Pilot-Scale Electrospinning of PLA Using Biobased Dyes as Multifunctional Additives
Abstract
:1. Introduction
2. Materials and Methods
2.1. Materials
2.2. Methods
2.2.1. Compounding
2.2.2. Pilot-Scale Melt-Electrospinning Equipment
2.2.3. Characterization of Raw Materials
2.2.4. Characterization of Composites
2.2.5. Characterization of Melt-Electrospun Fiber Webs
3. Results and Discussion
3.1. Overall Experimental Approach
3.2. Characterization of Materials
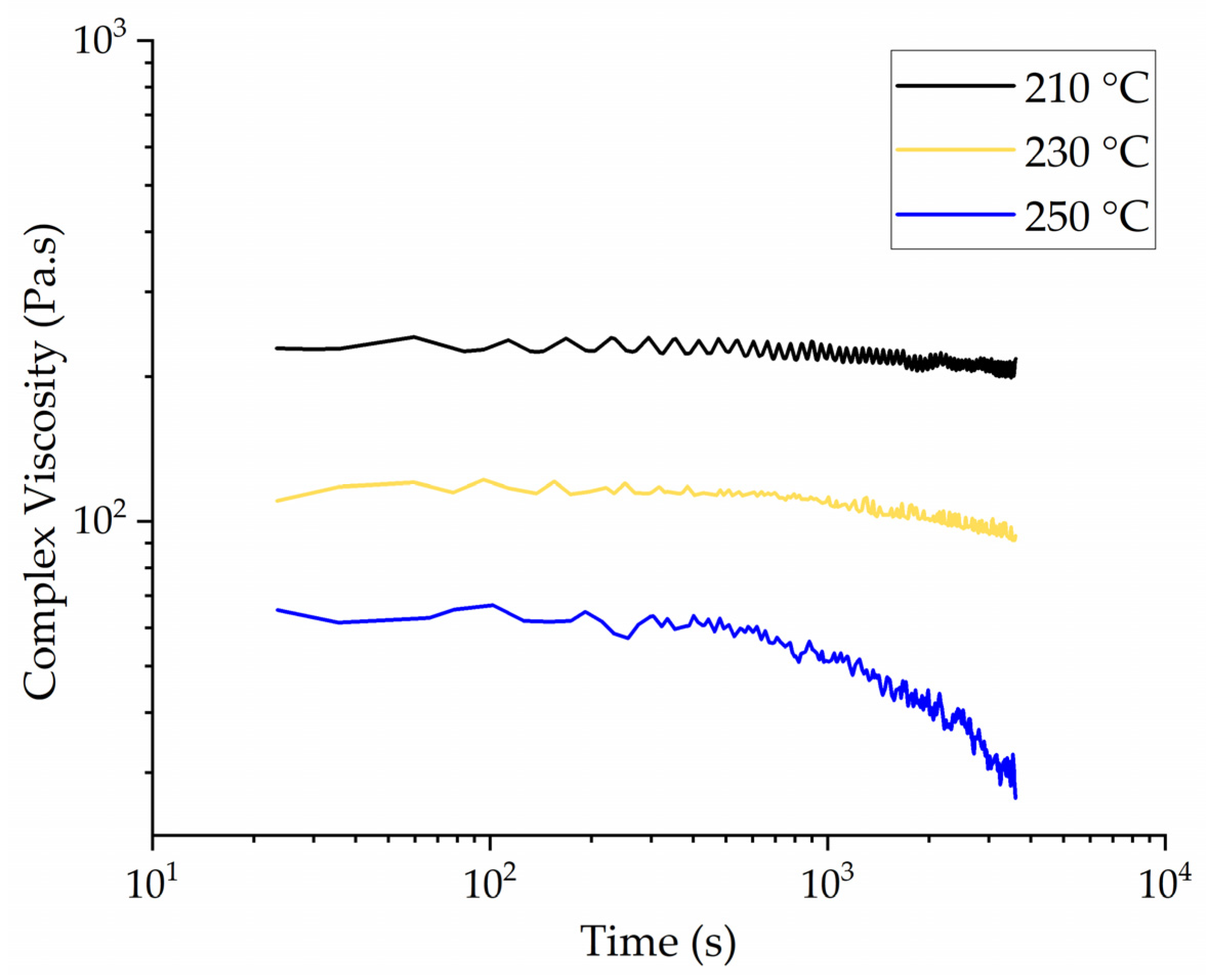
3.2.1. Rheological Analysis of PLA
3.2.2. Thermal Stability of the Dyes
3.2.3. Antibacterial Activity of the Dyes
3.2.4. Thermal Analysis of the Dyes
3.3. Characterization of Composites
3.3.1. Analysis of PLA and Its Composites by GPC
3.3.2. Analysis of PLA and Its Composites by FTIR Spectroscopy
3.3.3. Thermal Stability of PLA and Its Composites
3.3.4. Thermal Analysis of PLA and Its Composites
3.4. Characterization of the Fiber Webs
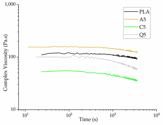
3.4.1. Effect of Dyes on the Viscosity of PLA
3.4.2. Effect of Dyes on the Electrical Resistance of PLA and Composite Fibers
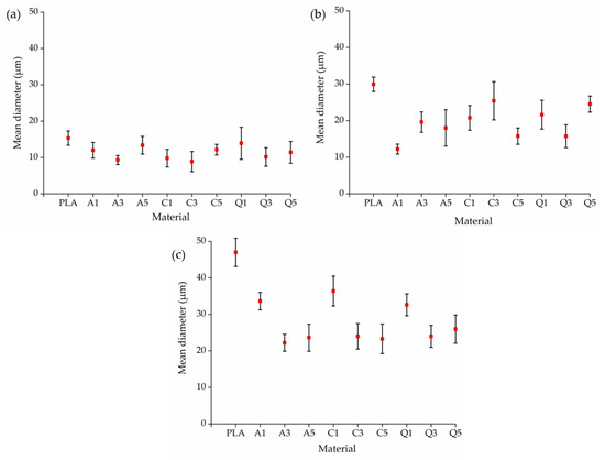
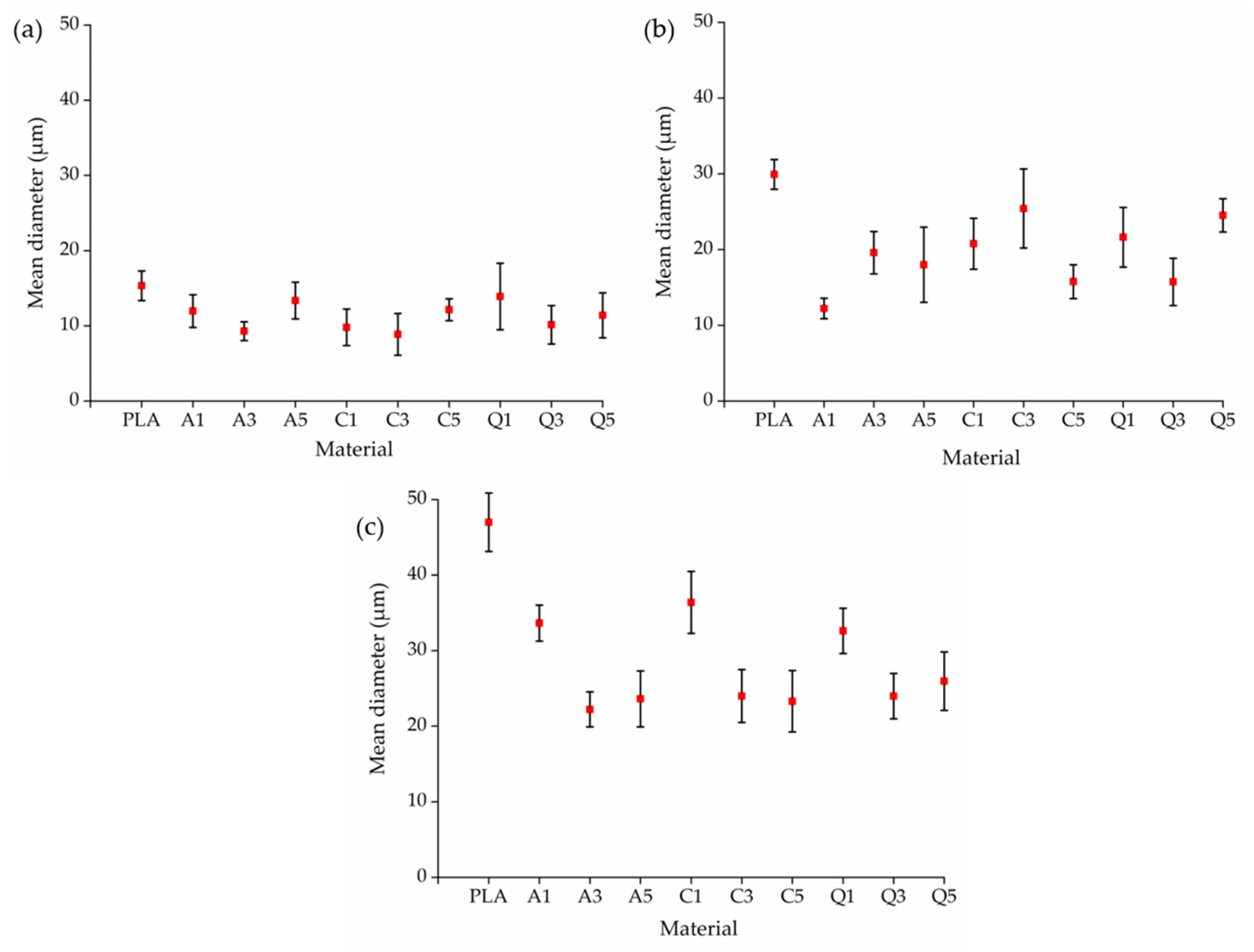
3.4.3. The Diameter of PLA and Composite Fibers
3.4.4. Analysis of Melt-Electrospun Webs by DSC
3.4.5. Analysis of Melt-Electrospun Fiber Webs by GPC
3.4.6. Antibacterial Properties of Melt-Electrospun Fiber Webs
4. Conclusions
Author Contributions
Funding
Institutional Review Board Statement
Informed Consent Statement
Data Availability Statement
Acknowledgments
Conflicts of Interest
References
- McClellan, P.; Landis, W.J. Recent Applications of Coaxial and Emulsion Electrospinning Methods in the Field of Tissue Engineering. Biores. Open Access 2016, 5, 212–227. [Google Scholar] [CrossRef] [PubMed] [Green Version]
- Brown, T.D.; Dalton, P.D.; Hutmacher, D.W. Melt electrospinning today: An opportune time for an emerging polymer process. Prog. Polym. Sci. 2016, 56, 116–166. [Google Scholar] [CrossRef]
- Shin, S.H.; Purevdorj, O.; Castano, O.; Planell, J.A.; Kim, H.W. A short review: Recent advances in electrospinning for bone tissue regeneration. J. Tissue Eng. 2012, 3, 2041731412443530. [Google Scholar] [CrossRef] [PubMed]
