Primitive Chain Network Simulations for Double Peaks in Shear Stress under Fast Flows of Bidisperse Entangled Polymers
Abstract
1. Introduction
2. Model and Simulations
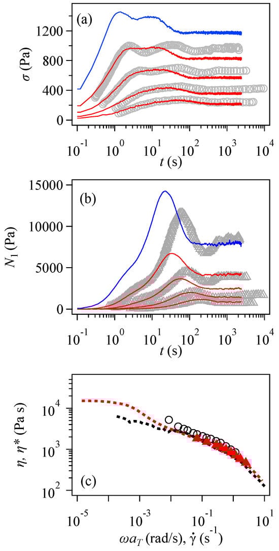
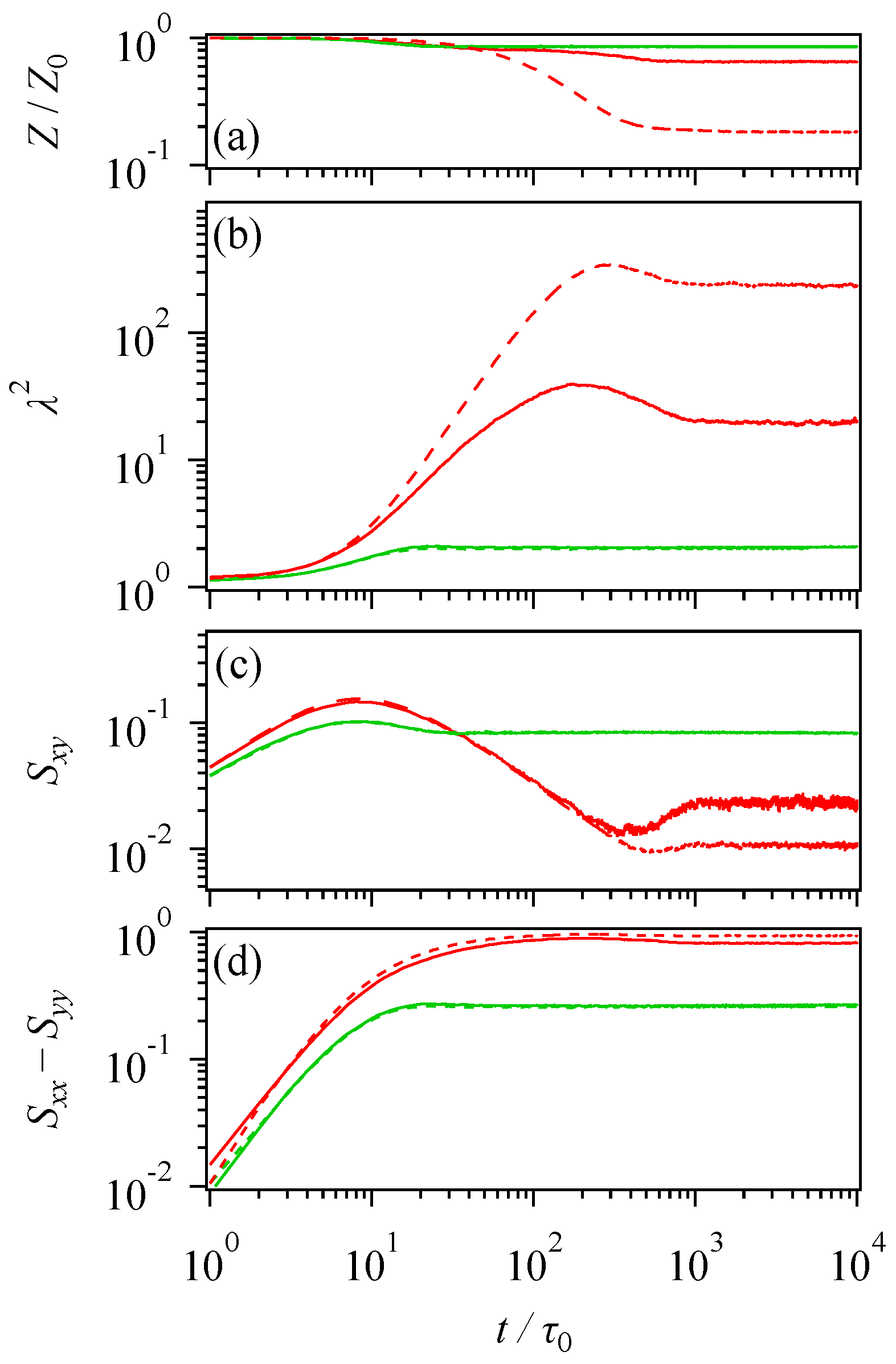
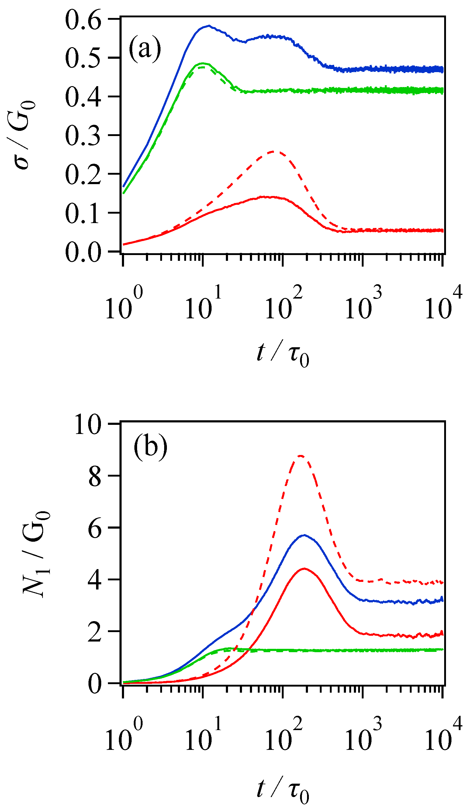
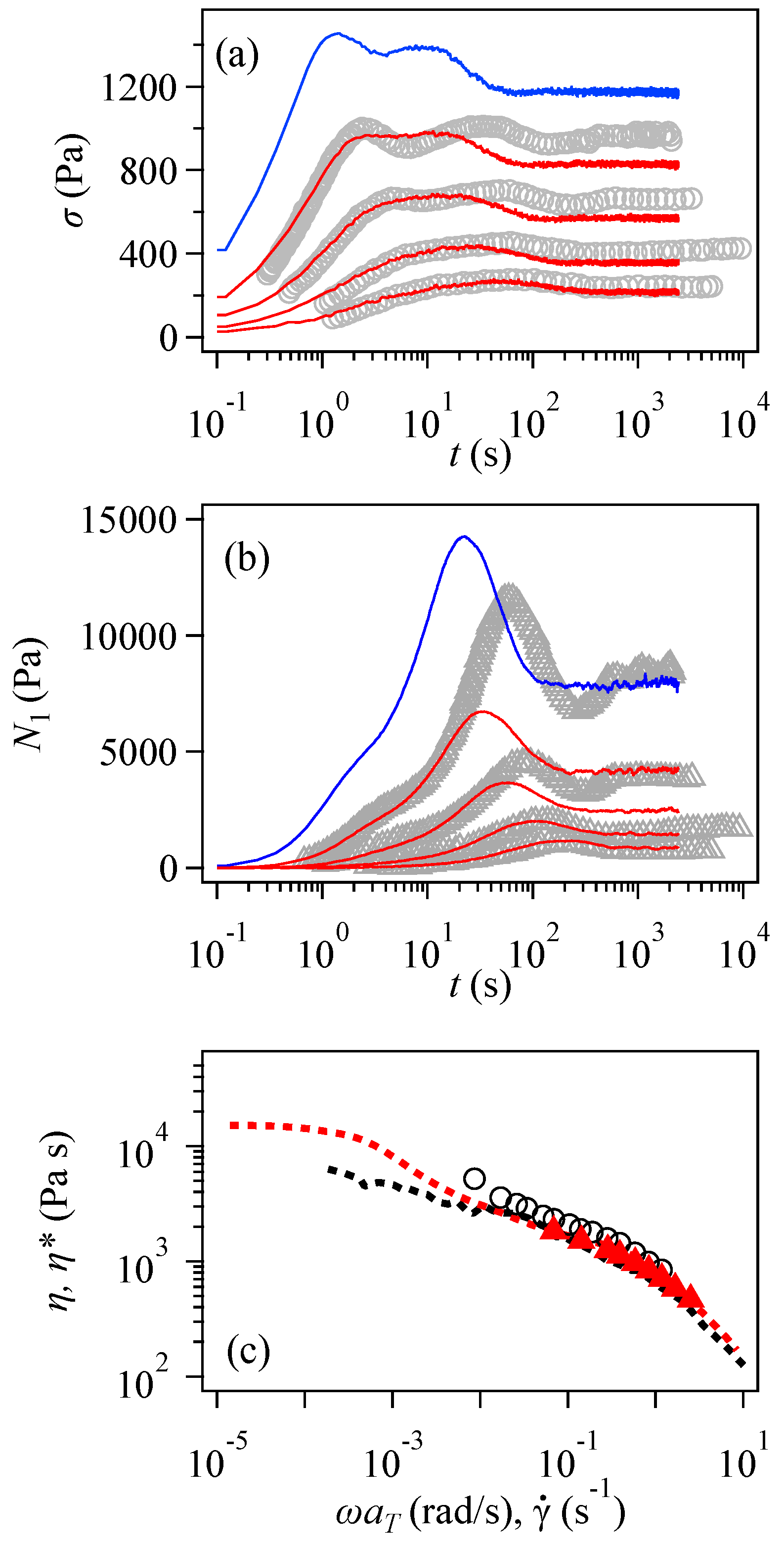
3. Results and Discussion
4. Conclusions
Funding
Institutional Review Board Statement
Data Availability Statement
Conflicts of Interest
References
- Ferry, J.D. Viscoelastic Properties of Polymers, 3rd ed.; John Wiley & Sons, Inc.: Hoboken, NJ, USA, 1980; ISBN 978-0-471-04894-7. [Google Scholar]
- Meissner, J. Modifications of the Weissenberg Rheogoniometer for Measurement of Transient Rheological Properties of Molten Polyethylene under Shear. Comparison with Tensile Data. J. Appl. Polym. Sci. 1972, 16, 2877–2899. [Google Scholar] [CrossRef]
- Menezes, E.V.; Graessley, W.W. Nonlinear Rheological Behavior of Polymer Systems for Several Shear-flow Histories. J. Polym. Sci. Polym. Phys. Ed. 1982, 20, 1817–1833. [Google Scholar] [CrossRef]
- Pearson, D.; Herbolzheimer, E.; Grizzuti, N.; Marrucci, G. Transient Behavior of Entangled Polymers at High Shear Rates. J. Polym. Sci. B Polym. Phys. 1991, 29, 1589–1597. [Google Scholar] [CrossRef]
- Osaki, K.; Inoue, T.; Isomura, T. Stress Overshoot of Polymer Solutions at High Rates of Shear. J. Polym. Sci. B Polym. Phys. 2000, 38, 1917–1925. [Google Scholar] [CrossRef]
- Ravindranath, S.; Wang, S.-Q. Universal Scaling Characteristics of Stress Overshoot in Startup Shear of Entangled Polymer Solutions. J. Rheol. 2008, 52, 681–695. [Google Scholar] [CrossRef]
- Pearson, D.S.; Kiss, A.D.; Fetters, L.J.; Doi, M. Flow-Induced Birefringence of Concentrated Polyisoprene Solutions. J. Rheol. 1989, 33, 517–535. [Google Scholar] [CrossRef]
