Thermal and Viscoelastic Responses of Selected Lignocellulosic Wastes: Similarities and Differences
Abstract
1. Introduction
2. Materials and Methods
2.1. Materials
2.2. Methods
2.2.1. Thermogravimetric Analysis
2.2.2. Differential Scanning Calorimetry
2.2.3. Dynamic Mechanical Analysis
3. Results and Discussion
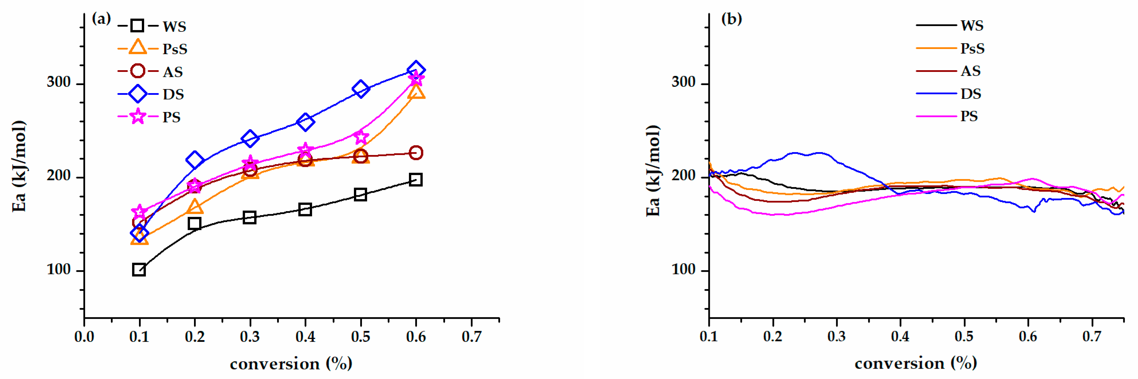
3.1. Thermogravimetric Analysis
3.2. Differential Scanning Calorimetry
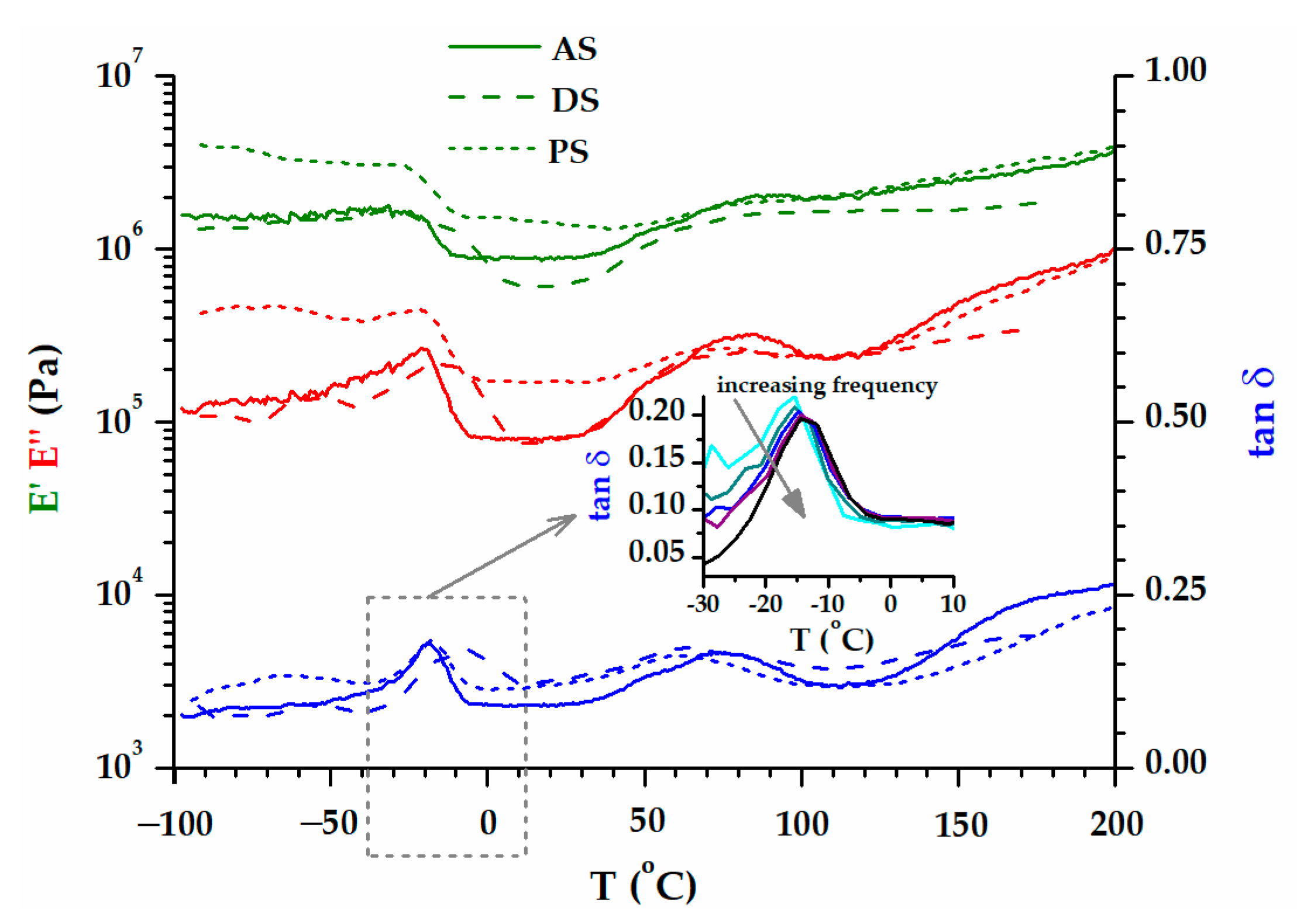
3.3. Dynamic Mechanical Analysis
4. Conclusions
Author Contributions
Funding
Institutional Review Board Statement
Data Availability Statement
Conflicts of Interest
References
- Kümmerer, K.; Clark, J.H.; Zuin, V.G. Rethinking chemistry for a circular economy. Science 2020, 367, 369–370. [Google Scholar] [CrossRef]
- Kandemir, K.; Piskin, E.; Xiao, J.; Tomas, M.; Capanoglu, E. Fruit juice industry wastes as a source of bioactives. J. Agric. Food Chem. 2022, 70, 6805–6832. [Google Scholar] [CrossRef]
- Aliaño-González, M.J.; Gabaston, J.; Ortiz-Somovilla, V.; Cantos-Villar, E. Wood waste from fruit trees: Biomolecules and their applications in agri-food industry. Biomolecules 2022, 12, 238. [Google Scholar] [CrossRef]
- Albatrni, H.; Qiblawey, H.; Al-Marri, M.J. Walnut shell based adsorbents: A review study on preparation, mechanism and application. J. Water Process. Eng. 2022, 45, 102527. [Google Scholar] [CrossRef]
- Gupta, S.; Gupta, K.G.; Mondal, M.K. Thermal degradation characteristics, kinetics, thermodynamics and reaction mechanism analysis of pistachio shell pyrolysis for its bioenergy potential. Biomass Conv. Bioref. 2022, 12, 4847–4861. [Google Scholar] [CrossRef]
- Rodríguez, G.; Lama, A.; Rodríguez, R.; Jiménez, A.; Guillén, R.; Fernández-Bolaños, J. Olive stones an attractive source of bioactive and valuable compounds. Bioresour. Technol. 2008, 99, 5261–5269. [Google Scholar] [CrossRef]
- Farag, M.A.; Eldin, A.B.; Khalifa, I. Valorization and extraction optimization of Prunus seeds for food and functional food applications: A review with further perspectives. Food Chem. 2022, 388, 132955. [Google Scholar] [CrossRef] [PubMed]
- Rudke, C.R.M.; Zielinski, A.A.F.; Ferreira, S.R.S. From biorefinery to food product design: Peach (Prunus persica) by-products deserve attention. Food Bioproc. Technol. 2023, 16, 1197–1215. [Google Scholar] [CrossRef]
- Corbett, D.B.; Kohan, N.; Machado, G.; Jing, C.; Nagardeolekar, A.; Bujanovic, B.M. Chemical composition of apricot pit shells and effect of hot-water extraction. Energies 2015, 8, 9640–9654. [Google Scholar] [CrossRef]
- Al-Zahrani, K.S.; Faqeeh, A.A.; Abdulghani, Z.R.; Thomas, S.P. A review on the physicochemical properties and utilization of date seeds in value-added engineering products. Polym. Bull. 2022, 79, 10433–10490. [Google Scholar] [CrossRef]