- Khajavi, R.; Abbasipour, M.; Bahador, A. Electrospun biodegradable nanofibers scaffolds for bone tissue engineering. J. Appl. Polym. Sci. 2016, 133. [Google Scholar] [CrossRef]
- Mani, M.P.; Jaganathan, S.K.; Ismail, A.F. Appraisal of electrospun textile scaffold comprising polyurethane decorated with ginger nanofibers for wound healing applications. J. Ind. Text. 2018, 49, 648–662. [Google Scholar] [CrossRef]
- Ma, B.; Xie, J.; Jiang, J.; Shuler, F.D.; Bartlett, D.E. Rational design of nanofiber scaffolds for orthopedic tissue repair and regeneration. Nanomedicine 2013, 8, 1459–1481. [Google Scholar] [CrossRef] [Green Version]
- Nan, N.; He, J.; You, X.; Sun, X.; Zhou, Y.; Qi, K.; Shao, W.; Liu, F.; Chu, Y.; Ding, B. A Stretchable, Highly Sensitive, and Multimodal Mechanical Fabric Sensor Based on Electrospun Conductive Nanofiber Yarn for Wearable Electronics. Adv. Mater. Technol. 2019, 4. [Google Scholar] [CrossRef]
- Bhat, S.G. Advances in Polymeric Nanofiber Manufacturing Technologies. J. Nanomater. Mol. Nanotechnol. 2016, 5. [Google Scholar] [CrossRef]
- Mehdi, M.; Mahar, F.K.; Qureshi, U.A.; Khatri, M.; Khatri, Z.; Ahmed, F.; Kim, I.S. Preparation of colored recycled polyethylene terephthalate nanofibers from waste bottles: Physicochemical studies. Adv. Polym. Technol. 2018, 37, 2820–2827. [Google Scholar] [CrossRef]
- Koenig, K.; Beukenberg, K.; Langensiepen, F.; Seide, G. A new prototype melt-electrospinning device for the production of biobased thermoplastic sub-microfibers and nanofibers. Biomater. Res. 2019, 23, 10. [Google Scholar] [CrossRef] [Green Version]
- Bhardwaj, N.; Kundu, S.C. Electrospinning: A fascinating fiber fabrication technique. Biotechnol. Adv. 2010, 28, 325–347. [Google Scholar] [CrossRef] [PubMed]
- Suvorov, V.G.; Zubarev, N.M. Formation of the Taylor cone on the surface of liquid metal in the presence of an electric field. J. Phys. D Appl. Phys. 2004, 37, 289–297. [Google Scholar] [CrossRef]
