Co-Plasticization of Starch with Glycerol and Isosorbide: Effect on Retrogradation in Thermo-Plastic Cassava Starch Films
Abstract
1. Introduction
2. Materials and Methods
2.1. Materials
2.2. Sample Preparation
2.3. Mechanical Properties of Tension
2.4. Moisture Absorption
2.5. Fourier Transform Infrared Spectroscopy (FTIR)
2.6. X-ray Diffraction (XRD)
2.7. Differential Scanning Calorimetry (DSC)
2.8. Thermogravimetric Analysis (TGA)
2.9. Scanning Electron Microscopy Morphology (SEM)
2.10. Statistical Analysis
3. Results and Discussion
3.1. Mechanical Properties of Tension
3.2. Moisture Absorption
3.3. Fourier Transform Infrared Spectroscopy (FTIR)
3.4. X-ray Diffraction (XRD)
3.5. Differential Scanning Calorimetry (DSC)
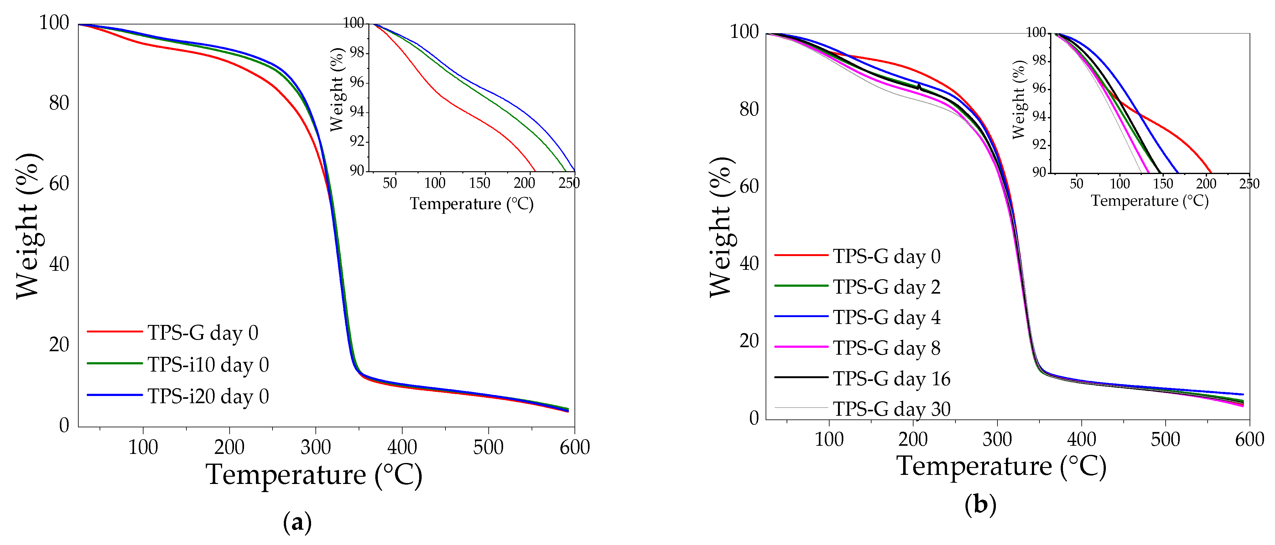
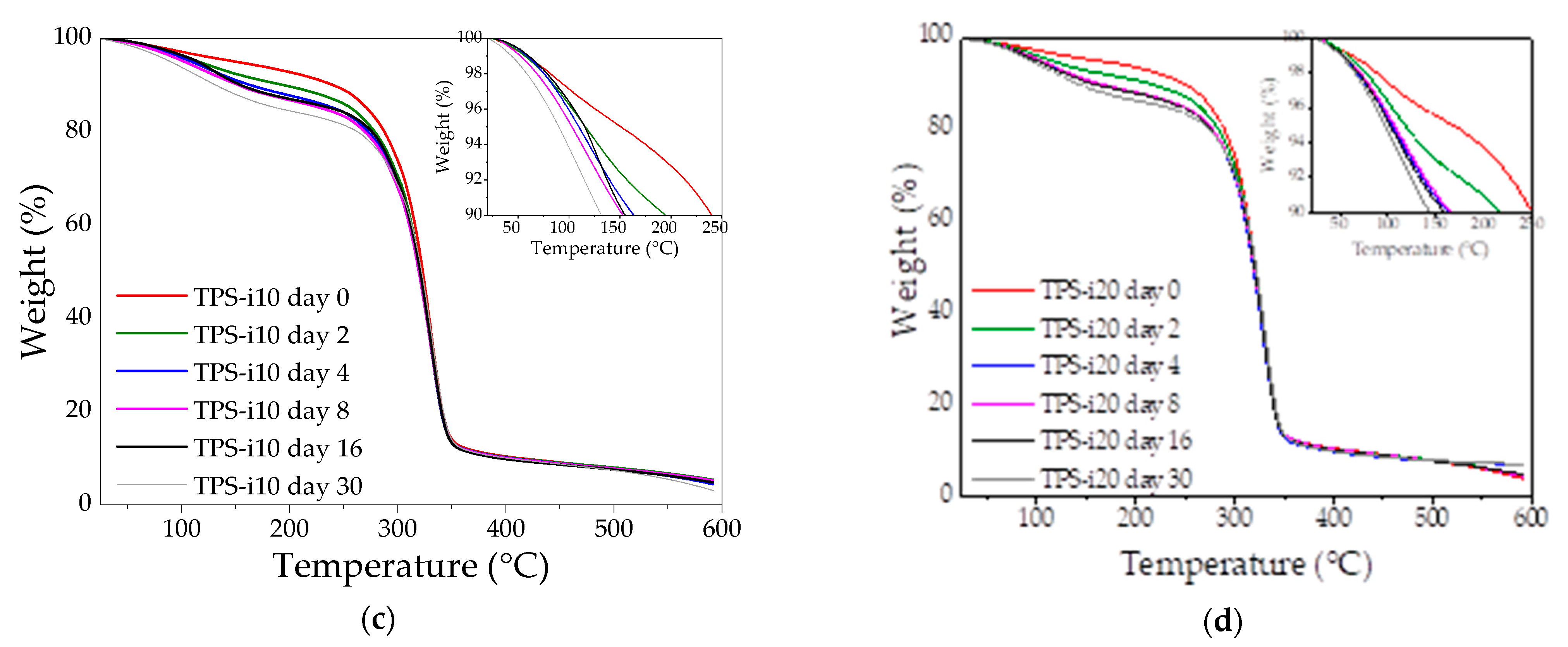
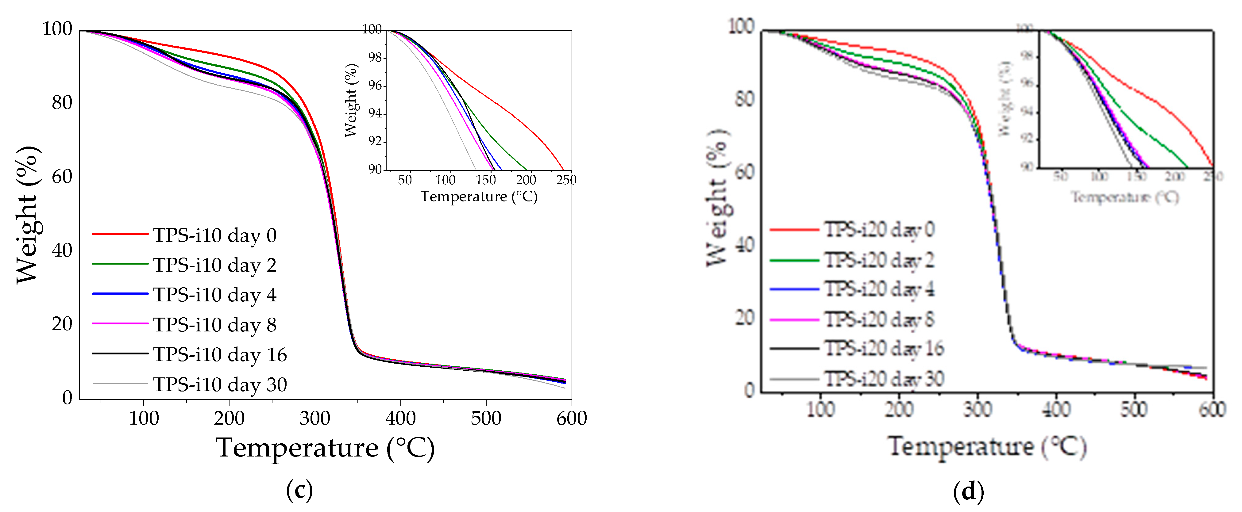
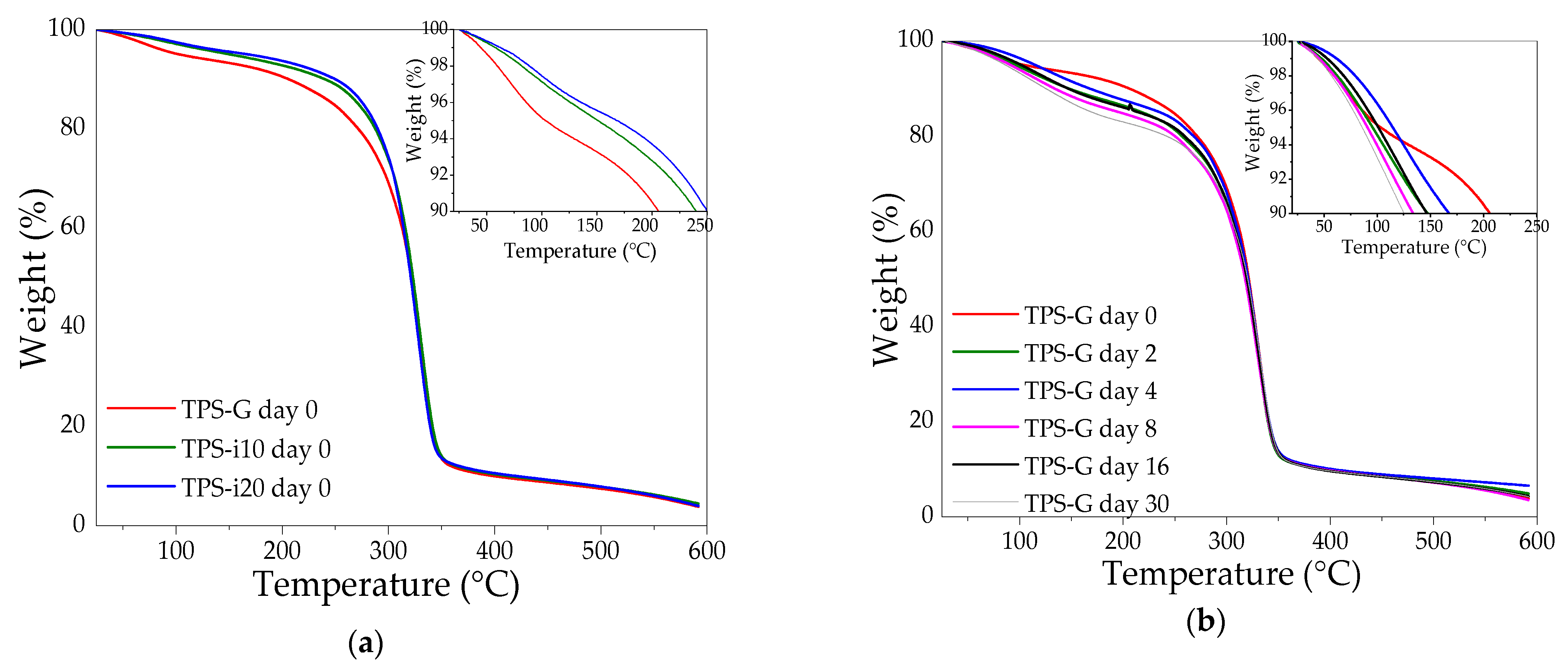
3.6. Thermogravimetric Analysis (TGA)
3.7. Scanning Electron Microscopy Morphology (SEM)
4. Conclusions
Author Contributions
Funding
Institutional Review Board Statement
Informed Consent Statement
Data Availability Statement
Acknowledgments
Conflicts of Interest
References
- Ferri, J.M.; Garcia-Garcia, D.; Sánchez-Nacher, L.; Fenollar, O.; Balart, R. The Effect of Maleinized Linseed Oil (MLO) on Mechanical Performance of Poly(Lactic Acid)-Thermoplastic Starch (PLA-TPS) Blends. Carbohydr. Polym. 2016, 147, 60–68. [Google Scholar] [CrossRef] [PubMed]
- Isotton, F.S.; Bernardo, G.L.; Baldasso, C.; Rosa, L.M.; Zeni, M. The Plasticizer Effect on Preparation and Properties of Etherified Corn Starchs Films. Ind. Crops Prod. 2015, 76, 717–724. [Google Scholar] [CrossRef]
- Kahvand, F.; Fasihi, M. Plasticizing and Anti-Plasticizing Effects of Polyvinyl Alcohol in Blend with Thermoplastic Starch. Int. J. Biol. Macromol. 2019, 140, 775–781. [Google Scholar] [CrossRef]
- Zhang, B.; Xie, F.; Zhang, T.; Chen, L.; Li, X.; Truss, R.W.; Halley, P.J.; Shamshina, J.L.; McNally, T.; Rogers, R.D. Different Characteristic Effects of Ageing on Starch-Based Films Plasticised by 1-Ethyl-3-Methylimidazolium Acetate and by Glycerol. Carbohydr. Polym. 2016, 146, 67–79. [Google Scholar] [CrossRef]
- Zhang, L.; Wang, X.-F.; Liu, H.; Yu, L.; Wang, Y.; Simon, G.P.; Qian, J. Effect of Plasticizers on Microstructure, Compatibility and Mechanical Property of Hydroxypropyl Methylcellulose/Hydroxypropyl Starch Blends. Int. J. Biol. Macromol. 2018, 119, 141–148. [Google Scholar] [CrossRef]
- Genovese, L.; Dominici, F.; Gigli, M.; Armentano, I.; Lotti, N.; Fortunati, E.; Siracusa, V.; Torre, L.; Munari, A. Processing, Thermo-Mechanical Characterization and Gas Permeability of Thermoplastic Starch/Poly(Butylene Trans-1,4-Cyclohexanedicarboxylate) Blends. Polym. Degrad. Stab. 2018, 157, 100–107. [Google Scholar] [CrossRef]
