Novel High-Performance Functionalized and Grafted Bio-Based Chitosan Adsorbents for the Efficient and Selective Removal of Toxic Heavy Metals from Contaminated Water
Abstract
1. Introduction
2. Materials and Methods
2.1. Materials
2.2. Methodology
2.2.1. Synthesis of Maleic Anhydride-Functionalized Chitosan (CS_MA)
2.2.2. Chitosan Beads Crosslinked with Glutaraldehyde and Grafted with Methyl Methacrylate (CS_MMA)
2.2.3. Characterization of the Modified Chitosan Beads
2.2.4. Removal of Ni(II), Pb(II), Cd(II), and Cr(VI) Ions
2.2.5. Equilibrium Studies
2.2.6. Kinetic Modeling
2.2.7. Validating the Effect of pH
2.2.8. Statistical Analysis
3. Results and Discussion
3.1. Chemical and Physical Characterization
3.1.1. SEM Imaging
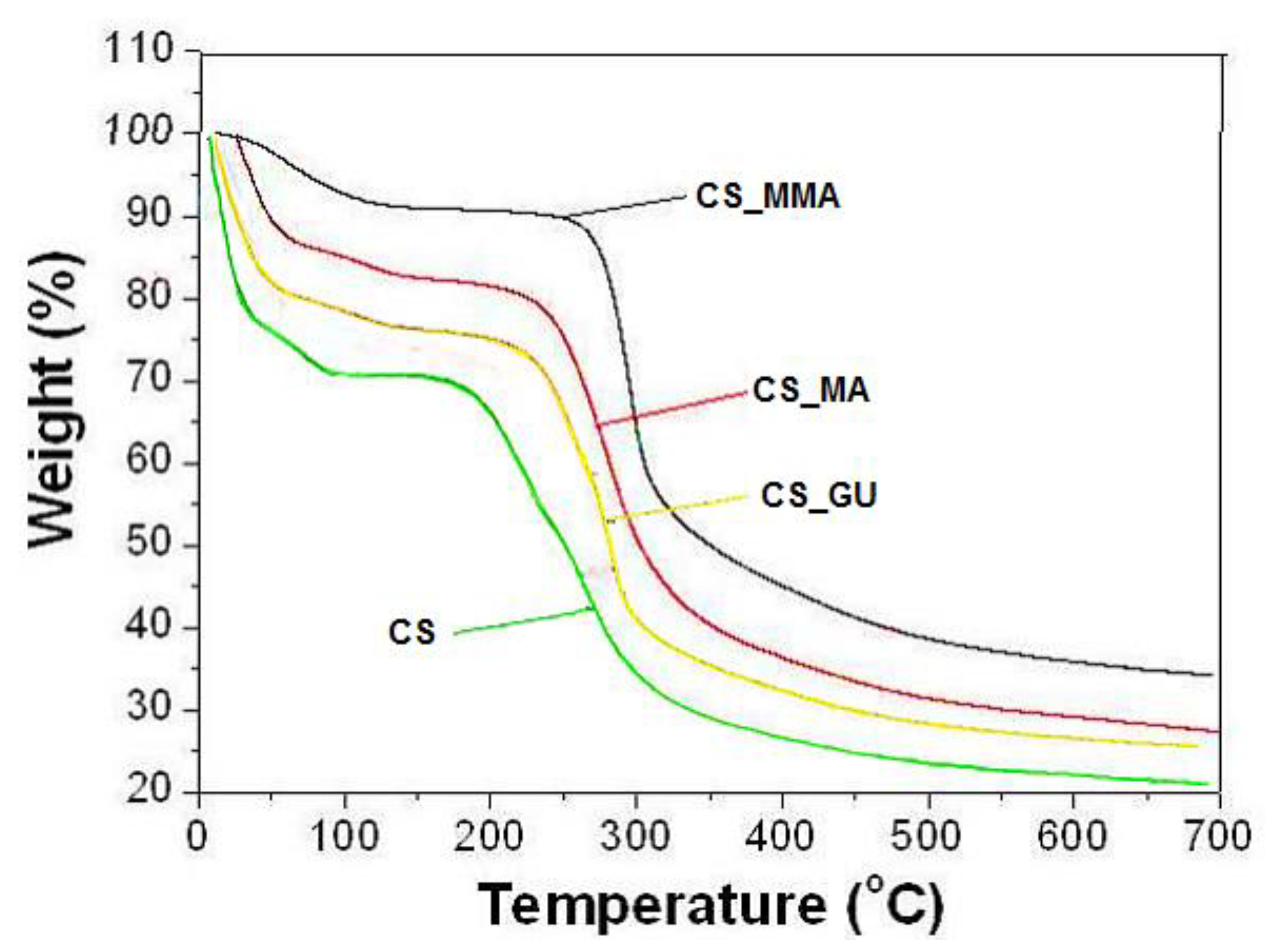
3.1.2. TGA
3.1.3. FTIR
3.2. Contaminant Removal under Various Operating Conditions
3.2.1. Impact of the Operating Temperature on qe and R%
3.2.2. Impact of the Adsorbent Dose on qe and R%
3.2.3. Impact of the Initial Metal Ion Concentration on qe and R%
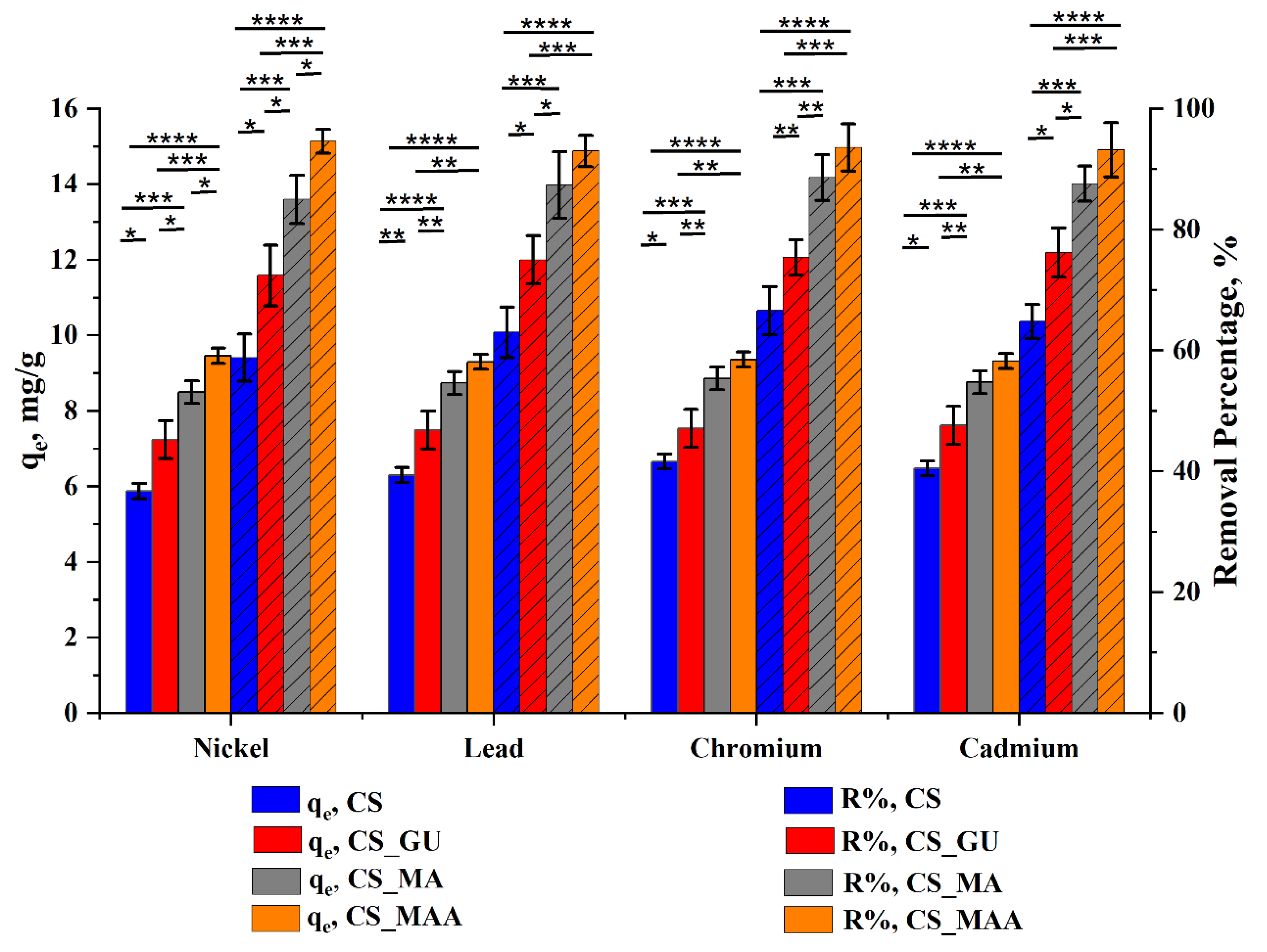
3.2.4. Ultimate Adsorption Condition and Statistical Analysis
3.3. Thermodynamic Analysis of the Adsorption Process
3.4. Kinetic Study of the Adsorption of the Metal Ions
3.5. Influence of pH on Metal Ion Adsorption and the Adsorption Mechanism
3.6. Regeneration
4. Conclusions
Supplementary Materials
Author Contributions
Funding
Institutional Review Board Statement
Informed Consent Statement
Data Availability Statement
Conflicts of Interest
References
- Fei, Y.; Hu, Y.H. Design, Synthesis, and Performance of Adsorbents for Heavy Metal Removal from Wastewater: A Review. J. Mater. Chem. A 2022, 10, 1047–1085. [Google Scholar] [CrossRef]
- El-Sayed, M.M.H.; Elsayed, R.E.; Attia, A.; Farghal, H.H.; Azzam, R.A.; Madkour, T.M. Novel Nanoporous Membranes of Bio-Based Cellulose Acetate, Poly(Lactic Acid) and Biodegradable Polyurethane in-Situ Impregnated with Catalytic Cobalt Nanoparticles for the Removal of Methylene Blue and Congo Red Dyes from Wastewater. Carbohydr. Polym. Technol. Appl. 2021, 2, 100123. [Google Scholar] [CrossRef]
- Ali, H.; Khan, E.; Ilahi, I. Environmental Chemistry and Ecotoxicology of Hazardous Heavy Metals: Environmental Persistence, Toxicity, and Bioaccumulation. J. Chem. 2019, 2019, 6730305. [Google Scholar] [CrossRef]
