Thermosensitive Gels Used to Improve Microneedle-Assisted Transdermal Delivery of Naltrexone
Abstract
1. Introduction
2. Materials and Methods
2.1. Materials
2.2. Preparation of NTX-HCl Poloxamer Gels
2.3. Solubility Studies
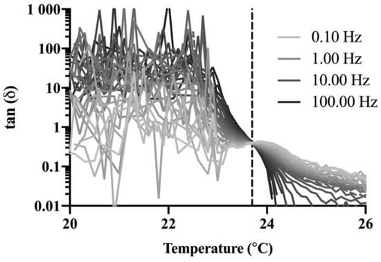
2.4. Gelation Characteristics of P407 Solutions
2.5. In Vitro Release Studies
2.6. Skin Preparation
2.7. In Vitro Permeation Studies
2.8. HPLC Method for NTX-HCl Detection
2.9. Data Analysis
3. Results
3.1. Solubility Studies
3.2. Gelation Characteristics of P407 Solutions
3.3. In Vitro Release Studies
3.4. In Vitro Permeation Studies
4. Discussion
4.1. Effect of NTX-HCl on P407 Gelation Characteristics
4.2. NTX-HCl Release from P407 Gels In Vitro
4.3. Effects of MN Length and Number on Permeation In Vitro
4.4. Effects of Pore Closure on NTX Permeation In Vitro
4.5. Limitations and Future Directions
5. Conclusions
Author Contributions
Funding
Institutional Review Board Statement
Informed Consent Statement
Data Availability Statement
Acknowledgments
Conflicts of Interest
References
- Brogden, N.K.; Banks, S.L.; Crofford, L.J.; Stinchcomb, A.L. Diclofenac enables unprecedented week-long microneedle-enhanced delivery of a skin impermeable medication in humans. Pharm. Res. 2013, 30, 1947–1955. [Google Scholar] [CrossRef]
- Wermeling, D.P.; Banks, S.L.; Hudson, D.A.; Gill, H.S.; Gupta, J.; Prausnitz, M.R.; Stinchcomb, A.L. Microneedles permit transdermal delivery of a skin-impermeant medication to humans. Proc. Natl. Acad. Sci. USA 2008, 105, 2058–2063. [Google Scholar] [CrossRef]
- Milewski, M.; Paudel, K.S.; Brogden, N.K.; Ghosh, P.; Banks, S.L.; Hammell, D.C.; Stinchcomb, A.L. Microneedle-assisted percutaneous delivery of naltrexone hydrochloride in yucatan minipig: In vitro-in vivo correlation. Mol. Pharm. 2013, 10, 3745–3757. [Google Scholar] [CrossRef] [PubMed][Green Version]
- Gupta, J.; Gill, H.S.; Andrews, S.N.; Prausnitz, M.R. Kinetics of skin resealing after insertion of microneedles in human subjects. J. Control. Release 2011, 154, 148–155. [Google Scholar] [CrossRef] [PubMed]
- Gill, H.S.; Denson, D.D.; Burris, B.A.; Prausnitz, M.R. Effect of microneedle design on pain in human volunteers. Clin. J. Pain 2008, 24, 585–594. [Google Scholar] [CrossRef] [PubMed]
- Brogden, N.K.; Milewski, M.; Ghosh, P.; Hardi, L.; Crofford, L.J.; Stinchcomb, A.L. Diclofenac delays micropore closure following microneedle treatment in human subjects. J. Control. Release 2012, 163, 220–229. [Google Scholar] [CrossRef]
- Banks, S.L.; Paudel, K.S.; Brogden, N.K.; Loftin, C.D.; Stinchcomb, A.L. Diclofenac enables prolonged delivery of naltrexone through microneedle-treated skin. Pharm. Res. 2011, 28, 1211–1219. [Google Scholar] [CrossRef] [PubMed]
- Ghosh, P.; Brogden, N.K.; Stinchcomb, A.L. Fluvastatin as a micropore lifetime enhancer for sustained delivery across microneedle-treated skin. J. Pharm. Sci. 2014, 103, 652–660. [Google Scholar] [CrossRef] [PubMed]
