Multifunctional Aspects of Mechanical and Electromechanical Properties of Composites Based on Silicone Rubber for Piezoelectric Energy Harvesting Systems
Abstract
1. Introduction
2. Experimental Section
2.1. Materials and Methods
2.2. Preparation of Rubber Composites
2.3. Characterization Techniques
3. Results
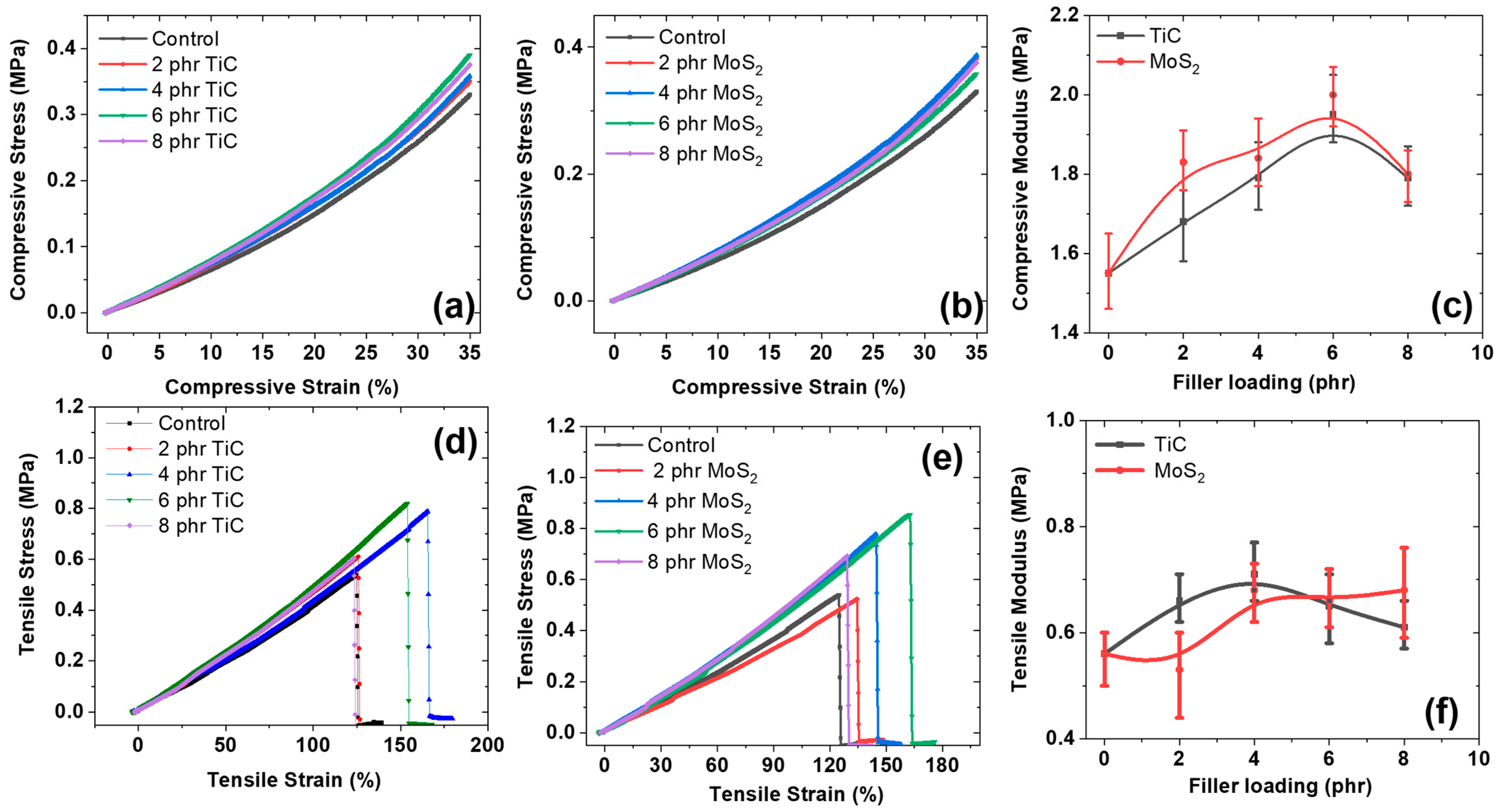
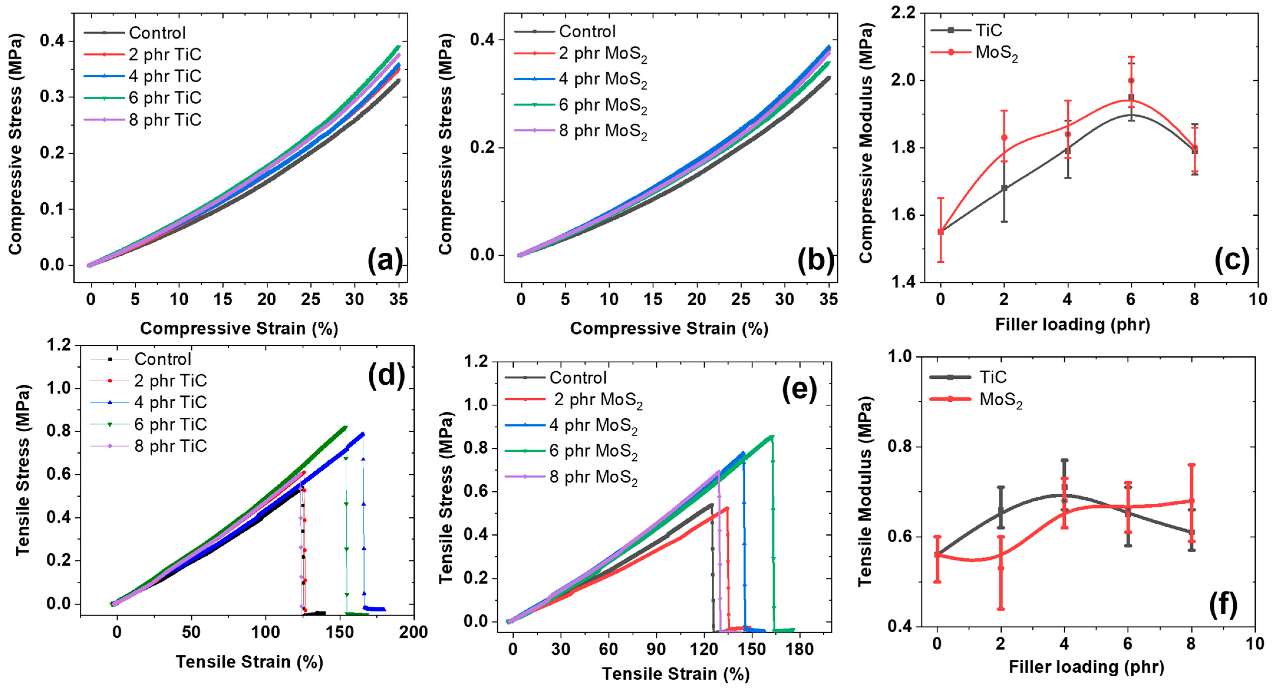
3.1. Mechanical Properties under Compressive and Tensile Strain
3.2. Mechanical Properties under Compressive Cyclic Loading
3.3. Electromechanical Properties under Compressive Cyclic Loading
3.4. Response Time of Composites
3.5. Mechanical and Electromechanical Stability Tests
3.6. SEM for Study of Filler Dispersion
3.7. Prediction of Modulus through Theoretical Modeling
3.8. Calculation of Reinforcing Factor and Reinforcing Efficiency
3.9. Real-Time Monitoring of Human Motion
4. Conclusions
Author Contributions
Funding
Institutional Review Board Statement
Data Availability Statement
Conflicts of Interest
References
- Strommer, B.; Battig, A.; Frasca, D.; Schulze, D.; Huth, C.; Bohning, M.; Schartel, B. Multifunctional property improvements by combining graphene and conventional fillers in chlorosulfonated polyethylene rub er composites. ACS Appl. Polym. Mater. 2022, 4, 1021–1034. [Google Scholar] [CrossRef]
- Rakesh, M.; Babu, B.R.N.; Prakash, A.P.G.; Prema, N.S.; Gowda, A.C.; Madhukar, B.S.; Kashimatt, M.G.V.; Pradeep, T.M.; Kumar, B.V.S.; Madhusudan, P. Fabrication of lead zirconate titanate-based polyvinylidene fluoride polymer nano-composites: Microcrystalline, morphological and electrical studies. J. Mater. Sci. Mater. Electron. 2023, 34, 372. [Google Scholar] [CrossRef]
- Zhang, C.; Sun, H.; Zhu, Q. Preparation and property enhancement of poly (Vinylidene Fluoride)(PVDF)/lead zirconate titanate (PZT) composite piezoelectric films. J. Electron. Mater. 2021, 50, 6426–6437. [Google Scholar] [CrossRef]
- Li, T.; Lee, P.S. Piezoelectric energy harvesting technology: From materials, structures, to applications. Small Struct. 2022, 3, 2100128. [Google Scholar] [CrossRef]
- Park, D.; Hong, J.-H.; Choi, D.; Kim, D.; Jung, W.H.; Yoon, S.S.; Kim, K.H.; An, S. Biocompatible and mechanically-reinforced tribopositive nanofiber mat for wearable and antifungal human kinetic-energy harvester based on wood-derived natural product. Nano Energy 2022, 96, 107091. [Google Scholar] [CrossRef]