- Yilmaz, F.M.; Görgüç, A.; Karaaslan, M.; Vardin, H.; Bilek, S.; Uygun, Ö.; Bircan, C. Sour cherry by-products: Compositions, functional properties and recovery potentials–A review. Crit. Rev. Food Sci. Nutr. 2019, 59, 3549–3563. [Google Scholar] [CrossRef]
- Brazil, T.R.; Gonçalves, M.; dos Anjos, E.G.R.; de Oliveira Junior, M.S.; Rezende, M.C. Micro-wave assisted production of activated carbon in an adapted domestic oven from lignocellulosic waste. Biomass Conv. Bioref. 2022. [Google Scholar] [CrossRef]
- Altun, T.; Pehlivan, E. Removal of Cr(IV) from aqueous solutions by modified walnut shells. Food Chem. 2012, 132, 693–700. [Google Scholar] [CrossRef]
- Solangi, N.H.; Kumar, J.; Mazari, S.A.; Ahmed, S.; Fatima, N.; Mubarak, N.M. Development of fruit waste derived bio-adsorbents for wastewater treatment: A review. J. Hazard. Mater. 2021, 416, 125848. [Google Scholar] [CrossRef]
- Condurache, B.-C.; Cojocaru, C.; Samoila, P.; Cosmulescu, S.F.; Predeanu, G.; Enache, A.-C.; Harabagiu, V. Oxidized biomass and its usage as adsorbent for removal of heavy metal ions from aqueous solutions. Molecules 2022, 27, 6119. [Google Scholar] [CrossRef] [PubMed]
- El-Azazy, M.; El-Shafie, A.S.; Ashraf, A.; Issa, A.A. Eco-structured biosorptive removal of basic fuchsin using pistachio nutshells: A definitive screening design-based approach. Appl. Sci. 2019, 9, 4855. [Google Scholar] [CrossRef]
- Yabalak, E.; Erdogan Eliuz, E.A. Green synthesis of walnut shell hydrochar, its antimicrobial activity and mechanism on some pathogens as a natural sanitizer. Food Chem. 2022, 366, 130608. [Google Scholar] [CrossRef] [PubMed]
- Kuram, E. Advances in development of green composites based on natural fibers: A review. Emergent Mater. 2022, 5, 811–831. [Google Scholar] [CrossRef]
- Orue, A.; Eceiza, A.; Arbelaiz, A. The use of alkali treated walnut shells as filler in plasticized poly(lactic acid) matrix composites. Ind. Crops Prod. 2020, 145, 111993. [Google Scholar] [CrossRef]
- Musioł, M.; Rydz, J.; Janeczek, H.; Kordyka, A.; Andrzejewski, J.; Sterzyński, T.; Jurczyk, S.; Cristea, M.; Musioł, K.; Kampik, M.; et al. (Bio)degradable biochair composites–Studies on degradation and electrostatic properties. Mat. Sci. Eng. B 2022, 275, 115515. [Google Scholar] [CrossRef]
- Valvez, S.; Maceiras, A.; Santos, P.; Reis, P.N.B. Olive stones as filler for polymer-based composites: A review. Materials 2021, 14, 845. [Google Scholar] [CrossRef]
- Ali, A.; Ali, S.; Yu, L.; Liu, H.; Khalid, S.; Hussain, A.; Qayum, M.M.N.; Ying, C. Preparation and characterization of starch-based composite films reinforced by apricot and walnut shells. J. Appl. Polym. Sci. 2019, 136, 47978. [Google Scholar] [CrossRef]