- González-Seligra, P.; Guz, L.; Ochoa-Yepes, O.; Goyanes, S.; Famá, L. Influence of Extrusion Process Conditions on Starch Film Morphology. LWT 2017, 84, 520–528. [Google Scholar] [CrossRef]
- Schmitt, H.; Guidez, A.; Prashantha, K.; Lacrampe, M.F.; Krawczak, P. Studies on the Effect of Storage Time and Plasticizers on the Structural Variations in Thermoplastic Starch. Carbohydr. Polym. 2015, 115, 364–372. [Google Scholar] [CrossRef]
- Edhirej, A.; Sapuan, S.M.; Jawaid, M.; Zahari, N.I. Effect of Various Plasticizers and Concentration on the Physical, Thermal, Mechanical, and Structural Properties of Cassava-Starch-Based Films. Starch-Stärke 2017, 69, 1–11. [Google Scholar] [CrossRef]
- Zdanowicz, M.; Johansson, C. Mechanical and Barrier Properties of Starch-Based Films Plasticized with Two- or Three Component Deep Eutectic Solvents. Carbohydr. Polym. 2016, 151, 103–112. [Google Scholar] [CrossRef]
- Esmaeili, M.; Gholamreza, P.; Bagheri, R. Optimizing the Mechanical and Physical Properties of Thermoplastic Starch via Tuning the Molecular Microstructure through Co-plasticization by Sorbitol and Glycerol. Polym. Int. 2017, 66, 809–819. [Google Scholar] [CrossRef]
- Adamus, J.; Spychaj, T.; Zdanowicz, M.; Jędrzejewski, R. Thermoplastic Starch with Deep Eutectic Solvents and Montmorillonite as a Base for Composite Materials. Ind. Crops Prod. 2018, 123, 278–284. [Google Scholar] [CrossRef]
- Ismail, S.; Mansor, N.; Man, Z. A Study on Thermal Behaviour of Thermoplastic Starch Plasticized by [Emim] Ac and by [Emim] Cl. Procedia Eng. 2017, 184, 567–572. [Google Scholar]
- Zdanowicz, M. Starch Treatment with Deep Eutectic Solvents, Ionic Liquids and Glycerol. A Comparative Study. Carbohydr. Polym. 2020, 229, 115574. [Google Scholar] [CrossRef]
- Niazi, M.; Broekhuis, A. Oxidized Potato Starch Based Thermoplastic Films: Effect of Combination of Hydrophilic and Amphiphilic Plasticizers. Starch/Staerke 2016, 68, 785–795. [Google Scholar] [CrossRef]
- Maniglia, B.C.; Tessaro, L.; Ramos, A.P.; Tapia-Blácido, D.R. Which Plasticizer Is Suitable for Films Based on Babassu Starch Isolated by Different Methods? Food Hydrocoll. 2019, 89, 143–152. [Google Scholar] [CrossRef]
- Zdanowicz, M.; Staciwa, P.; Spychaj, T. Low Transition Temperature Mixtures (LTTM) Containing Sugars as Potato Starch Plasticizers. Starch/Staerke 2019, 71, 1900004. [Google Scholar] [CrossRef]
- Ivanič, F.; Jochec-Mošková, D.; Janigová, I.; Chodák, I. Physical Properties of Starch Plasticized by a Mixture of Plasticizers. Eur. Polym. J. 2017, 93, 843–849. [Google Scholar] [CrossRef]
- Giroto, A.S.; Garcia, R.H.S.; Colnago, L.A.; Klamczynski, A.; Glenn, G.M.; Ribeiro, C. Role of Urea and Melamine as Synergic Co-Plasticizers for Starch Composites for Fertilizer Application. Int. J. Biol. Macromol. 2020, 144, 143–150. [Google Scholar] [CrossRef]
