Preparation and Antifouling Property of Polyurethane Film Modified by PHMG and HA Using Layer-by-Layer Assembly
Abstract
1. Introduction
2. Materials and Methods
2.1. Materials
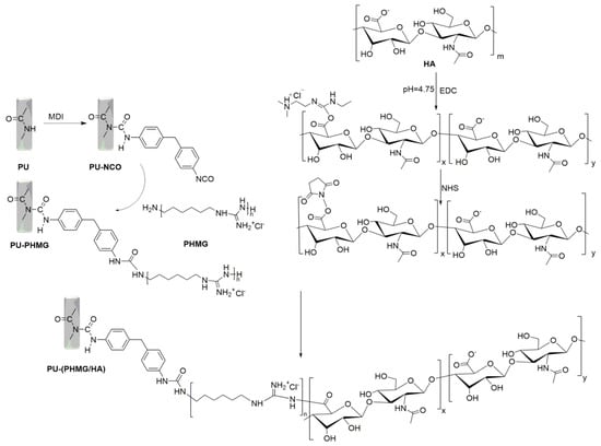
2.2. The Fabrication of the PU-(PHMG/HA)n Films
2.3. Characterizations of the Films
2.4. Protein Adsorption
2.5. Bacteria Adhesion
2.6. Cytotoxicity Test
2.7. Statistical Analysis
3. Results and Discussion
3.1. Characterization of the Films
3.2. Protein Adsorption
3.3. Bacteria Adhesion
3.4. Cytotoxicity Test
4. Conclusions
Author Contributions
Funding
Acknowledgments
Conflicts of Interest
References
- Gultekinoglu, M.; Kurum, B.; Karahan, S.; Kart, D.; Sagiroglu, M.; Ertas, N.; Ozen, A.H.; Ulubayram, K. Polyethyleneimine brushes effectively inhibit encrustation on polyurethane ureteral stents both in dynamic bioreactor and in vivo. Mater. Sci. Eng. C Mater. Biol. Appl. 2017, 71, 1166–1174. [Google Scholar] [CrossRef]
- Gorbunova, M.A.; Anokhin, D.V.; Badamshina, E.R. Recent Advances in the Synthesis and Application of Thermoplastic Semicrystalline Shape Memory Polyurethanes. Polym. Sci. Ser. B 2020, 62, 427–450. [Google Scholar] [CrossRef]
- Yuan, H.H.; Qian, B.; Chen, H.Y.; Lan, M.B. The influence of conditioning film on antifouling properties of the polyurethane film modified by chondroitin sulfate in urine. Appl. Surf. Sci. 2017, 426, 587–596. [Google Scholar] [CrossRef]
- Manohar, C.M.; Doble, M. Papain immobilized polyurethane as an ureteral stent material. J. Biomed. Mater. Res. Part B 2016, 104, 723–731. [Google Scholar] [CrossRef]
- Traxer, O.; Thomas, A. Prospective Evaluation and Classification of Ureteral Wall Injuries Resulting from Insertion of a Ureteral Access Sheath during Retrograde Intrarenal Surgery. J. Urol. 2013, 189, 580–584. [Google Scholar] [CrossRef] [PubMed]
- Cooper, J.L.; Francois, N.; Sourial, M.W.; Miyagi, H.; Rose, J.R.; Shields, J.; Sharma, N.; Domino, P.; Otto, B.; Box, G.N.; et al. The Impact of Ureteral Access Sheath Use on the Development of Abnormal Postoperative Upper Tract Imaging after Ureteroscopy. J. Urol. 2020, 204, 976–981. [Google Scholar] [CrossRef]
- Felgueiras, H.P.; Wang, L.M.; Ren, K.F.; Querido, M.M.; Jin, Q.; Barbosa, M.A.; Ji, J.; Martins, M.C.L. Octadecyl Chains Immobilized onto Hyaluronic Acid Coatings by Thiol-ene “Click Chemistry” Increase the Surface Antimicrobial Properties and Prevent Platelet Adhesion and Activation to Polyurethane. ACS Appl. Mater. Interfaces 2017, 9, 7979–7989. [Google Scholar] [CrossRef]
- Mohan, T.; Cas, A.; Bracic, M.; Plohl, O.; Vesel, A.; Rupnik, M.; Zemljic, L.F.; Rebol, J. Highly Protein Repellent and Antiadhesive Polysaccharide Biomaterial Coating for Urinary Catheter Applications. ACS Biomater. Sci. Eng. 2019, 5, 5825–5832. [Google Scholar] [CrossRef]
- Yuan, H.; Xue, J.; Qian, B.; Chen, H.; Zhu, Y.; Lan, M. Preparation and antifouling property of polyurethane film modified by chondroitin sulfate. Appl. Surf. Sci. 2017, 394, 403–413. [Google Scholar] [CrossRef]