- Khan, S.; Minhas, M.U.; Tekko, I.A.; Donnelly, R.F.; Thakur, R.R.S. Evaluation of microneedles-assisted in situ depot forming poloxamer gels for sustained transdermal drug delivery. Drug Deliv. Transl. Res. 2019, 9, 764–782. [Google Scholar] [CrossRef]
- Sivaraman, A.; Banga, A.K. Novel in situ forming hydrogel microneedles for transdermal drug delivery. Drug Deliv. Transl. Res. 2017, 7, 16–26. [Google Scholar] [CrossRef]
- Thakur, R.R.; Fallows, S.J.; McMillan, H.L.; Donnelly, R.F.; Jones, D.S. Microneedle-mediated intrascleral delivery of in situ forming thermoresponsive implants for sustained ocular drug delivery. J. Pharm. Pharmacol. 2014, 66, 584–595. [Google Scholar] [CrossRef]
- Dumortier, G.; El Kateb, N.; Sahli, M.; Kedjar, S.; Boulliat, A.; Chaumeil, J.C. Development of a thermogelling ophthalmic formulation of cysteine. Drug Dev. Ind. Pharm. 2006, 32, 63–72. [Google Scholar] [CrossRef]
- Winter, H.H. Gel Point. In Encyclopedia of Polymer Science and Technology; John Wiley & Sons., Inc.: Hoboken, NJ, USA, 2016. [Google Scholar] [CrossRef]
- Dash, S.; Murthy, P.N.; Nath, L.; Chowdhury, P. Kinetic modeling on drug release from controlled drug delivery systems. Acta Pol. Pharm. 2010, 67, 217–223. [Google Scholar]
- Drugbank. Naltrexone. Available online: https://go.drugbank.com/drugs/DB00704 (accessed on 9 March 2021).
- Bodratti, A.M.; Alexandridis, P. Formulation of Poloxamers for Drug Delivery. J. Funct. Biomater. 2018, 9, 11. [Google Scholar] [CrossRef] [PubMed]
- Dumortier, G.; Grossiord, J.L.; Agnely, F.; Chaumeil, J.C. A review of poloxamer 407 pharmaceutical and pharmacological characteristics. Pharm. Res. 2006, 23, 2709–2728. [Google Scholar] [CrossRef]
- Wanka, G.; Hoffmann, H.; Ulbricht, W. Phase diagrams and aggregation behavior of poly (oxyethylene)-poly (oxypropylene)-poly (oxyethylene) triblock copolymers in aqueous solutions. Macromolecules 1994, 27, 4145–4159. [Google Scholar] [CrossRef]
- Ahn, J.S.; Suh, J.M.; Lee, M.; Jeong, B. Slow eroding biodegradable multiblock poloxamer copolymers. Polym. Int. 2005, 54, 842–847. [Google Scholar] [CrossRef]
- Miller, S.C.; Drabik, B.R. Rheological properties of poloxamer vehicles. Int. J. Pharm. 1984, 18, 269–276. [Google Scholar] [CrossRef]
- Vadnere, M.; Amidon, G.; Lindenbaum, S.; Haslam, J.L. Thermodynamic studies on the gel-sol transition of some pluronic polyols. Int. J. Pharm. 1984, 22, 207–218. [Google Scholar] [CrossRef]
- Gilbert, J.C.; Hadgraft, J.; Bye, A.; Brookes, L.G. Drug release from Pluronic F-127 gels. Int. J. Pharm. 1986, 32, 223–228. [Google Scholar] [CrossRef]
- Ricci, E.J.; Lunardi, L.O.; Nanclares, D.M.; Marchetti, J.M. Sustained release of lidocaine from Poloxamer 407 gels. Int. J. Pharm. 2005, 288, 235–244. [Google Scholar] [CrossRef]
