition behavior, ferroelectricity, photophysical properties, and photoconductive properties. Polarizing optical microscopy (POM), differential scanning calorimetry (DSC), and X-ray diffraction (XRD) analyses revealed that several D–A-type fluorenone derivatives exhibited liquid crystal (LC) phases. These chiral LC fluorenone derivatives exhibited polarization hysteresis in the chiral smectic C (SmC*) phase. Among the four fluorenone-based ferroelectric liquid crystals (FLCs), (R,R)-2a exhibited the largest spontaneous polarization (over 3.0 × 102 nC cm−2). The formation of intramolecular charge-transfer (ICT) states in each compound was evidenced by the UV–vis absorption spectroscopy. Ambipolar carrier transport in the SmC* phases of the fluorenone-based FLCs was elucidated by the time-of-flight (TOF) method. The mobilities of holes and electrons in the SmC* phases were on the order of 10−5 cm2 V−1 s−1, which is on par with the carrier mobilities of low-ordered smectic phases in conventional LC semiconductors. Full article
(This article belongs to the Special Issue State-of-the-Art Liquid Crystals Research in Japan (2nd Edition))
Show Figures

Figure 1

16 pages, 3894 KB  
Article
Electrospun ZnO Nanofibers as Functional Interlayer in CdS/PbS-Based n–p Thin Film Solar Cells
by Rodrigo Hernández-Hernández, Liliana Licea-Jiménez, Francisco de Moure-Flores, José Santos-Cruz, Aime Gutiérrez-Peralta and Claudia Elena Pérez-García
Coatings 2025, 15(12), 1371; https://doi.org/10.3390/coatings15121371 - 24 Nov 2025
Viewed by 631
Abstract
We introduce a fully solution-processed interlayer strategy for n–p CdS/PbS thin film solar cells that combines a sol–gel ZnO compact coating with an electrospun ZnO nanofiber network. The synthesis and characterization of ZnO, CdS, and PbS thin films, complemented by electrospun ZnO nanofibers, [...] Read more.
We introduce a fully solution-processed interlayer strategy for n–p CdS/PbS thin film solar cells that combines a sol–gel ZnO compact coating with an electrospun ZnO nanofiber network. The synthesis and characterization of ZnO, CdS, and PbS thin films, complemented by electrospun ZnO nanofibers, are aimed at low-cost photovoltaic applications. Sol–gel ZnO films exhibited a hexagonal wurtzite structure with a bandgap (Eg) of approximately 3.28 eV, functioning effectively as electron transport and hole-blocking layers. CdS films prepared by chemical bath deposition (CBD) showed mixed cubic and hexagonal phases with an Eg of about 2.44 eV. PbS films deposited at low temperature displayed a cubic galena structure with a bandgap of approximately 0.40 eV. Scanning Electron Microscopy revealed uniform ZnO and CdS surface coatings and a conformal 1D ZnO network with nanofibers measuring about 50 nm in diameter (ranging from 49.9 to 53.4 nm), which enhances interfacial contact coverage. PbS films exhibited dense grains ranging from 50 to 150 nm, and EDS confirmed the expected stoichiometries. Electrical characterization indicated low carrier densities and high resistivities consistent with low-temperature processing, while mobilities remained within reported ranges. The incorporation of ZnO layers and nanofibers significantly improved device performance, particularly at the CdS/PbS heterojunction. The device achieved a Voc of 0.26 V, an Jsc of 3.242 mA/cm2, and an efficiency of 0.187%. These improvements are attributed to enhanced electron transport selectivity and reduced interfacial recombination provided by the percolated 1D ZnO network, along with effective hole blocking by the compact film and increased surface area. Fill-factor limitations are linked to series resistance losses, suggesting potential improvements through fiber densification, sintering, and control of the compact layer thickness. This work is a proof-of-concept of a fully solution-processed and low-temperature CdS/PbS architecture. Efficiencies remain modest due to low carrier concentrations typical of low-temperature CBD films and the deliberate omission of high-temperature annealing/ligand exchange. Overall, this non-vacuum, low-temperature coating method establishes electrospun ZnO as a tunable functional interlayer for CdS/PbS devices and offers a practical pathway to elevate power output in scalable productions. These findings highlight the potential of nanostructured intermediate layers to optimize charge separation and transport in low-cost PbS/CdS/ZnO solar cell architectures. Full article
(This article belongs to the Special Issue Innovative Thin Films and Coatings for Solar Cells)
Show Figures