- Yarin, A.L.; Koombhongse, S.; Reneker, D.H. Taylor cone and jetting from liquid droplets in electrospinning of nanofibers. J. Appl. Phys. 2001, 90, 4836–4846. [Google Scholar] [CrossRef] [Green Version]
- Góra, A.; Sahay, R.; Thavasi, V.; Ramakrishna, S. Melt-Electrospun Fibers for Advances in Biomedical Engineering, Clean Energy, Filtration, and Separation. Polym. Rev. 2011, 51, 265–287. [Google Scholar] [CrossRef]
- Zhou, Y.; He, J.; Wang, H.; Qi, K.; Nan, N.; You, X.; Shao, W.; Wang, L.; Ding, B.; Cui, S. Highly sensitive, self-powered and wearable electronic skin based on pressure-sensitive nanofiber woven fabric sensor. Sci. Rep. 2017, 7, 12949. [Google Scholar] [CrossRef] [PubMed] [Green Version]
- Ogata, N.; Yamaguchi, S.; Shimada, N.; Lu, G.; Iwata, T.; Nakane, K.; Ogihara, T. Poly(lactide) nanofibers produced by a melt-electrospinning system with a laser melting device. J. Appl. Polym. Sci. 2007, 104, 1640–1645. [Google Scholar] [CrossRef]
- Nayak, R.; Kyratzis, I.L.; Truong, Y.B.; Padhye, R.; Arnold, L. Melt-electrospinning of polypropylene with conductive additives. J. Mater. Sci. 2012, 47, 6387–6396. [Google Scholar] [CrossRef]
- Balakrishnan, N.K.; Koenig, K.; Seide, G. The Effect of Dye and Pigment Concentrations on the Diameter of Melt-Electrospun Polylactic Acid Fibers. Polymers 2020, 12, 2321. [Google Scholar] [CrossRef]
- Koenig, K.; Balakrishnan, N.; Hermanns, S.; Langensiepen, F.; Seide, G. Biobased Dyes as Conductive Additives to Reduce the Diameter of Polylactic Acid Fibers during Melt Electrospinning. Materials 2020, 13, 1055. [Google Scholar] [CrossRef] [Green Version]
- Abubakari, I.; Babu, N.S.; Vuai, S.; Makangara, J. Optical and photovoltaic properties of substituted alizarin dyes for dye-sensitized solar cells application. Energy Sources Part A Recovery Util. Environ. Eff. 2020, 43, 2569–2582. [Google Scholar] [CrossRef]
- Cui, L.; Hu, J.-j.; Wang, W.; Yan, C.; Guo, Y.; Tu, C. Smart pH response flexible sensor based on calcium alginate fibers incorporated with natural dye for wound healing monitoring. Cellulose 2020, 27, 6367–6381. [Google Scholar] [CrossRef]