- Mikus, P.-Y.; Coqueret, X.; Alix, S.; Krawczak, P.; Soulestin, J.; Lacrampe, M.F.; Dole, P. Deformation Mechanisms of Plasticized Starch Materials. Carbohydr. Polym. 2014, 114, 450–457. [Google Scholar] [CrossRef]
- Gao, W.; Liu, P.; Li, X.; Qiu, L.; Hou, H.; Cui, B. The Co-Plasticization Effects of Glycerol and Small Molecular Sugars on Starch-Based Nanocomposite Films Prepared by Extrusion Blowing. Int. J. Biol. Macromol. 2019, 133, 1175–1181. [Google Scholar] [CrossRef]
- Area, M.R.; Rico, M.; Montero, B.; Barral, L.; Bouza, R.; López, J.; Ramírez, C. Corn Starch Plasticized with Isosorbide and Filled with Microcrystalline Cellulose: Processing and Characterization. Carbohydr. Polym. 2019, 206, 726–733. [Google Scholar] [CrossRef]
- González, K.; Martin, L.; González, A.; Retegi, A.; Eceiza, A.; Gabilondo, N. D-Isosorbide and 1,3-Propanediol as Plasticizers for Starch-Based Films: Characterization and Aging Study. J. Appl. Polym. Sci. 2017, 134, 1–10. [Google Scholar] [CrossRef]
- Vazifehasl, Z.; Hemmati, S.; Zamanloo, M.; Dizaj, S.M. New Series of Dimethacrylate-Based Monomers on Isosorbide as a Dental Material: Synthesis and Characterization. Int. J. Compos. Mater. 2013, 3, 100–107. [Google Scholar] [CrossRef]
- Wnuk, A.J.; Rane, S.Y.; Terry, J. Isosorbide-Plasticized Starch and Uses Thereof. Patent Application US20120178858A1, 12 July 2012. [Google Scholar]
- Delbecq, F.; Khodadadi, M.R.; Rodriguez Padron, D.; Varma, R.; Len, C. Isosorbide: Recent Advances in Catalytic Production. Mol. Catal. 2020, 482, 110648. [Google Scholar] [CrossRef]
- González, K.; Iturriaga, L.; González, A.; Eceiza, A.; Gabilondo, N. Improving Mechanical and Barrier Properties of Thermoplastic Starch and Polysaccharide Nanocrystals Nanocomposites. Eur. Polym. J. 2020, 123, 109415. [Google Scholar] [CrossRef]
- Arboleda, G.A.; Montilla, C.E.; Villada, H.S.; Varona, G.A. Obtaining a Flexible Film Elaborated from Cassava Thermoplastic Starch and Polylactic Acid. Int. J. Polym. Sci. 2015, 2015, 627268. [Google Scholar] [CrossRef]
- Estevez-Areco, S.; Guz, L.; Famá, L.; Candal, R.; Goyanes, S. Bioactive Starch Nanocomposite Films with Antioxidant Activity and Enhanced Mechanical Properties Obtained by Extrusion Followed by Thermo-Compression. Food Hydrocoll. 2019, 96, 518–528. [Google Scholar] [CrossRef]
- Liu, Y.; Fan, L.; Mo, X.; Yang, F.; Pang, J. Effects of Nanosilica on Retrogradation Properties and Structures of Thermoplastic Cassava Starch. J. Appl. Polym. Sci. 2017, 135, 45687. [Google Scholar] [CrossRef]
- Battegazzore, D.; Bocchini, S.; Nicola, G.; Martini, E.; Frache, A. Isosorbide, a Green Plasticizer for Thermoplastic Starch That Does Not Retrogradate. Carbohydr. Polym. 2015, 119, 78–84. [Google Scholar] [CrossRef] [PubMed]