- Manikkavel, A.; Kumar, V.; Park, S.S. Multifunctionality of MWCNT and TiC hybrid filler silicone composite for energy harvesting and strain sensing. Polym. Compos. 2024, 45, 6629–6643. [Google Scholar] [CrossRef]
- Kumar, V.; Alam, M.N.; Yewale, M.A.; Lee, D.J.; Park, S.S. Mimicking Self-Powered Piezoelectric Energy-Generating Behavior in Silicone Rubber Composites under Compressive and Tensile Strains. ACS Appl. Electron. Mater. 2024, 6, 1638–1650. [Google Scholar] [CrossRef]
- Kathavate, V.S.; Prasad, K.E.; Kiran, M.S.; Zhu, Y. Mechanical characterization of piezoelectric materials: A perspective on deformation behavior across different microstructural length scales. J. Appl. Phys. 2022, 132, 121103. [Google Scholar] [CrossRef]
- Irez, A.B.; Bayraktar, E.; Miskioglu, I. Fracture toughness analysis of epoxy-recycled rubber-based composite reinforced with graphene nanoplatelets for structural applications in automotive and aeronautics. Polymers 2020, 12, 448. [Google Scholar] [CrossRef]
- Fang, S.; Li, F.; Liu, J.; Zhang, L.; Wang, D.; Liu, B.; Wu, S.; Tang, Z.; Guo, B. Rubber-reinforced rubbers toward the combination of high reinforcement and low energy loss. Nano Energy 2021, 83, 105822. [Google Scholar] [CrossRef]
- Zhang, X.; Cai, L.; He, A.; Ma, H.; Li, Y.; Hu, Y.; Zhang, X.; Liu, L. Facile strategies for green tire tread with enhanced filler-matrix interfacial interactions and dynamic mechanical properties. Compos. Sci. Technol. 2021, 203, 108601. [Google Scholar] [CrossRef]
- Ruckdashel, R.R.; Khadse, N.; Park, J.H. Smart E-textiles: Overview of components and outlook. Sensors 2022, 22, 6055. [Google Scholar] [CrossRef] [PubMed]
- Ramegowda, P.C.; Ishihara, D.; Takata, R.; Niho, T.; Horie, T. Finite element analysis of a thin piezoelectric bimorph with a metal shim using solid direct-piezoelectric and shell inverse-piezoelectric coupling with pseudo direct-piezoelectric evaluation. Compos. Struct. 2020, 245, 112284. [Google Scholar] [CrossRef]
- Li, M.; Chen, L.; Li, Y.; Dai, X.; Jin, Z.; Zhang, Y.; Feng, W.; Yan, L.-T.; Cao, Y.; Wang, C. Superstretchable, yet stiff, fatigue-resistant ligament-like elastomers. Nat. Commun. 2022, 13, 2279. [Google Scholar] [CrossRef] [PubMed]