- Fischer, M.; Vahdatzadeh, M.; Konradi, R.; Friedrichs, J.; Maitz, M.F.; Freudenberg, U.; Werner, C. Multilayer hydrogel coatings to combine hemocompatibility and antimicrobial activity. Biomaterials 2015, 56, 198–205. [Google Scholar] [CrossRef]
- Caykara, T.; Sande, M.G.; Azoia, N.; Rodrigues, L.R.; Silva, C.J. Exploring the potential of polyethylene terephthalate in the design of antibacterial surfaces. Med. Microbiol. Immunol. 2020, 209, 363–372. [Google Scholar] [CrossRef]
- Moreno-Couranjou, M.; Mauchauffe, R.; Bonot, S.; Detrembleur, C.; Choquet, P. Anti-biofouling and antibacterial surfaces via a multicomponent coating deposited from an up-scalable atmospheric-pressure plasma-assisted CVD process. J. Mater. Chem. B 2018, 6, 614–623. [Google Scholar] [CrossRef]
- Mutlu, E.C.; Yildirim, A.B.; Yildirm, M.; Ficai, A.; Ficai, D.; Oktar, F.N.; Ţîţu, M.; Çetinkaya, A.; Demir, A. Improvement of antibacterial and biocompatibility properties of electrospray biopolymer films by ZnO and MCM-41. Polym. Bull. 2020, 77, 3657–3675. [Google Scholar] [CrossRef]
- Salguero, Y.; Valenti, L.; Rojas, R.; Garcia, M.C. Ciprofloxacin-intercalated layered double hydroxide-in-hybrid films as composite dressings for controlled antimicrobial topical delivery. Mater. Sci. Eng. C Mater. Biol. Appl. 2020, 111, 110859. [Google Scholar] [CrossRef]
- Wu, Z.; Ma, X.; Ma, Y.; Yang, Z.; Yuan, Y.; Liu, C. Core/Shell PEGS/HA Hybrid Nanoparticle Via Micelle-Coordinated Mineralization for Tumor-Specific Therapy. ACS Appl. Mater. Interfaces 2020, 12, 12109–12119. [Google Scholar] [CrossRef]
- Wang, L.; Dong, S.; Liu, Y.; Ma, Y.; Zhang, J.; Yang, Z.; Jiang, W.; Yuan, Y. Fabrication of Injectable, Porous Hyaluronic Acid Hydrogel Based on an In-Situ Bubble-Forming Hydrogel Entrapment Process. Polymers 2020, 12, 1138. [Google Scholar] [CrossRef]
- Hartmann, H.; Hossfeld, S.; Schlosshauer, B.; Mittnacht, U.; Pego, A.P.; Dauner, M.; Doser, M.; Stoll, D.; Krastev, R. Hyaluronic acid/chitosan multilayer coatings on neuronal implants for localized delivery of siRNA nanoplexes. J. Control. Release 2013, 168, 289–297. [Google Scholar] [CrossRef] [PubMed]
- del Hoyo-Gallego, S.; Perez-Alvarez, L.; Gomez-Galvan, F.; Lizundia, E.; Kuritka, I.; Sedlarik, V.; Laza, J.M.; Vila-Vilela, J.L. Construction of antibacterial poly(ethylene terephthalate) films via layer by layer assembly of chitosan and hyaluronic acid. Carbohydr. Polym. 2016, 143, 35–43. [Google Scholar] [CrossRef] [PubMed]
- Ayaz, P.; Xu, B.; Zhang, X.; Wang, J.; Yu, D.; Wu, J. A pH and hyaluronidase dual-responsive multilayer-based drug delivery system for resisting bacterial infection. Appl. Surf. Sci. 2020, 527, 146806. [Google Scholar] [CrossRef]
- Yan, X.J.; Chen, Q.X.; An, J.X.; Liu, D.E.; Huang, Y.K.; Yang, R.; Li, W.; Chen, L.; Gao, H. Hyaluronic acid/PEGylated amphiphilic nanoparticles for pursuit of selective intracellular doxorubicin release. J. Mater. Chem. B 2019, 7, 95–102. [Google Scholar] [CrossRef] [PubMed]