- Parisi, D.; Vereroudakis, E.; Masubuchi, Y.; Ianniruberto, G.; Marrucci, G.; Vlassopoulos, D. Undershoots in Shear Startup of Entangled Linear Polymer Blends. J. Nonnewton Fluid Mech. 2023, 315, 105028. [Google Scholar] [CrossRef]
- Masubuchi, Y.; Ianniruberto, G.; Marrucci, G. Stress Undershoot of Entangled Polymers under Fast Startup Shear Flows in Primitive Chain Network Simulations. Nihon Reoroji Gakkaishi 2018, 46, 23–28. [Google Scholar] [CrossRef]
- Stephanou, P.S.; Schweizer, T.; Kröger, M. Communication: Appearance of Undershoots in Start-up Shear: Experimental Findings Captured by Tumbling-Snake Dynamics. J. Chem. Phys. 2017, 146, 161101. [Google Scholar] [CrossRef] [PubMed]
- Costanzo, S.; Huang, Q.; Ianniruberto, G.; Marrucci, G.; Hassager, O.; Vlassopoulos, D. Shear and Extensional Rheology of Polystyrene Melts and Solutions with the Same Number of Entanglements. Macromolecules 2016, 49, 3925–3935. [Google Scholar] [CrossRef]
- Liu, G.; Cheng, S.; Lee, H.; Ma, H.; Xu, H.; Chang, T.; Quirk, R.P.; Wang, S.Q. Strain Hardening in Startup Shear of Long-Chain Branched Polymer Solutions. Phys. Rev. Lett. 2013, 111, 068302. [Google Scholar] [CrossRef] [PubMed]
- Ouyang, X.; Luo, J.; Liu, G.X. Effects of Entanglement and Dispersity on Shear Strain Hardening. Polymer 2022, 258, 125306. [Google Scholar] [CrossRef]
- Kinouchi, M.; Takahashi, M.; Masuda, T.; Onogi, S. Stress Development in Solutions of Polystyrene Blends. Nihon Reoroji Gakkaishi 1976, 4, 25–28. [Google Scholar] [CrossRef]
- Osaki, K.; Inoue, T.; Isomura, T. Stress Overshoot of Polymer Solutions at High Rates of Shear; Polystyrene with Bimodal Molecular Weight Distribution. J. Polym. Sci. B Polym. Phys. 2000, 38, 2043–2050. [Google Scholar] [CrossRef]
- Snijkers, F.; Vlassopoulos, D.; Ianniruberto, G.; Marrucci, G.; Lee, H.; Yang, J.; Chang, T. Double Stress Overshoot in Start-Up of Simple Shear Flow of Entangled Comb Polymers. ACS Macro Lett. 2013, 2, 601–604. [Google Scholar] [CrossRef] [PubMed]