- Chen, L.; Liu, H.; Qi, H.; Chen, J. High-electromechanical performance for high-power piezoelectric applications: Fundamental, progress, and perspective. Prog. Mater. Sci. 2022, 127, 100944. [Google Scholar] [CrossRef]
- Chang, B.P.; Gupta, A.; Muthuraj, R.; Mekonnen, T.H. Bioresourced fillers for rubber composite sustainability: Current development and future opportunities. Green Chem. 2021, 23, 5337–5378. [Google Scholar] [CrossRef]
- Qin, H.; Lu, H.H.; Shen, X.Q.; Xin, Z.J.; Yang, B. Design, preparation and electromechanical characteristics analysis of piezoelectric 1-3-type composites with sandwich polymer structures. Sens. Actuators A Phys. 2024, 366, 115024. [Google Scholar] [CrossRef]
- Javadinasab Hormozabad, S.; Gutierrez Soto, M.; Adeli, H. Integrating structural control, health monitoring, and energy harvesting for smart cities. Expert Syst. 2021, 38, e12845. [Google Scholar] [CrossRef]
- Liu, Y.; Zhao, L.; Wang, L.; Zheng, H.; Li, D.; Avila, R.; Lai, K.W.C.; Wang, Z.; Xie, Z.; Zi, Y.; et al. Skin-Integrated Graphene-Embedded Lead Zirconate Titanate Rubber for Energy Harvesting and Mechanical Sensing. Adv. Mater. Technol. 2019, 4, 1900744. [Google Scholar] [CrossRef]
- Kumar, V.; Kumar, A.; Wu, R.-R.; Lee, D.-J. Room-temperature vulcanized silicone rubber/barium titanate–based high-performance nanocomposite for energy harvesting. Mater. Today Chem. 2020, 16, 100232. [Google Scholar] [CrossRef]
- Deng, H.-T.; Zhang, X.-R.; Wang, Z.-Y.; Wen, D.-L.; Ba, Y.-Y.; Kim, B.; Han, M.-D.; Zhang, H.-X.; Zhang, X.-S. Super-stretchable multi-sensing triboelectric nanogenerator based on liquid conductive composite. Nano Energy 2021, 83, 105823. [Google Scholar] [CrossRef]
- KChung, Y.; Xu, B.; Li, Z.; Liu, Y.; Han, J. Bioinspired ultra-stretchable dual-carbon conductive functional polymer fiber materials for health monitoring, energy harvesting and self-powered sensing. Chem. Eng. J. 2023, 454, 140384. [Google Scholar] [CrossRef]
- Kumar, V.; Kumar, A.; Chhatra, R.K.; Le, D.J. Studies on high performance rubber composites by incorporating titanium dioxide particles with different surface area and particle size. Nanofabrication 2022, 7, 104–115. [Google Scholar] [CrossRef]
- DIN 53 504; Testing of Rubber—Determination of Tensile Strength at Break, Tensile Stress at Yield, Elongation at Break and Stress Values in a Tensile Test. Deutsches Institut Fur Normung E.V.: Berlin, Germany, 2017.