- Ayrilmis, N.; Kaymakci, A.; Ozdemir, F. Physical, mechanical and thermal properties of polypropylene composites filled with walnut shell flour. J. Ind. Eng. Chem. 2013, 19, 908–914. [Google Scholar] [CrossRef]
- Członka, S.; Kairytė, A.; Miedzińska, K.; Strąkowska, A. Casein/apricot filler in the production of flame-retardant polyurethane composites. Materials 2021, 14, 3620. [Google Scholar] [CrossRef] [PubMed]
- Hemmati, F.; Jafari, S.M.; Kashaninejad, M.; Motlagh, M.B. Synthesis and characterization of cellulose nanocrystals derived from walnut shell agricultural residues. Int. J. Biol. Macromol. 2018, 120, 1216–1224. [Google Scholar] [CrossRef]
- Kasiri, N.; Fathi, M. Production of cellulose nanocrystals from pistachio shells and their application for stabilizing Pickering emulsions. Int. J. Biol. Macromol. 2018, 106, 1023–1031. [Google Scholar] [CrossRef]
- Frone, A.N.; Chiulan, I.; Panaitescu, D.M.; Nicolae, C.A.; Ghiurea, M.; Galan Popescu, A.-M. Isolation of cellulose nanocrystals from plum seed shells, structural and morphological characterization. Mat. Lett. 2017, 194, 160–163. [Google Scholar] [CrossRef]
- Vojvodić Cebin, A.; Ralet, M.-C.; Vigouroux, J.; Karača, S.; Martinić, A.; Komes, D.; Bonnin, E. Valorization of walnut shell and pea pod as novel sources for the production of xylooligosaccharides. Carbohydr. Polym. 2021, 263, 117932. [Google Scholar] [CrossRef]
- Morales, A.; Labidi, J.; Gullón, P. Integral valorization of walnut shells based on a three-step sequential delignification. J. Environ. Manag. 2022, 310, 114730. [Google Scholar] [CrossRef]
- Spiridon, I. Extraction of lignin and therapeutic applications of lignin-derived compounds. A review. Environ. Chem. Lett. 2020, 18, 771–785. [Google Scholar] [CrossRef]
- Movva, M.; Kommineni, R. Extraction of cellulose from pistachio shell and physical and mechanical characterization of cellulose-based nanocomposites. Mater. Res. Express 2017, 4, 045014. [Google Scholar] [CrossRef]
- González-García, E.; Marina, M.L.; García, M.C. Plum (Prunis domestica L.) by-product as a new and cheap source of bioactive peptides: Extraction method and peptides characterization. J. Funct. Foods 2014, 11, 428–437. [Google Scholar] [CrossRef]
- Najjar, Z.; Stathopoulos, C.; Chockchaisawasdee, S. Utilization of date by-products in the food industry. Emir. J. Food Agric. 2020, 32, 808–815. [Google Scholar] [CrossRef]
- Li, Z.; Hanafy, H.; Zhang, L.; Sellaoui, L.; Netto, M.S.; Oliveira, M.L.S.; Selim, M.K.; Dotto, G.L.; Bonilla-Petriciolet, A.; Li, Q. Adsorption of congo red and methylene blue dyes on an ashitaba waste and a walnut shell-based activated carbon from aqueous solutions: Experiments, characterization and physical interpretations. Chem. Eng. J. 2020, 388, 124263. [Google Scholar] [CrossRef]