- Liu, Y.; Fan, L.; Pang, J.; Tan, D. Effect of Tensile Action on Retrogradation of Thermoplastic Cassava Starch/Nanosilica Composite. Iran. Polym. J. 2020, 29, 171–183. [Google Scholar] [CrossRef]
- Domene-López, D.; García-Quesada, J.C.; Martin-Gullon, I.; Montalbán, M.G. Influence of Starch Composition and Molecular Weight on Physicochemical Properties of Biodegradable Films. Polymers 2019, 11, 1084. [Google Scholar] [CrossRef]
- Ma, X.; Yu, J. The Effects of Plasticizers Containing Amide Groups on the Properties of Thermoplastic Starch. Starch/Staerke 2004, 56, 545–551. [Google Scholar] [CrossRef]
- Zdanowicz, M.; Staciwa, P.; Jedrzejewski, R.; Spychaj, T. Sugar Alcohol-Based Deep Eutectic Solvents as Potato Starch Plasticizers. Polymers 2019, 11, 1385. [Google Scholar] [CrossRef]
- Abera, G.; Woldeyes, B.; Demash, H.D.; Miyake, G. The Effect of Plasticizers on Thermoplastic Starch Films Developed from the Indigenous Ethiopian Tuber Crop Anchote (Coccinia Abyssinica) Starch. Int. J. Biol. Macromol. 2020, 155, 581–587. [Google Scholar] [CrossRef] [PubMed]
- Ridhwan, J.; Sapuan, S.M.; Jawaid, M.; Ishak, M.R.; Sahari, J. Thermal, Mechanical, and Physical Properties of Seaweed/Sugar Palm Fibre Reinforced Thermoplastic Sugar Palm Starch/Agar Hybrid Composites. Int. J. Biol. Macromol. 2017, 97, 606–615. [Google Scholar] [CrossRef]
- Rico, M.; Rodríguez-Llamazares, S.; Barral, L.; Bouza, R.; Montero, B. Processing and Characterization of Polyols Plasticized-Starch Reinforced with Microcrystalline Cellulose. Carbohydr. Polym. 2016, 149, 83–93. [Google Scholar] [CrossRef] [PubMed]
- Baran, A.; Vrábel, P.; Kovaľaková, M.; Hutníková, M.; Fričová, O.; Olčák, D. Effects of Sorbitol and Formamide Plasticizers on Molecular Motion in Corn Starch Studied Using NMR and DMTA. J. Appl. Polym. Sci. 2020, 137, 48964. [Google Scholar] [CrossRef]
- Warren, F.J.; Gidley, M.J.; Flanagan, B.M. Infrared Spectroscopy as a Tool to Characterise Starch Ordered Structure-A Joint FTIR-ATR, NMR, XRD and DSC Study. Carbohydr. Polym. 2016, 139, 35–42. [Google Scholar] [CrossRef] [PubMed]
- Zhang, K.; Zhang, K.; Cheng, F.; Lin, Y.; Zhou, M.; Zhu, P. Aging Properties and Hydrophilicity of Maize Starch Plasticized by Hyperbranched Poly(Citrate Glyceride). J. Appl. Polym. Sci. 2019, 136, 1–8. [Google Scholar] [CrossRef]
- Altayan, M.M.; Al Darouich, T.; Karabet, F. On the Plasticization Process of Potato Starch: Preparation and Characterization. Food Biophys. 2017, 12, 397–403. [Google Scholar] [CrossRef]
- Montilla-buitrago, C.E.; Gómez-lópez, R.A.; Solanilla-duque, J.F. Effect of Plasticizers on Properties, Retrogradation, and Processing of Extrusion-Obtained Thermoplastic Starch: A Review. Starch-Stärke 2021, 2100060, 1–15. [Google Scholar] [CrossRef]