- Mazzanti, V.; Malagutti, L.; Santoni, A.; Sbardella, F.; Calzolari, A.; Sarasini, F.; Mollica, F. Correlation between mechanical properties and processing conditions in rubber-toughened wood polymer composites. Polymers 2020, 12, 1170. [Google Scholar] [CrossRef]
- Han, R.; Wu, Y.; Quan, X.; Niu, K. Effects of crosslinking densities on mechanical properties of nitrile rubber composites in thermal oxidative aging environment. J. Appl. Polym. Sci. 2020, 137, 49076. [Google Scholar] [CrossRef]
- Roy, K.; Debnath, S.C.; Pongwisuthiruchte, A.; Potiyaraj, P. Recent advances of natural fibers based green rubber composites: Properties, current status, and future perspectives. J. Appl. Polym. Sci. 2021, 138, 50866. [Google Scholar] [CrossRef]
- Roshanaei, H.; Khodkar, F.; Alimardani, M. Contribution of filler–filler interaction and filler aspect ratio in rubber reinforcement by silica and mica. Iran. Polym. J. 2020, 29, 901–909. [Google Scholar] [CrossRef]
- Alam, M.N.; Kumar, V.; Jo, C.R.; Ryu, S.R.; Lee, D.J.; Park, S.S. Mechanical and magneto-mechanical properties of styrene-butadiene-rubber-based magnetorheological elastomers conferred by novel filler-polymer interactions. Compos. Sci. Technol. 2022, 229, 109669. [Google Scholar] [CrossRef]
- Maurya, P.; Kota, N.; Gibmeier, J.; Wanner, A.; Roy, S. Review on study of internal load transfer in metal matrix composites using diffraction techniques. Mater. Sci. Eng. A 2022, 840, 142973. [Google Scholar] [CrossRef]
- Tunnicliffe, L.B. Fatigue crack growth behavior of carbon black–reinforced natural rubber. Rubber Chem. Technol. 2021, 94, 494–514. [Google Scholar] [CrossRef]
- Bokobza, L. Elastomer Nanocomposites: Effect of Filler–Matrix and Filler–Filler Interactions. Polymers 2023, 15, 2900. [Google Scholar] [CrossRef]
- Fallahi, H.; Kaynan, O.; Asadi, A. Insights into the effect of fiber–matrix interphase physiochemical-mechanical properties on delamination resistance and fracture toughness of hybrid composites. Compos. Part A Appl. Sci. Manuf. 2023, 166, 107390. [Google Scholar] [CrossRef]
- Białkowska, A.; Bakar, M.; Kucharczyk, W.; Zarzyka, I. Hybrid epoxy nanocomposites: Improvement in mechanical properties and toughening mechanisms—A review. Polymers 2023, 15, 1398. [Google Scholar] [CrossRef]
- Rajak, D.K.; Pagar, D.D.; Menezes, P.L.; Linul, E. Fiber-reinforced polymer composites: Manufacturing, properties, and applications. Polymers 2019, 11, 1667. [Google Scholar] [CrossRef]
- Ramesh, M.; Rajeshkumar, L.N.; Srinivasan, N.; Kumar, D.V.; Balaji, D. Influence of filler material on properties of fiber-reinforced polymer composites: A review. e-Polymers 2022, 22, 898–916. [Google Scholar] [CrossRef]
- Pan, Z.; Lai, Y.; Wang, Y.; Duan, W.; Qiao, Y.; Liu, Y.; Song, C. Fatigue life prediction and effects of cerium oxide-filled vulcanized natural rubber on fatigue life under multiaxial loading. Fatigue Fract. Eng. Mater. Struct. 2021, 44, 3349–3362. [Google Scholar] [CrossRef]
- Parente, J.M.; Santos, P.; Valvez, S.; Silva, M.P.; Reis, P.N.B. Fatigue behaviour of graphene composites: An overview. Procedia Struct. Integr. 2020, 25, 282–293. [Google Scholar] [CrossRef]
- Kuteneva, S.V.; Gladkovsky, S.V.; Vichuzhanin, D.I.; Nedzvetsky, P.D. Microstructure and properties of layered metal/rubber composites subjected to cyclic and impact loading. Compos. Struct. 2022, 285, 115078. [Google Scholar] [CrossRef]
- Manikkavel, A.; Kumar, V.; Alam, M.N.; Kim, U.; Park, S.S. The electro-mechanical energy harvesting configurations in different modes from machine to self-powered wearable electronics. ACS Appl. Electron. Mater. 2023, 5, 5537–5554. [Google Scholar] [CrossRef]