- Sabzevari, A.; Kabiri, K. Converting date seed biomass into highly absorbing hydrogel. Iran Polym. J. 2016, 25, 597–606. [Google Scholar] [CrossRef]
- Giri, D.D.; Jha, J.M.; Tiwari, A.K.; Srivastava, N.; Hashem, A.; Alqarawi, A.A.; Abd_Allah, E.F.; Pal, D.B. Java plum and amaltash seed biomass based bio-adsorbents for synthetic wastewater treatment. Environ. Pollut. 2021, 280, 116890. [Google Scholar] [CrossRef] [PubMed]
- Aljoumaa, K.; Tabeikh, H.; Abboudi, M. Characterization of apricot kernel shells (Prunus armeniaca) by FTIR spectroscopy, DSC and TGA. J. Indian Acad. Wood Sci. 2017, 14, 127–132. [Google Scholar] [CrossRef]
- Nicolás-Bermudez, J.; Arzate-Vázquez, I.; Chanona-Pérez, J.J.; Méndez-Méndez, J.V.; Perea-Flores, M.J.; Rodríguez-Castro, G.A.; Domínguez-Fernández, R.N. Characterization of the hierarchical architecture and micromechanical properties of walnut shell (Juglans regia L.). J. Mech. Behav. Biomed. Mat. 2022, 130, 105190. [Google Scholar] [CrossRef] [PubMed]
- Ciolacu, F.; Ianuș, G.; Marian, G.; Munteanu, C.; Paleu, V.; Nazar, B.; Istrate, B.; Gudîma, A.; Daraduda, N. A qualitative assessment of the specific woody biomass of fruit trees. Forests 2022, 13, 405. [Google Scholar] [CrossRef]
- Rayón, E.; Ferrandiz, S.; Rico, M.I.; López, J.; Arrieta, M.P. Microstructure, mechanical, and thermogravimetric characterization of cellulosic by-products obtained from biomass seed. Int. J. Food Prop. 2015, 18, 1211–1222. [Google Scholar] [CrossRef]
- Du, F.; Tan, T. Recent studies in mechanical properties of selected hard-shelled seeds: A review. JOM 2021, 73, 1723–1735. [Google Scholar] [CrossRef]
- Rahman, M.S.; Kasapis, S.; Al-Kharusi, N.S.Z.; Al-Marhubi, I.M.; Khan, A.J. Composition characterization and thermal transition of date pit powders. J. Food Eng. 2007, 80, 1–10. [Google Scholar] [CrossRef]
- Allouch, D.; Popa, M.; Popa, V.I.; Lisa, G.; Puițel, A.C.; Nasri, H. Characterization of components isolated from algerian apricot shells (Prunus armeniaca L.). Cellul. Chem. Technol. 2019, 53, 851–859. [Google Scholar] [CrossRef]
- Butnaru, E.; Stoleru, E.; Brebu, M. Valorization of forestry residues by thermal methods. The effect of temperature on gradual degradation of structural components in bark from silver fir (Abies alba Mill.). Ind. Crops Prod. 2022, 187, 115376. [Google Scholar] [CrossRef]
- Ionita, D.; Asandulesa, M.; Cristea, M. Methods for characterization of dielectric and thermal properties of biomaterials. In Functional Biomaterials. Design and Development for Biotechnology, Pharmacology, and Biomedicine; Mohan, T., Kleinschek, K.S., Eds.; WILEY-VCH GmbH: Weinheim, Germany, 2023; Volume 1, pp. 83–109. [Google Scholar] [CrossRef]