- Chuang, L.; Panyoyai, N.; Katopo, L.; Shanks, R.; Kasapis, S. Calcium Chloride Effects on the Glass Transition of Condensed Systems of Potato Starch. Food Chem. 2016, 199, 791–798. [Google Scholar] [CrossRef] [PubMed]
- Ren, J.; Zhang, W.; Lou, F.; Wang, Y.; Guo, W. Characteristics of Starch-Based Films Produced Using Glycerol and 1-Butyl-3-Methylimidazolium Chloride as Combined Plasticizers. Starch/Staerke 2017, 69, 1–8. [Google Scholar] [CrossRef]
- Ma, X.; Yu, J.; He, K.; Wang, N. The Effects of Different Plasticizers on the Properties of Thermoplastic Starch as Solid Polymer Electrolytes. Macromol. Mater. Eng. 2007, 292, 503–510. [Google Scholar] [CrossRef]
- Castillo, L.A.; López, O.V.; García, M.A.; Barbosa, S.E.; Villar, M.A. Crystalline Morphology of Thermoplastic Starch/Talc Nanocomposites Induced by Thermal Processing. Heliyon 2019, 5, e01877. [Google Scholar] [CrossRef]
- Qin, Y.; Zhang, H.; Dai, Y.; Hou, H.; Dong, H. Effect of Silane Treatment on Mechanical Properties. Materials 2019, 12, 1–13. [Google Scholar]
- Xie, F.; Flanagan, B.M.; Li, M.; Sangwan, P.; Truss, R.W.; Halley, P.J.; Strounina, E.V.; Whittaker, A.K.; Gidley, M.J.; Dean, K.M.; et al. Characteristics of Starch-Based Films Plasticised by Glycerol and by the Ionic Liquid 1-Ethyl-3-Methylimidazolium Acetate: A Comparative Study. Carbohydr. Polym. 2014, 111, 841–848. [Google Scholar] [CrossRef]
- Mina, J.H.; Valadez, A.; Herrera-Franco, P.J.; Toledano, T. Influence of Aging Time on the Structural Changes of Cassava Thermoplastic Starch. Mater. Res. Soc. Symp. Proc. 2012, 1372, 21–27. [Google Scholar]
- Ghanbari, A.; Tabarsa, T.; Ashori, A.; Shakeri, A.; Mashkour, M. Preparation and Characterization of Thermoplastic Starch and Cellulose Nanofibers as Green Nanocomposites: Extrusion Processing. Int. J. Biol. Macromol. 2018, 112, 442–447. [Google Scholar] [CrossRef]
- Hulleman, S.H.D.; Kalisvaart, M.G.; Janssen, F.H.P.; Feil, H.; Vliegenthart, J.F.G. Origins of B-Type Crystallinity in Glycerol-Plasticized, Compression-Moulded Potato Starches. Carbohydr. Polym. 1999, 39, 351–360. [Google Scholar] [CrossRef]
- Van Soest, J.J.G.; Hulleman, S.H.D.; De Wit, D.; Vliegenthart, J.F.G. Changes in the Mechanical Properties of Thermoplastic Potato Starch in Relation with Changes in B-Type Crystallinity. Carbohydr. Polym. 1996, 29, 225–232. [Google Scholar] [CrossRef]
- Lin, R.H.; Fan, Y.Y.; Liu, T.; Yang, H.; Ma, L.J.; Huang, X.J.; Liu, Y. Structural Characterization of Controlled Decrystallization of Cassava Starch. Starch/Staerke 2020, 72, 1–7. [Google Scholar] [CrossRef]
- Zhu, F. Composition, Structure, Physicochemical Properties and Modifications of Cassava Starch. Carbohydr. Polym. 2015, 122, 456–480. [Google Scholar] [CrossRef] [PubMed]