- Zhang, Y.M.; Wang, F.M.; Huang, Q.L.; Patil, A.B.; Hu, J.J.; Fan, L.L.; Yang, Y.; Duan, H.P.; Dong, X.; Lin, C.J. Layer-by-layer immobilizing of polydopamine-assisted epsilon-polylysine and gum Arabic on titanium: Tailoring of antibacterial and osteogenic properties. Mater. Sci. Eng. C Mater. Biol. Appl. 2020, 110, 13. [Google Scholar] [CrossRef]
- Agarwal, S.; Riffault, M.; Hoey, D.; Duffy, B.; Curtin, J.; Jaiswal, S. Biomimetic Hyaluronic Acid-Lysozyme Composite Coating on AZ31 Mg Alloy with Combined Antibacterial and Osteoinductive Activities. ACS Biomater. Sci. Eng. 2017, 3, 3244–3253. [Google Scholar] [CrossRef] [PubMed]
- Choi, H.; Kim, K.-J.; Lee, D.G. Antifungal activity of the cationic antimicrobial polymer-polyhexamethylene guanidine hydrochloride and its mode of action. Fungal Biol. 2017, 121, 53–60. [Google Scholar] [CrossRef]
- Allen, M.J.; Morby, A.P.; White, G.F. Cooperativity in the binding of the cationic biocide polyhexamethylene biguanide to nucleic acids. Biochem. Biophys. Res. Commun. 2004, 318, 397–404. [Google Scholar] [CrossRef] [PubMed]
- Chindera, K.; Mahato, M.; Sharma, A.K.; Horsley, H.; Kloc-Muniak, K.; Kamaruzzaman, N.F.; Kumar, S.; McFarlane, A.; Stach, J.; Bentin, T.; et al. The antimicrobial polymer PHMB enters cells and selectively condenses bacterial chromosomes. Sci. Rep. 2016, 6, 23121. [Google Scholar] [CrossRef] [PubMed]
- Sowlati-Hashjin, S.; Carbone, P.; Karttunen, M. Insights into the Polyhexamethylene Biguanide (PHMB) Mechanism of Action on Bacterial Membrane and DNA: A Molecular Dynamics Study. J. Phys. Chem. B 2020, 124, 4487–4497. [Google Scholar] [CrossRef]
- Sousa, I.; Maia, F.; Silva, A.; Cunha, A.; Almeida, A.; Evtyugin, D.V.; Tedim, J.; Ferreira, M.G. A novel approach for immobilization of polyhexamethylene biguanide within silica capsules. RSC Adv. 2015, 5, 92656–92663. [Google Scholar] [CrossRef]
- Kamaruzzaman, N.F.; Pina, M.d.F.; Chivu, A.; Good, L. Polyhexamethylene Biguanide and Nadifloxacin Self-Assembled Nanoparticles: Antimicrobial Effects against Intracellular Methicillin-Resistant Staphylococcus aureus. Polymers 2018, 10, 521. [Google Scholar] [CrossRef] [PubMed]
- Wei, D.F.; Ma, Q.X.; Guan, Y.; Hu, F.Z.; Zheng, A.N.; Zhang, X.; Teng, Z.; Jiang, H. Structural characterization and antibacterial activity of oligoguanidine (polyhexamethylene guanidine hydrochloride). Mater. Sci. Eng. C Mater. Biol. Appl. 2009, 29, 1776–1780. [Google Scholar] [CrossRef]
- Ding, X.X.; Chen, F.X.; Guan, Y.; Zheng, A.N.; Wei, D.F.; Xu, X. Preparation and properties of an antimicrobial acrylic coating modified with guanidinium oligomer. J. Coat. Technol. Res. 2020, 17, 1505–1513. [Google Scholar] [CrossRef]
- Gao, Y.; Kong, W.; Li, B.; Ni, Y.; Yuan, T.; Guo, L.; Lin, H.; Fan, H.; Fan, Y.; Zhang, X. Fabrication and characterization of collagen-based injectable and self-crosslinkable hydrogels for cell encapsulation. Colloids Surf. B-Biointerfaces 2018, 167, 448–456. [Google Scholar] [CrossRef]