- Kim, J.-J.; Kim, Y.-S.; Kumar, V. Heavy Metal Toxicity: An Update of Chelating Therapeutic Strategies. J. Trace Elem. Med. Biol. 2019, 54, 226–231. [Google Scholar] [CrossRef] [PubMed]
- Shrestha, R.; Ban, S.; Devkota, S.; Sharma, S.; Joshi, R.; Tiwari, A.P.; Kim, H.Y.; Joshi, M.K. Technological Trends in Heavy Metals Removal from Industrial Wastewater: A Review. J. Environ. Chem. Eng. 2021, 9, 105688. [Google Scholar] [CrossRef]
- Cotruvo, J.A. WHO Guidelines for Drinking-Water Quality: Second Addendum. World Health Organ. Press 2008, 1, 17–19. [Google Scholar]
- Safiur Rahman, M.; Khan, M.D.H.; Jolly, Y.N.; Kabir, J.; Akter, S.; Salam, A. Assessing Risk to Human Health for Heavy Metal Contamination through Street Dust in the Southeast Asian Megacity: Dhaka, Bangladesh. Sci. Total Environ. 2019, 660, 1610–1622. [Google Scholar] [CrossRef] [PubMed]
- Dąbrowski, A.; Hubicki, Z.; Podkościelny, P.; Robens, E. Selective Removal of the Heavy Metal Ions from Waters and Industrial Wastewaters by Ion-Exchange Method. Chemosphere 2004, 56, 91–106. [Google Scholar] [CrossRef]
- Parambadath, S.; Mathew, A.; Barnabas, M.J.; Kim, S.Y.; Ha, C.-S. Concentration-Dependant Selective Removal of Cr(III), Pb(II) and Zn(II) from Aqueous Mixtures Using 5-Methyl-2-Thiophenecarboxaldehyde Schiff Base-Immobilised SBA-15. J. Sol-Gel Sci. Technol. 2016, 79, 426–439. [Google Scholar] [CrossRef]
- Beltrán Heredia, J.; Sánchez Martín, J. Removing Heavy Metals from Polluted Surface Water with a Tannin-Based Flocculant Agent. J. Hazard. Mater. 2009, 165, 1215–1218. [Google Scholar] [CrossRef]
- Zhang, Q.; Ye, X.; Li, H.; Chen, D.; Xiao, W.; Zhao, S.; Xiong, R.; Li, J. Cumulative Effects of Pyrolysis Temperature and Process on Properties, Chemical Speciation, and Environmental Risks of Heavy Metals in Magnetic Biochar Derived from Coagulation-Flocculation Sludge of Swine Wastewater. J. Environ. Chem. Eng. 2020, 8, 104472. [Google Scholar] [CrossRef]
- Raval, N.P.; Shah, P.U.; Shah, N.K. Adsorptive Removal of Nickel(II) Ions from Aqueous Environment: A Review. J. Environ. Manage. 2016, 179, 1–20. [Google Scholar] [CrossRef]
- Gu, J.; Liu, H.; Wang, S.; Zhang, M.; Liu, Y. An Innovative Anaerobic MBR-Reverse Osmosis-Ion Exchange Process for Energy-Efficient Reclamation of Municipal Wastewater to NEWater-like Product Water. J. Clean. Prod. 2019, 230, 1287–1293. [Google Scholar] [CrossRef]