- Pearson, J.R. a Instability in Non-Newtonian Flow. Annu. Rev. Fluid Mech. 1976, 8, 163–181. [Google Scholar] [CrossRef]
- Sui, C.; McKenna, G.B. Instability of Entangled Polymers in Cone and Plate Rheometry. Rheol. Acta 2007, 46, 877–888. [Google Scholar] [CrossRef]
- Schweizer, T.; van Meerveld, J.; Öttinger, H.C. Nonlinear Shear Rheology of Polystyrene Melt with Narrow Molecular Weight Distribution—Experiment and Theory. J. Rheol. 2004, 48, 1345–1363. [Google Scholar] [CrossRef]
- Islam, M.T. Prediction of Multiple Overshoots in Shear Stress during Fast Flows of Bidisperse Polymer Melts. Rheol. Acta 2006, 45, 1003–1009. [Google Scholar] [CrossRef]
- Pattamaprom, C.; Larson, R.G. Constraint Release Effects in Monodisperse and Bidisperse Polystyrenes in Fast Transient Shearing Flows. Macromolecules 2001, 34, 5229–5237. [Google Scholar] [CrossRef]
- Doi, M.; Takimoto, J.-I. Molecular Modelling of Entanglement. Philos. Trans. R. Soc. Lond. Ser. A Math. Phys. Eng. Sci. 2003, 361, 641–650. [Google Scholar] [CrossRef] [PubMed]
- Boudara, V.A.H.; Peterson, J.D.; Leal, L.G.; Read, D.J. Nonlinear Rheology of Polydisperse Blends of Entangled Linear Polymers: Rolie-Double-Poly Models. J. Rheol. 2019, 63, 71–91. [Google Scholar] [CrossRef]
- Masubuchi, Y.; Takimoto, J.-I.; Koyama, K.; Ianniruberto, G.; Marrucci, G.; Greco, F. Brownian Simulations of a Network of Reptating Primitive Chains. J. Chem. Phys. 2001, 115, 4387–4394. [Google Scholar] [CrossRef]
- Masubuchi, Y.; Ianniruberto, G.; Marrucci, G. Primitive Chain Network Simulations for H-Polymers under Fast Shear. Soft Matter 2020, 16, 1056–1065. [Google Scholar] [CrossRef] [PubMed]
- Masubuchi, Y.; Watanabe, H. Origin of Stress Overshoot under Start-up Shear in Primitive Chain Network Simulation. ACS Macro Lett. 2014, 3, 1183–1186. [Google Scholar] [CrossRef]