- Pandey, S.K.; Patel, D.K.; Thakur, R.; Mishra, D.P.; Maiti, P.; Haldar, C. Anti-cancer evaluation of quercetin embedded PLA nanoparticles synthesized by emulsified nanoprecipitation. Int. J. Biol. Macromol. 2015, 75, 521–529. [Google Scholar] [CrossRef] [PubMed]
- Perumal, G.; Pappuru, S.; Chakraborty, D.; Maya Nandkumar, A.; Chand, D.K.; Doble, M. Synthesis and characterization of curcumin loaded PLA-Hyperbranched polyglycerol electrospun blend for wound dressing applications. Mater. Sci. Eng. C Mater. Biol. Appl. 2017, 76, 1196–1204. [Google Scholar] [CrossRef] [PubMed]
- Ostheller, M.E.; Abdelgawad, A.M.; Balakrishnan, N.K.; Hassanin, A.H.; Groten, R.; Seide, G. Curcumin and Silver Doping Enhance the Spinnability and Antibacterial Activity of Melt-Electrospun Polybutylene Succinate Fibers. Nanomaterials 2022, 12, 283. [Google Scholar] [CrossRef]
- Roy, S.; Rhim, J.W. Preparation of bioactive functional poly(lactic acid)/curcumin composite film for food packaging application. Int. J. Biol. Macromol. 2020, 162, 1780–1789. [Google Scholar] [CrossRef]
- Kost, B.; Svyntkivska, M.; Brzezinski, M.; Makowski, T.; Piorkowska, E.; Rajkowska, K.; Kunicka-Styczynska, A.; Biela, T. PLA/beta-CD-based fibres loaded with quercetin as potential antibacterial dressing materials. Colloids Surf. B Biointerfaces 2020, 190, 110949. [Google Scholar] [CrossRef]
- Ghorai, S.; Laskin, A.; Tivanski, A.V. Spectroscopic evidence of keto-enol tautomerism in deliquesced malonic acid particles. J. Phys. Chem. A 2011, 115, 4373–4380. [Google Scholar] [CrossRef]
- Zhang, C.; Lan, Q.; Zhai, T.; Nie, S.; Luo, J.; Yan, W. Melt Crystallization Behavior and Crystalline Morphology of Polylactide/Poly(epsilon-caprolactone) Blends Compatibilized by Lactide-Caprolactone Copolymer. Polymers 2018, 10, 1181. [Google Scholar] [CrossRef] [Green Version]
- Preat, J.; Laurent, A.D.; Michaux, C.; Perpète, E.A.; Jacquemin, D. Impact of tautomers on the absorption spectra of neutral and anionic alizarin and quinizarin dyes. J. Mol. Struct. THEOCHEM 2009, 901, 24–30. [Google Scholar] [CrossRef]
- Cyrański, M.K.; Jamróz, M.H.; Rygula, A.; Dobrowolski, J.C.; Dobrzycki, Ł.; Baranska, M. On two alizarin polymorphs. CrystEngComm 2012, 14, 3667–3676. [Google Scholar] [CrossRef]
