Frequency-Dependent Dielectric Permittivity and Water Permeability in Ordered Mesoporous Silica-Grafted Fluorinated Polyimides
Abstract
1. Introduction
2. Materials and Methods
2.1. Materials
2.2. Synthesis of NH2-MCM-41
2.3. Synthesis of the NH2-MCM-41-Grafted Fluorinated Polyimide Films
2.4. Measurements
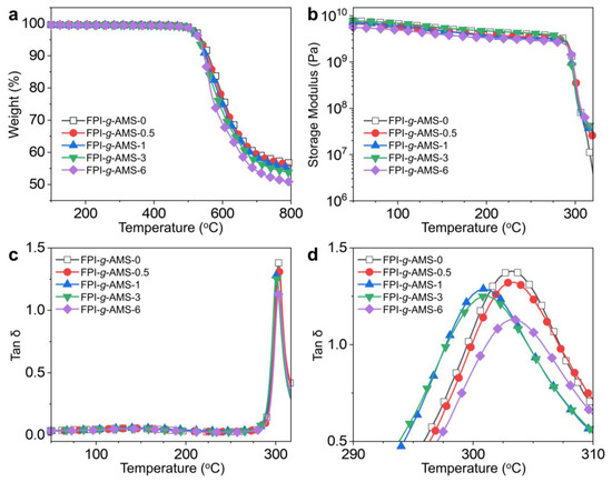
3. Results and Discussion
4. Conclusions
Supplementary Materials
Author Contributions
Funding
Institutional Review Board Statement
Data Availability Statement
Conflicts of Interest
References
- Hecht, J. The Bandwidth Bottleneck. Nature 2016, 536, 139–142. [Google Scholar] [CrossRef] [PubMed]
- Andrews, J.G.; Buzzi, S.; Choi, W.; Hanly, S.V.; Lozano, A.; Soong, A.C.K.; Zhang, J.C. What Will 5G Be? IEEE J. Sel. Areas Commun. 2014, 32, 1065–1082. [Google Scholar] [CrossRef]
- Maex, K.; Baklanov, M.R.; Shamiryan, D.; Iacopi, F.; Brongersma, S.H.; Yanovitskaya, Z.S. Low Dielectric Constant Materials for Microelectronics. J. Appl. Phys. 2003, 93, 8793–8841. [Google Scholar] [CrossRef]
- Liu, Y.; Zhao, X.Y.; Sun, Y.G.; Li, W.Z.; Zhang, X.S.; Luan, J. Synthesis and Applications of Low Dielectric Polyimide. Resour. Chem. Mater. 2023, 2, 49–62. [Google Scholar] [CrossRef]
- Bei, R.; Qian, C.; Zhang, Y.; Chi, Z.; Liu, S.; Chen, X.; Xu, J.; Aldred, M.P. Intrinsic Low Dielectric Constant Polyimides: Relationship between Molecular Structure and Dielectric Properties. J. Mater. Chem. C 2017, 5, 12807–12815. [Google Scholar] [CrossRef]
- Chen, Y.; Wang, W.; Yu, W.; Yuan, Z.; Kang, E.T.; Neoh, K.G.; Krauter, B.; Greiner, A. Nanoporous Low-κ Polyimide Films via Poly(Amic Acid)s with Grafted Poly(Ethylene Glycol) Side Chains from a Reversible Addition-Fragmentation Chain-Transfer-Mediated Process. Adv. Funct. Mater. 2004, 14, 471–478. [Google Scholar] [CrossRef]
- Wang, Z.; Zhang, M.; Han, E.; Niu, H.; Wu, D. Structure-Property Relationship of Low Dielectric Constant Polyimide Fibers Containing Fluorine Groups. Polymer 2020, 206, 122884. [Google Scholar] [CrossRef]
- Kim, S.; Son, J.; Park, H.; Jeong, E.; Nam, K.H.; Bae, J.S. Polymer Concentration and Liquid—Liquid Demixing Time Correlation with Porous Structure of Low Dielectric Polyimide in Diffusion-Driven Phase Separation. Polymers 2022, 14, 1425. [Google Scholar] [CrossRef]
- Song, N.; Shi, K.; Yu, H.; Yao, H.; Ma, T.; Zhu, S.; Zhang, Y.; Guan, S. Decreasing the Dielectric Constant and Water Uptake of Co-Polyimide Films by Introducing Hydrophobic Cross-Linked Networks. Eur. Polym. J. 2018, 101, 105–112. [Google Scholar] [CrossRef]
- Wu, T.; Dong, J.; Gan, F.; Fang, Y.; Zhao, X.; Zhang, Q. Low Dielectric Constant and Moisture-Resistant Polyimide Aerogels Containing Trifluoromethyl Pendent Groups. Appl. Surf. Sci. 2018, 440, 595–605. [Google Scholar] [CrossRef]