- Ji, W.; Cao, B.; Geng, Y.; Zhu, Y.; Lin, B. Study on human skin temperature and thermal evaluation in step change conditions: From non-neutrality to neutrality. Energy Build. 2017, 156, 29–39. [Google Scholar] [CrossRef]
- Paavola, A.; Yliruusi, J.; Rosenberg, P. Controlled release and dura mater permeability of lidocaine and ibuprofen from injectable poloxamer-based gels. J. Control. Release 1998, 52, 169–178. [Google Scholar] [CrossRef]
- Veyries, M.L.; Couarraze, G.; Geiger, S.; Agnely, F.; Massias, L.; Kunzli, B.; Faurisson, F.; Rouveix, B. Controlled release of vancomycin from poloxamer 407 gels. Int. J. Pharm. 1999, 192, 183–193. [Google Scholar] [CrossRef]
- Derakhshandeh, K.; Fashi, M.; Seifoleslami, S. Thermosensitive Pluronic hydrogel: Prolonged injectable formulation for drug abuse. Drug Des. Devel. Ther. 2010, 4, 255–262. [Google Scholar] [CrossRef]
- Soni, G.; Yadav, K.S. High encapsulation efficiency of poloxamer-based injectable thermoresponsive hydrogels of etoposide. Pharm. Dev. Technol. 2014, 19, 651–661. [Google Scholar] [CrossRef]
- Jansen, M.M.; Verzijl, J.M.; Burger, D.M.; Hekster, Y.A. Controlled release of morphine from a poloxamer 407 gel. Int. J. Pharm. 2013, 452, 266–269. [Google Scholar] [CrossRef] [PubMed]
- Russo, J.; Fiegel, J.; Brogden, N.K. Rheological and Drug Delivery Characteristics of Poloxamer-Based Diclofenac Sodium Formulations for Chronic Wound Site Analgesia. Pharmaceutics 2020, 12, 1214. [Google Scholar] [CrossRef]
- Dewan, M.; Sarkar, G.; Bhowmik, M.; Das, B.; Chattoapadhyay, A.K.; Rana, D.; Chattopadhyay, D. Effect of gellan gum on the thermogelation property and drug release profile of Poloxamer 407 based ophthalmic formulation. Int. J. Biol. Macromol. 2017, 102, 258–265. [Google Scholar] [CrossRef] [PubMed]
- Bruschi, M.L. Strategies to Modify the Drug Release from Pharmaceutical Systems; Woodhead Publishing: Cambridge, UK, 2015. [Google Scholar]
- Milewski, M.; Stinchcomb, A.L. Vehicle composition influence on the microneedle-enhanced transdermal flux of naltrexone hydrochloride. Pharm. Res. 2011, 28, 124–134. [Google Scholar] [CrossRef] [PubMed]
- Yan, G.; Warner, K.S.; Zhang, J.; Sharma, S.; Gale, B.K. Evaluation needle length and density of microneedle arrays in the pretreatment of skin for transdermal drug delivery. Int. J. Pharm. 2010, 391, 7–12. [Google Scholar] [CrossRef] [PubMed]
- Kelchen, M.N.; Siefers, K.J.; Converse, C.C.; Farley, M.J.; Holdren, G.O.; Brogden, N.K. Micropore closure kinetics are delayed following microneedle insertion in elderly subjects. J. Control. Release 2016, 225, 294–300. [Google Scholar] [CrossRef] [PubMed]
- Banks, S.L.; Pinninti, R.R.; Gill, H.S.; Crooks, P.A.; Prausnitz, M.R.; Stinchcomb, A.L. Flux across [corrected] microneedle-treated skin is increased by increasing charge of naltrexone and naltrexol in vitro. Pharm. Res. 2008, 25, 1677–1685. [Google Scholar] [CrossRef] [PubMed]