- Wang, M.; Yao, H.; Zhang, L.; Zhou, X. Synthesis of Highly-Efficient Photocatalyst for Visible- Light-Driven Hydrogen Evolution by Recycling of Heavy Metal Ions in Wastewater. J. Hazard. Mater. 2020, 383, 121149. [Google Scholar] [CrossRef] [PubMed]
- Dutta, K.; De, S. Aromatic Conjugated Polymers for Removal of Heavy Metal Ions from Wastewater: A Short Review. Environ. Sci. Water Res. Technol. 2017, 3, 793–805. [Google Scholar] [CrossRef]
- Chai, W.S.; Cheun, J.Y.; Kumar, P.S.; Mubashir, M.; Majeed, Z.; Banat, F.; Ho, S.-H.; Show, P.L. A Review on Conventional and Novel Materials towards Heavy Metal Adsorption in Wastewater Treatment Application. J. Clean. Prod. 2021, 296, 126589. [Google Scholar] [CrossRef]
- Madkour, T.M.; Mark, J.E. Elastomeric properties of poly (dimethylsiloxane) networks having bimodal and trimodal distributions of network chain lengths. Macromol. Rep. 1994, 31, 153–160. [Google Scholar]
- Vijaya, Y.; Popuri, S.R.; Boddu, V.M.; Krishnaiah, A. Modified Chitosan and Calcium Alginate Biopolymer Sorbents for Removal of Nickel (II) through Adsorption. Carbohydr. Polym. 2008, 72, 261–271. [Google Scholar] [CrossRef]
- Keshvardoostchokami, M.; Babaei, L.; Zamani, A.A.; Parizanganeh, A.H.; Piri, F. Synthesized Chitosan/ Iron Oxide Nanocomposite and Shrimp Shell in Removal of Nickel, Cadmium and Lead from Aqueous Solution. Glob. J. Environ. Sci. Manag. 2017, 3, 267–278. [Google Scholar] [CrossRef]
- Khanniri, E.; Yousefi, M.; Mortazavian, A.M.; Khorshidian, N.; Sohrabvandi, S.; Arab, M.; Koushki, M.R. Effective Removal of Lead (II) Using Chitosan and Microbial Adsorbents: Response Surface Methodology (RSM). Int. J. Biol. Macromol. 2021, 178, 53–62. [Google Scholar] [CrossRef]
- Sakti, S.C.; Narita, Y.; Sasaki, T.; Tanaka, S. A Novel Pyridinium Functionalized Magnetic Chitosan with PH-Independent and Rapid Adsorption Kinetics for Magnetic Separation of Cr(VI). J. Environ. Chem. Eng. 2015, 3, 1953–1961. [Google Scholar] [CrossRef]
- Li, X.; Zhou, H.; Wu, W.; Wei, S.; Xu, Y.; Kuang, Y. Studies of Heavy Metal Ion Adsorption on Chitosan/Sulfydryl-Functionalized Graphene Oxide Composites. J. Colloid Interface Sci. 2015, 448, 389–397. [Google Scholar] [CrossRef]