- Rege, S.A.; Arya, M.; Momin, S.A. Structure activity relationship of tautomers of curcumin: A review. Ukr. Food J. 2019, 8, 45–60. [Google Scholar] [CrossRef]
- Mofokeng, J.P.; Luyt, A.S.; Tábi, T.; Kovács, J. Comparison of injection moulded, natural fibre-reinforced composites with PP and PLA as matrices. J. Thermoplast. Compos. Mater. 2011, 25, 927–948. [Google Scholar] [CrossRef]
- Ochi, S. Mechanical properties of kenaf fibers and kenaf/PLA composites. Mech. Mater. 2008, 40, 446–452. [Google Scholar] [CrossRef]
- Cuiffo, M.A.; Snyder, J.; Elliott, A.M.; Romero, N.; Kannan, S.; Halada, G.P. Impact of the Fused Deposition (FDM) Printing Process on Polylactic Acid (PLA) Chemistry and Structure. Appl. Sci. 2017, 7, 579. [Google Scholar] [CrossRef] [Green Version]
- Mai, F.; Tu, W.; Bilotti, E.; Peijs, T. The Influence of Solid-State Drawing on Mechanical Properties and Hydrolytic Degradation of Melt-Spun Poly(Lactic Acid) (PLA) Tapes. Fibers 2015, 3, 523–538. [Google Scholar] [CrossRef] [Green Version]
- Siebert, S.; Berghaus, J.; Seide, G. Nucleating Agents to Enhance Poly(l-Lactide) Fiber Crystallization during Industrial-Scale Melt Spinning. Polymers 2022, 14, 1395. [Google Scholar] [CrossRef]






















| Additive | Chemical Structure | Melting Point (°C) |
|---|---|---|
| Alizarin | ![]() | ~280 |
| Curcumin | ![]() | ~175 |
| Quercetin | ![]() | ~320 |
| Composite Abbreviation | Colorant Name | Percentage (w/w) of Colorant |
|---|---|---|
| PLA | – | - |
| A1 | Alizarin | 1 |
| A3 | 3 | |
| A5 | 5 | |
| C1 | Curcumin | 1 |
| C3 | 3 | |
| C5 | 5 | |
| Q1 | Quercetin | 1 |
| Q3 | 3 | |
| Q5 | 5 |
| Sample | Mn (g/mol) | Mw (g/mol) | PDI |
|---|---|---|---|
| Pure PLA | 55,000 ± 5000 | 105,000 ± 10,500 | 1.89 ± 0.3 |
| Alizarin A5 | 54,400 ± 5340 | 105,000 ± 9800 | 1.92 ± 0.2 |
| Curcumin C5 | 53,000 ± 5200 | 99,000 ± 9600 | 1.87 ± 0.4 |
| Quercetin Q5 | 58,700 ± 5570 | 108,000 ± 10,000 | 1.84 ± 0.3 |
| Material | Tg [°C] | Tcc [°C] | Trc [°C] | Tm [°C] | Tc [°C] |
|---|---|---|---|---|---|
| PLA | 59.70 | 95.90 | 160.90 | 176.10 | 98.70 |