- Kumar, V.; Lee, G.; Choi, J.; Lee, D.J. Studies on composites based on HTV and RTV silicone rubber and carbon nanotubes for sensors and actuators. Polymer 2020, 190, 122221. [Google Scholar] [CrossRef]
- Sriring, M.; Nimpaiboon, A.; Kumarn, S.; Higaki, K.; Higaki, Y.; Kojio, K.; Takahara, A.; Ho, C.C.; Sakdapipanich, J. Film formation process of natural rubber latex particles: Roles of the particle size and distribution of non-rubber species on film microstructure. Colloids Surf. A Physicochem. Eng. Asp. 2020, 592, 124571. [Google Scholar] [CrossRef]
- Yang, L.; Wang, L.; Guo, H.; Du, A. Compressive fatigue behavior of gum and filled sbr vulcanizates. Polymers 2021, 13, 1497. [Google Scholar] [CrossRef] [PubMed]
- Poddaeva, O.; Fedosova, A. Damping capacity of materials and its effect on the dynamic behavior of structures. Review. Energy Rep. 2021, 7, 299–307. [Google Scholar] [CrossRef]
- Zhou, Y.; Zhang, S.; Liu, X.; Yang, J. Monitoring bridge bearings based on rubber-based composite materials. Mater. Express 2024, 14, 869–876. [Google Scholar] [CrossRef]
- Kumar, A.; Ahmad, D.; Patra, K.; Hossain, M. Enhancement of electromechanical properties of natural rubber by adding barium titanate filler: An electro-mechanical study. J. Appl. Polym. Sci. 2021, 138, 50991. [Google Scholar] [CrossRef]
- Yang, D.; Yu, L.; Liang, Y.; Wei, Q.; Ni, Y.; Zhang, L. Enhanced electromechanical performance of natural rubber composites via constructing strawberry-like dielectric nanoparticles. ACS Appl. Polym. Mater. 2020, 2, 5621–5629. [Google Scholar] [CrossRef]
- Xu, X. Intelligent composite materials for use as sensors and actuators. In Composite Materials; Elsevier: Amsterdam, The Netherlands, 2021; pp. 465–487. [Google Scholar]
- Bocchetta, G.; Fiori, G.; Sciuto, S.A.; Scorza, A. Performance of smart materials-based instrumentation for force measurements in biomedical applications: A methodological review. Actuators 2023, 12, 261. [Google Scholar] [CrossRef]
- Huang, Z.; Yuan, Z.; Sun, G.; Sun, Y.; Hu, J.; He, J. Thickness effect on threshold electric field of ZnO microvaristors/silicone rubber composite with nonlinear conductivity. Compos. Part A Appl. Sci. Manuf. 2022, 158, 106969. [Google Scholar] [CrossRef]
- Azam, S.; Kumar, V.; Park, S.S. Electro-bio-mechanical behavior of graphite nanoplatelets–silicone rubber-based composites for wearable electronic systems. J. Appl. Polym. Sci. 2024, 141, e55387. [Google Scholar] [CrossRef]
- Dubey, K.A.; Mondal, R.K.; Bhardwaj, Y.K. Graphene assisted enhancement in the cyclic electromechanical properties of polyolefin based multiphasic conducting nano carbon black nanocomposites. Radiat. Phys. Chem. 2024, 214, 111308. [Google Scholar] [CrossRef]
- Kumar, V.; Alam, M.N.; Yewale, M.A.; Park, S.S. Modulating the Configurations of “Gel-Type” Soft Silicone Rubber for Electro-Mechanical Energy Generation Behavior in Wearable Electronics. Gels 2023, 9, 686. [Google Scholar] [CrossRef] [PubMed]
- Zabek, D.; Pullins, R.; Pearson, M.; Grzebielec, A.; Skoczkowski, T. Piezoelectric-silicone structure for vibration energy harvesting: Experimental testing and modelling. Smart Mater. Struct. 2021, 30, 035002. [Google Scholar] [CrossRef]
- Chen, W.; Zheng, Q.; Lv, Y.A.; Chen, Y.; Fan, Q.; Zhou, X.; Li, H.; Yu, Q.; Liu, H. Piezoelectric energy harvesting and dissipating behaviors of polymer-based piezoelectric composites for nanogenerators and dampers. Chem. Eng. J. 2023, 465, 142755. [Google Scholar] [CrossRef]