- Pieper, J.S.; Hafmans, T.; Veerkamp, J.H.; van Kuppevelt, T.H. Development of tailor-made collagen-glycosaminoglycan matrices: EDC/NHS crosslinking, and ultrastructural aspects. Biomaterials 2000, 21, 581–593. [Google Scholar] [CrossRef]
- Song, J.; Xie, J.; Li, C.; Lu, J.-H.; Meng, Q.-F.; Yang, Z.; Lee, R.J.; Wang, D.; Teng, L.-S. Near infrared spectroscopic (NIRS) analysis of drug-loading rate and particle size of risperidone microspheres by improved chemometric model. Int. J. Pharm. 2014, 472, 296–303. [Google Scholar] [CrossRef] [PubMed]
- Martina, S.; Rongo, R.; Bucci, R.; Razionale, A.V.; Valletta, R.; D’Anto, V. In vitro cytotoxicity of different thermoplastic materials for clear aligners. Angle Orthod. 2019, 89, 942–945. [Google Scholar] [CrossRef] [PubMed]
- Chen, Z.; Patwari, M.; Liu, D. Cytotoxicity of orthodontic temporary anchorage devices on human periodontal ligament fibroblasts in vitro. Clin. Exp. Dent. Res. 2019, 5, 648–654. [Google Scholar] [CrossRef] [PubMed]
- Gradinaru, L.M.; Vlad, S.; Spiridon, I.; Petrescu, M. Durability of polyurethane membranes in artificial weathering environment. Polym. Test. 2019, 80, 10. [Google Scholar] [CrossRef]
- Liu, Y.; Liu, Z.; Gao, Y.; Gao, W.; Hou, Z.; Zhu, Y. Facile Method for Surface-Grafted Chitooligosaccharide on Medical Segmented Poly(ester-urethane) Film to Improve Surface Biocompatibility. Membranes 2021, 11, 37. [Google Scholar] [CrossRef]
- Sohail, M.; Ashfaq, B.; Azeem, I.; Faisal, A.; Dogan, S.Y.; Wang, J.J.; Duran, H.; Yameen, B. A facile and versatile route to functional poly(propylene) surfaces via UV-curable coatings. React. Funct. Polym. 2019, 144, 14. [Google Scholar] [CrossRef]
- Chen, F.X.; Ding, X.X.; Jiang, Y.C.; Guan, Y.; Wei, D.F.; Zheng, A.N.; Xu, X. Permanent Antimicrobial Poly(vinylidene fluoride) Prepared by Chemical Bonding with Poly(hexamethylene guanidine). ACS Omega 2020, 5, 10481–10488. [Google Scholar] [CrossRef]
- Bachimam, K.; Emul, E.; Saglam, N.; Korkusuz, F. Baicalein Nanofiber Scaffold Containing Hyaluronic Acid and Polyvinyl Alcohol: Preparation and Evaluation. Turk. J. Med. Sci. 2020, 50, 1139–1146. [Google Scholar] [CrossRef]
- Revelou, P.-K.; Pappa, C.; Kakouri, E.; Kanakis, C.D.; Papadopoulos, G.K.; Pappas, C.S.; Tarantilis, P.A. Discrimination of botanical origin of olive oil from selected Greek cultivars by SPME-GC-MS and ATR-FTIR spectroscopy combined with chemometrics. J. Sci. Food Agric. 2020. [Google Scholar] [CrossRef]
- Xia, Y.; Adibnia, V.; Shan, C.; Huang, R.; Qi, W.; He, Z.; Xie, G.; Olszewski, M.; De Crescenzo, G.; Matyjaszewski, K.; et al. Synergy between Zwitterionic Polymers and Hyaluronic Acid Enhances Antifouling Performance. Langmuir 2019, 35, 15535–15542. [Google Scholar] [CrossRef] [PubMed]
- Kopec, K.; Wojasinski, M.; Ciach, T. Superhydrophilic Polyurethane/Polydopamine Nanofibrous Materials Enhancing Cell Adhesion for Application in Tissue Engineering. Int. J. Mol. Sci. 2020, 21, 6798. [Google Scholar] [CrossRef] [PubMed]