- Fernandez, A.; Saffe, A.; Pereyra, R.; Mazza, G.; Rodriguez, R. Kinetic study of agro-industrial wastes pyrolysis using non-isothermal TGA analysis. Appl. Therm. Eng. 2016, 106, 1157–1164. [Google Scholar] [CrossRef]
- Uzun, B.B.; Yaman, E. Pyrolysis kinetics of walnut shell and waste polyolefins using thermogravimetric analysis. J. Energy Inst. 2017, 90, 825–837. [Google Scholar] [CrossRef]
- Findorák, R.; Fröhlichová, M.; Legemza, J.; Findorákova, L. Thermal degradation and kinetic study of sawdust and walnut shells via thermal analysis. J. Therm. Anal. Calorim. 2016, 125, 689–694. [Google Scholar] [CrossRef]
- Dranca, I.; Lupascu, T.; Vogelsang, K.; Monahova, L. Utilization of thermal analysis to establish the optimal conditions for regeneration of activated carbons. J. Therm. Anal. Charact. 2001, 64, 945–953. [Google Scholar] [CrossRef]
- Rahman, M.S. State diagram of foods: Its potential use in food processing and product stability. Trends Food Sci. Technol. 2006, 17, 129–141. [Google Scholar] [CrossRef]
- Chartoff, R.P.; Menczel, J.D.; Dillman, S.D. Dynamic mechanical analysis. In Thermal Analysis of Polymers. Fundamentals and Applications, 1st ed.; Menczel, J.D., Bruce Prime, R., Eds.; John Wiley & Sons: Hoboken, NJ, USA, 2009; pp. 387–495. [Google Scholar]
- Sun, N.; Das, S.; Frazier, C.E. Dynamic mechanical analysis of dry wood: Linear viscoelastic response region and effects of minor moisture changes. Holzforschung 2007, 61, 28–33. [Google Scholar] [CrossRef]
- Sharma, M.; Brennan, M.; Chauhan, S.S.; Entwistle, K.M.; Altaner, C.M.; Harris, P.J. Wood quality assessment of Pinus radiata (radiata pine) samplings by dynamic mechanical analysis. Wood Sci. Technol. 2015, 49, 1239–1250. [Google Scholar] [CrossRef]
- Obataya, E.; Norimoto, M.; Tomita, B. Mechanical relaxation processes of wood in the low-temperature range. J. Appl. Polym. Sci. 2001, 81, 3338–3347. [Google Scholar] [CrossRef]
- Jakes, J.E.; Hunt, C.G.; Zelinka, S.L.; Ciesielski, P.N.; Plaza, N.Z. Effects of moisture on diffusion in unmodified wood cell walls: A phenomenological polymer science approach. Forests 2019, 10, 1084. [Google Scholar] [CrossRef]
- Ou, R.; Xie, Y.; Wang, Q.; Sui, S.; Wolcott, M.P. Material pocket dynamic mechanical analysis: A novel tool to study thermal transition in wood fibers plasticized by an ionic liquid (IL). Holzforschung 2015, 69, 223–232. [Google Scholar] [CrossRef]
- Guigo, N.; Mija, A.; Vincent, L.; Sbirrazzuoli, N. Molecular mobility and relaxation process of isolated lignin studied by multifrequency calorimetric experiments. Phys. Chem. Chem. Phys. 2009, 11, 1227–1236. [Google Scholar] [CrossRef] [PubMed]