- Kurian, A.S.; Souri, H.; Mohan, V.B.; Bhattacharyya, D. Highly stretchable strain sensors based on polypyrrole-silicone rubber composites for human motion detection. Sens. Actuators A Phys. 2020, 312, 112131. [Google Scholar] [CrossRef]
- Dolui, T.; Natarajan, T.S.; Aiswarya, S.; Chanda, J.; Ghosh, P.; Mukhopadhyay, R.; Wießner, S.; Heinrich, G.; Das, A.; Banerjee, S.S. Stimuli–responsive Mechanoadaptive elastomeric composite materials: Challenges, opportunities, and new approaches. Adv. Eng. Mater. 2023, 25, 2300584. [Google Scholar] [CrossRef]
- Wang, L.; Du, M.; Shan, G.; Lu, Q.; Zuo, M.; Song, Y.; Zheng, Q. Nonlinear viscoelastic behavior and their time-temperature superposition for filled styrene butadiene rubber compounds and vulcanizates. Compos. Sci. Technol. 2022, 230, 109739. [Google Scholar] [CrossRef]
- Wan, B.; Yang, Y.; Guo, R.; Fan, Z.; Deng, P.; Zhang, S. Effect of Vulcanization on the Electro-Mechanical Sensing Characteristics of Multi-Walled Carbon Nanotube/Silicone Rubber Composites. Polymers 2023, 15, 1412. [Google Scholar] [CrossRef] [PubMed]
- Krainoi, A.; Kummerlöwe, C.; Nakaramontri, Y.; Wisunthorn, S.; Vennemann, N.; Pichaiyut, S.; Kiatkamjornwong, S.; Nakason, C. Novel natural rubber composites based on silver nanoparticles and carbon nanotubes hybrid filler. Polym. Compos. 2020, 41, 443–458. [Google Scholar] [CrossRef]
- Kumar, V.; Alam, M.N.; Manikkavel, A.; Song, M.; Lee, D.J.; Park, S.S. Silicone rubber composites reinforced by carbon nanofillers and their hybrids for various applications: A review. Polymers 2021, 13, 2322. [Google Scholar] [CrossRef]
- Banerjee, P.S.; Rana, D.K.; Banerjee, S.S. Influence of microstructural alterations of liquid metal and its interfacial interactions with rubber on multifunctional properties of soft composite materials. Adv. Colloid Interface Sci. 2022, 308, 102752. [Google Scholar] [CrossRef]
- Wang, J.; Wang, W.; Zhang, C.; Yu, W. The electro-mechanical behavior of conductive filler reinforced polymer composite undergone large deformation: A combined numerical-analytical study. Compos. Part B Eng. 2018, 133, 185–192. [Google Scholar] [CrossRef]
- Barrera, C.S.; Tardiff, J.L. Static and dynamic properties of eggshell filled natural rubber composites for potential application in automotive vibration isolation and damping. J. Clean. Prod. 2022, 353, 131656. [Google Scholar] [CrossRef]
- Kumar, V.; Kumar, A.; Han, S.S.; Park, S.S. RTV silicone rubber composites reinforced with carbon nanotubes, titanium-di-oxide and their hybrid: Mechanical and piezoelectric actuation performance. Nano Mater. Sci. 2021, 3, 233–240. [Google Scholar] [CrossRef]
- Zhong, J.; Luo, Z.; Zhang, H.; Ji, Y.; Wang, X.; Gong, W. Influence of interfacial property param of short fiber/rubber composites on fatigue behavior. Int. J. Fatigue 2023, 167, 107312. [Google Scholar] [CrossRef]
- Wang, J.; Zhang, Y.; Ding, J.; Xu, Z.; Zhang, J.; He, Q. Preparation strategy and evaluation method of durable superhydrophobic rubber composites. Adv. Colloid Interface Sci. 2022, 299, 102549. [Google Scholar] [CrossRef] [PubMed]
- Qian, M.; Zou, B.; Shi, Y.; Zhang, Y.; Wang, X.; Huang, W.; Zhu, Y. Enhanced mechanical and dielectric properties of natural rubber using sustainable natural hybrid filler. Appl. Surf. Sci. Adv. 2021, 6, 100171. [Google Scholar] [CrossRef]