- Shankar, P.S.; Gomathi, T.G.T.; Vijayalakshmi, K.V.K.; Sudha, P.N.S.P.N. Adsorption of Chromium (Vi) from Aqueous Solution Using Crosslinked Chitosan Graft Polyacrylonitrile Copolymer. Indian J. Appl. Res. 2011, 4, 62–65. [Google Scholar] [CrossRef]
- Bal, A.; Özkahraman, B.; Acar, I.; Özyürek, M.; Güçlü, G. Study on Adsorption, Regeneration, and Reuse of Crosslinked Chitosan Graft Copolymers for Cu(II) Ion Removal from Aqueous Solutions. Desalin. Water Treat. 2014, 52, 3246–3255. [Google Scholar] [CrossRef]
- Madkour, T.M.; Hamdi, M.S. Elastomers with two crosslinking systems of different lengths viewed as bimodal networks. J. Appl. Polym. Sci. 1996, 61, 1239–1244. [Google Scholar] [CrossRef]
- SiKhan, S.; Wong, A.; Zanoni, M.V.B.; Sotomayor, M.D.P.T. Electrochemical sensors based on biomimetic magnetic molecularly imprinted polymer for selective quantification of methyl green in environmental samples. Mater. Sci. Eng. C 2019, 103, 109825. [Google Scholar]
- Desta, M.B. Batch Sorption Experiments: Langmuir and Freundlich Isotherm Studies for the Adsorption of Textile Metal Ions onto Teff Straw (Eragrostis Tef) Agricultural Waste. J. Thermodyn. 2013, 2013, 375830. [Google Scholar] [CrossRef]
- Abd Al-Ghani, M.M.; Azzam, R.A.; Madkour, T.M. Design and Development of Enhanced Antimicrobial Breathable Biodegradable Polymeric Films for Food Packaging Applications. Polymers 2021, 13, 3527. [Google Scholar] [CrossRef] [PubMed]
- Pholosi, A.; Naidoo, E.B.; Ofomaja, A.E. Intraparticle Diffusion of Cr(VI) through Biomass and Magnetite Coated Biomass: A Comparative Kinetic and Diffusion Study. South Afr. J. Chem. Eng. 2020, 32, 39–55. [Google Scholar] [CrossRef]
- Kyzas, G.Z.; Siafaka, P.I.; Lambropoulou, D.A.; Lazaridis, N.K.; Bikiaris, D.N. Poly(itaconic acid)-Grafted Chitosan Adsorbents with Different Cross-Linking for Pb(II) and Cd(II) Uptake. Langmuir 2014, 30, 120–131. [Google Scholar] [CrossRef]
- Corazzari, I.; Nisticò, R.; Turci, F.; Faga, M.G.; Franzoso, F.; Tabasso, S.; Magnacca, G. Advanced Physico-Chemical Characterization of Chitosan by Means of TGA Coupled on-Line with FTIR and GCMS: Thermal Degradation and Water Adsorption Capacity. Polym. Degrad. Stab. 2015, 112, 1–9. [Google Scholar] [CrossRef]