- Davoudi, P.; Assadpour, S.; Derakhshan, M.A.; Ai, J.; Solouk, A.; Ghanbari, H. Biomimetic modification of polyurethane-based nanofibrous vascular grafts: A promising approach towards stable endothelial lining. Mater. Sci. Eng. C Mater. Biol. Appl. 2017, 80, 213–221. [Google Scholar] [CrossRef]
- Zheng, F.L.; Jiang, P.P.; Hu, L.; Bao, Y.M.; Xia, J.L. Functionalization of graphene oxide with different diisocyanates and their use as a reinforcement in waterborne polyurethane composites. J. Macromol. Sci. Part A Pure Appl. Chem. 2019, 56, 1071–1081. [Google Scholar] [CrossRef]
- Zhu, M.-M.; Fang, Y.; Chen, Y.-C.; Lei, Y.-Q.; Fang, L.-F.; Zhu, B.-K.; Matsuyama, H. Antifouling and antibacterial behavior of membranes containing quaternary ammonium and zwitterionic polymers. J. Colloid Interface Sci. 2021, 584, 225–235. [Google Scholar] [CrossRef]
- Pan, F.; Lau, K.H.A.; Messersmith, P.B.; Lu, J.R.; Zhao, X. Interfacial Assembly Inspired by Marine Mussels and Antifouling Effects of Polypeptoids: A Neutron Reflection Study. Langmuir 2020, 36, 12309–12318. [Google Scholar] [CrossRef]
- Wang, F.; Cong, H.; Xing, J.; Wang, S.; Shen, Y.; Yu, B. Novel antifouling polymer with self-cleaning efficiency as surface coating for protein analysis by electrophoresis. Talanta 2021, 221, 121493. [Google Scholar] [CrossRef] [PubMed]
- Xu, Z.; Hwang, D.-G.; Bartlett, M.D.; Jiang, S.; Bratlie, K.M. Alter macrophage adhesion and modulate their response on hydrophobically modified hydrogels. Biochem. Eng. J. 2021, 165, 107821. [Google Scholar] [CrossRef]
- Yuan, H.; Qian, B.; Zhang, W.; Lan, M. Protein adsorption resistance of PVP-modified polyurethane film prepared by surface-initiated atom transfer radical polymerization. Appl. Surf. Sci. 2016, 363, 483–489. [Google Scholar] [CrossRef]
- Wu, C.Q.; Zhou, Y.D.; Wang, H.T.; Hu, J.H.; Wang, X.L. Formation of antifouling functional coating from deposition of a zwitterionic-co-nonionic polymer via “grafting to” approach. J. Saudi Chem. Soc. 2019, 23, 1080–1089. [Google Scholar] [CrossRef]
- Wang, L.C.; Chen, X.G.; Xu, Q.C.; Liu, C.S.; Yu, L.J.; Zhou, Y.M. Plasma protein adsorption pattern and tissue-implant reaction of poly(vinyl alcohol)/carboxymethyl-chitosan blend films. J. Biomater. Sci. Polym. Ed. 2008, 19, 113–129. [Google Scholar] [CrossRef]
- Bouattour, Y.; Chennell, P.; Wasiak, M.; Jouannet, M.; Sautou, V. Stability of an ophthalmic formulation of polyhexamethylene biguanide in gamma-sterilized and ethylene oxide sterilized low density polyethylene multidose eyedroppers. PeerJ 2018, 6, e4549. [Google Scholar] [CrossRef] [PubMed]
- Bueno, C.Z.; Moraes, A.M. Influence of the incorporation of the antimicrobial agent polyhexamethylene biguanide on the properties of dense and porous chitosan-alginate membranes. Mater. Sci. Eng. C Mater. Biol. Appl. 2018, 93, 671–678. [Google Scholar] [CrossRef] [PubMed]