- Masubuchi, Y.; Furuichi, K.; Horio, K.; Uneyama, T.; Watanabe, H.; Ianniruberto, G.; Greco, F.; Marrucci, G. Primitive Chain Network Simulations for Entangled DNA Solutions. J. Chem. Phys. 2009, 131, 114906. [Google Scholar] [CrossRef] [PubMed]
- Masubuchi, Y.; Ianniruberto, G.; Greco, F.; Marrucci, G. Molecular Simulations of the Long-Time Behaviour of Entangled Polymeric Liquids by the Primitive Chain Network Model. Model. Simul. Mater. Sci. Eng. 2004, 12, S91–S100. [Google Scholar] [CrossRef]
- Masubuchi, Y.; Watanabe, H.; Ianniruberto, G.; Greco, F.; Marrucci, G. Primitive Chain Network Simulations on Dielectric Relaxation of Linear Polymers under Shear Flow. Nihon Reoroji Gakkaishi 2004, 32, 197–202. [Google Scholar] [CrossRef]
- Masubuchi, Y.; Doi, Y.; Uneyama, T. Primitive Chain Network Simulations for the Interrupted Shear Response of Entangled Polymeric Liquids. Soft Matter 2020, 16, 6654–6661. [Google Scholar] [CrossRef] [PubMed]
- Doi, M.; Edwards, S.F. The Theory of Polymer Dynamics; Oxford University Press: Clarendon, UK, 1986. [Google Scholar]
- Masubuchi, Y.; Ianniruberto, G.; Greco, F.; Marrucci, G. Entanglement Molecular Weight and Frequency Response of Sliplink Networks. J. Chem. Phys. 2003, 119, 6925–6930. [Google Scholar] [CrossRef]
- Masubuchi, Y.; Ianniruberto, G.; Greco, F.; Marrucci, G. Quantitative Comparison of Primitive Chain Network Simulations with Literature Data of Linear Viscoelasticity for Polymer Melts. J. Nonnewton. Fluid. Mech. 2008, 149, 87–92. [Google Scholar] [CrossRef]
- Masubuchi, Y.; Doi, Y.; Uneyama, T. Entanglement Molecular Weight. Nihon Reoroji Gakkaishi 2020, 48, 177–183. [Google Scholar] [CrossRef]
- Boudara, V.A.H.; Read, D.J.; Ramírez, J. Reptate Rheology Software: Toolkit for the Analysis of Theories and Experiments. J. Rheol. 2020, 64, 709–722. [Google Scholar] [CrossRef]