- Beppu, M.M.; Vieira, R.S.; Aimoli, C.G.; Santana, C.C. Crosslinking of Chitosan Membranes Using Glutaraldehyde: Effect on Ion Permeability and Water Absorption. J. Memb. Sci. 2007, 301, 126–130. [Google Scholar] [CrossRef]
- Mauricio-Sánchez, R.A.; Salazar, R.; Luna-Bárcenas, J.G.; Mendoza-Galván, A. FTIR Spectroscopy Studies on the Spontaneous Neutralization of Chitosan Acetate Films by Moisture Conditioning. Vib. Spectrosc. 2018, 94, 1–6. [Google Scholar] [CrossRef]
- Martínez-Mejía, G.; Vázquez-Torres, N.A.; Castell-Rodríguez, A.; del Río, J.M.; Corea, M.; Jiménez-Juárez, R. Synthesis of New Chitosan-Glutaraldehyde Scaffolds for Tissue Engineering Using Schiff Reactions. Colloids Surf. A Physicochem. Eng. Asp. 2019, 579, 123658. [Google Scholar] [CrossRef]
- Madkour, T.M.; Mark, J.E. Simulations on crystallization in stereoblock poly (propylene). Idealized structures showing the effects of atactic block length. Macromol. Theory Simul. 1998, 7, 69–77. [Google Scholar] [CrossRef]
- Jaiswal, S.; Dutta, P.K.; Kumar, S.; Koh, J.; Pandey, S. Methyl Methacrylate Modified Chitosan: Synthesis, Characterization and Application in Drug and Gene Delivery. Carbohydr. Polym. 2019, 211, 109–117. [Google Scholar] [CrossRef] [PubMed]
- Lu, Y.; Wang, Z.; Ouyang, X.; Ji, C.; Liu, Y.; Huang, F.; Yang, L.-Y. Fabrication of Cross-Linked Chitosan Beads Grafted by Polyethylenimine for Efficient Adsorption of Diclofenac Sodium from Water. Int. J. Biol. Macromol. 2020, 145, 1180–1188. [Google Scholar] [CrossRef]
- Sutirman, Z.A.; Sanagi, M.M.; Abd Karim, K.J.; Wan Ibrahim, W.A. Preparation of Methacrylamide-Functionalized Crosslinked Chitosan by Free Radical Polymerization for the Removal of Lead Ions. Carbohydr. Polym. 2016, 151, 1091–1099. [Google Scholar] [CrossRef] [PubMed]
- Bayomie, O.S.; Kandeel, H.; Shoeib, T.; Yang, H.; Youssef, N.; El-Sayed, M.M.H. Novel Approach for Effective Removal of Methylene Blue Dye from Water Using Fava Bean Peel Waste. Sci. Rep. 2020, 10, 7824. [Google Scholar] [CrossRef]
- Kanwal, A.; Bhatti, H.N.; Iqbal, M.; Noreen, S. Basic Dye Adsorption onto Clay/MnFe2O4 Composite: A Mechanistic Study. Water Environ. Res. 2017, 89, 301–311. [Google Scholar] [CrossRef]