- Valverde, A.; Perez-Alvarez, L.; Ruiz-Rubio, L.; Olivenza, M.A.P.; Blanco, M.B.G.; Diaz-Fuentes, M.; Vilas-Vilela, J.L. Antibacterial hyaluronic acid/chitosan multilayers onto smooth and micropatterned titanium surfaces. Carbohydr. Polym. 2019, 207, 824–833. [Google Scholar] [CrossRef] [PubMed]
- Thukkaram, M.; Vaidulych, M.; Kylian, O.; Rigole, P.; Aliakbarshirazi, S.; Asadian, M.; Nikiforov, A.; Biederman, H.; Coenye, T.; Du Laing, G.; et al. Biological activity and antimicrobial property of Cu/a-C:H nanocomposites and nanolayered coatings on titanium substrates. Mater. Sci. Eng. C Mater. Biol. Appl. 2021, 119, 111513. [Google Scholar] [CrossRef]







| Sample Code | HA (mg/mL) | PHMG (mg/mL) | Number of Bilayers |
|---|---|---|---|
| PU-(PHMG/HA)5/2-2 | 2 | 2 | 5 |
| PU-(PHMG/HA)5/5-2 | 5 | 2 | 5 |
| PU-(PHMG/HA)5/5-5 | 5 | 5 | 5 |
| PU-(PHMG/HA)5/5-10 | 5 | 10 | 5 |
| PU-(PHMG/HA)10/5-5 | 5 | 5 | 10 |
| PU-(PHMG/HA)1/5-5 | 5 | 5 | 1 |
| Sample Code | PU-(PHMG/HA)1/5-5 | PU-(PHMG/HA)5/2-2 | PU-(PHMG/HA)5/5-2 | PU-(PHMG/HA)5/5-5 | PU-(PHMG/HA)5/5-10 | PU-(PHMG/HA)10/5-5 |
|---|---|---|---|---|---|---|
| RMS Roughness Value (nm) | 173.9 ± 3.3 | 157.0 ± 1.9 | 156.5 ± 1.7 | 136.5 ± 3.4 | 131.9 ± 4.2 | 130.8 ± 2.6 |
| Samples | E. coli | P. aeruginosa | S. aureus | |||
|---|---|---|---|---|---|---|
| Colonies (×105, CFU/cm2) | Inhibition (%) | Colonies (×105, CFU/cm2) | Inhibition (%) | Colonies (×105, CFU/cm2) | Inhibition (%) | |
| PU | 29.2 ± 8.77 | / | 14.0 ± 0.283 | / | 24.3 ± 0.778 | / |
| PU-PHMG | 0.0345 ± 0.00127 | 99.88 | 0.0153 ± 0.00148 | 99.89 | 0.160 ± 0.0247 | 99.34 |
| PU-(PHMG/HA)5/5-5 | 0 | 99.99 | 0.00514 ± 0.000247 | 99.96 | 0 | 99.99 |
Publisher’s Note: MDPI stays neutral with regard to jurisdictional claims in published maps and institutional affiliations. |
© 2021 by the authors. Licensee MDPI, Basel, Switzerland. This article is an open access article distributed under the terms and conditions of the Creative Commons Attribution (CC BY) license (http://creativecommons.org/licenses/by/4.0/).
Share and Cite
Yuan, H.; Xue, C.; Zhu, J.; Yang, Z.; Lan, M. Preparation and Antifouling Property of Polyurethane Film Modified by PHMG and HA Using Layer-by-Layer Assembly. Polymers 2021, 13, 934. https://doi.org/10.3390/polym13060934
Yuan H, Xue C, Zhu J, Yang Z, Lan M. Preparation and Antifouling Property of Polyurethane Film Modified by PHMG and HA Using Layer-by-Layer Assembly. Polymers. 2021; 13(6):934. https://doi.org/10.3390/polym13060934
Chicago/Turabian StyleYuan, Huihui, Chenli Xue, Jiaqian Zhu, Zhaogang Yang, and Minbo Lan. 2021. "Preparation and Antifouling Property of Polyurethane Film Modified by PHMG and HA Using Layer-by-Layer Assembly" Polymers 13, no. 6: 934. https://doi.org/10.3390/polym13060934
APA StyleYuan, H., Xue, C., Zhu, J., Yang, Z., & Lan, M. (2021). Preparation and Antifouling Property of Polyurethane Film Modified by PHMG and HA Using Layer-by-Layer Assembly. Polymers, 13(6), 934. https://doi.org/10.3390/polym13060934