- Han, Y.; Ma, Y.; Zhang, J.; Yao, S.; Xu, K. Overall Improvement in Dielectric, Water Resistance and Mechanical Properties of Polyimide Film via Synergy between GO and Sandwich-Type Porous Structure. Chem. Asian J. 2022, 18, e202201130. [Google Scholar] [CrossRef] [PubMed]
- Pei, S.; Han, Y.; Guo, Y.; Liu, J.; Ding, J.; Li, Y.; Zhou, H.; Zhao, T. Thermal and Water Absorption Properties of Cyanate Ester Resins Modified by Fluoride-Containing and Silicone-Containing Components. Polym. Adv. Technol. 2020, 31, 1245–1255. [Google Scholar] [CrossRef]
- Korkees, F.; Swart, R.; Barsoum, I. Diffusion Mechanism and Properties of Chemical Liquids and Their Mixtures in 977-2 Epoxy Resin. Polym. Eng. Sci. 2022, 62, 1582–1592. [Google Scholar] [CrossRef]
- Zeng, L.; Zhao, T.S.; An, L.; Zhao, G.; Yan, X.H. Physicochemical Properties of Alkaline Doped Polybenzimidazole Membranes for Anion Exchange Membrane Fuel Cells. J. Memb. Sci. 2015, 493, 340–348. [Google Scholar] [CrossRef]
- Wu, T.; Ke, Y. The Absorption and Thermal Behaviors of PET-SiO2 Nanocomposite Films. Polym. Degrad. Stab. 2006, 91, 2205–2212. [Google Scholar] [CrossRef]
- Ana, M.D.; Angel, L.D. High-Performance Aminated Poly (Phenylene Sul Fi de)/ZnO Nanocomposites for Medical Applications. ACS Appl. Mater. Interfaces 2014, 6, 10132–10145. [Google Scholar]
- Joseph, A.M.; Nagendra, B.; Surendran, K.P.; Bhoje Gowd, E. Syndiotactic Polystyrene/Hybrid Silica Spheres of POSS Siloxane Composites Exhibiting Ultralow Dielectric Constant. ACS Appl. Mater. Interfaces 2015, 7, 19474–19483. [Google Scholar] [CrossRef]
- Song, N.; Yao, H.; Ma, T.; Wang, T.; Shi, K.; Tian, Y.; Zhang, B.; Zhu, S.; Zhang, Y.; Guan, S. Decreasing the Dielectric Constant and Water Uptake by Introducing Hydrophobic Cross-Linked Networks into Co-Polyimide Films. Appl. Surf. Sci. 2019, 480, 990–997. [Google Scholar] [CrossRef]
- Li, H.; Bao, F.; Lan, X.; Li, S.; Zhu, H.; Li, Y.; Wang, M.; Zhu, C.; Xu, J. Fluorinated Polyimide with Triphenyl Pyridine Structure for 5G Communications: Low Dielectric, Highly Hydrophobic, and Highly Transparent. Eur. Polym. J. 2023, 197, 112327. [Google Scholar] [CrossRef]
- Zhang, Y.; Huang, S.; Lv, X.; Wang, K.; Yin, H.; Qiu, S.; Li, J.; Zhang, G.; Sun, R. Polyimides with Low Dielectric Constants and Dissipation Factors at High Frequency Derived from Novel Aromatic Diamines with Bistrifluoromethyl Pendant Groups. Polym. Chem. 2023, 14, 3862–3871. [Google Scholar] [CrossRef]
- Shioda, T.; Takamatsu, N.; Suzuki, K.; Shichijyo, S. Influence of Water Sorption on Refractive Index of Fluorinated Polyimide. Polymer 2002, 44, 137–142. [Google Scholar] [CrossRef]