Figure 1

8 pages, 1493 KB  
Article
Single-Crystalline Si Stacked AlGaN/GaN High-Electron-Mobility Transistors with Enhanced Two-Dimensional Electron Gas Density
by Goeun Ham, Eungyeol Shin, Sangwon Yoon, Jihoon Yang, Youngjin Choi, Gunwoo Lim and Kwangeun Kim
Micromachines 2025, 16(11), 1214; https://doi.org/10.3390/mi16111214 - 25 Oct 2025
Viewed by 684
Abstract
High-electron-mobility transistors (HEMTs) are characterized by the formation of a two-dimensional electron gas (2DEG) induced by the polarization effects. Considerable studies have been conducted to improve the electrical properties of HEMTs by regulating the 2DEG density. In this study, a Si/GaN heterojunction was [...] Read more.
High-electron-mobility transistors (HEMTs) are characterized by the formation of a two-dimensional electron gas (2DEG) induced by the polarization effects. Considerable studies have been conducted to improve the electrical properties of HEMTs by regulating the 2DEG density. In this study, a Si/GaN heterojunction was fabricated through the transfer of a heavily boron-doped Si nanomembrane. The holes in the p-Si layer integrated on top of the HEMT not only increased the surface positive charge, which eventually increased the density of electrons at the AlGaN/GaN interface, but also acted as a passivation layer to improve the performance of AlGaN/GaN HEMTs. Electrical characterization revealed that the maximum drain current increased from 668 mA/mm to 740 mA/mm, and the maximum transconductance improved from 200.2 mS/mm to 220.4 mS/mm. These results were due to the surface positive charge induced by the p-Si layer, which lowered the energy band diagram and increased the electron concentration at the AlGaN/GaN interface by a factor of 1.4 from 1.52 × 1020 cm−3 to 2.11 × 1020 cm−3. Full article
Show Figures

Figure 1

11 pages, 1660 KB  
Article
Efficient Perovskite Solar Cell with Improved Electron Extraction Based on SnO2/Phosphorene Heterojunction as Electron Transport Layer
by Min Li, Xin Yao, Jie Huang and Dawei Zhang
Materials 2025, 18(20), 4771; https://doi.org/10.3390/ma18204771 - 18 Oct 2025
Viewed by 543
Abstract
Due to its unique electrical and optical properties, as well as the tunable band structure based on thickness, 2D phosphorene recently emerged as a research hotspot and holds significant potential for applications across various fields. In this study, due to the special band [...] Read more.
Due to its unique electrical and optical properties, as well as the tunable band structure based on thickness, 2D phosphorene recently emerged as a research hotspot and holds significant potential for applications across various fields. In this study, due to the special band structure and excellent electron transport performance of phosphorene, it formed a series structure with SnO2 as the electron transport layer of perovskite solar cells. Consequently, the photocurrent density was enhanced by approximately 20%, and the energy conversion efficiency was effectively elevated from 16.38% for pure SnO2 to 18.03% for the SnO2/phosphorene composite. Electrochemical measurements and spectral analyses revealed that the incorporation of phosphorene augmented electron mobility within the absorption layer, reduced the electron–hole recombination rate, and decreased the cell’s series resistance, thereby leading to improved efficiency of the perovskite solar cell. This research not only introduces a novel approach to enhancing solar cell efficiency but also paves a new pathway for the application of phosphorene. Full article
(This article belongs to the Section Electronic Materials)
Show Figures