- Tassieri, M.; Ramírez, J.; Karayiannis, N.C.; Sukumaran, S.K.; Masubuchi, Y. I-Rheo GT: Transforming from Time to Frequency Domain without Artifacts. Macromolecules 2018, 51, 5055–5068. [Google Scholar] [CrossRef]
- Yaoita, T.; Isaki, T.; Masubuchi, Y.; Watanabe, H.; Ianniruberto, G.; Marrucci, G. Primitive Chain Network Simulation of Elongational Flows of Entangled Linear Chains: Role of Finite Chain Extensibility. Macromolecules 2011, 44, 9675–9682. [Google Scholar] [CrossRef]
- Yaoita, T.; Isaki, T.; Masubuchi, Y.; Watanabe, H.; Ianniruberto, G.; Marrucci, G. Primitive Chain Network Simulation of Elongational Flows of Entangled Linear Chains: Stretch/Orientation-Induced Reduction of Monomeric Friction. Macromolecules 2012, 45, 2773–2782. [Google Scholar] [CrossRef]
- Ianniruberto, G.; Marrucci, G.; Masubuchi, Y. Melts of Linear Polymers in Fast Flows. Macromolecules 2020, 53, 5023–5033. [Google Scholar] [CrossRef]
- Masubuchi, Y.; Kida, T.; Doi, Y.; Uneyama, T. Radial Distribution Functions of Entanglements in Primitive Chain Network Simulations. Nihon Reoroji Gakkaishi 2021, 49, 337–345. [Google Scholar] [CrossRef]
- Tzoumanekas, C.; Theodorou, D.N. Topological Analysis of Linear Polymer Melts: A Statistical Approach. Macromolecules 2006, 39, 4592–4604. [Google Scholar] [CrossRef]
- Masubuchi, Y.; Watanabe, H.; Ianniruberto, G.; Greco, F.; Marrucci, G. Comparison among Slip-Link Simulations of Bidisperse Linear Polymer Melts. Macromolecules 2008, 41, 8275–8280. [Google Scholar] [CrossRef]
- Takeda, K.; Sukumaran, S.K.; Sugimoto, M.; Koyama, K.; Masubuchi, Y. Primitive Chain Network Simulations for Elongational Viscosity of Bidisperse Polystyrene Melts. Adv. Model. Simul. Eng. Sci. 2015, 2, 11. [Google Scholar] [CrossRef]