- Al-Khalili, M.; Al-Habsi, N.; Al-Khusaibi, M.; Rahman, M.S. Proton, thermal and mechanical relaxation characteristics of a complex biomaterial (de-fatted date-pits) as a function of temperature. J. Therm. Anal. Calorim. 2023, 148, 3525–3534. [Google Scholar] [CrossRef]
- Antreich, S.J.; Xiao, N.; Huss, J.C.; Horbelt, N.; Eder, M.; Weinkamer, R.; Gierlinger, N. The puzzle of the walnut shell: A novel cell type with interlocked packing. Adv. Sci. 2019, 6, 1900644. [Google Scholar] [CrossRef] [PubMed]
- Sánchez-Jiménez, P.E.; Pérez-Maqueda, L.A.; Crespo-Amorós, J.E.; López, J.; Perejón, A.; Criado, J.M. Quantitative characterization of multicomponent polymers by sample-controlled thermal analysis. Anal. Chem. 2010, 82, 8875–8880. [Google Scholar] [CrossRef] [PubMed]
- Serapiglia, M.J.; Cameron, K.D.; Stipanovic, A.J.; Smart, L.B. Analysis of biomass composition using high-resolution thermogravimetric analysis and percent bark content for the selection of shrub willow bioenergy crop varieties. Bioenerg. Res. 2009, 2, 1–9. [Google Scholar] [CrossRef]
- Kubo, S.; Kadla, J.F. Thermal decomposition study of isolated lignin using temperature modulated TGA. J. Wood Chem. Technol. 2008, 28, 106–121. [Google Scholar] [CrossRef]
- Sun, L.; Wu, Q.; Xie, Y.; Cueto, R.; Lee, S.; Wang, Q. Thermal degradation and flammability behavior of fire-retarded wood floor/polypropylene composites. J. Fire Sci. 2016, 34, 226–239. [Google Scholar] [CrossRef]
- Fernandez, A.; Rodriguez Ortiz, L.; Asensio, D.; Rodriguez, R.; Mazza, G. Kinetic analysis and thermodynamics properties of air/steam gasification of agriculturalwaste. J. Environ. Chem. Eng. 2020, 8, 103829. [Google Scholar] [CrossRef]
- Predeanu, G.; Slavescu, V.; Dragoescu, M.F.; Balanescu, N.M.; Fiti, A.; Meghea, A.; Samoila, P.; Harabagiu, V.; Ignat, M.; Manea-Saghin, A.-M.; et al. Green synthesis of advanced carbon materials used as precursors for adsorbents applied in wastewater treatment. Materials 2023, 16, 1036. [Google Scholar] [CrossRef] [PubMed]
- Enache, A.-C.; Samoila, P.; Cojocaru, C.; Apolzan, R.; Predeanu, G.; Harabagiu, V. An eco-friendly modification of a walnut shell biosorbent for increased efficiency in wastewater treatment. Sustainability 2023, 15, 2704. [Google Scholar] [CrossRef]
- Vyazovkin, S.; Burnham, A.K.; Favergeon, L.; Koga, N.; Moukhina, E.; Pérez-Maqueda, L.A.; Sbirrazzuoli, N. ICTAC Kinetics Committee recommendations for analysis of multi-step kinetics. Thermochim. Acta 2020, 689, 178597. [Google Scholar] [CrossRef]
- El Abbari, H.; Bentahar, S.; El Marouani, M.; Taibi, M.; Zeriouh, A.; Sebbahi, S.; Kifani-Sahban, F. Thermal and thermomechanical behavior of Moroccan Boufeggous variety date seeds. J. Therm. Anal. Calorim. 2019, 137, 1485–1492. [Google Scholar] [CrossRef]