- Shimizu, T.; Kishi, R.; Kobashi, K.; Morimoto, T.; Okazaki, T.; Yamada, T.; Hata, K. Improved thermal stability of silicone rubber nanocomposites with low filler content, achieved by well-dispersed carbon nanotubes. Compos. Commun. 2020, 22, 100482. [Google Scholar] [CrossRef]
- Alam, M.N.; Kumar, V.; Lee, D.J.; Choi, J. Synergistically toughened silicone rubber nanocomposites using carbon nanotubes and molybdenum disulfide for stretchable strain sensors. Compos. Part B Eng. 2023, 259, 110759. [Google Scholar] [CrossRef]
- Tian, Q.; Zhang, C.; Tang, Y.; Liu, Y.; Niu, L.; Ding, T.; Li, X.; Zhang, Z. Preparation of hexamethyl disilazane-surface functionalized nano-silica by controlling surface chemistry and its “agglomeration-collapse” behavior in solution polymerized styrene butadiene rubber/butadiene rubber composites. Compos. Sci. Technol. 2021, 201, 108482. [Google Scholar] [CrossRef]
- Chen, J.; Liu, J.; Peng, Z.; Yao, Y.; Chen, S. The microscopic mechanism of size effect in silica-particle reinforced silicone rubber composites. Eng. Fract. Mech. 2021, 255, 107945. [Google Scholar] [CrossRef]
- Liu, H.; Yang, L.; Liu, X.; Cao, J.P.; Zhang, J.; Luo, Z.; Gao, Z. Silicon dioxide nanoparticle decorated graphene with excellent dispersibility in natural rubber composites via physical mixing for application in green tires. Compos. Part B Eng. 2023, 258, 110700. [Google Scholar] [CrossRef]
- Ho, N.X.; Le, T.T.; Le, M.V. Development of artificial intelligence based model for the prediction of Young’s modulus of polymer/carbon-nanotubes composites. Mech. Adv. Mater. Struct. 2022, 29, 5965–5978. [Google Scholar] [CrossRef]
- Fukahori, Y.; Hon, A.A.; Jha, V.; Busfield, J.J.C. Modified guth–gold equation for carbon black–filled rubbers. Rubber Chem. Technol. 2013, 86, 218–232. [Google Scholar] [CrossRef]
- Wu, Y.P.; Jia, Q.X.; Yu, D.S.; Zhang, L.Q. Modeling Young’s modulus of rubber–clay nanocomposites using composite theories. Polym. Test. 2004, 23, 903–909. [Google Scholar] [CrossRef]
- Alimardani, M.; Razzaghi-Kashani, M.; Ghoreishy, M.H.R. Prediction of mechanical and fracture properties of rubber composites by microstructural modeling of polymer-filler interfacial effects. Mater. Des. 2017, 115, 348–354. [Google Scholar] [CrossRef]
- Han, Y.; Zheng, H.; Liu, Y.; Wang, M.; Wang, J.; Xie, Q.; Jing, S.; Qin, X.; Zhang, L. Synergistic Development of Natural Rubber/Butyl Rubber Composites for Improved Interfacial Bonding and Enhanced Shock-Absorbing Capabilities. ACS Omega 2024, 9, 13897–13905. [Google Scholar] [CrossRef] [PubMed]
- Low, D.Y.S.; Supramaniam, J.; Soottitantawat, A.; Charinpanitkul, T.; Tanthapanichakoon, W.; Tan, K.W.; Tang, S.Y. Recent developments in nanocellulose-reinforced rubber matrix composites: A review. Polymers 2021, 13, 550. [Google Scholar] [CrossRef]
- Kaliyathan, A.V.; Rane, A.V.; Huskic, M.; Kunaver, M.; Kalarikkal, N.; Rouxel, D.; Thomas, S. Carbon black distribution in natural rubber/butadiene rubber blend composites: Distribution driven by morphology. Compos. Sci. Technol. 2020, 200, 108484. [Google Scholar] [CrossRef]
- Kapgate, B.P.; Das, C. Reinforcing efficiency and compatibilizing effect of sol–gel derived in situ silica for natural rubber/chloroprene rubber blends. RSC Adv. 2014, 4, 58816–58825. [Google Scholar] [CrossRef]
- Martone, A.; Formicola, C.; Giordano, M.; Zarrelli, M. Reinforcement efficiency of multi-walled carbon nanotube/epoxy nano composites. Compos. Sci. Technol. 2010, 70, 1154–1160. [Google Scholar] [CrossRef]
- He, M.; Du, W.; Feng, Y.; Li, S.; Wang, W.; Zhang, X.; Yu, A.; Wan, L.; Zhai, J. Flexible and stretchable triboelectric nanogenerator fabric for biomechanical energy harvesting and self-powered dual-mode human motion monitoring. Nano Energy 2021, 86, 106058. [Google Scholar] [CrossRef]