- Chan Hwang, Y.; Khim, S.; Min Sohn, J.; Nam, K.H. Controllable Growth of Porous Morphology in Low Dielectric Polyimides via Thermal-Driven Spontaneous Phase Separation. Eur. Polym. J. 2023, 195, 112195. [Google Scholar] [CrossRef]
- Lin, J.; Wang, X. Novel Low-κ Polyimide/Mesoporous Silica Composite Films: Preparation, Microstructure, and Properties. Polymer 2007, 48, 318–329. [Google Scholar] [CrossRef]
- Khim, S.; Hwang, Y.C.; Choi, J.; Park, H.; Nam, K.H. Temperature-Invariant Large Broadband Polyimide Dielectrics with Multimodal Porous Networks. ACS Appl. Polym. Mater. 2023, 5, 4159–4169. [Google Scholar] [CrossRef]
- Seo, K.; Nam, K.H.; Han, H. Proton Transport in Aluminum-Substituted Mesoporous Silica Channel-Embedded High-Temperature Anhydrous Proton-Exchange Membrane Fuel Cells. Sci. Rep. 2020, 10, 10352. [Google Scholar] [CrossRef] [PubMed]
- ASTM D150; Standard Test Methods for AC Loss Characteristics and Permittivity (Dielectric Constant) of Solid Electrical Insulation. ASTM International: West Conshohocken, PA, USA, 2022.
- ASTM F-1249; Standard Test Method for Water Vapor Transmission Rate Through Plastic Film and Sheeting Using a Modulated Infrared Sensor. ASTM International: West Conshohocken, PA, USA, 2020.
- Li, X.; Han, C.; Zhu, W.; Ma, W.; Luo, Y.; Zhou, Y.; Yu, J.; Wei, K. Cr(VI) Removal from Aqueous by Adsorption on Amine-Functionalized Mesoporous Silica Prepared from Silica Fume. J. Chem. 2014, 2014, 765856. [Google Scholar] [CrossRef]
- Chen, X.; Ching, W.K.; Lam, K.F.; Wei, W.; Yeung, K.L. An Investigation of the Selective Adsorptions of Metals on Mesoporous NH2-MCM-41. J. Phys. Chem. C 2016, 120, 18365–18376. [Google Scholar] [CrossRef]
- Nhavene, E.P.F.; Andrade, G.F.; Arantes Faria, J.A.Q.; Gomes, D.A.; de Sousa, E.M.B. Biodegradable Polymers Grafted onto Multifunctional Mesoporous Silica Nanoparticles for Gene Delivery. ChemEngineering 2018, 2, 24. [Google Scholar] [CrossRef]
- Nam, K.H.; Lee, W.; Seo, K.; Han, H. Residual Stress Behavior and Physical Properties of Colorless and Transparent Polyimide Films. Polym. Korea 2014, 38, 510–517. [Google Scholar] [CrossRef]
- Pryde, C.A. IR Studies of Polyimides. I. Effects of Chemical and Physical Changes during Cure. J. Polym. Sci. Part A Polym. Chem. 1989, 27, 711–724. [Google Scholar] [CrossRef]
- Moon, K.H.; Chae, B.; Kim, K.S.; Lee, S.W.; Jung, Y.M. Preparation and Characterization of Transparent Polyimide-Silica Composite Films Using Polyimide with Carboxylic Acid Groups. Polymers 2019, 11, 489. [Google Scholar] [CrossRef] [PubMed]
- Yen, C.T.; Chen, W.C.; Liaw, D.J.; Lu, H.Y. Synthesis and Properties of New Polyimide-Silica Hybrid Films through Both Intrachain and Interchain Bonding. Polymer 2003, 44, 7079–7087. [Google Scholar] [CrossRef]