- Salazar-Cruz, B.A.; Chávez-Cinco, M.Y.; Morales-Cepeda, A.B.; Ramos-Gálvan, C.E.; Rivera-Armenta, J.L. Evaluation of thermal properties of composites prepared from pistachio shell particles treated chemically and propylene. Molecules 2022, 27, 426. [Google Scholar] [CrossRef] [PubMed]
- Torres-García, E.; Ramírez-Verduzco, L.F.; Aburto, J. Pyrolytic degradation of peanut shell: Activation energy dependence on the conversion. Waste Manag. 2020, 106, 203–212. [Google Scholar] [CrossRef]
- Silva, J.E.; Calixto, G.Q.; de Almeida, C.C.; Melo, D.M.A.; Melo, M.A.F.; Freitas, J.C.O.; Braga, R.M. Energy potential and thermogravimetric study of pyrolysis kinetics of biomass wastes. J. Therm. Anal. Calorim. 2019, 137, 1635–1643. [Google Scholar] [CrossRef]
- Cheng, K.; Winter, W.T.; Stipanovic, A.J. A modulated-TGA approach to the kinetics of lignocellulosic biomass pyrolysis/combustion. Polym. Degrad. Stab. 2012, 97, 1606–1615. [Google Scholar] [CrossRef]
- Menard, K.P. Dynamic mechanical nalysis. In A Practical Introduction, 1st ed.; CRC Press: Boca Raton, FL, USA, 1999; pp. 61–89. [Google Scholar]
- Zhao, N.; Li, B.; Zhu, Y.; Li, D.; Wang, L. Viscoelastic analysis of oat grain within linear viscoelastic region by using dynamic mechanical analyzer. Int. J. Food Eng. 2020, 16, 20180350. [Google Scholar] [CrossRef]
- Cristea, M. Dynamic mechanical analysis in polymeric multiphase systems. In Multiphase Polymer Systems. Micro- to Nanostructural Evolution in Advanced Technologies; Barzic, A.I., Ioan, S., Eds.; CRC Press: Boca Raton, FL, USA, 2017; pp. 173–191. [Google Scholar]
- Lee, C.Y.C.; Goldfarb, I.J. The glass transition temperature of partially cured polymers as a non-equilibrium parameter and its effect on observed dynamic mechanical behavior. Polym. Eng. Sci. 1981, 21, 951–957. [Google Scholar] [CrossRef]
- Cristea, M.; Ionita, D.; Simionescu, B.C. A new insight in the dynamo-mechanical behavior of poly(ethylene terephthalate). Eur. Polym. J. 2010, 46, 2005–2012. [Google Scholar] [CrossRef]
- Cristea, M.; Ionita, D.; Doroftei, F.; Simionescu, B.C. Effect of long-term and short-term dynamic mechanical evaluation of networks based on urethane and soybean oil. J. Mech. Behav. Biomed. Mat. 2013, 17, 317–326. [Google Scholar] [CrossRef] [PubMed]
- Tripathi, M.; Sahu, J.N.; Ganesan, P. Effect of process parameters on production of biochar from biomass waste through pyrolysis: A review. Renew. Sustain. Energy Rev. 2016, 55, 467–481. [Google Scholar] [CrossRef]
- Pezzin, G. The water relaxation in polymers containing the amide group. Polym. Eng. Sci. 1978, 18, 821–823. [Google Scholar] [CrossRef]
- Hiltner, A. Interaction of water with macromolecules by dynamic mechanical analysis. Polym. Eng. Sci. 1979, 19, 722–727. [Google Scholar] [CrossRef]