- Liu, Y.; Khanbareh, H.; Halim, M.A.; Feeney, A.; Zhang, X.; Heidari, H.; Ghannam, R. Piezoelectric energy harvesting for self-powered wearable upper limb applications. Nano Sel. 2021, 2, 1459–1479. [Google Scholar] [CrossRef]
- Yu, H.; Li, N.; Zhao, N. How far are we from achieving self-powered flexible health monitoring systems: An energy perspective. Adv. Energy Mater. 2021, 11, 2002646. [Google Scholar] [CrossRef]
- Pan, H.; Qi, L.; Zhang, Z.; Yan, J. Kinetic energy harvesting technologies for applications in land transportation: A comprehensive review. Appl. Energy 2021, 286, 116518. [Google Scholar] [CrossRef]











| Sample | Amount of SR (phr) | Amount of TiC (phr) | Amount of MoS2 (phr) | Amount of Curing Agent (phr) |
|---|---|---|---|---|
| Control * | 100 | - | - | 2 |
| TiC-based composites | 100 | 2, 4, 6, 8 ** | - | 2 |
| MoS2-based composites | 100 | - | 2, 4, 6, 8 ** | 2 |
| Sample Details | Compressive Modulus (MPa) | Tensile Modulus (MPa) | Tensile Strength (MPa) | Fracture Strain (%) |
|---|---|---|---|---|
| Control | 1.55 ± 0.08 | 0.56 ± 0.03 | 0.54 ± 0.04 | 133 ± 7 |
| TiC—2 phr | 1.68 ± 0.09 | 0.66 ± 0.05 | 0.61 ± 0.05 | 125 ± 6 |
| TiC—4 phr | 1.79 ± 0.08 | 0.71 ± 0.07 | 0.78 ± 0.05 | 165 ± 11 |
| TiC—6 phr | 1.95 ± 0.07 | 0.65 ± 0.05 | 0.82 ± 0.07 | 153 ± 9 |
| TiC—8 phr | 1.79 ± 0.07 | 0.61 ± 0.05 | 0.61 ± 0.06 | 123 ± 6 |
| MoS2—2 phr | 1.83 ± 0.09 | 0.53 ± 0.04 | 0.52 ± 0.04 | 139 ± 8 |
| MoS2—4 phr | 1.85 ± 0.08 | 0.68 ± 0.05 | 0.74 ± 0.07 | 144 ± 8 |
| MoS2—6 phr | 2.02 ± 0.09 | 0.66 ± 0.04 | 0.85 ± 0.09 | 165 ± 12 |
| MoS2—8 phr | 1.8 ± 0.07 | 0.68 ± 0.04 | 0.69 ± 0.07 | 129 ± 7 |
Disclaimer/Publisher’s Note: The statements, opinions and data contained in all publications are solely those of the individual author(s) and contributor(s) and not of MDPI and/or the editor(s). MDPI and/or the editor(s) disclaim responsibility for any injury to people or property resulting from any ideas, methods, instructions or products referred to in the content. |
© 2024 by the authors. Licensee MDPI, Basel, Switzerland. This article is an open access article distributed under the terms and conditions of the Creative Commons Attribution (CC BY) license (https://creativecommons.org/licenses/by/4.0/).
Share and Cite
Kumar, V.; Alam, M.N.; Yewale, M.A.; Park, S.-S. Multifunctional Aspects of Mechanical and Electromechanical Properties of Composites Based on Silicone Rubber for Piezoelectric Energy Harvesting Systems. Polymers 2024, 16, 2058. https://doi.org/10.3390/polym16142058
Kumar V, Alam MN, Yewale MA, Park S-S. Multifunctional Aspects of Mechanical and Electromechanical Properties of Composites Based on Silicone Rubber for Piezoelectric Energy Harvesting Systems. Polymers. 2024; 16(14):2058. https://doi.org/10.3390/polym16142058
Chicago/Turabian StyleKumar, Vineet, Md. Najib Alam, Manesh A. Yewale, and Sang-Shin Park. 2024. "Multifunctional Aspects of Mechanical and Electromechanical Properties of Composites Based on Silicone Rubber for Piezoelectric Energy Harvesting Systems" Polymers 16, no. 14: 2058. https://doi.org/10.3390/polym16142058
APA StyleKumar, V., Alam, M. N., Yewale, M. A., & Park, S.-S. (2024). Multifunctional Aspects of Mechanical and Electromechanical Properties of Composites Based on Silicone Rubber for Piezoelectric Energy Harvesting Systems. Polymers, 16(14), 2058. https://doi.org/10.3390/polym16142058