- Ge, H.; Hua, T.; Wang, J. Preparation and Characterization of Poly (Itaconic Acid)-Grafted Crosslinked Chitosan Nanoadsorbent for High Uptake of Hg2+ and Pb2+. Int. J. Biol. Macromol. 2017, 95, 954–961. [Google Scholar] [CrossRef] [PubMed]
- Mohammad, S.G.; El-Sayed, M.M.H. Removal of Imidacloprid Pesticide Using Nanoporous Activated Carbons Produced via Pyrolysis of Peach Stone Agricultural Wastes. Chem. Eng. Commun. 2021, 208, 1069–1080. [Google Scholar] [CrossRef]
- Kumar, P.; Prasad, B.; Mishra, I.M.; Chand, S. Decolorization and COD Reduction of Dyeing Wastewater from a Cotton Textile Mill Using Thermolysis and Coagulation. J. Hazard. Mater. 2008, 153, 635–645. [Google Scholar] [CrossRef] [PubMed]
- Gupta, A.; Chauhan, V.S.; Sankararamakrishnan, N. Preparation and Evaluation of Iron–Chitosan Composites for Removal of As(III) and As(V) from Arsenic Contaminated Real Life Groundwater. Water Res. 2009, 43, 3862–3870. [Google Scholar] [CrossRef] [PubMed]













| CS System | Thermodynamic Parameters for Nickel Ion Adsorption | Thermodynamic Parameters for Lead Ion Adsorption | ||||||||
|---|---|---|---|---|---|---|---|---|---|---|
| ΔH (J/mol) | ΔS (J/mol·K) | ΔG (kJ/mol) | Keq | R2 | ΔH (J/mol) | ΔS (J/mol·K) | ΔG (kJ/mol) | Keq | R2 | |
| CS_MA | 663.63 | 37.60 | −11.86 | 72.45 | 0.9637 | 609.57 | 37.35 | −11.83 | 71.66 | 0.9494 |
| CS_MAA | 359.37 | 32.09 | −10.33 | 41.66 | 0.9019 | 593.50 | 32.45 | −10.21 | 39.97 | 0.905 |
| CS System | Thermodynamic parameters for chromium ion adsorption | Thermodynamic parameters for cadmium ion adsorption | ||||||||
| ΔH (J/mol) | ΔS (J/mol·K) | ΔG (kJ/mol) | Keq | R2 | ΔH (J/mol) | ΔS (J/mol·K) | ΔG (kJ/mol) | Keq | R2 | |
| CS_MA | 638.89 | 37.40 | −11.81 | 71.32 | 0.9501 | 686.69 | 37.43 | −11.78 | 70.39 | 0.9547 |
| CS_MAA | 1324.59 | 34.67 | −10.22 | 40.12 | 0.9265 | 1225.40 | 34.03 | −10.11 | 38.51 | 0.9209 |
| Kinetic Model | Kinetic Parameters | Nickel Ions | Lead Ions | Chromium Ions | Cadmium Ions | ||||
|---|---|---|---|---|---|---|---|---|---|
| CS_MA | CS_MAA | CS_MA | CS_MAA | CS_MA | CS_MAA | CS_MA | CS_MAA | ||
| Pseudo-first-order | k1 (min−1) | 0.0074 | 0.0062 | −0.0078 | −0.0062 | −0.0064 | −0.0062 | −0.0064 | −0.0062 |
| qe (calc) (mg/g) | 3.987 | 4.102 | 4.096 | 4.095 | 3.507 | 4.069 | 3.519 | 4.059 | |
| R2 | 0.9777 | 0.9923 | 0.9747 | 0.9926 | 0.9592 | 0.9917 | 0.9568 | 0.9936 | |