- Cristea, M.; Ionita, D.; Simionescu, B. Dynamic mechanical analysis on regenerated cellulose. Rev. Chim. 2008, 59, 1088–1091. [Google Scholar] [CrossRef]
- Roudaut, G.; Poirier, F.; Simatos, D.; Le Meste, M. Can dynamic mechanical measurements predict brittle fracture behavior? Rheol. Acta. 2004, 44, 104–111. [Google Scholar] [CrossRef]










| Hemicellulose | Cellulose | Lignin | Reference | |
|---|---|---|---|---|
| WS | 22.40 | 23.90 | 50.30 | [4,19,22] |
| PsS | 31.40 | 38.10 | 25.60 | [26] |
| AS | 17.01 | 29.57 | 47.97 | [22,24] |
| DS | 26.80 | 23.90 | 21.60 | [14] |
| PS | 24.46 | 21.34 | 42.15 | [64] |
| Sample | Main Degradation | T10 (3) (°C) | Residue (4) (%) | ||
|---|---|---|---|---|---|
| Tdeg onset (1) (°C) | Tmax (2) (°C) | Mass Loss (%) | |||
| WS | 231.0 | 364.8 | 65.4 | 258.3 | 25.0 |
| PsS | 257.4 | 357.7 | 70.8 | 275.4 | 22.4 |
| AS | 220.7 | 371.1 | 74.8 | 270.6 | 18.8 |
| DS | 223.6 | 319.3 | 71.1 | 261.9 | 22.6 |
| PS | 270.3 | 373.1 | 68.1 | 284.7 | 23.0 |
Disclaimer/Publisher’s Note: The statements, opinions and data contained in all publications are solely those of the individual author(s) and contributor(s) and not of MDPI and/or the editor(s). MDPI and/or the editor(s) disclaim responsibility for any injury to people or property resulting from any ideas, methods, instructions or products referred to in the content. |
© 2023 by the authors. Licensee MDPI, Basel, Switzerland. This article is an open access article distributed under the terms and conditions of the Creative Commons Attribution (CC BY) license (https://creativecommons.org/licenses/by/4.0/).
Share and Cite
Ionita, D.; Cristea, M.; Cosmulescu, S.F.; Predeanu, G.; Harabagiu, V.; Samoila, P. Thermal and Viscoelastic Responses of Selected Lignocellulosic Wastes: Similarities and Differences. Polymers 2023, 15, 2100. https://doi.org/10.3390/polym15092100
Ionita D, Cristea M, Cosmulescu SF, Predeanu G, Harabagiu V, Samoila P. Thermal and Viscoelastic Responses of Selected Lignocellulosic Wastes: Similarities and Differences. Polymers. 2023; 15(9):2100. https://doi.org/10.3390/polym15092100
Chicago/Turabian StyleIonita, Daniela, Mariana Cristea, Susana Felicia Cosmulescu, Georgeta Predeanu, Valeria Harabagiu, and Petrisor Samoila. 2023. "Thermal and Viscoelastic Responses of Selected Lignocellulosic Wastes: Similarities and Differences" Polymers 15, no. 9: 2100. https://doi.org/10.3390/polym15092100
APA StyleIonita, D., Cristea, M., Cosmulescu, S. F., Predeanu, G., Harabagiu, V., & Samoila, P. (2023). Thermal and Viscoelastic Responses of Selected Lignocellulosic Wastes: Similarities and Differences. Polymers, 15(9), 2100. https://doi.org/10.3390/polym15092100