- Furuichi, K.; Nonomura, C.; Masubuchi, Y.; Watanabe, H.; Ianniruberto, G.; Greco, F.; Marrucci, G. Entangled Polymer Orientation and Stretch under Large Step Shear Deformations in Primitive Chain Network Simulations. Rheol. Acta 2008, 47, 591–599. [Google Scholar] [CrossRef]
- Hyun, K.; Kim, S.H.; Ahn, K.H.; Lee, S.J. Large Amplitude Oscillatory Shear as a Way to Classify the Complex Fluids. J. Nonnewton Fluid Mech. 2002, 107, 51–65. [Google Scholar] [CrossRef]





Disclaimer/Publisher’s Note: The statements, opinions and data contained in all publications are solely those of the individual author(s) and contributor(s) and not of MDPI and/or the editor(s). MDPI and/or the editor(s) disclaim responsibility for any injury to people or property resulting from any ideas, methods, instructions or products referred to in the content. |
© 2024 by the author. Licensee MDPI, Basel, Switzerland. This article is an open access article distributed under the terms and conditions of the Creative Commons Attribution (CC BY) license (https://creativecommons.org/licenses/by/4.0/).
Share and Cite
Masubuchi, Y. Primitive Chain Network Simulations for Double Peaks in Shear Stress under Fast Flows of Bidisperse Entangled Polymers. Polymers 2024, 16, 1455. https://doi.org/10.3390/polym16111455
Masubuchi Y. Primitive Chain Network Simulations for Double Peaks in Shear Stress under Fast Flows of Bidisperse Entangled Polymers. Polymers. 2024; 16(11):1455. https://doi.org/10.3390/polym16111455
Chicago/Turabian StyleMasubuchi, Yuichi. 2024. "Primitive Chain Network Simulations for Double Peaks in Shear Stress under Fast Flows of Bidisperse Entangled Polymers" Polymers 16, no. 11: 1455. https://doi.org/10.3390/polym16111455
APA StyleMasubuchi, Y. (2024). Primitive Chain Network Simulations for Double Peaks in Shear Stress under Fast Flows of Bidisperse Entangled Polymers. Polymers, 16(11), 1455. https://doi.org/10.3390/polym16111455