| Pseudo-second-order | k2 (kg/mg·min−1) | 13.450 | 10.934 | 12.100 | 10.048 | 11.860 | 9.469 | 10.762 | 8.869 |
| qe (calc) (mg/g) | 0.016 | 0.019 | 0.017 | 0.020 | 0.017 | 0.021 | 0.018 | 0.021 | |
| R2 | 0.9323 | 0.955 | 0.9323 | 0.955 | 0.9469 | 0.9672 | 0.9549 | 0.9717 | |
| Intra-particle diffusion | Kid (mg/(g·min0.5) | 0.114 | 0.0858 | 0.1157 | 0.0946 | 0.1153 | 0.0937 | 0.1168 | 0.0960 |
| R2 | 0.8862 | 0.8964 | 0.8898 | 0.9242 | 0.8884 | 0.9051 | 0.8938 | 0.9322 | |
Disclaimer/Publisher’s Note: The statements, opinions and data contained in all publications are solely those of the individual author(s) and contributor(s) and not of MDPI and/or the editor(s). MDPI and/or the editor(s) disclaim responsibility for any injury to people or property resulting from any ideas, methods, instructions or products referred to in the content. |
© 2024 by the authors. Licensee MDPI, Basel, Switzerland. This article is an open access article distributed under the terms and conditions of the Creative Commons Attribution (CC BY) license (https://creativecommons.org/licenses/by/4.0/).
Share and Cite
Monir, M.; Elsayed, R.E.; Azzam, R.A.; Madkour, T.M. Novel High-Performance Functionalized and Grafted Bio-Based Chitosan Adsorbents for the Efficient and Selective Removal of Toxic Heavy Metals from Contaminated Water. Polymers 2024, 16, 1718. https://doi.org/10.3390/polym16121718
Monir M, Elsayed RE, Azzam RA, Madkour TM. Novel High-Performance Functionalized and Grafted Bio-Based Chitosan Adsorbents for the Efficient and Selective Removal of Toxic Heavy Metals from Contaminated Water. Polymers. 2024; 16(12):1718. https://doi.org/10.3390/polym16121718
Chicago/Turabian StyleMonir, Mohammad, Rasha E. Elsayed, Rasha A. Azzam, and Tarek M. Madkour. 2024. "Novel High-Performance Functionalized and Grafted Bio-Based Chitosan Adsorbents for the Efficient and Selective Removal of Toxic Heavy Metals from Contaminated Water" Polymers 16, no. 12: 1718. https://doi.org/10.3390/polym16121718
APA StyleMonir, M., Elsayed, R. E., Azzam, R. A., & Madkour, T. M. (2024). Novel High-Performance Functionalized and Grafted Bio-Based Chitosan Adsorbents for the Efficient and Selective Removal of Toxic Heavy Metals from Contaminated Water. Polymers, 16(12), 1718. https://doi.org/10.3390/polym16121718