- Shamsuri, A.A.; Daik, R. Plasticizing Effect of Choline Chloride/Urea Eutectic-Based Ionic Liquid on Physicochemical Properties of Agarose Films. BioResources 2012, 7, 4760–4775. [Google Scholar] [CrossRef]
- Turco, R.; Ortega-Toro, R.; Tesser, R.; Mallardo, S.; Collazo-Bigliardi, S.; Boix, A.C.; Malinconico, M.; Rippa, M.; Di Serio, M.; Santagata, G. Poly (Lactic Acid)/Thermoplastic Starch Films: Effect of Cardoon Seed Epoxidized Oil on Their Chemicophysical, Mechanical, and Barrier Properties. Coatings 2019, 9, 574. [Google Scholar] [CrossRef]
- Li, M.; Liu, P.; Zou, W.; Yu, L.; Xie, F.; Pu, H.; Liu, H.; Chen, L. Extrusion Processing and Characterization of Edible Starch Films with Different Amylose Contents. J. Food Eng. 2011, 106, 95–101. [Google Scholar] [CrossRef]
- Seligra, P.G.; Medina Jaramillo, C.; Famá, L.; Goyanes, S. Biodegradable and Non-Retrogradable Eco-Films Based on Starch-Glycerol with Citric Acid as Crosslinking Agent. Carbohydr. Polym. 2016, 138, 66–74. [Google Scholar] [CrossRef]
- Jumaidin, R.; Sapuan, S.M.; Jawaid, M.; Ishak, M.R.; Sahari, J. Characteristics of Thermoplastic Sugar Palm Starch/Agar Blend: Thermal, Tensile, and Physical Properties. Int. J. Biol. Macromol. 2016, 89, 575–581. [Google Scholar] [CrossRef]
- Hornung, P.S.; do Prado Cordoba, L.; da Silveira Lazzarotto, S.R.; Schnitzler, E.; Lazzarotto, M.; Ribani, R.H. Brazilian Dioscoreaceas Starches: Thermal, Structural and Rheological Properties Compared to Commercial Starches. J. Therm. Anal. Calorim. 2017, 127, 1869–1877. [Google Scholar] [CrossRef]
- Gamarano, D. de S.; Pereira, I.M.; da Silva, M.C.; Mottin, A.C.; Ayres, E. Crystal Structure Transformations in Extruded Starch Plasticized with Glycerol and Urea. Polym. Bull. 2019, 77, 4971–4992. [Google Scholar] [CrossRef]
- Ismail, S.; Mansor, N.; Majeed, Z.; Man, Z. Effect of Water and [Emim][OAc] as Plasticizer on Gelatinization of Starch. In Proceedings of the Procedia Engineering; Elsevier B.V.: Amsterdam, The Netherlands, 2016; Volume 148, pp. 524–529. [Google Scholar]
- Berski, W.; Witczak, M.; Gambu, H. International Journal of Biological Macromolecules The Retrogradation Kinetics of Starches of Different Botanical Origin in the Presence of Glucose Syrup. Int. J. Biol. Macromol. 2018, 114, 1288–1294. [Google Scholar] [CrossRef]
- Zhang, H.; Sun, B.; Zhang, S.; Zhu, Y.; Tian, Y. Inhibition of Wheat Starch Retrogradation by Tea Derivatives. Carbohydr. Polym. 2015, 134, 413–417. [Google Scholar] [CrossRef] [PubMed]
- Zhang, Y.; Zhang, Y.; Li, B.; Xu, F.; Zhu, K.; Tan, L.; Wu, G.; Dong, W.; Li, S. Retrogradation Behavior of Amylopectin Extracted Different Jackfruit Cultivars Seeds in Presence on the Same Amylose. LWT 2019, 114, 108366. [Google Scholar] [CrossRef]