Figure 1

23 pages, 5282 KB  
Article
Bilayer TMDs for Future FETs: Carrier Dynamics and Device Implications
by Shoaib Mansoori, Edward Chen and Massimo Fischetti
Nanomaterials 2025, 15(19), 1526; https://doi.org/10.3390/nano15191526 - 5 Oct 2025
Viewed by 839
Abstract
Bilayer transition metal dichalcogenides (TMDs) are promising materials for next-generation field-effect transistors (FETs) due to their atomically thin structure and favorable transport properties. In this study, we employ density functional theory (DFT) to compute the electronic band structures and phonon dispersions of bilayer [...] Read more.
Bilayer transition metal dichalcogenides (TMDs) are promising materials for next-generation field-effect transistors (FETs) due to their atomically thin structure and favorable transport properties. In this study, we employ density functional theory (DFT) to compute the electronic band structures and phonon dispersions of bilayer WS2, WSe2, and MoS2, and the electron-phonon scattering rates using the EPW (electron-phonon Wannier) method. Carrier transport is then investigated within a semiclassical full-band Monte Carlo framework, explicitly including intrinsic electron-phonon scattering, dielectric screening, scattering with hybrid plasmon–phonon interface excitations (IPPs), and scattering with ionized impurities. Freestanding bilayers exhibit the highest mobilities, with hole mobilities reaching 2300 cm2/V·s in WS2 and 1300 cm2/V·s in WSe2. Using hBN as the top gate dielectric preserves or slightly enhances mobility, whereas HfO2 significantly reduces transport due to stronger IPP and remote phonon scattering. Device-level simulations of double-gate FETs indicate that series resistance strongly limits performance, with optimized WSe2 pFETs achieving ON currents of 820 A/m, and a 10% enhancement when hBN replaces HfO2. These results show the direct impact of first-principles electronic structure and scattering physics on device-level transport, underscoring the importance of material properties and the dielectric environment in bilayer TMDs. Full article
(This article belongs to the Special Issue First Principles Study of Two-Dimensional Materials)
Show Figures

Figure 1

12 pages, 8239 KB  
Article
Impact of Molecular π-Bridge Modifications on Triphenylamine-Based Donor Materials for Organic Photovoltaic Solar Cells
by Duvalier Madrid-Úsuga, Omar J. Suárez and Alfonso Portacio
Condens. Matter 2025, 10(4), 52; https://doi.org/10.3390/condmat10040052 - 25 Sep 2025
Viewed by 992
Abstract
This study presents a computational investigation into the design of triphenylamine-based donor chromophores incorporating 2-(1,1-dicyanomethylene)rhodanine as the acceptor unit. Three molecular architectures (System-1 to System-3) were developed by introducing distinct thiophene-derived π-bridges to modulate their electronic and optical characteristics for potential application [...] Read more.
This study presents a computational investigation into the design of triphenylamine-based donor chromophores incorporating 2-(1,1-dicyanomethylene)rhodanine as the acceptor unit. Three molecular architectures (System-1 to System-3) were developed by introducing distinct thiophene-derived π-bridges to modulate their electronic and optical characteristics for potential application in bulk heterojunction organic solar cells (OSCs). Geometrical optimizations were performed at the B3LYP/6-31+G(d,p) level, while excited-state and absorption properties were evaluated using TD-DFT with the CAM-B3LYP functional. Frontier orbital analysis revealed efficient charge transfer from donor to acceptor moieties, with System-3 showing the narrowest HOMO–LUMO gap (1.96 eV) and the lowest excitation energy (2.968 eV). Charge transport properties, estimated from reorganization energies, indicated that System-2 exhibited the most favorable balance for ambipolar transport, featuring the lowest electron reorganization energy (0.317 eV) and competitive hole mobility. Photovoltaic parameters calculated with PC61BM as acceptor predicted superior Voc, Jsc, and fill factor values for System-2, resulting in the highest theoretical power conversion efficiency (10.95%). These findings suggest that π-bridge engineering in triphenylamine-based systems can significantly enhance optoelectronic performance, offering promising donor materials for next-generation OSC devices. Full article
(This article belongs to the Section Condensed Matter Theory)
Show Figures

Figure 1

Back to TopTop