| A5 | 60.10 | 93.30 | 158.80 | 173.60 | 117.10 |
| C5 | 60.70 | 96.10 | 158.80 | 174.00 | - |
| Q5 | 62.50 | 95.80 | 157.00 | 174.10 | - |
| Material | Tg [°C] | Tcc [°C] | Tm [°C] | Xc [%] |
|---|---|---|---|---|
| PLA P2 | 59.50 | 94.70 | 174.10 | 12.39 |
| PLA P5 | 60.00 | 94.70 | 174.50 | 13.47 |
| PLA P10 | 59.40 | 94.60 | 173.50 | 10.70 |
| A5 P5 | 59.60 | 95.10 | 173.00 | 11.17 |
| C5 P5 | 62.00 | 94.40 | 173.40 | 11.18 |
| Q5 P5 | 60.00 | 95.80 | 173.90 | 12.27 |
| Sample | Mn (g/mol) | Mw (g/mol) | PDI |
|---|---|---|---|
| PLA | 51,100 ± 3000 | 94,000 ± 9000 | 1.84 ± 0.2 |
| A5 | 62,400 ± 5000 | 74,300 ± 6000 | 1.19 ± 0.3 |
| C5 | 57,500 ± 5200 | 80,600 ± 7000 | 1.40 ± 0.4 |
| Q5 | 56,900 ± 4000 | 91,800 ± 9000 | 1.61 ± 0.2 |
Publisher’s Note: MDPI stays neutral with regard to jurisdictional claims in published maps and institutional affiliations. |
© 2022 by the authors. Licensee MDPI, Basel, Switzerland. This article is an open access article distributed under the terms and conditions of the Creative Commons Attribution (CC BY) license (https://creativecommons.org/licenses/by/4.0/).
Share and Cite
Balakrishnan, N.K.; Ostheller, M.-E.; Aldeghi, N.; Schmitz, C.; Groten, R.; Seide, G. Pilot-Scale Electrospinning of PLA Using Biobased Dyes as Multifunctional Additives. Polymers 2022, 14, 2989. https://doi.org/10.3390/polym14152989
Balakrishnan NK, Ostheller M-E, Aldeghi N, Schmitz C, Groten R, Seide G. Pilot-Scale Electrospinning of PLA Using Biobased Dyes as Multifunctional Additives. Polymers. 2022; 14(15):2989. https://doi.org/10.3390/polym14152989
Chicago/Turabian StyleBalakrishnan, Naveen Kumar, Maike-Elisa Ostheller, Niccolo Aldeghi, Christian Schmitz, Robert Groten, and Gunnar Seide. 2022. "Pilot-Scale Electrospinning of PLA Using Biobased Dyes as Multifunctional Additives" Polymers 14, no. 15: 2989. https://doi.org/10.3390/polym14152989
APA StyleBalakrishnan, N. K., Ostheller, M.-E., Aldeghi, N., Schmitz, C., Groten, R., & Seide, G. (2022). Pilot-Scale Electrospinning of PLA Using Biobased Dyes as Multifunctional Additives. Polymers, 14(15), 2989. https://doi.org/10.3390/polym14152989