- Gao, X.; Brogden, N.K. Development of Hydrogels for Microneedle-Assisted Transdermal Delivery of Naloxone for Opioid-Induced Pruritus. J. Pharm. Sci. 2019, 108, 3695–3703. [Google Scholar] [CrossRef] [PubMed]
- Ogunjimi, A.T.; Carr, J.; Lawson, C.; Ferguson, N.; Brogden, N.K. Micropore closure time is longer following microneedle application to skin of color. Sci. Rep. 2020, 10, 18963. [Google Scholar] [CrossRef]
- Verebey, K.; Volavka, J.; Mule, S.J.; Resnick, R. Naltrexone: Disposition, metabolism, and effects after acute and chronic dosing. Clin. Pharmacol. Ther. 1976, 20, 315–328. [Google Scholar] [CrossRef] [PubMed]








| P407 Concentration (% w/w) | Model Parameter | Zero Order | First Order | Higuchi | Korsmeyer–Peppas |
|---|---|---|---|---|---|
| 17% | r2 | 0.992 | 0.998 | 0.972 | 0.991 |
| K | 2.66 ± 0.35 mg/h | 0.26 ± 0.03 h−1 | 3.73 ± 0.17 mg/h1/2 | 0.22 ± 0.02 h−n | |
| n | 0.88 | ||||
| 18% | r2 | 0.985 | 0.999 | 0.979 | 0.991 |
| K | 2.21 ± 0.07 mg/h | 0.23 ± 0.01 h−1 | 3.50 ± 0.11 mg/h1/2 | 0.20 ± 0.01 h−n | |
| n | 0.85 | ||||
| 19% | r2 | 0.986 | 0.996 | 0.980 | 0.985 |
| K | 2.03 ± 0.10 mg/h | 0.19 ± 0.01 h−1 | 3.21 ± 0.16 mg/h1/2 | 0.19 ± 0.01 h−n | |
| n | 0.84 | ||||
| 20% | r2 | 0.981 | 0.993 | 0.984 | 0.992 |
| K | 1.85 ± 0.08 mg/h | 0.17 ± 0.01 h−1 | 2.95 ± 0.13 mg/h1/2 | 0.19 ± 0.01 h−n | |
| n | 0.65 |
| Formulation | Intact Skin (Control) (μg/cm2/h) | 600 μm MN | 750 μm MN | ||
|---|---|---|---|---|---|
| 50 Micropores (μg/cm2/h) | 100 Micropores (μg/cm2/h) | 50 Micropores (μg/cm2/h) | 100 Micropores (μg/cm2/h) | ||
| Water | 12.56 ± 2.25 | 41.90 ± 16.56 | 69.58 ± 17.69 | 87.55 ± 10.24 | 98.05 ± 38.15 |
| 20% P407 | 6.77 ± 2.17 | 17.74 ± 5.53 | 15.35 ± 4.76 | 26.94 ± 6.31 | 24.58 ± 10.39 |
Publisher’s Note: MDPI stays neutral with regard to jurisdictional claims in published maps and institutional affiliations. |
© 2021 by the authors. Licensee MDPI, Basel, Switzerland. This article is an open access article distributed under the terms and conditions of the Creative Commons Attribution (CC BY) license (http://creativecommons.org/licenses/by/4.0/).
Share and Cite
Tobin, K.V.; Fiegel, J.; Brogden, N.K. Thermosensitive Gels Used to Improve Microneedle-Assisted Transdermal Delivery of Naltrexone. Polymers 2021, 13, 933. https://doi.org/10.3390/polym13060933
Tobin KV, Fiegel J, Brogden NK. Thermosensitive Gels Used to Improve Microneedle-Assisted Transdermal Delivery of Naltrexone. Polymers. 2021; 13(6):933. https://doi.org/10.3390/polym13060933
Chicago/Turabian StyleTobin, Kevin V., Jennifer Fiegel, and Nicole K. Brogden. 2021. "Thermosensitive Gels Used to Improve Microneedle-Assisted Transdermal Delivery of Naltrexone" Polymers 13, no. 6: 933. https://doi.org/10.3390/polym13060933
APA StyleTobin, K. V., Fiegel, J., & Brogden, N. K. (2021). Thermosensitive Gels Used to Improve Microneedle-Assisted Transdermal Delivery of Naltrexone. Polymers, 13(6), 933. https://doi.org/10.3390/polym13060933