- Halley, P.J.; Avérous, L.R. Starch Polymers: From the Field to Industrial Products; Taylor & Francis: Abingdon, UK, 2014; ISBN 9780444537300. [Google Scholar]
- Giles, H.F.; Wagner, J.R.; Mount, E.M. Extrusion: The Definitive Processing Guide and Handbook, 2nd ed.; Willian Andrew: New York, NY, USA, 2013; ISBN 9781437734812. [Google Scholar]
- Ceballos, R.L.; Ochoa-Yepes, O.; Goyanes, S.; Bernal, C.; Famá, L. Effect of Yerba Mate Extract on the Performance of Starch Films Obtained by Extrusion and Compression Molding as Active and Smart Packaging. Carbohydr. Polym. 2020, 244, 116495. [Google Scholar] [CrossRef] [PubMed]









| Sample | Starch (wt. %) | Plasticizer | Temperature Profile (°C) | Speed (rpm) | |
|---|---|---|---|---|---|
| Glycerol (wt. %) | Isosorbide (wt. %) | ||||
| TPS-G | 70 | 30 | 0 | 110–155–145–109 | 45 |
| TPS-i10 | 70 | 20 | 10 | ||
| TPS-i20 | 70 | 10 | 20 | 110–160–155–109 | |
| TPS-i30 | 70 | 0 | 30 | ||
| Sample | Day | E (Mpa) | σ (Mpa) | Ɛ (%) | Thickness (mm) |
|---|---|---|---|---|---|
| Orientation in Machine Direction | |||||
| TPS-G | 2 | 7.51 ± 1.13 | 0.47 ± 0.02 | 200 ± 7 | 0.31 ± 0.03 |
| 30 | 123.89 ± 4.49 | 1.57 ± 0.05 | 42 ± 3 | 0.42 ± 0.02 | |
| TPS-i10 | 2 | 14.22 ± 1.01 | 0.96 ± 0.05 | 188 ± 3 | 0.24 ± 0.02 |
| 30 | 14.07 ± 1.10 | 0.23 ± 0.02 | 128 ± 2 | 0.26 ± 0.02 | |
| TPS-i20 | 2 | 32.54 ± 3.19 | 1.76 ± 0.17 | 125 ± 21 | 0.21 ± 0.01 |
| 30 | 9.62 ± 0.64 | 0.40 ± 0.01 | 203 ± 29 | 0.30 ± 0.05 | |
| Orientation in Transverse Direction | |||||
| TPS-G | 2 | 5.70 ± 1.08 | 0.37 ± 0.04 | 231 ± 47 | 0.31 ± 0.04 |
| 30 | 140.37 ± 5.90 | 1.40 ± 0.07 | 40 ± 1 | 0.30 ± 0.01 | |
| TPS-i10 | 2 | 12.49 ± 0.71 | 0.79 ± 0.07 | 212 ± 15 | 0.25 ± 0.02 |
| 30 | 12.17 ± 1.86 | 0.26 ± 0.01 | 164 ± 8 | 0.27 ± 0.01 | |
| TPS-i20 | 2 | 24.32 ± 0.84 | 1.35 ± 0.04 | 192 ± 14 | 0.22 ± 0.01 |
| 30 | 7.99 ± 0.22 | 0.27 ± 0.01 | 285 ± 6 | 0.34 ± 0.01 | |
| Sample | Time (Days) | AA | CA | RC (%) |
|---|---|---|---|---|
| Starch | - | 5.82 | 2.38 | 29.05 |
| TPS-G | 1 | 7.57 | 0.23 | 2.93 |
| 30 | 7.81 | 0.58 | 6.89 | |
| TPS-i10 | 1 | 7.48 | 0.24 | 3.10 |
| 30 | 7.34 | 0.26 | 3.38 | |
| TPS-i20 | 1 | 7.25 | 0.28 | 3.71 |
| 30 | 7.32 | 0.29 | 3.82 |
| Sample | Parameter | Time (Day) | n | k | |||||
|---|---|---|---|---|---|---|---|---|---|
| 0 | 2 | 4 | 8 | 16 | 30 | ||||
| TPS-G | Tm (°C) | 215 | 184 | 193 | 195 | 191 | 191 | 0.21 | 0.52 |
| ∆Hm (J/g) | 55 | 131 | 150 | 155 | 157 | 222 | |||
| DR | - | 0.45 | 0.57 | 0.60 | 0.61 | - | |||
| TPS-i10 | Tm (°C) | 222 | 198 | 197 | 211 | 180 | 190 | 0.62 | 0.24 |
| ∆Hm (J/g) | 52 | 96 | 123 | 131 | 159 | 198 | |||
| DR | - | 0.31 | 0.48 | 0.54 | 0.73 | - | |||
| TPS-i20 | Tm (°C) | 240 | 196 | 213 | 196 | 193 | 185 | 0.55 | 0.24 |
| ∆Hm (J/g) | 41 | 79 | 100 | 125 | 127 | 171 | |||
| DR | - | 0.29 | 0.45 | 0.65 | 0.66 | - | |||
| Variable | Sample | Time (Days) | |||||