- Zou, L.; Roddecha, S.; Anthamatten, M. Morphology, Hydration, and Proton Transport in Novel Sulfonated Polyimide-Silica Nanocomposites. Polymer 2009, 50, 3136–3144. [Google Scholar] [CrossRef]
- Liu, P.; Yao, Z.; Li, L.; Zhou, J. In Situ Synthesis and Mechanical, Thermal Properties of Polyimide Nanocomposite Film by Addition of Functionalized Graphene Oxide. Polym. Compos. 2016, 37, 907–914. [Google Scholar] [CrossRef]
- Jiang, L.-Y.; Leu, C.-M.; Wei, K.-H. Layered Silicates / Fluorinated Polyimide. Adv. Mater. 2002, 14, 426–429. [Google Scholar] [CrossRef]
- Jin, J.U.; Lee, D.H.; Nam, K.H.; Yu, J.; Kim, Y.K.; Goh, M.; Kim, S.G.; Lee, H.S.; Ku, B.C.; You, N.H. Methylpiperidine-Functionalized Graphene Oxide for Efficient Curing Acceleration and Gas Barrier of Polymer Nanocomposites. Appl. Surf. Sci. 2019, 464, 509–515. [Google Scholar] [CrossRef]
- Martin, P.; Rafti, M.; Marchetti, S.; Fellenz, N. MCM-41-Based Composite with Enhanced Stability for Cr(VI) Removal from Aqueous Media. Solid State Sci. 2020, 106, 106300. [Google Scholar] [CrossRef]






Disclaimer/Publisher’s Note: The statements, opinions and data contained in all publications are solely those of the individual author(s) and contributor(s) and not of MDPI and/or the editor(s). MDPI and/or the editor(s) disclaim responsibility for any injury to people or property resulting from any ideas, methods, instructions or products referred to in the content. |
© 2024 by the authors. Licensee MDPI, Basel, Switzerland. This article is an open access article distributed under the terms and conditions of the Creative Commons Attribution (CC BY) license (https://creativecommons.org/licenses/by/4.0/).
Share and Cite
Son, J.; Park, H.; Kim, M.; Park, J.H.; Nam, K.-H.; Bae, J.-S. Frequency-Dependent Dielectric Permittivity and Water Permeability in Ordered Mesoporous Silica-Grafted Fluorinated Polyimides. Polymers 2024, 16, 1716. https://doi.org/10.3390/polym16121716
Son J, Park H, Kim M, Park JH, Nam K-H, Bae J-S. Frequency-Dependent Dielectric Permittivity and Water Permeability in Ordered Mesoporous Silica-Grafted Fluorinated Polyimides. Polymers. 2024; 16(12):1716. https://doi.org/10.3390/polym16121716
Chicago/Turabian StyleSon, Jaemin, Hwon Park, Minju Kim, Jae Hui Park, Ki-Ho Nam, and Jin-Seok Bae. 2024. "Frequency-Dependent Dielectric Permittivity and Water Permeability in Ordered Mesoporous Silica-Grafted Fluorinated Polyimides" Polymers 16, no. 12: 1716. https://doi.org/10.3390/polym16121716
APA StyleSon, J., Park, H., Kim, M., Park, J. H., Nam, K.-H., & Bae, J.-S. (2024). Frequency-Dependent Dielectric Permittivity and Water Permeability in Ordered Mesoporous Silica-Grafted Fluorinated Polyimides. Polymers, 16(12), 1716. https://doi.org/10.3390/polym16121716