|---|---|---|---|---|---|---|---|
| 0 | 2 | 4 | 8 | 16 | 30 | ||
| T10% (°C) | TPS-G | 230 | 148 | 168 | 134 | 147 | 125 |
| TPS-i10 | 240 | 194 | 164 | 153 | 155 | 132 | |
| TPS-i20 | 250 | 217 | 162 | 166 | 159 | 143 | |
| T50% (°C) | TPS-G | 322 | 319 | 321 | 318 | 319 | 320 |
| TPS-i10 | 323 | 321 | 320 | 319 | 321 | 322 | |
| TPS-i20 | 321 | 321 | 319 | 320 | 320 | 322 | |
| T90% (°C) | TPS-G | 411 | 390 | 402 | 392 | 388 | 388 |
| TPS-i10 | 412 | 407 | 404 | 402 | 394 | 401 | |
| TPS-i20 | 421 | 418 | 395 | 416 | 406 | 399 | |
| Tmax (°C) | TPS-G | 331 | 331 | 331 | 330 | 331 | 332 |
| TPS-i10 | 331 | 330 | 330 | 330 | 330 | 333 | |
| TPS-i20 | 328 | 329 | 328 | 330 | 329 | 331 | |
| Residue | TPS-G | 3.6 | 4.9 | 6.5 | 3.5 | 4.3 | 4.2 |
| TPS-i10 | 4.5 | 5.4 | 4.4 | 5.2 | 4.8 | 3.0 | |
| TPS-i20 | 4.0 | 4.6 | 7.1 | 4.5 | 4.8 | 7.1 | |
Disclaimer/Publisher’s Note: The statements, opinions and data contained in all publications are solely those of the individual author(s) and contributor(s) and not of MDPI and/or the editor(s). MDPI and/or the editor(s) disclaim responsibility for any injury to people or property resulting from any ideas, methods, instructions or products referred to in the content. |
© 2023 by the authors. Licensee MDPI, Basel, Switzerland. This article is an open access article distributed under the terms and conditions of the Creative Commons Attribution (CC BY) license (https://creativecommons.org/licenses/by/4.0/).
Share and Cite
Gómez-López, R.A.; Montilla-Buitrago, C.E.; Villada-Castillo, H.S.; Sáenz-Galindo, A.; Avalos-Belmontes, F.; Serna-Cock, L. Co-Plasticization of Starch with Glycerol and Isosorbide: Effect on Retrogradation in Thermo-Plastic Cassava Starch Films. Polymers 2023, 15, 2104. https://doi.org/10.3390/polym15092104
Gómez-López RA, Montilla-Buitrago CE, Villada-Castillo HS, Sáenz-Galindo A, Avalos-Belmontes F, Serna-Cock L. Co-Plasticization of Starch with Glycerol and Isosorbide: Effect on Retrogradation in Thermo-Plastic Cassava Starch Films. Polymers. 2023; 15(9):2104. https://doi.org/10.3390/polym15092104
Chicago/Turabian StyleGómez-López, Rudy A., Camilo E. Montilla-Buitrago, Héctor S. Villada-Castillo, Aidé Sáenz-Galindo, Felipe Avalos-Belmontes, and Liliana Serna-Cock. 2023. "Co-Plasticization of Starch with Glycerol and Isosorbide: Effect on Retrogradation in Thermo-Plastic Cassava Starch Films" Polymers 15, no. 9: 2104. https://doi.org/10.3390/polym15092104
APA StyleGómez-López, R. A., Montilla-Buitrago, C. E., Villada-Castillo, H. S., Sáenz-Galindo, A., Avalos-Belmontes, F., & Serna-Cock, L. (2023). Co-Plasticization of Starch with Glycerol and Isosorbide: Effect on Retrogradation in Thermo-Plastic Cassava Starch Films. Polymers, 15(9), 2104. https://doi.org/10.3390/polym15092104

